随着近年来土壤污染的频发,表面活性剂作为一种常用淋洗剂,因其少量高效的修复效果,在污染土壤淋洗修复技术中得到了越来越广泛的应用[1-3]。表面活性剂的加入在显著改善土体性质的同时,也使水的气—液界面张力(表面张力)发生了明显变化,在利用表面活性剂对土壤进行改性时[4-6],少量的表面活性剂就会大幅降低水的表面张力[7]。另一方面,再生水灌溉在水资源紧缺的地区有普及的趋势,它能很好地解决区域水资源短缺的问题,再生水中的多种元素还能提高农业产量[8-9]。但再生水中会含有污水中未被处理完净的有机物质,有研究发现,有机化合物加入水中也会改变水的表面张力[10-12]。再生水灌溉后土壤中混入的有机物会改变土壤的力学性质,对土壤的物理性质造成影响[13]。由此可见,表面活性剂和有机化合物的加入会使孔隙水的表面张力发生明显变化,而界面特性的三大方程,即Young方程、Laplace方程和Kelvin方程均与表面张力有关[14-15], 表面张力改变会使得表层土壤的力学性质发生变化,而表层土壤最显著的特性就是收缩开裂,因此,表面张力的变化势必会对土壤的收缩开裂造成影响。
考虑到自然环境的复杂多变性,土体一般要经历多次干湿循环。干湿循环会引起土—水特征曲线的滞回效应,在相同的含水率条件下,吸湿和脱湿所对应的基质吸力不尽相同[16],而导致干湿循环滞回效应的一个最重要因素就是接触角的改变。栾茂田等[17]在球体颗粒模型基础上提出了张力吸力的概念,分析了基质吸力与张力吸力随接触角变化规律,并从理论上合理地解释了“随着土变干,饱和度对土的强度作用减弱”的试验现象;贺炜等[18]对吸湿与脱湿过程中引起非饱和土的土—水特征曲线滞后性质进行机制分析,认为接触角的差异是造成土—水特征曲线滞后效应的主要原因,而接触角与表面张力又是密不可分的[7]。土壤在脱湿过程中,含水率不断降低,连接土壤颗粒的液桥体积减少,基质吸力变大,当达到土壤开裂的临界基质吸力时,土壤颗粒间的液桥将破裂,从而土壤产生裂隙[19-20]。从细观的角度来看,土壤中的基质吸力是由液桥的表面张力所引起的,表面张力的改变会影响液桥断裂的程度和时间点,从而影响干湿循环条件下的土壤收缩开裂特性。土壤收缩开裂破坏了土壤原有的结构,会引发优先流,而裂隙则会成为灌溉水和雨水的优先路径[21-22];收缩开裂还会改变土壤中水分和养分的正常运移,严重则会造成地下水污染、阻碍农业灌溉、影响农业产量等问题[23-24]。随着全球环境变化的影响,土壤和水污染问题会越来越多,越来越典型。表面张力对水—气界面的影响明显,可以肯定对土壤开裂的性质也有重要影响,因此,有必要从表面张力的角度对干湿循环下的土壤收缩开裂特性进行深入研究,对农业灌溉和环境保护方面也将具有重要的理论和实际指导意义。
为了探究水中表面活性剂和有机化合物的加入对土壤裂隙发育的影响,本文通过在水中加入少量乙醇或肥皂(表面活性剂)来改变水的表面张力,对干湿循环条件下不同气—液界面张力的土壤收缩开裂特性展开研究,对比分析了不同表面张力下土壤裂隙的发展演化过程,最后对其机理进行了探讨。
1 材料与方法 1.1 供试材料供试土壤选用有明显胀缩变形的灰白色膨胀黏土,土样取自云南农业大学附近的某风化土边坡,土样的基本性质如表 1所示。取回的土样经过风干、碾碎后过2 mm筛备用。
|
|
表 1 供试土样的基本性质 Table 1 Basic properties of the soil samples tested |
将筛好的土样放入105℃烘箱内烘干至恒重。在保证试样无初始裂缝的前提下,合理控制含液率和击实次数,采用轻型击实仪(NX.6-04,宁曦,南京)制作干密度为1.5 g cm-3的圆柱试样,试样直径为102 mm,高40 mm。由制样前的初步尝试结果可知,拌合料含水率过低时,拌合料偏干,试样不易压实,有裂隙;含水率太高则不易控制干密度[25]。反复测试后,将拌合料多次搅拌使水和土充分混合,确定拌合料含水率为17%左右,击实次数初步定为12次,从而控制试样干密度在1.5 g cm-3。将击实后的试样表面刮平,然后放入真空缸内进行抽气饱和,抽气时间为6 h,试样在真空下的浸泡时间不少于12 h,以保证试样充分饱和,使内外含水率均匀分布。
采用体积百分数为20%酒精溶液和含量为2 g L-1的肥皂水作为不同表面张力的孔隙液体,忽略酒精溶液和肥皂水与纯水间的密度差,两种溶液制作试样时的含水率仍为17%,孔隙液体为肥皂水的试样仍然采用抽气饱和法,孔隙液体为酒精的试样为了防止酒精溶液挥发,采用毛细饱和法,将酒精溶液样放入密封容器内浸泡静置24 h达到饱和。
