2. 河南省农业生态环境重点实验室,郑州 450002;
3. 中国科学院新疆生态与地理研究所,乌鲁木齐 830011;
4. 新疆农业科学院土壤肥料与农业节水研究所,乌鲁木齐 830091;
5. 中国农业大学资源与环境学院,北京 100193
土壤冻融交替是由于季节或昼夜热量变化在表土及以下一定深度形成的反复冻结-解冻的土壤过程,这种现象在高纬度或高海拔地带低温生态系统的土壤非常普遍[1-5]。土壤冻结和解冻过程会对土壤的物理性质、微生物活性及微生物种群和组成产生强烈的作用。因此,土壤冻结会影响土壤中碳和氮动态过程,显著地影响土壤中N2O和CO2的排放[6]。有资料显示,冻融明显的地区,冻融期有高量的温室气体排放,其排放量在全年总排放量中占有重要份额[7-8]。例如,Lü等[9]在新疆灰漠土农田温室气体排放实验中发现,冻融期间的有机肥处理的N2O气体排放峰值甚至高于施肥期。陈哲等[7]在东北农田发现冻融期N2O和CO2的排放量是冻融前期的40倍~99倍。
造成冻融期温室气体高量排放的原因很多,主要由于积雪融化后的激发效应(春季冻融)和矿化作用[9]。例如,Burton和Beauchamp[10]对土壤冻融循环中N2O在冬季和早春时期的过度排放进行了研究,发现N2O在未冻底土中产生但却封存在冰冻表土下,从而造成N2O的累积,并在解冻时释放出来。Elberling等[11]发现土壤冻结期间部分微生物还具有活性,产生的CO2也被封存在冰冻表土下。周旺明等[12]发现冻融温度和冻融次数对土壤可溶性有机氮(DON)和可溶性有机碳(DOC)的矿化有影响,随着冻融次数的增加,土壤DOC和DON含量呈先增加后降低趋势,同时N2O和CO2排放量也呈先增加后降低的趋势。因此,春季冻融具备温室气体高量排放的条件。此外,农田冻融期间温室气体排放还和气候条件、土壤类型和耕作方式等有关,例如,冬季降雪量的多少决定了土壤高含水量的持续时间,进一步影响了农田土壤温室气体排放通量和时间[12-15]。土壤类型也是影响冻融期温室气体排放的一个重要因素,相同温湿度条件下,不同土壤颗粒组分对于土壤有机质矿化速率和土壤微生物群落构成及丰度产生大的影响[16-18]。一年一季或者两季的种植方式对于冬季土壤有机质的积累与矿化也有较大的影响,也就影响着土壤的温室气体排放。因此,开展典型地区冻融期温室气体通量研究显得尤为必要。
灰漠土是西北干旱地区重要的农业土壤和后备耕地资源,是绿洲农田的典型土壤,在全球干旱地区均有分布[19-20]。中国的灰漠土面积为65 700 km2,新疆为16 500 km2,其中耕地面积5.73×105 hm2,占全国灰漠土耕地面积的80%。灰漠土的成土母质为黄土状洪积-冲积物,部分为风积物和坡积物,是荒漠中含砾石少而含细粒多的一种土壤类型,也正应为如此,灰漠土成为我国荒漠地区最重要的可供开发利用的土壤类型之一[21-22]。近年来,随着新疆天山北坡的灰漠土农田的不断改良,以及国家投资力度的加大,灰漠土农田已经成新疆农业最重要耕地资源之一,是天山北坡经济带的根基,是昌吉、石河子、塔城、博州、克拉玛依、乌鲁木齐等地区的主要农业土壤[19, 23]。绿洲灰漠土农田冬季漫长,冬季一般从11月持续至第二年3—4月,冬季降雪量占全年降水量的40%,冻融交替现象十分明显。
基于此,本研究在新疆灰漠土长期定位试验田开展两年春季冻融温室气体排放试验,以了解绿洲灰漠土农田区不同养分管理对春季冻融交替期的温室气体排放动态和排放通量的影响,明确影响该区域春季冻融期温室气体排放的关键性因素,为干旱区农田准确评估温室气体排放提供数据支撑。
