2. 南京农业大学资源与环境科学学院,南京 210095;
3. 江苏省海洋生物学重点实验室,南京 210095;
4. 南京农业大学农学院,南京 210095;
5. 新疆农业大学草业与环境科学学院,乌鲁木齐 830052
土壤盐渍化阻碍植物生长、影响农业生产,一直是世界性的资源与生态问题之一。全世界大约20%的栽培地和近50%的灌溉地受到盐渍化的影响,由于旱地土壤水分强烈蒸发,地表积盐较重,很容易引起土壤盐渍化。预计至2050年,可耕地的50%面临盐渍化[1]。我国耕地中,稳产高产田不足10%,大部分中低产田也是干旱、盐碱所致。水稻是我国种植面积最广的作物之一,在我国盐碱化的稻田面积约占水稻栽培总面积的1/5,并且有扩大和蔓延的趋势,然而,水稻是对盐害较为敏感的重要作物[2],因此,为提高盐碱化稻田的产量,有关水稻抗盐调控的研究日益受到重视。
褪黑素(N-乙酰-5-甲氧基色胺,Melatonin,MT,化学式C13H16N2O2)是广泛存在于动植物体内的一类重要的吲哚类化合物[3]。MT的研究早期主要集中在哺乳动物,其在动物体内担任抗氧化防御系统的角色,调节脊椎动物(尤其是哺乳动物)的节律现象及完成各种免疫应答,作为信号传导物质完成鸟类和鱼类的生殖信号传递等。随后MT在植物中被发现,它在植物体具有多种生理功能,如可保护叶绿素、调节植物光周期,有类似于生长素(IAA)的生长调节作用,可提高真菌和高等植物对环境的耐受性[4]。随着对植物MT研究的深入,越来越多的研究发现,尽管MT在植物体内含量微少,却在生理调节、增强植物抗逆性等方面起着非常重要的作用,它可以缓解重金属、盐离子等化学物质以及紫外辐射、温度变化等逆境压力对高等植物的损害,赋予植物抵抗不良环境的能力[5]。MT在提高向日葵[6-7]、黄瓜[8-9]、番茄[10-11]等作物耐盐性方面也有一些文献报告,主要集中在抗氧化和光合作用等方面的研究;也有关于MT处理对大豆耐盐性调控的基因组分析[12]、对百慕大草耐盐性的转录组分析[13]和黄瓜耐盐性的蛋白组分析[14];主要施用方法是MT灌根或添加至培养液中。有关水稻上褪黑素施用的文献很少,已有的一些涉及水稻抗性方面的文献偏重于重金属胁迫的调控[15-17],在水稻耐盐性调控方面的文献极为匮缺,Zheng等[18]和Liang等[19]主要从叶片活性氧代谢、叶片抗衰老、叶绿体的保护等方面阐述了MT对水稻耐盐性的增强,施用方法是外源添加至培养液中。本研究以适宜江苏省苏中及宁镇扬丘陵地区种植的迟熟中粳稻品种“盐稻12号”为材料,采用农业生产中常用的外源喷施手段,设置了喷施多个褪黑素(MT)浓度(0、25、50、100、200、400 µmol L-1),探讨外源MT调节盐胁迫下水稻幼苗生长的浓度效应,并探讨了盐胁迫下MT对水稻幼苗矿质营养吸收和转运、Na吸收和转运以及离子的选择性吸收和运输等的调控效应,以明确MT诱导水稻幼苗抗盐性的效果及可能的生理机制,为作物的抗盐栽培以及应用MT缓解作物盐害提供更多的理论和实践依据。
1 材料与方法 1.1 供试材料以水稻“盐稻12号”(Oryza sativa L.)为试验材料。褪黑素(M5250-5G)(Melatonin,缩写为MT)购买于Sigma-Aldrich试剂公司(中国),其纯度≥98%(TLC)。
1.2 试验设计挑选大小一致、饱满的水稻种子经过5% NaClO消毒10 min后水培育苗,待长至三叶期时,选取长势一致的幼苗移栽至周转箱中(规格:320 cm×210 cm×110 cm),周转箱表面放置打有栽植孔的聚乙烯树脂板,每块树脂板有12孔穴。水稻移栽时用海绵固定至孔内,每穴种植2株,移栽后用国际水稻研究所的常规营养液进行培养,6 d后,转入含不同盐分(0、75 mmol L-1 NaCl)的营养液进行处理,同时外喷不同浓度MT(0、25、50、100、200、400 μmol L-1 MT)。处理设置如下:(1)营养液+喷施去离子水(对照CK);(2)营养液+75 mmol L-1 NaCl+喷施去离子水(S75);(3)营养液+75 mmol L-1 NaCl+喷施25 μmol L-1 MT(S75+MT1);(4)营养液+75 mmol L-1 NaCl+喷施50 μmol L-1 MT(S75+MT2);(5)营养液+75 mmol L-1 NaCl+喷施100 μmol L-1;MT(S75+MT3)、(6)营养液+75 mmol L-1 NaCl+喷施200 μmol L-1 MT(S75+MT4);(7)营养液+75 mmol L-1 NaCl+喷施400 μmol L-1 MT(S75+MT5)。每个处理6箱,处理期间每隔1 d更换1次处理液,于傍晚隔1 d叶面喷施去离子水或不同浓度的MT,处理15 d后采样进行指标测定。整个培养期间温度为25.0±4.0 ℃(白天),22.0±2.0 ℃(夜间),相对湿度55.2%±10.3%(白天)及58.1%±6.2%(夜间)。