1.3 试验过程待试样饱和后,分别进行烘干和自然风干两种不同温控下的脱湿,为避免酒精挥发导致的试验误差,脱湿温度控制在低于酒精沸点的60℃,自然风干则放置在室内保持室温(25℃)。整个试验共进行4次干湿循环,并对每个试样设置平行样。在试验过程中设置多个观测节点,前6 h每隔30 min测量一次,6 h以后每隔1 h测量一次。在每个观测节点上,对待测土样进行拍照、称重,拍照时保证土样及相机位置固定不变,当试样前后两次质量变化不超过0.5 g,脱湿过程结束。然后再进行增湿饱和,如此反复循环四次。
1.4 图像处理采集的试样表面裂隙图通常是高度不规则的、难以衡量的,用传统的手工测量技术无法消除计算误差。而数字图像处理技术的出现改变了这一现状,它能对土壤收缩开裂图像进行无损分析且有较高的准确性和灵活性,因此,数字图像处理技术得到越来越多的应用,日趋成熟[26-28]。在参考范留明和李宁[29]以及尹小涛等[30]的研究后,得到以下处理思路:
(1)将得到的彩色原图像(图 1a)转换为灰度图像。
|
图 1 数字图像处理过程 Fig. 1 Procedure of digital image processing |
(2)将灰度图像二值化,如图 1b,其中黑色区域代表裂隙面积,白色区域代表土块。
(3)将二值化后的图转换为矢量图(图 1c),用CAD(管理软件计算机辅助设计)面积提取命令得到试验收缩和开裂面积,计算得到试验的收缩开裂裂隙度[31-33]:
| $ \delta \frac{{\left( {{S_0} - {S_t}} \right) + {S_f}}}{{{S_0}}} $ | (1) |
式中,δ为收缩开裂裂隙度,%;S0为试样初始面积,St为脱湿时间为t的试样面积,Sf为试样表面的裂隙总面积。
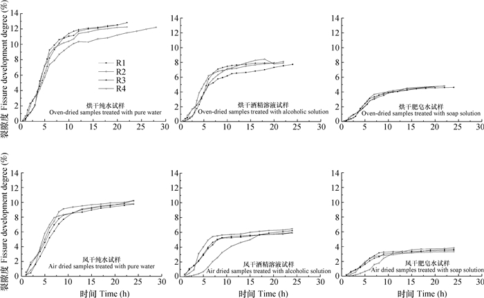
2 结果 2.1 干湿循环下裂隙发育随时间变化图 2给出了三种不同表面张力试样在两种温控状态下干湿循环的土壤裂隙发育过程。从图 2可以看出,无论在25℃还是在60℃条件下,不同表面张力的土样收缩开裂裂隙度δ随时间t变化曲线在形态上较为一致,呈现明显的阶梯型。土样δ随脱湿时间t的变化过程要经历两个阶段:常速率阶段和减速率稳定阶段。常速率阶段主要发生在脱湿的前中期,此阶段土样从饱和状态进入非饱和状态,含水率随着蒸发速率的加快迅速减少,δ随时间的增加呈线性增长的趋势。而随着时间的推移,试样的水分蒸发变慢,试样进入脱湿的中后期,此时δ随脱湿时间增长变缓,最终趋于稳定。但从裂隙度随时间变化曲线来看,同一试样的四次脱湿裂隙度基本相近,当脱湿时间相同时,循环次数越多土样的δ越大,最终δ也越大,但最终δ增加幅度不大。
|
图 2 干湿循环下不同试样裂隙度随时间的变化 Fig. 2 Temporal variation of fissure development degree of samples different in treatment under wetting and drying alternation 注:R1、R2、R3、R4分别代表干湿循环的第一次、第二次、第三次、第四次。下同 Note:R1, R2, R3 and R4 stands for the first time, the second time, the third time and the fourth time of wetting-drying alternation. The same below |
在整个脱湿过程中,表面张力变化对土样δ随时间变化的过程有明显的影响。在同一温度环境时,纯水样、酒精溶液样和肥皂水样的初次开裂时间基本一致。如在25℃的环境温度下,经历大约1.5 h脱湿后试样表面出现初始裂隙,而在60℃环境中,大约0.5 h后就可以从试样表面观测到首条裂隙的产生,可见表面张力的变化对脱湿时初始δ的出现时间影响并不大。温度的升高会使“δ—t曲线”的常速率阶段时间变短。如25℃时大约持续8.5(1.5~10)h,60℃时则约为7(0.5~7.5)h。但在同一环境温度时,随着脱湿的进行,试样裂隙的发育速率却大为不同。在60℃烘干条件下,纯水、酒精溶液和肥皂水样在达到4%收缩开裂裂隙度所需时间分别为3 h、5 h和8 h;同样在25℃风干时,前10 h纯水、酒精溶液和肥皂水δ分别达到9%、5.5%和3.5%。可以看出,表面张力的降低,对试样出现初始裂隙的时间影响不大,但抑制了裂隙的发育程度并影响了试样的最终δ大小。