1 材料与方法 1.1 研究区概况灰漠土肥力与肥效监测站位于新疆乌鲁木齐市以北25 km的新疆农业科学院“国家现代农业科技示范园区”内(43°95′26″N,87°46′45″E),地形地势东高西低,南高北低,坡度1/100~1/70,海拔高度600 m,地下水位30 m以下,来自天山北麓的雪水和地下水,年供水量在450万m3。常年降水量310 mm、蒸发量2 570 mm,年均气温7.7℃,年均日照时数2 594 h,无霜期156 d。土壤为灰漠土,主要发育在黄土状母质上。
1.2 试验设计长期定位试验开始于1990年,共设置化肥、有机肥和秸秆相互配施等12个处理。每个处理一个小区,小区面积468 m2,不设重复,小区间隔采用预制钢筋水泥板埋深70 cm,地表露出10 cm加筑土埂,避免了漏水渗肥现象。本试验选取其中5个处理:包括不施肥(CK);氮磷钾(NPK);氮磷钾(4/5)+秸秆还田(NPKS);常量氮磷钾+常量有机肥(NPKM);增量氮磷钾+增量有机肥(NPKM+)(表 1)。冬小麦、棉花和玉米一年一季,三年一轮作。N、P、K化肥分别用尿素、磷酸二铵、三料磷和硫酸钾;有机肥为羊粪,平均含N 8.0 g kg-1、P2O5 2.3 g kg-1、K2O 3.0 g kg-1,秸杆还田用的是当年作物的秸杆。60%的氮肥及全部磷、钾肥作基肥,在播种前将基肥均匀撒施地表,深翻后播种;40%的氮肥作追肥,冬小麦和玉米各追肥一次,冬小麦追肥在春季第一次灌水时完成,玉米在大喇叭口期一次沟施。棉花全部的磷、钾肥和40%的氮肥基施,60%的氮肥在棉花主要生育期作追肥随水滴施,追施氮肥分配比例为:苗期20%、蕾期20%、花期40%、铃期20%。有机肥(羊粪)于每年作物收获后一次性均匀撒施深耕,秸秆还田为当季作物收获后全部秸秆粉碎撒施后深耕,秸秆还田按氮肥施用量的10%计算,具体的施肥量详见表 1。本试验自2012至2014年分别种植棉花、玉米和冬小麦,棉花施肥期在2012年4月中下旬(基肥)和6—8月份(追肥3次)。玉米播种、覆膜和基肥时间均为2013年4月中下旬,基肥期为6月中下旬。小麦播种和基肥期在2013年10月初,追肥时间为2014年4月中下旬。
|
|
表 1 灰漠土农田不同施肥处理施肥量 Table 1 Fertilization rate in farmland of grey desert soil relative to treatment(kg hm-2) |
冻融期温室气体排放试验开始于2013年和2014年2月中旬至4月初。采用静态暗箱采集气体样品,气相色谱法进行分析。每个试验处理设置四个气体采样箱,采样箱由地上地下(箱体和底座)两部分构成,为不锈钢装置,箱体大小为50 cm×50 cm×50 cm,箱体四周用3 cm厚的塑料泡沫包裹,并在表层附锡箔纸,以防止太阳辐射造成的内外过高的温度差异(图 1)。箱体内部有一个12 V的风扇,由电瓶带动,使箱内气体均匀,保证采样的准确性。下部底座有3 cm高的洼槽,可以将箱体扣合。
|
图 1 气体采样箱示意图 Fig. 1 Sketch of the gas sampling box |
2月份冻融前期半个月收集一次样品,从3月份开始,尤其土壤和空气温度达到0℃时,每周3~5次采集频率,采样周期一直持续至4月10日左右。每天11:00—13:00进行采样。采样时,首先在地箱水槽中加入适量的水,将顶箱罩放置在已预先安好的地箱基座上。用注射器连接箱体一侧的三通阀相联,抽取100 ml气体样品,同时记录采样时间和箱内温度、空气温度、土壤表面温度和土壤5 cm处温度;在罩箱0、10、20、30 min时取气体样品,并注入铝制密封袋中,低温保存,以备分析待测气体样品的目标浓度。在所有处理采样完成后,利用安捷伦(Agilent)7890气相色谱分析仪进行气体样品分析。