本试验营养液采用国际水稻研究所(IRRI)配方[20],并略加改进(用FeEDTA替代柠檬酸铁),营养液组成成分如下:1.43 mmol L-1 NH4NO3、0.32 mmol L-1 NaH2PO4、0.51 mmol L-1 K2SO4、1.00 mmol L-1 CaCl2·2H2O、1.64 mmol L-1 MgSO4·7H2O、1 mmol L-1 Na2SiO3·9H2O、36 µmol L-1 Na2EDTA、9 µmol L-1 MnCl2·4H2O、0.08 µmol L-1 Na2MoO4·2H2O、19 µmol L-1 H3BO3、0.15 µmol L-1 ZnSO4·7H2O、0.16 µmol L-1 CuSO4·5H2O、36 µmol L-1 FeSO4·5H2O,并调节pH至5.5±0.05。
1.3 水稻幼苗株高、生物量和根冠比测定于处理15 d时用刻度钢尺(最小单位1 mm)测量水稻苗株高。然后将水稻苗从孔穴中取出,先用自来水冲洗,再用蒸馏水将鲜样反复冲洗,用吸水纸吸干表面水分,分为地上部和根部两部分,分别装在信封袋里于105℃烘箱杀青15 min后再75℃烘干至恒重,称得干重(DW)。按照下列公式计算根冠比:
| $ 根冠比=根干重/地上干重 $ |
将上述烘干后的植株磨碎后过40目不锈钢筛,得到待用干样品。参考鲍士旦[21]方法进行测定:植株N、P和K的测定采用H2SO4-H2O2方法消解;Na的提取采用HNO3消解方法。使用流动注射分析仪(AutoAnalyer AA3, 德国)对待测样品氮含量进行测定;其他元素含量则采用ICP-OES电感耦合等离子体原子发射光谱仪(Agilent Technologies 710, 澳大利亚)进行测定。
1.5 植株转运系数和离子选择性系数计算植株矿质营养或Na转运系数按照赵海燕等[22]方法计算,公式如下:
| $ 矿质营养转运系数\left( {{\rm{Translocation factor, TF}}} \right) = 地上部矿质营养含量/根部矿质营养含量 $ |
| $ {\rm{Na}}转运系数\left( {{\rm{Na-TF}}} \right) = 地上部{\rm{Na}}含量/根部{\rm{Na}}含量 $ |
由样品中的K、Na含量(mmol g-1 DW),可计算水稻对K、Na吸收和运输的选择性比率(Selectivity ratio),即SK, Na,按下列公式[22]计算:
| $ 根吸收{{\rm{S}}_{K, {\rm{Na}}}}\left( {{\rm{A}}{{\rm{S}}_{K, {\rm{Na}}}}} \right) = \left( {根{\rm{K/Na}}} \right)/\left( {介质{\rm{K/Na}}} \right) $ |
| $ 地上部运输{{\rm{S}}_{{\rm{K}}, {\rm{Na}}}}\left( {{\rm{T}}{{\rm{S}}_{{\rm{K}}, {\rm{Na}}}}} \right) = \left( {地上部{\rm{K/Na}}} \right)/\left( {根{\rm{K/Na}}} \right) $ |
利用Microsoft Excel 2010和SPSS 17.0软件进行数据处理、作图和统计分析,数据均为“平均数±标准差”格式,采用邓肯(Duncan)新复极差测验法(p < 0.05)进行显著性分析。
2 结果 2.1 盐胁迫下褪黑素对水稻幼苗生长的调控与对照相比,盐胁迫下,水稻幼苗的株高、干重显著下降(p < 0.05)(图 1、图 2),其中植株干重下降64%(图 1B);根冠比略增加,但未达显著水平(p > 0.05)(图 2C)。外源喷施25~400 μmol L-1 MT能够有效逆转该现象,并且随着浓度的升高,该逆转效应更趋显著,在MT施用浓度200 μmol L-1时达到最大逆转效应,当MT浓度达到400 μmol L-1时,逆转效应不再上升,即从数据上看,MT浓度为200和400 μmol L-1时,植株生长指标差异均不显著(图 1、图 2)。75 mmol L-1 NaCl胁迫15 d,喷施200 μmol L-1 MT的植株干重增加130%(图 1B),其中,地上部干重增加134%(图 2A),根部干重增加89%(图 2B)。
|
图 1 盐胁迫下不同浓度褪黑素处理对水稻幼苗株高(A)和生物量(B)的影响 Fig. 1 Effects of spraying of MT on plant height (A) and dry weight (B) of rice seedlings under salt stress relative to MT concentration 注:CK:喷施去离子水,S75:75 mmol L-1 NaCl+喷施去离子水,S75+MT1:75 mmol L-1 NaCl+喷施25 μmol L-1 MT,S75+MT2:75 mmol L-1 NaCl+喷施50 μmol L-1 MT,S75+MT3:75 mmol L-1 NaCl+喷施100 μmol L-1 MT,S75+MT4:75 mmol L-1 NaCl+喷施200 μmol L-1 MT,S75+MT5:75 mmol L-1 NaCl+喷施400 μmol L-1 MT。