2.2 干湿循环下裂隙发育随含水率变化图 3给出了三种试样四次脱湿循环在不同温度条件下裂隙度随脱湿含水率的变化。同一土样,相同含水率情况下,裂隙度随着干湿循环次数的增加而增大,而相同裂隙度对应的含水率也随循环次数的增多而增大。由于温度的作用,60℃时当含水率降至41%时,土样出现初始裂隙,而25℃环境下,土样含水率要降至38%才会出现初始裂隙,可以看出,试样出现初始裂隙的含水率随温度的降低而增加,影响明显。裂隙出现后的初始阶段,土样δ随含水率的减少缓慢增加,随后δ进入快速发育阶段,δ不断增加。随着脱湿的进行,当土样的含水率低于一定值时(25℃和60℃条件下的临界含水率分别为28%和25%),δ增幅减慢并趋于稳定。当脱湿结束时,60℃下土样的最终平均残余含水率为0.5%,而25℃为4%,大约是60℃的八倍多。
|
图 3 干湿循环下不同试样裂隙度随含水率的变化 Fig. 3 Variation of fissure development degree with water content in soils different in treatment under wetting and drying alternation 注:S、J和F分别代表纯水样、酒精溶液样、肥皂水样。下同 Note:S, J and F stands for samples treated with pure water, alcoholic solution and soap solution. The same below |
从图 3同时可以看出,土样δ受表面张力的影响也非常明显。在环境温度一致时,随着表面张力的降低,在同一含水率时,土样δ低于表面张力较大试样的δ。如在60℃条件下第四次脱湿时,试样在含水率降至20%时,纯水δ(11%) > 酒精溶液δ(7%) > 肥皂水δ(4%)。在达到同一δ时,表面张力大的试样对应的含水率大于表面张力小的试样含水率。此外,无论60℃条件下还是25℃条件下,脱湿结束时,孔隙液体为水的试样最终裂隙度均较孔隙液体为酒精溶液和肥皂水试样的要高。以上结果表明,在土壤中加入酒精溶液和肥皂水降低了孔隙水的表面张力,抑制了土壤裂隙发育过程,减小最终收缩开裂裂隙度,其中,肥皂水的抑制效果较酒精溶液更佳。
2.3 干湿循环下不同试样最终收缩开裂裂隙度表 2为三种试样最终收缩开裂裂隙度的相关研究结果。从表 2可以看出,同组试验各平行样的最终收缩开裂裂隙度基本一致,说明该试验具有良好的可重复性。60℃条件下纯水(S样)的四次干湿循环最终平均δ分别为11.8%、12.4%、13.2%、14.1%,酒精溶液(J样)分别为7.7%、7.9%、8.0%、8.1%,肥皂水(F样)分别为4.5%、4.6%、4.7%、4.8%;25℃条件下S样的四次干湿循环最终平均δ则分别为9.5%、9.6%、9.9%、10.1%, J样分别为5.8%、5.9%、6.1%、6.4%,F样分别为3.2%、3.4%、3.5%、3.7%。可见,在同种温度条件下,同组试样的最终δ随着干湿循环次数的增加而增大;而在不同温度条件下,同组试样的最终δ同样随温度的增加而增加,取第四次循环来看,60℃条件下的纯水、酒精溶液和肥皂水试样的最终δ分别较25℃条件下的高4.0%、1.7%和1.1%。将25℃和60℃条件下的最终δ进行对比,不论何种温度条件下,纯水样的最终δ大于酒精溶液样和肥皂水样的最终δ;其中,酒精溶液样的最终δ大于肥皂水。
|
|
表 2 不同表面张力下土壤收缩开裂裂隙度 Table 2 Fissure development degree in soils under shrinking cracking with surface tension (%) |