1.4 关键环境因子监测与土壤样品分析自动气象站安置于试验农田中,主要用于监测冻融交替期气温、降水和空气相对湿度(Rh)的动态变化。其中气温和Rh每0.5 h测定一次。此外,于2012年播种前期采集不同施肥处理土壤样品(0~20 cm)测定土壤基础理化性质,结果见表 2。冻融交替期间,采用美国5TE温度探头对土壤5 cm、10 cm和20 cm土壤温度进行不间断动态监测,半个小时数据采集一次。温室气体采样时同步采集土壤样品,去除杂物过筛后冷藏备用。土壤含水量测定采用烘干法、土壤NH4+-N和NO3-N含量测定采用0.01 mol L-1 CaCl2浸提,流动分析仪。
|
|
表 2 2012年不同施肥处理土壤物理和化学特性 Table 2 Physical and chemical properties of the soil in 2012 relative to treatment |
静态箱法的温室气体通量测定与箱体的体积、箱内气体密度以及单位时间内他气体浓度变化有关。采集后的气体通过气相色谱法测定后,依据峰面积与标准气体浓度数值对比,然后计算获得,具体的计算公式如下:
箱体内所测样品的浓度采用以下公式计算:
| $ F = \frac{{\Delta m}}{{A \cdot \Delta t}} = \frac{{\rho \cdot V \cdot \Delta c}}{{A \cdot \Delta t}} = \rho \cdot H \cdot \frac{{\Delta c}}{{\Delta t}} $ | (1) |
式中,F为测定气体的交换通量,ρ为箱内气体密度,∆m和∆c分别为∆t时间内箱内气体质量和混合比浓度的变化,A、V、H分别为采样箱底面积、体积和气室高度,∆c/∆t为箱内气体浓度变化。F为负值时表示吸收,为正值时表示排放。
| $ {C_{\rm{S}}} = {A_{\rm{S}}} \times {C_0}/{A_0} $ | (2) |
式中,CS为所测样品浓度;C0为标气浓度;AS为所测样品峰面积;A0为标气峰面积。
试验数据用Excel、SPSS进行相关统计分析,使用Origin 8和Excel 2008作图。
2 结果 2.1 冻融期间土壤空气温度和相对湿度(Rh)干旱区灰漠土农田土壤温度和空气温度如图 2所示。2013年土壤24 h平均温度于3月9日达到0℃,此后空气和土壤温度直线上升,在4月初气温可以达到17℃。2014年3月15日土壤24 h平均温度为0℃,空气温度起伏较大,气温3月20日温度才有明显上升趋势。总体而言,2014年土壤和空气温度低于2013年。不同深度的土壤温度变化趋势相同,20 cm土壤温度变幅相对较小。研究区Rh在实验初期(2月份至3月初)数值较大,Rh基本维持在75%以上,而从3月20日以后Rh直线下降,最低达到20%。2014年的Rh变幅相对较小,从4月份开始出现显著下降趋势,但幅度不如2013年。
|
图 2 冻融交替期间的土壤和空气温度以及空气相对湿度 Fig. 2 Soil and air temperature and relative air humidity during the freezing and thawing alternation period |