不同的小写字母表示处理间差异显著(p < 0.05)。下同 Note: CK: spraying ddH2O, S75: 75 mmol L-1 NaCl+spraying ddH2O, S75+MT1: spraying 75 mmol L-1 NaCl+25 μmol L-1 MT, S75+MT2: 75 mmol L-1 NaCl+50 μmol L-1 MT, S75+MT3: 75 mmol L-1 NaCl+100 μmol L-1 MT, S75+MT4: 75 mmol L-1 NaCl+200 μmol L-1 MT, S75+MT5: 75 mmol L-1 NaCl+400 μmol L-1 MT. The different lower-case letters on the columns mean significant difference at the level of 5%. The same below |
|
图 2 盐胁迫下不同浓度褪黑素处理对水稻幼苗地上部干重(A)、根部干重(B)和根冠比(C)的影响 Fig. 2 Effects of spraying of MT on dry weight of shoot (A) and root (B), and root shoot ratio (C) of rice seedlings under salt stress relative to MT concentration |
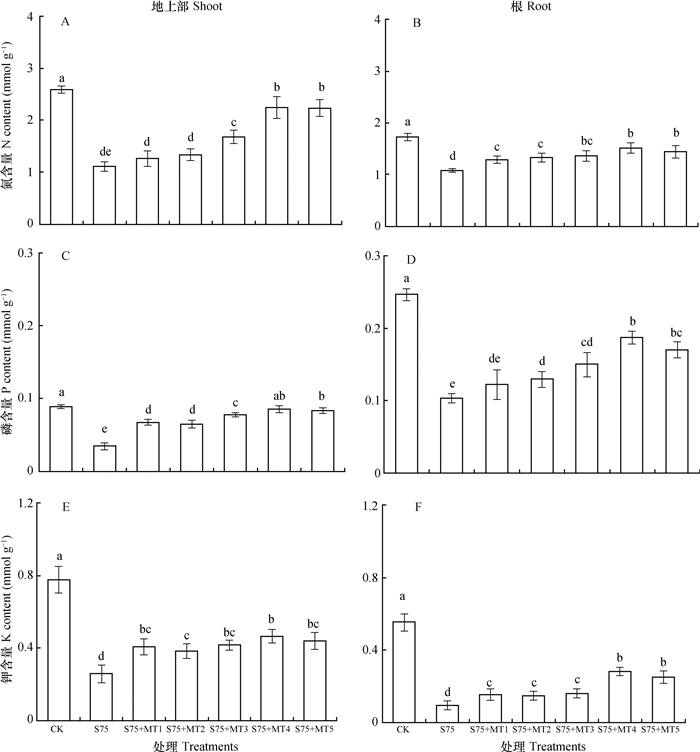
盐胁迫下,外源MT可明显提高水稻幼苗地上部和根部N、P、K含量,且随MT浓度的上升,其含量不断升高。当MT浓度达到400 μmol L-1时,不再显著升高,即从数据上看,MT浓度为200和400 μmol L-1时,植株地上部和根部N、P、K含量差异均不显著(图 3)。数据表明,75 mmol L-1 NaCl胁迫处理15 d,地上部N、P、K含量分别较对照下降57%、62%和67%,而喷施200 μmol L-1 MT时,地上部N、P、K含量分别较单独盐处理的上升103%、150%、77%(图 3A、图 3C和图 3E)。75 mmol L-1 NaCl胁迫15 d,根部N、P、K含量分别较对照下降37%、58%和83%,而喷施200 μmol L-1 MT下,地上部N、P、K含量分别较盐处理上升40%、82%、196%(图 3B、图 3D和图 3F)。与对照相比,盐胁迫下氮转运系数(N-TF)显著下降(图 4A),P-TF不受影响(图 4B),而K-TF显著上升(图 4C)。外源MT可以明显提高植株的N-TF、P-TF和K-TF(图 4)。不同的是,随着MT浓度的上升,N-TF不断上升(图 4A),P-TF无显著变化(图 4B),而K-TF起初无显著变化,MT浓度为200和400 μmol L-1时,K-TF显著下降,但仍显著高于对照(图 4C)。
|
图 3 盐胁迫下不同浓度褪黑素处理对水稻幼苗地上部氮(A)、磷(C)、钾(E)含量和根部氮(B)、磷(D)、钾(F)含量的影响 Fig. 3 Effects of spraying of MT on contents of N (A), P (C) and K (E) in shoot, and N (B), P (D) and K (F) in root of rice seedlings under salt stress relative to MT concentration |
|
图 4 盐胁迫下不同浓度褪黑素处理对水稻幼苗N-TF(A)、P-TF(B)和K-TF(C)的影响 Fig. 4 Effects of spraying of MT on N-TF (A), P-TF (B) and K-TF (C) of rice seedlings under salt stress relative to MT concentration |
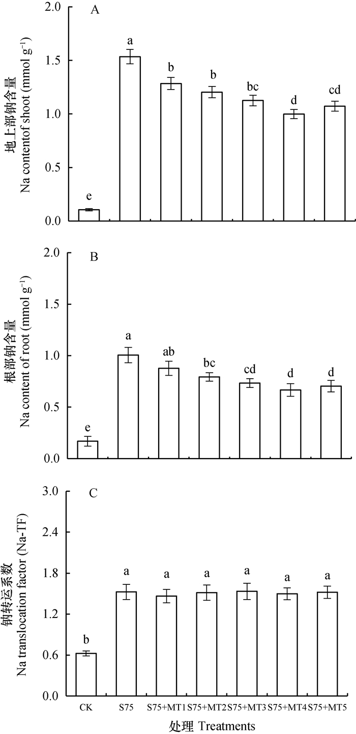
盐胁迫下,水稻幼苗地上部和根部Na含量明显上升,尤其是地上部;而喷施MT,可有效降低植株Na含量,且随着MT浓度的上升,降低效应更加显著,当MT浓度达到400 μmol L-1时,不再进一步降低,即从数据上看,MT浓度为200和400 μmol L-1时,植株地上部和根部Na含量差异均不显著(图 5A和图 5B)。数据表明,75 mmol L-1 NaCl胁迫下15 d,喷施200 μmol L-1 MT,地上部Na含量降低35%(图 5A),根部Na含量降低34%(图 5B)。而在盐胁迫下喷施不同浓度MT处理下,植株Na-TF无显著变化(图 5C)。
|