60℃条件下纯水试样的最终δ稳定在14%左右,较酒精试样高6%,是肥皂水试样的3倍;由于环境温度降低的影响,25℃条件下的最终裂隙度均相对低于60℃情况下,纯水样为10%,但仍然高于酒精样的6.0%和肥皂水样的3.8%。参考液体表面张力系数与浓度关系的相关资料[11-12, 34-35]可知,在25℃时,纯净水、20%酒精溶液、2 g L-1肥皂水的表面张力系数分别为:7.1×10-2 N m-1、4.1×10-2 N m-1、2.9×10-2 N m-1; 相应的60℃则分别分:6.5×10-2 N m-1、3.8×10-2 N m-1、2.7×10-2 N m-1。由表面张力和表面张力系数的正比关系可知,无论何种温度条件下均表现为:水的表面张力 > 20%酒精溶液的表面张力 > 2 g L-1肥皂水的表面张力。对照表 2可以得到结论:表面张力对土样的最终收缩开裂裂隙度有着重要影响。表面张力越小,对应的土样最终收缩开裂裂隙度越小,表面张力的减小会阻碍土样裂隙的发展。
3 讨论 3.1 干湿循环下温度对土壤收缩开裂的影响温度作为主要的外部环境因素之一,对土壤的水分蒸发和收缩开裂有着重要影响。水分蒸发在宏观上是指液态水转化为气态水的过程,微观上则是指水分子在动能的作用下克服液体分子间的作用力,逃逸出液面的过程。而温度作为影响水分蒸发的主要因素,势必会对水分蒸发的过程产生一定影响。具体而言,在高温条件下,水分子的动能较高,分子运动激烈,从而使得水的黏滞性、表面张力以及土体的持水能力等性质发生改变,随着温度的升高而降低。高温条件时,土壤颗粒对水分子的约束力下降,导致水分子逃逸出液面所需要克服的阻力变小,加剧了蒸发。因此,土壤中的水分子高温较低温条件下更容易逸出,蒸发至空气中,相同时间内的蒸发速率随温度的增加而增加。
温度除了对水分的蒸发有直接影响,对土壤的收缩开裂也有重要的作用。土壤的收缩开裂主要受脱湿过程中土壤的吸力大小控制。初始饱和试样表面水分不断蒸发,土体由饱和状态变为非饱和状态过程中产生吸力,在表层土体中形成张拉应力场。当土壤颗粒之间的张拉应力超过土壤颗粒之间的抗拉强度时,出现裂隙。温度越高,蒸发速率的增加会使吸力增加的速率变快,土体出现裂隙的对应时间就会越短,从而解释了图 2中同一试样的裂隙度随着温度的增加而增加的现象。图 3的结果表明,裂隙形成后,裂隙度受温度的影响很明显。首先,在脱湿过程中,即使在相同的含水率条件下,高温(60℃)条件下试样的δ较大,说明裂隙的发育程度随着温度的增加而增加。这是因为高温度环境对应的吸力发展速率越高,表层土样中吸力的增加会驱使土壤颗粒排列更紧密,为裂隙发展提供了更多的空间[36]。高温条件下的吸力快速发展增快了裂隙的发育程度。其次,在试样脱湿结束达到稳定后,试样的最终δ也随着温度的升高而增加。这主要是由于温度越高孔隙中水分蒸发的越多,孔隙中残余的水分越少(图 3),土壤颗粒间距进一步缩小,为裂隙发育提供了更多的空间,裂隙的发育程度因此会更高。
3.2 裂隙发育过程中气—液界面张力因素试样的裂隙发育过程与环境温度密切相关,此外,气—液界面张力(表面张力)因素也会对裂隙发育有制约作用。从细观角度来看,土样基质吸力是导致裂隙产生、发育的重要因素之一,初始试样表层土体随着蒸发的开始,从饱和状态变为非饱和状态,从而产生基质吸力,并在表层土体中形成张力应力。当土壤颗粒间的张拉应力高于土壤颗粒间的抗拉强度时,就会有裂隙出现。土体裂隙产生、发育是一种基质吸力的内力作用结果,是一种张拉应力破坏的形式。在干湿循环条件下,基质吸力随干湿循环而产生周期性变化,从而导致土体张拉应力等产生周期性变化,促进了裂隙发育。因此,基质吸力是制约裂隙产生和发育的关键力学参数。而表面张力和基质吸力之间的关系满足毛细定理:
| $ \left( {{u_a} - {u_w}} \right) = \frac{{2{T_s}}}{{{R_s}}}\cos \alpha $ | (2) |
式中,(ua-uw)为基质吸力,Pa;Ts为水—气分界面的表面张力,N m-1;Rs为曲率半径,m;α为接触角,°。
由上式可以看出,基质吸力的大小与表面张力、接触角和曲率半径有关。其中,基质吸力的大小与表面张力成正比,与弯液面曲率半径成反比。因此,表面张力和曲率半径的变化均会导致基质吸力的改变。在环境温度为25℃时,通过JC2000型接触角测量仪对三种试样的孔隙液体进行接触角测量。得到三种不同表面张力液滴的几何形态图如图 4所示,测量可得纯水、酒精溶液和肥皂水对应的接触角分别为85°、65°和42°,而在25℃环境下,纯水、20%酒精溶液、2 g L-1肥皂水的表面张力系数分别为:7.1×10-2 N m-1、4.1×10-2 N m-1、2.9×10-2 N m-1。表面张力是决定弯液面形状的主要因素之一,会影响曲率半径和接触角的大小。很显然,表面张力大的液体接触角变大,曲率半径变小。图 4中水滴表面张力大于酒精溶液,但形成的弯液面半径却要小于酒精溶液,同样的,酒精溶液形成的弯液面半径又小于肥皂水。曲率半径越小,土体中的基质吸力越大。孔隙水表面张力会对弯液面的曲率半径产生改变从而对基质吸力产生影响,最终影响土壤的收缩开裂。