不同施肥处理CO2排放差别显著(p<0.05)。3月5日之前所有处理土壤呼吸相对较低,3月5日之后,土壤CO2的排放量显著增加。如图 3所示,2013年3月10日之后土壤呼吸开始增加,3月20日至3月25日所有处理土壤呼吸达到高峰,其中NPKM+处理土壤呼吸最高值出现在2013年3月25日(C 360 mg m-2 h-1);NPKM处理CO2排放最高值同样在3月25日,最高可达C 220 mg m-2 h-1;NPK和NPKS处理CO2的排放峰值相对较低,高峰介于C 60~210 mg m-2 h-1之间;CK处理的峰值最低,显著低于其他处理(p<0.05)。值得注意的是,2013年3月30日之后土壤呼吸显著下降,这可能与土壤水含量迅速下降有关。2014各处理的CO2排放峰值低于2013年,NPKM+处理的排放最高峰为C 220 mg m-2 h-1,其余处理排放峰值低于C 200 mg m-2 h-1,这可能与2014年春寒有关。NPKM+处理在2013和2014年冻融期间CO2平均排放分别为C 131 mg m-2 h-1和90 mg m-2 h-1,显著高于其他处理(p<0.05);其次为NPKM处理,其2013和2014年的排放平均值分别为C 98 mg m-2 h-1和C 71 mg m-2 h-1;NPK和NPKS处理的排放均值相对较低,分别为C 60~90 mg m-2 h-1和C 70~75 mg m-2 h-1之间,CK处理的排放峰值最低,仅在C 4~40 mg m-2 h-1之间(表 3)。
|
图 3 冻融交替期间不同施肥处理CO2的排放动态 Fig. 3 Dynamics of CO2 emission during the freezing and thawing alternation period relative to treatment |
|
|
表 3 冻融交替期间温室气体平均排放通量(3月10日至4月5日) Table 3 Mean emission fluxes of greenhouse gases during the freezing and thawing alternation period(10th March to 5th April) |
不同处理CH4排放差别不大,各处理CH4排放呈现波动状态。如图 4所示,2013年NPK和NPKS处理CH4多呈现负排放,最高排放值分别为C 0.14和0.04 mg m-2 h-1,最低排放值分别为-0.42和-0.45 mg m-2 h-1;NPKM和NPKM+处理多呈正排放,最高排放值分别为0.82和0.47 mg m-2 h-1,最低排放值分别为-0.12和-0.40 mg m-2 h-1。2014年NPK和NPKS处理的CH4排放冻融前期呈现负排放状态,而冻融后期呈现正排放状态,排放幅度分别在-0.15~0.38 mg m-2 h-1和-0.24~0.1 mg m-2 h-1之间,NPKM和NPKM+也出现同样的排放趋势,排放幅度分别在-0.17~0.25 mg m-2 h-1和-0.29~0.2 mg m-2 h-1之间。所有处理中,NPKM+处理在2013和2014年冻融期间CH4平均排放分别为0.03和0.04 mg m-2 h-1,NPKM处理2013和2014年的排放平均值分别为0.05和0 mg m-2 h-1,NPK和NPKS处理的排放均值相对较低,其中NPKS两年平均排放值分别为-0.09和-0.04 mg m-2 h-1,NPK处理两年平均排放值分别为-0.06和0.04 mg m-2 h-1之间。各处理2013年和2014年春季冻融期(27 d)CH4的平均排放量介于-0.1~0.3 kg hm-2 a-1之间,占全年CH4排放量的6%~13.8%(表 4)。
|
图 4 冻融交替期间不同施肥处理CH4的排放动态 Fig. 4 Dynamics of CH4 emission during the freezing and thawing alternation period relative to treatment |
|
|