图 5 盐胁迫下不同浓度褪黑素对水稻幼苗地上部Na含量(A)、根部Na含量(B)和Na转运系数(C)的影响 Fig. 5 Effects of spraying of MT on shoot Na content (A), root Na content (B) and Na translocation factor (C) of rice seedlings under salt stress relative to MT concentration |
由表 1可知,在盐胁迫下,水稻幼苗根和地上部的K/Na比值明显下降,外源喷施MT可使得K/Na比值上升,并随着MT浓度的增加而上升,在MT浓度200 μmol L-1(MT4)时,根和地上部K/Na比值达到最大值,当MT浓度达到400 μmol L-1(MT5)时,K/Na比值不再显著增加。SK, Na反映植物对不同离子吸收或运输的选择性程度。研究发现,盐胁迫下,水稻幼苗根的吸收SK, Na(ASK, Na)和地上部转运SK, Na(TSK, Na)均显著下降;外源MT显著提高根的SK, Na,在MT浓度200 μmol L-1(MT4)时,根SK, Na达到最大值,当MT浓度达到400 μmol L-1(MT5)时,SK, Na不再显著增加。盐胁迫下,25~100 μmol L-1 MT(MT1、MT2、MT3)施用对TSK, Na的变化无显著影响,但200、400 μmol L-1 MT(MT4、MT5)处理下的TSK, Na显著下降(表 1)。
|
|
表 1 盐胁迫下不同浓度褪黑素处理对水稻幼苗K/Na和SK, Na的影响 Table 1 Effects of spraying of MT on K/Na and SK, Na of rice seedlings under salt stress relative to MT concentration |
盐胁迫阻碍了植物体内一些重要的生理生化过程,破坏了原有的植物体机能。添加外源化学物质或植物生长物质可有效提高植物的耐盐性[23]。诸多研究表明,褪黑素(MT)能够作为一种非常有潜力的调节剂,在植物生长发育过程中起到极其重要的作用:Wei等[12]以大豆为材料,以0、50、100 μmol L-1 MT浸种,研究MT对大豆生长发育以及干旱、盐渍胁迫下的调控效应,发现无论是在非胁迫条件,还是干旱、盐渍等胁迫条件下,50、100 μmol L-1 MT均能促进大豆种子的萌发和生长,提高叶片叶绿素含量,提升大豆的产量和品质,且50、100 μmol L-1 MT处理下这些指标均无显著差异。张娜等[24]研究表明,在150 mmol L-1 NaCl处理下,分别添加100、300、500和1 000 μmol L-1 MT可不同程度地促进狼尾草种子萌发,其中300和500 μmol L-1 MT处理效果较明显。Li等[25]发现在100 mmol L-1 NaCl胁迫下,施加0.1 μmol L-1 MT可提高湖北海棠的叶绿素含量和净光合速率。杜天浩等[26]发现在150 mmol L-1 NaCl胁迫下对番茄分别根施1、50、100、150、200 μmol L-1 MT,外源50 μmol L-1的MT调控效果最佳,不仅显著增加了产量,还显著提高番茄果实中可溶性糖、维生素C、可溶性固形物和β-胡萝卜素含量,从而提高番茄果实的品质。Han等[27]在水稻上喷施20和100 μmol L-1 MT,明显提高其抗冷性,且100 μmol L-1 MT喷施的效果要高于20 μmol L-1 MT处理的。水稻上喷施MT调控其耐盐性的研究几无文献资料报道,本研究发现,盐胁迫下水稻生长明显受到抑制,其地上部生长抑制更为明显,从而导致根冠比上升,而外喷25、50、100、200、400 μmol L-1 MT均能不同程度促进盐胁迫下水稻幼苗的生长,降低根冠比。说明MT对地上部生长的改善要稍大于根部,随着MT浓度的上升,这种改善越发明显。在MT施用浓度200 μmol L-1时达到最大调控效果,即75 mmol L-1 NaCl胁迫下15 d,喷施200 μmol L-1 MT的植株干重增加高达130%,根冠比也显著低于仅仅盐处理的水稻。虽然MT的施用方式以灌根比较多,在不同植物耐盐性的调控效果上也有所差异,本研究叶面喷施MT显著提高地上部生长的积极效果会为进一步推广使用MT提供坚实的理论基础。
水稻对氮磷钾等大量元素的吸收和转运对其生长、发育和产量形成等影响较大,决定了种植水稻的经济效益[28]。本研究表明,喷施MT明显提高了盐胁迫下水稻根部和地上部氮、磷、钾的含量,这对于维持水稻体内的养分平衡、保证正常的生理代谢、促进植株生长具有重要意义。在植物体中,氮素是决定植物产量和质量的最重要营养元素之一,且具有向生长中心和重要器官转移的特点[29]。由于水稻不耐盐,盐胁迫下,N-TF显著下降,即向地上部转运氮的能力下降,喷施MT可明显缓解盐胁迫对水稻的伤害,加快氮向地上部积累,从而提高其耐盐性,并在MT最佳施用浓度,表现出最佳的调控效果。磷素营养的改善明显提高了作物的渗透调节能力和细胞膜的稳定性,改变了植株水分状况,从而提高抗逆性[22]。本研究中,MT可明显提高盐胁迫水稻根部和地上部的磷含量,尤其是地上部的磷含量。诸多研究表明,钾是植物体内最重要的无机渗透调节剂,其累积过程参与了细胞对环境的适应[30],一些经济植物如烟草等的钾含量与品质关系尤为密切[29]。