|
图 4 基底表面三种液滴的几何形态 Fig. 4 Geometric graphs of drops of the three kinds of the substrate surface |
由式2可以得到不同接触角下基质吸力随表面张力变化的曲线以及不同接触角下基质吸力随曲率半径变化的曲线(图 5)。从图 5可知,当表面张力变化时,接触角为85°、65°和42°的基质吸力变化幅度分别为0.009 Pa、0.014 Pa和0.016 Pa,显然表面张力变化幅度很大,基质吸力变化很小。从图 5也可看出,在25℃时,三种不同表面张力液体对应的基质吸力大小顺序为:纯水 > 酒精溶液 > 肥皂水。图 5可以明显看出,当曲率半径变化时,虽然曲率半径仅从0.01 m到0.001 m一个量级的变化,但基质吸力变化幅度大约为20 Pa,影响远较表面张力带来的基质吸力变化大。可得到结论:表面张力的变化间接影响基质吸力产生改变,首先,表面张力影响了弯液面的曲率半径,继而影响基质吸力,最终对土壤的收缩开裂造成了影响。
|
图 5 基质吸力随表面张力和曲率半径的变化曲线 Fig. 5 Curve of the variation of matric suction with surface tension and radius of curvature |
事实上,温度越高,表面张力越小,但表面张力Ts随温度变化幅度很小。就纯水而言,温度从25℃增加至60℃时,表面张力从72 mN m-1变化为65 mN m-1,变化甚微。因此,基质吸力大小主要取决于曲率半径Rs,表面张力越大,曲率半径越小,基质吸力越大。从图 5可知,三种液体曲率半径Rs大小为:纯水 > 酒精溶液 < 肥皂水,基质吸力(ua-uw)和裂隙度δ的大小顺序则相反为:纯水 > 酒精溶液 > 肥皂水。
4 结论本文在两种控制温度条件下,对三种孔隙水表面张力不同的土样开展了一系列的干湿循环试验,分析了温度和表面张力因素对土样裂隙发育过程及最终裂隙度的影响,得到如下结论:干湿循环对土样裂隙发育有一定影响,随着干湿循环次数的增加,试样的最终裂隙度有所增加,但增长幅度不大;干湿循环次数越多,相同含水率下对应的收缩开裂裂隙度越大;相同裂隙度对应的时间随循环次数增多而减小。温度对土壤的收缩开裂有直接影响。温度越高,土样出现裂隙的初始时间就越短,对应的初始临界含水率也越高,土样的收缩开裂发育程度越高,最终收缩开裂裂隙度δ也相应越高。在相同含水率的情况下,高温环境中脱湿的试样表面裂隙发育也明显增加。表面张力对土壤收缩开裂有明显的制约作用。表面张力增大,会使土样的曲率半径变小,从而增大基质吸力,间接对土样的裂隙发育产生影响。土样的表面张力越大,其裂隙发育程度越高,对应的最终δ也就越大;表面张力越小的试样其最终δ越小,但在土样表面裂隙发展过程中,相同含水率或者相同脱湿时间时,表面张力小的试样裂隙度有可能高于表面张力较大的试样。
| [1] |
张永, 廖柏寒, 曾敏, 等. 表面活性剂在污染土壤修复中的应用. 湖南农业大学学报(自然科学版), 2007, 33(3): 348-352. Zhang Y, Liao B H, Zeng M, et al. Application of surfactants to contaminated soil remediation (In Chinese). Journal of Hunan Agricultural University(Natural Sciences Edition), 2007, 33(3): 348-352. ( 0) |
| [2] |
Paria S. Surfactant-enhanced remediation of organic contaminated soil and water . Advances in Colloid & Interface Science, 2008, 138(1): 24-58.