表 4 2013和2014年CH4和N2O总的排放量 Table 4 Total emissions of CH4 and N2O during the freezing and thawing alternation period in 2013 and 2014 |
春季冻融期不同施肥处理N2O排放差别显著(p<0.05)。如图 5所示,2013年NPK和NPKS处理N2O的排放峰值出现在3月15日左右,最大峰值为N 60 μg m-2 h-1。而NPKM+和NPKM处理在3月15日的最大峰值为180 μg m-2 h-1,高排放量持续至3月25日,随后显著下降。2014年冻融期各处理的N2O排放量于3月12日开始显著增加,NPK和NPKS处理的排放峰值出现在3月12日至3月20日之间,最大峰值为分别为42和55 μg m-2 h-1,随后出现显著下降趋势。NPKM+和NPKM处理在3月12日至3月15日之间出现最大峰值,最高值分别为195和178 μg m-2 h-1,随后急剧降低。NPKM+处理在2013和2014年两次冻融期N2O平均排放分别为80和65 μg m-2 h-1,显著高于其他处理(p<0.05)。其次为NPKM处理,2013和2014年的排放平均值分别为47和39 μg m-2 h-1,NPK和NPKS处理的排放峰值相对较低,分别介于16.1~18.6 μg m-2 h-1和20.4~22.7 μg m-2 h-1之间,CK处理的排放峰值最低,排放平均值分别为9.5和4.0 μg m-2 h-1。总而言之,2013和2014年春季冻融期间,随着温度升高,N2O的排放都有激发性增长趋势,在排放10 d后迅速减少并呈现低值稳定排放状态。各处理2013年和2014年春季冻融期(27 d)N2O的平均排放量介于N 0.1~0.5 kg hm-2 a-1之间(表5),占全年N2O排放量的6%~13.8%,尤其NPKM+和NPKM处理4周的N2O排放量达到N 0.3~0.5 kg hm-2 a-1,占到全年平均排放量的13%~18%(表5)。
|
图 5 冻融交替期间不同施肥处理N2O的排放动态 Fig. 5 Dynamics of N2O emission during the freezing and thawing alternation period relative to treatment |
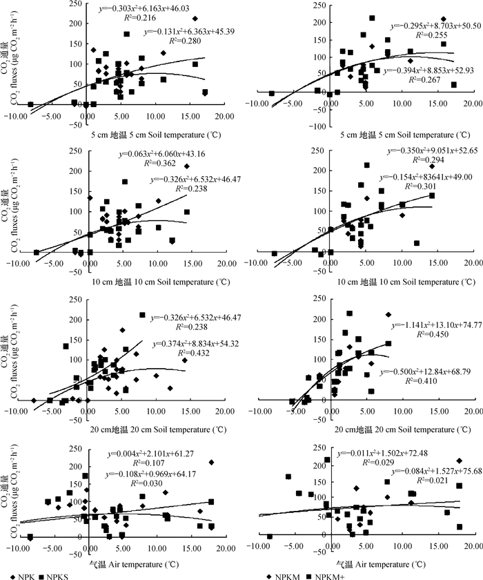
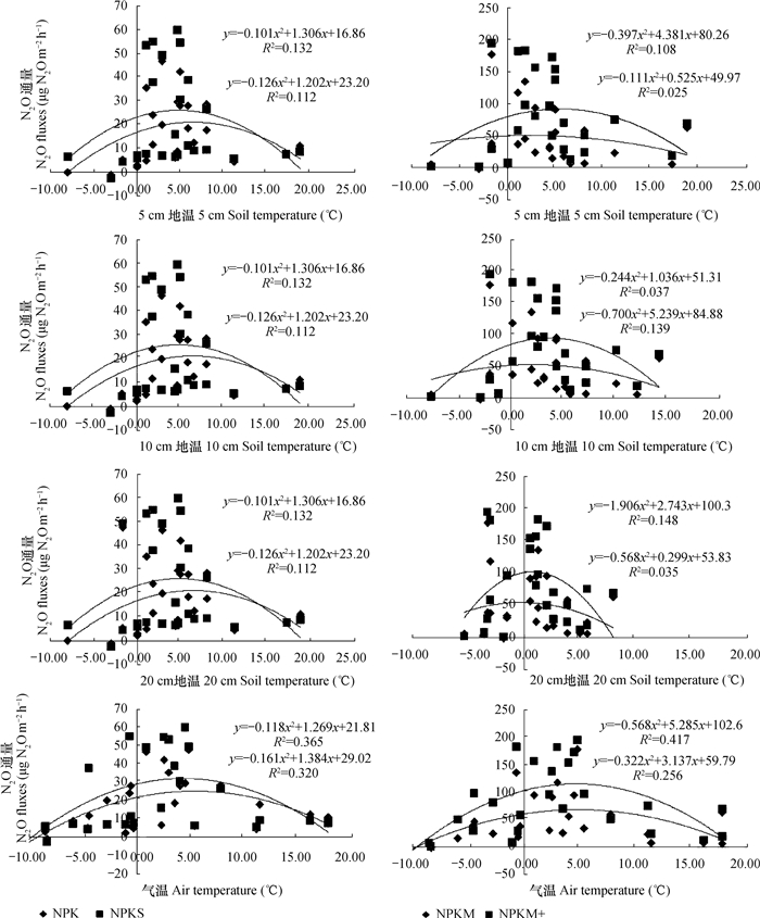
长期定位条件下,灰漠土不同施肥处理的土壤SOC显著不同,为了说明SOC与CO2和N2O的响应关系,将不同施肥处理的SOC与CO2和N2O进行配比,结果发现,高SOC处理(NPKM+和NPKM)的CO2和N2O的平均排放通量显著更高,而低SOC处理的CO2和N2O的平均排放通量相对较低。如图 6所示,不同处理SOC含量与CO2和N2O排放通量成显著线性相关,2013年CO2和N2O排放通量的R2分别达到0.771和0.995,2014年CO2和N2O排放通量的R2分别达到0.732和0.976,说明灰漠土土壤SOC对两种温室气体的影响显著。其次,CO2与土壤温度成显著相关,各处理R2介于0.24~0.45之间(图 7),但CO2对气温的响应不如土壤温度明显,R2介于0.015~0.048之间,相关性较差。N2O对气温和不同深度地温均有不同程度的响应,基本呈现线性相关或者弱二次相关(图 8),说明气温和地温对于冻融时期N2O的排放有显著的影响。
|
图 6 不同处理土壤有机碳含量与CO2和N2O的线性关系 Fig. 6 Liner relationships of SOC with CO2 and N2O relative to treatment |