盐胁迫下,维持钾的吸收和K/Na离子稳态对植物在盐渍下的生长尤为重要[31]。Li等[32]研究表明,盐胁迫下,外施0.1 μmol L-1MT可正向调控湖北海棠活性氧(ROS)信号和钾通道蛋白的基因表达,显著缓解植株钾吸收和分配的抑制,从而提高根、茎、叶中钾含量。Jiang等[33]在玉米上的研究不同于湖北海棠,盐胁迫下,1 μmol L-1 MT显著增加了玉米地上部钾含量、降低了地上部钠含量,从而显著增加其地上部K/Na比;但MT对玉米根部钾的提升和钠的降低均无显著效果。本研究表明:MT可明显提高盐胁迫水稻根部和地上部的钾含量,降低盐胁迫水稻根部和地上部的钠含量,并与生长的调控特征一致,即随着MT浓度的上升,钾提高和钠降低的效果愈来愈显著。Liu等[34]研究表明:75 mmol L-1 NaHCO3胁迫下,添加0.5 μmol L-1 MT可显著增加番茄叶片的钾含量,降低叶片的钠含量,从而显著提升植株叶片的K/Na比,增强其耐盐性,在这一过程中NO作为MT的下游信号,发挥着积极作用。Li等[32]发现100 mmol L-1 NaCl胁迫下,添加0.1 μmol L-1 MT可明显降低湖北海棠叶片的钠含量,但增加根和茎的钠含量,显著提高植株根、茎、叶中的钾含量。叶片中离子稳态的改善最为显著,主要是由于其钾通道基因MdNHX1和MdAKT1被显著上调的结果[32]。在MT调控K、Na离子稳态中,不同的作物中得到的结果不尽相同,主要是由于胁迫类型(如中性盐胁迫和碱性盐胁迫)、胁迫强度、胁迫时间、作物种类不同。本研究通过K/Na和SK, Na的计算发现,盐胁迫下MT显著提高水稻根钾选择性吸收,表明根部通过选择性吸收钾和调控不同离子向地上部运输,维持相当高的根ASK, Na,这是MT提高水稻耐盐性的主要贡献之一,和在油菜上油菜素内酯的调控结果[35-36]很类似。马梅等[36]研究表明,油菜素内酯明显降低盐胁迫油菜叶柄的TSK, Na,增加油菜叶片的TSK, Na。本研究表明,随着MT处理浓度的上升,水稻的耐盐性不断上升,而TSK, Na却显著下降,与在油菜上油菜素内酯的调控结果[35-36]不同。随着MT浓度的上升,改善叶片耐盐性的效果愈来愈强,推测主要在于高亲和性钾离子转运蛋白(HKT)、质膜Na/H逆向运输蛋白(SOS1)、液泡膜Na/H逆向运输蛋白(NHX)、H+-ATPase等膜蛋白受到调控,从而在亚细胞水平上,水稻根的离子选择性得到增强,表现为水稻根ASK, Na上升。而叶片液泡封存钠的能力明显上升,从而更多份额的钠被转运、封存于叶片液泡中,表现为水稻叶片TSK, Na下降,叶片耐盐力增强。
4 结论盐胁迫下,喷施25~400 µmol L-1 MT可明显提高水稻幼苗的氮磷钾吸收,降低植株钠的积累,显著提高了植株对钾的选择性吸收,维持体内的离子稳态,增加植株地上部和根部生物量积累,从而显著提高水稻幼苗的耐盐性,其中,提高植株耐盐的最适MT喷施浓度为200 µmol L-1。当然,MT对水稻的上述矿质营养和盐离子转运调控机制尚需深入探讨,作为本试验的对比,探讨在非盐胁迫(即正常条件)下适宜MT对植株生长、矿质营养转运的影响也是必要的,这些生理功能的调控与MT抗氧化的相关性也需进一步研究。
| [1] |
Jan A, Osman M B, Amanullah. Response of chickpea to nitrogen sources under salinity stress . Journal of Plant Nutrition, 2013, 36(9): 1373-1382. DOI:10.1080/01904167.2013.792837
( 0) |
| [2] |
孙志国, 刘冉, 吴昊, 等. 保水缓释肥对盐胁迫下水稻生长和光合特性的调控. 土壤学报, 2016, 53(3): 757-767. Sun Z G, Liu R, Wu H, et al. Regulation of water retaining slowly-release fertilizer on growth and photosynthesis of rice under salt stress(In Chinese) (In Chinese). Acta Pedologica Sinica, 2016, 53(3): 757-767. ( 0) |
| [3] |
Favero G, Franceschetti L, Buffoli B, et al. Melatonin: Protection against age-related cardiac pathology . Ageing Research Reviews, 2017, 35: 336-349. DOI:10.1016/j.arr.2016.11.007
( 0) |
| [4] |