( 0) |
| [3] |
李莎莎, 孙玉焕, 胡学锋, 等. 表面活性剂对土壤中石油类污染物的洗脱效果研究. 土壤, 2016, 48(3): 516-522. Li SS, Sun Y H, Hu X F, et al. Elution effectsof surfactantson petroleumcontaminants in soil (In Chinese). Soils, 2016, 48(3): 516-522. ( 0) |
| [4] |
王保田, 任骜, 张福海, 等. 使用CTMAB改良剂改良天然膨胀土的试验研究. 岩土力学, 2009, 30(S2): 39-42. Wang B T, Ren A, Zhang F H, et al. Experimental research on stabilizing expansive soil by CTMAB (In Chinese). Rock and Soil Mechanics, 2009, 30(S2): 39-42. ( 0) |
| [5] |
Lehrsch G A, Sojka R E, Koehn A C. Surfactant effects on soil aggregate tensile strength . Geoderma, 2012, 189/190(6): 199-206.
( 0) |
| [6] |
倪妮, 宋洋, 王芳, 等. 多环芳烃污染土壤生物联合强化修复研究进展. 土壤学报, 2016, 53(3): 561-571. Ni N, Song Y, Wang F, et al. Review of researches on intensified bio-remediationof polycyclic aromatichydrocarbons contaminated soils (In Chinese). Acta Pedologica Sinica, 2016, 53(3): 561-571. ( 0) |
| [7] |
沈钟, 赵振国, 康万利. 胶体与表面化学. 北京: 化学工业出版社, 2012. Shen Z, Zhao Z G, Kang W L. Colloid and surface chemistry (In Chinese). Beijing: Chemical Industry Press, 2012. ( 0) |
| [8] |
刘洪禄, 马福生, 许翠平, 等. 再生水灌溉对冬小麦和夏玉米产量及品质的影响. 农业工程学报, 2010, 26(3): 82-86. Liu H L, Ma F S, Xu C P, et al. Effect of irrigation with reclaimed water on quality and yield of winter wheat and summer corn (In Chinese). Transactions of the Chinese Society of Agricultural Engineering, 2010, 26(3): 82-86. ( 0) |
| [9] |
吴文勇, 刘洪禄, 郝仲勇, 等. 再生水灌溉技术研究现状与展望. 农业工程学报, 2008, 24(5): 302-306. Wu W Y, Liu H L, Hao Z Y, et al. Review and perspectives of research status on reclaimed wastewater irrigationtechnologies (In Chinese). Transactions of the Chinese Society of Agricultural Engineering, 2008, 24(5): 302-306. ( 0) |
| [10] |
成娟, 李玲, 刘科. 液体表面张力系数与浓度的关系实验研究. 中国测试, 2014, 40(3): 32-34. Cheng J, Li L, Liu K. Study on the relationship between liquid surface tension and concentration (In Chinese). China Measurement & Test, 2014, 40(3): 32-34. DOI:10.11857/j.issn.1674-5124.2014.03.009 ( 0) |
| [11] |
李艳琴, 张宏剑. 不同种类杂质对液体表面张力系数的影响. 实验室研究与探索, 2013, 32(4): 43-46. Li Y Q, Zhang H J. Effects of different kinds of impurities on the surface tension coefficient of liquid (In Chinese). Research and Exploration inLaboratory, 2013, 32(4): 43-46. ( 0) |
| [12] |
Arye G, Trifonov P, Ilani T. Effect of pH on dynamic and equilibrium surface tension of dissolve organic matter.EGU General Assembly Conference . EGU General Assembly Conference Abstracts, 2014, 16.
( 0) |
| [13] |
肖振华, 万洪富. 灌溉水质对土壤水力性质和物理性质的影响. 土壤学报, 1998, 35(3): 359-366. Xiao Z H, Wan H F. Effect of irrigation water quality on soil hydraulic and physical properties (In Chinese). Acta Pedologica Sinica, 1998, 35(3): 359-366. DOI:10.11766/trxb199703240310 ( 0) |
| [14] |
王正烈. 液滴在固体水平面上的相对界面自由能曲线Young氏方程的导出. 化学学报, 1980, 38(2): 11-19. Wang Z L. The relative interfacial free energy curve of a liquid drop on a horizontal solid plate and derivation of Young's equation (In Chinese). Acta Chimica Sinica, 1980, 38(2): 11-19. ( 0) |
| [15] |
Wang J R. Dialogues on Young-Laplace equation and Kelvin equation . College Physics, 2007, 26(9): 4-7.
( 0) |
| [16] |
张俊然, 许强, 孙德安. 多次干湿循环后土-水特征曲线的模拟. 岩土力学, 2014, 35(3): 689-695. Zhang J R, Xu Q, Sun D A. Simulation of soil-water characteristic curves during drying and wetting cycles (In Chinese). Rock and Soil Mechanics, 2014, 35(3): 689-695. ( 0) |
| [17] |
栾茂田, 李顺群, 杨庆. 非饱和土的基质吸力与张力吸力. 岩土工程学报, 2006, 28(7): 863-868. Luan M T, Li S Q, Yang Q. Matric suction and tension suction of unsaturated soils (In Chinese). Chinese Journal of Geotechnical Engineering, 2006, 28(7): 863-868. ( 0) |
| [18] |
贺炜, 赵明华, 陈永贵, 等. 土-水特征曲线滞后现象的微观机制与计算分析. 岩土力学, 2010, 31(4): 1078-1083. He W, Zhao M H, Chen Y G, et al. Theoretical study ofmicroscopical mechanisms and computational method of hysteresis in SWCCs (In Chinese). Rock and Soil Mechanics, 2010, 31(4): 1078-1083. ( 0) |
| [19] |
郑少河, 金剑亮, 姚海林, 等. 地表蒸发条件下的膨胀土初始开裂分析. 岩土力学, 2006, 27(12): 2229-2233. Zheng S H, Jin J L, Yao H L, et al. Analysis of initial cracking behavior of expansive soil due to evaporation (In Chinese). Rock and Soil Mechanics, 2006, 27(12): 2229-2233. DOI:10.3969/j.issn.1000-7598.2006.12.027 ( 0) |
| [20] |
Wang X, Li J. A novel liquid bridge model for estimating SWCC and permeability of granular material . Powder Technology, 2015, 275: 121-130. DOI:10.1016/j.powtec.2015.01.044
( 0) |
| [21] |
张中彬, 彭新华. 土壤裂隙及其优先流研究进展. 土壤学报, 2015, 52(3): 477-488. Zhang Z B, Peng X H. A review of researches on soil cracks and their impacts on preferential flow (In Chinese). Acta Pedologica Sinica, 2015, 52(3): 477-488. ( 0) |
| [22] |
Gerke H H. Preferential flow descriptions for structured soils . Journal of Plant Nutrition and Soil Science, 2006, 169(3): 382-400. DOI:10.1002/(ISSN)1522-2624
( 0) |
| [23] |
张展羽, 朱文渊, 朱磊, 等. 根系及盐分含量对农田土壤干缩裂缝发育规律的影响. 农业工程学报, 2014, 30(20): 83-89. Zhang Z Y, Zhu W Y, Zhu L, et al. Effects of roots and salinity on law of development for farmland soil desiccation crack (In Chinese). Transactions of the Chinese Society of Agricultural Engineering, 2014, 30(20): 83-89. DOI:10.3969/j.issn.1002-6819.2014.20.011 ( 0) |
| [24] |
盛丰, 张利勇, 王康. 土壤大孔隙发育特征对水和溶质输移的影响. 土壤, 2015, 47(5): 1007-1013. Sheng F, Zhang L Y, Wang K. Study on developmental characteristics of macropores and their effectson soil water flow and solute transport with tracer infiltration experiments (In Chinese). Soils, 2015, 47(5): 1007-1013. ( 0) |
| [25] |
郑剑锋, 马巍, 赵淑萍, 等. 重塑土室内制样技术对比研究. 冰川冻土, 2008, 30(3): 494-500. Zheng J F, Ma W, Zhao S P, et al. Development of the specimen-preparing technique for remoulded soil samples (In Chinese). Journal of Glaciology and Geocryology, 2008, 30(3): 494-500. ( 0) |
| [26] |
黎伟, 刘观仕, 姚婷. 膨胀土裂隙图像处理及特征提取方法的改进. 岩土力学, 2014, 35(12): 3619-3626. Li W, Liu G S, Yao T. Improvement of methods for crack image processing and feature extraction of expansive soils (In Chinese). Rock andSoil Mechanics, 2014, 35(12): 3619-3626. ( 0) |
| [27] |
Liu C, Wang B J, Shi B, et al. Analytic method of morphological parameters of cracks for rock and soil based on image processing and recognition . Chinese Journal of Geotechnical Engineering, 2008, 30(9): 1383-1388.