Shi H T, Chen K L, Wei Y X, et al. Fundamental issues of melatonin-mediated stress signaling in plants. Frontiers in Plant Science, 2016, 7. Article 1124. 6 pages. doi: 10.3389/fpls.2016.011
( 0) |
| [5] |
Nawaz M A, Huang Y, Bie Z L. Melatonin: Current status and future perspectives in plant science. Frontiers in Plant Science, 2016, 6. Article 1230. 13 pages. doi: 10.3389/fpls.2015.01230
( 0) |
| [6] |
Arora D, Bhatla S C. Melatonin and nitric oxide regulate sunflower seedling growth under salt stress accompanying differential expression of Cu/Zn SOD and Mn SOD . Free Radical Biology and Medicine, 2017, 106: 315-328. DOI:10.1016/j.freeradbiomed.2017.02.042
( 0) |
| [7] |
Kaur H, Bhatla S C. Melatonin and nitric oxide modulate glutathione content and glutathione reductase activity in sunflower seedling cotyledons accompanying salt stress . Nitric Oxide, 2016, 59: 42-53. DOI:10.1016/j.niox.2016.07.001
( 0) |
| [8] |
Wang L Y, Liu J L, Wang W X, et al. Exogenous melatonin improves growth and photosynthetic capacity of cucumber under salinity-induced stress . Photosynthetica, 2016, 54(1): 19-27. DOI:10.1007/s11099-015-0140-3
( 0) |
| [9] |
Zhang H J, Zhang N, Yang R C, et al. Melatonin promotes seed germination under high salinity by regulating antioxidant systems, ABA and GA4 interaction in cucumber(Cucumis sativus L.) . Journal of Pineal Research, 2014, 57(3): 269-279. DOI:10.1111/jpi.2014.57.issue-3
( 0) |
| [10] |
Zhou X T, Zhao H L, Cao K, et al. Beneficial roles of melatonin on redox regulation of photosynthetic electron transport and synthesis of D1 protein in tomato seedlings under salt stress. Frontiers in Plant Science, 2016, 7. Article 1823. 10 pages. doi: 10.3389/fpls.2016.01823
( 0) |
| [11] |
徐芳. 转褪黑素合成酶基因番茄Micro-Tom的获得及盐胁迫下转基因植株抗氧化性研究. 西安: 西北大学, 2014 Xu F. The production of transgenic tomato cultivar micro-tom plants expressing melatonin synthetase genes and the studies on antioxidative capacity in transgenic plants under salt stress(In Chinese). Xi'an: Northwest University, 2014 http://cdmd.cnki.com.cn/Article/CDMD-10697-1014254005.htm ( 0) |
| [12] |
Wei W, Li Q T, Chu Y N, et al. Melatonin enhances plant growth and abiotic stress tolerance in soybean plants . Journal of Experimental Botany, 2014, 66(3): 695-707.
( 0) |
| [13] |
Shi H T, Jiang C, Ye T T, et al. Comparative physiological, metabolomic, and transcriptomic analyses reveal mechanisms of improved abiotic stress resistance in bermudagrass[Cynodon dactylon(L). Pers.] by exogenous melatonin . Journal of Experimental Botany, 2014, 66(3): 681-694.
( 0) |
| [14] |
Zhang N, Zhang H J, Sun Q Q, et al. Proteomic analysis reveals a role of melatonin in promoting cucumber seed germination under high salinity by regulating energy production. Scientific Reports, 2017, 7. Article 503. 15 pages. doi: 10.1038/s41598-017-00566-1
( 0) |
| [15] |
刘仕翔, 黄益宗, 罗泽娇, 等. 褪黑素对水稻镉积累及其化学结合形态的影响. 应用生态学报, 2017, 28(5): 1588-1594. Liu S X, Huang Y Z, Luo Z J, et al. Effects of exogenous melatonin on accumulation and chemical form of Cd in rice(In Chinese) (In Chinese). Chinese Journal of Applied Ecology, 2017, 28(5): 1588-1594. ( 0) |
| [16] |
Lee K, Back K. Overexpression of rice serotonin N-acetyltransferase 1 in transgenic rice plants confers resistance to cadmium and senescence and increases grain yield . Journal of Pineal Research, 2017, 62(3): e12392. DOI:10.1111/jpi.2017.62.issue-3
( 0) |
| [17] |
刘仕翔, 黄益宗, 罗泽娇, 等. 褪黑素对水稻幼芽镍胁迫的缓解作用. 环境科学, 2017, 38(4): 1675-1682. Liu S X, Huang Y Z, Luo Z J, et al. Alleviation effects of exogenous melatonin on Ni toxicity in rice seedings(In Chinese) (In Chinese). Environmental Science, 2017, 38(4): 1675-1682. ( 0) |
| [18] |
Zheng X, Tan D X, Allan A C, et al. Chloroplastic biosynthesis of melatonin and its involvement in protection of plants from salt stress. Scientific Reports, 2017, 7. Article 41236. 12 pages. doi: 10.1038/srep41236
( 0) |
| [19] |
Liang C, Zheng G, Li W, et al. Melatonin delays leaf senescence and enhances salt stress tolerance in rice . Journal of Pineal Research, 2015, 59(1): 91-101. DOI:10.1111/jpi.12243
( 0) |
| [20] |
Zhang F T, Cui F L, Zhang L X, et al. Development and identification of a introgression line with strong drought resistance at seedling stage derived from Oryza sativa L. mating with Oryza rufipogon Griff . Euphytica, 2014, 200(1): 1-7. DOI:10.1007/s10681-014-1121-5
( 0) |
| [21] |
鲍士旦. 土壤农化分析. 北京: 中国农业出版社, 2000. Bao S D. Soil and agricultural chemistry analysis(In Chinese) (In Chinese). Beijing: China Agriculture Press, 2000. ( 0) |
| [22] |
赵海燕, 孙志国, 管永祥, 等. 保水缓释肥对盐胁迫下水稻矿质元素分配的调控. 土壤学报, 2016, 53(5): 1316-1325. Zhao H Y, Sun Z G, Guan Y X, et al. Regulation of water retaining controlled-release fertilizer on distribution of mineral elements in rice plants under salt stress(In Chinese) (In Chinese). Acta Pedologica Sinica, 2016, 53(5): 1316-1325. ( 0) |
| [23] |
王弯弯, 诸葛玉平, 王慧桥, 等. 外源NO对盐胁迫下小麦幼苗生长及生理特性的影响. 土壤学报, 2017, 54(2): 516-524. Wang W W, Zhuge Y P, Wang H Q, et al. Effects of exogenous nitric oxide on growth and physiological characteristics of wheat seedlings under salt stress(In Chinese) (In Chinese). Acta Pedologica Sinica, 2017, 54(2): 516-524. ( 0) |
| [24] |
张娜, 蒋庆, 李殿波, 等. 外源施加褪黑素对NaCl胁迫下狼尾草种子萌发及相关生理指标的影响. 中国农业大学学报, 2014, 19(4): 54-60. Zhang N, Jiang Q, Li D B, et al. Effect of exogenous melatonin on germination of pennisetum alopecuroides under NaCl stress(In Chinese) (In Chinese). Journal of China Agricultural University, 2014, 19(4): 54-60. ( 0) |
| [25] |
Li C, Wang P, Wei Z, et al. The mitigation effects of exogenous melatonin on salinity-induced stress in Malus hupehensis . Journal of Pineal Research, 2012, 53(3): 298-306. DOI:10.1111/jpi.2012.53.issue-3