( 0) |
| [28] |
Tang C, Shi B, Liu C, et al. Influencing factors of geometrical structure of surface shrinkage cracks in clayey soils . Engineering Geology, 2008, 101(3/4): 204-217.
( 0) |
| [29] |
范留明, 李宁. 基于数码摄影技术的岩体裂隙测量方法初探. 岩石力学与工程学报, 2005, 24(5): 792-797. Fan L M, Li N. Study on rock mass joint measurement basedon digital photogrammetry (In Chinese). Chinese Journal of Rock Mechanics and Engineering, 2005, 24(5): 792-797. ( 0) |
| [30] |
尹小涛, 党发宁, 丁卫华, 等. 岩土CT图像中裂纹的形态学测量. 岩石力学与工程学报, 2006, 25(3): 539-544. Yin X T, Dang F N, Ding W H, et al. Morphology measurement of crack in CT images rock and soil (In Chinese). Chinese Journal of Rock Mechanics and Engineering, 2006, 25(3): 539-544. ( 0) |
| [31] |
许锡昌, 周伟, 陈善雄. 南阳重塑中膨胀土脱湿全过程裂隙开裂特征及影响因素分析. 岩土力学, 2015, 36(9): 2569-2575. Xu X C, Zhou W, Chen S X. Study of cracking characteristics and influencing factors for remolded Nanyangexpansive soil in dehydration process (In Chinese). Rock and Soil Mechanics, 2015, 36(9): 2569-2575. ( 0) |
| [32] |
朱磊, 陈玖泓, 刘德东. 土壤表面干缩裂隙形态定量分析及其数值模拟. 农业工程学报, 2016, 32(14): 8-14. Zhu L, Chen J H, Liu D D. Morphological quantity analysis of soil surface shrinkage crack and its numerical simulation (In Chinese). Transactions of the Chinese Society of Agricultural Engineering, 2016, 32(14): 8-14. DOI:10.11975/j.issn.1002-6819.2016.14.002 ( 0) |
| [33] |
唐朝生, 施斌, 刘春, 等. 影响黏性土表面干缩裂缝结构形态的因素及定量分析. 水利学报, 2007, 38(10): 1186-1193. Tang C S, Shi B, Liu C, et al. Factors affecting the surface cracking in clay due to drying shrinkage (In Chinese). Journal of Hydraulic Engineering, 2007, 38(10): 1186-1193. DOI:10.3321/j.issn:0559-9350.2007.10.006 ( 0) |
| [34] |
任文辉, 林智群, 彭道林. 液体表面张力系数与温度和浓度的关系. 湖南农业大学学报(自然科学版), 2004, 30(1): 77-79. Ren W H, Lin Z Q, Peng D L. On the relationship between the liquid surface tension and the temperature and the concentration (In Chinese). Journal of Hunan Agricultural University(Natural Science Edition), 2004, 30(1): 77-79. ( 0) |
| [35] |
Tang A M, Cui Y J. Controlling suction by vapour equilibrium technique at different temperatures, application to the determination of the waterretention properties of MX80 clay . Canadian Geotechnical Journal, 2007, 42(1): 287-296.
( 0) |
| [36] |
唐朝生, 崔玉军, Anh-minh Tang, 等. 膨胀土收缩开裂过程及其温度效应. 岩土工程学报, 2012, 34(12): 2181-2187. Tang C S, Cui Y J, Anh-minh Tang, et al. Expansive soil shrinkage cracking process and temperature effects (In Chinese). Chinese Journal of Geotechnical Engineering, 2012, 34(12): 2181-2187. ( 0) |
2018, Vol. 55



0)