( 0) |
| [26] |
杜天浩, 周小婷, 朱兰英, 等. 褪黑素处理对盐胁迫下番茄果实品质及挥发性物质的影响. 食品科学, 2016, 37(15): 69-76. Du T H, Zhou X T, Zhu L Y, et al. Effect of melatonin treatment on tomato fruit quality and volatile compounds under salt stress(In Chinese) (In Chinese). Food Science, 2016, 37(15): 69-76. DOI:10.7506/spkx1002-6630-201615012 ( 0) |
| [27] |
Han Q H, Huang B, Ding C B, et al. Effects of melatonin on anti-oxidative systems and photosystem Ⅱ in cold-stressed rice Seedlings. Frontiers in Plant Science, 2017, 8. Article 785. doi: 10.3389/fpls.2017.00785
( 0) |
| [28] |
潘圣刚, 黄胜奇, 翟晶, 等. 氮肥用量与运筹对水稻氮素吸收转运及产量的影响. 土壤, 2012, 44(1): 23-29. Pan S G, Huang S Q, Zhai J, et al. Effects of nitrogen rate and its basal to dressing ratio on uptake, translocation of nitrogen and yield in rice(In Chinese) (In Chinese). Soils, 2012, 44(1): 23-29. ( 0) |
| [29] |
邓小华, 张瑶, 田峰, 等. 湘西植烟土壤pH和主要养分特征及其相互关系. 土壤, 2017, 49(1): 49-56. Deng X H, Zhang Y, Tian F, et al. pH and main nutrients of tobacco-growing soils and their relations in western Hunan(In Chinese) (In Chinese). Soils, 2017, 49(1): 49-56. DOI:10.11689/j.issn.2095-2961.2017.01.008 ( 0) |
| [30] |
田晓飞, 李成亮, 张民, 等. 控释钾肥对大蒜-棉花套作体系产量和土壤钾素供应的影响. 土壤学报, 2017, 54(4): 967-977. Tian X F, Li C L, Zhang M, et al. Effects of controlled-release potassium fertilizer on crop yields and soil potassium supply under cotton-garlic intercropping system(In Chinese) (In Chinese). Acta Pedologica Sinica, 2017, 54(4): 967-977. ( 0) |
| [31] |
Zheng Q, Liu J, Liu R, et al. Temporal and spatial distributions of sodium and polyamines regulated by brassinosteroids in enhancing tomato salt resistance . Plant and Soil, 2016, 400(1/2): 147-164.
( 0) |
| [32] |
Li C, Liang B, Chang C, et al. Exogenous melatonin improved potassium content in malus under different stress conditions . Journal of Pineal Research, 2016, 61(2): 218-229. DOI:10.1111/jpi.12342
( 0) |
| [33] |
Jiang C, Cui Q, Feng K, et al. Melatonin improves antioxidant capacity and ion homeostasis and enhances salt tolerance in maize seedlings . Acta Physiologiae Plantarum, 2016, 38(4): Article 82. DOI:10.1007/s11738-016-2101-2
( 0) |
| [34] |
Liu N, Gong B, Jin Z, et al. Sodic alkaline stress mitigation by exogenous melatonin in tomato needs nitric oxide as a downstream signa . Journal of Plant Physiology, 2015, 186: 68-77.
( 0) |
| [35] |
Liu J, Gao H, Wang X, et al. Effects of 24‐epibrassinolide on plant growth, osmotic regulation and ion homeostasis of salt-stressed canola . Plant Biology, 2014, 16(2): 440-450. DOI:10.1111/plb.12052
( 0) |
| [36] |
马梅, 刘冉, 郑春芳, 等. 油菜素内酯对盐渍下油菜幼苗生长的调控效应及其生理机制. 生态学报, 2015, 35(6): 1837-1844. Ma M, Liu R, Zheng C F, et al. Regulation of exogenous brassinosteroid on growth of salt-stressed canola seedlings and its physiological mechanism(In Chinese) (In Chinese). Acta Ecologica Sinica, 2015, 35(6): 1837-1844. ( 0) |
2. College of Resources and Environmental Science, Nanjing Agricultural University, Nanjing 210095, China;
3. Jiangsu Provincial Key Laboratory of Marine Biology, Nanjing 210095, China;
4. College of Agronomy, Nanjing Agricultural University, Nanjing 210095, China;
5. College of Grassland and Environmental Science, Xinjiang Agricultural University, Urumqi 830052, China
2018, Vol. 55



0)