|
图 7 不同施肥处理CO2排放通量与土壤温度和空气温度的二项相关 Fig. 7 Binomial correlations of CO2 with soil and air temperatures relative to treatment |
|
图 8 不同施肥处理N2O排放通量与土壤温度和空气温度的二项相关 Fig. 8 Binomial correlations of N2O with soil and air temperatures relative to treatment |
冻融交替是一种普遍的现象,尤其在温带、亚寒带和寒带地区[6]。对于我国而言,西北和东北是冻融交替最为明显的地区。这主要由于冬季漫长,春秋季时间较短,昼夜温差比较大,为冻融交替提供了条件[7]。然而,对于冻融期的界定一直存在争议,因为从冬季向春季过度阶段,白天温度较高,而夜间温度急剧降低,尤其当白天温度超过0℃时,这个时候已经存在冻融现象,而夜间温度或者雪层以下仍在0℃左右徘徊,因此很难准确估计冻融时间[28]。对于西北绿洲灰漠土农田,冬季低温导致土层冻融深度可以达到0.5 m,在向春季过度阶段,地表和空气温度超过0℃,而深层土壤温度仍可能停留在0℃以下,这就导致表层土壤开始冻融,而深层土壤仍处于冷冻状态[6, 8]。例如,我们在2013年的试验中发现,3月5日左右空气温度显著上升,表层积雪迅速融化,此时5 cm表土温度白天在0℃左右,表层冻融显著开始,然而深层10~20 cm土层白天和夜晚温度仍低于0℃,深层土壤冻融不明显。在3月9日至3月15日这段时间,10 cm和20 cm的土壤温度也开始由零下2℃到零下5℃逐渐上升到0℃左右,并开始冻融交替,积雪显著消融;3月16日至3月25日表土积雪完全融化,土壤含水量急剧增加,此时白天空气土壤温度达到5~10℃,而晚间温度仍然较低,存在剧烈的冻融交替现象,此时深层土壤也开始剧烈冻融交替,冻融达到高峰期;3月26日之后夜间冻融减少,表层土壤含水量开始降低,冻融交替显著减弱。所以,从3月5日开始,灰漠土农田土壤冻融开始,此后冻融现象加剧逐渐过渡到冻融高峰期,3月26日之后冻融消退。所以,灰漠土农田冻融存在着一个由弱到强再弱的一个循环过程,这个过程持续时间近一个月。2014年也存在这样的现象,只是冻融现象推迟5 d左右,持续时间也近一个月(图 1)。因此,本文依据两年冻融试验,将3月10日至4月5日作为灰漠土农田春季冻融的关键时期。
3.2 灰漠土三种温室气体冻融期排放特点灰漠土土壤有机质含量较低,但经过改良后,土壤有机质含量会显著提升。例如,徐明岗等[19]分析长期定位条件下灰漠土土壤有机质时发现,灰漠土均衡施肥处理的土壤有机质含量可以从最初的15 g kg-1上升至16~27 g kg-1[19]。其次,灰漠土农田大都一年一季的种植模式,这意味着除了作物生长季之外,非生长季的时间较长,一般从每年的10月持续至第二年的4月,加之灰漠土农田冬季降水量相对较高[20]。所以,土壤有机质、土壤氮素和土壤水分在春季冻融后均有了一个显著的提升[24],为灰漠土的农田三种温室气体的提升提供了条件。此外,冻融期间,冻结的土壤颗粒表面覆盖了一层薄冰膜,降低了土壤的通透性,不仅阻止了氧气进入土壤,使土壤处于厌氧环境促进了反硝化作用,而且也阻碍了土壤中产生的气体向外扩散,从而聚积在土壤中并在土壤融解期时形成排放高峰[25-26],这对于冬季漫长的灰漠土农田而言,土壤底层长时间累积的气体在解冻后产生的激发效应可能更强。我们在2013年和2014年春冻期间发现灰漠土农田所有处理CO2和N2O均有明显升高趋势。只是不同施肥处理的排放强度和周期不同,例如,NPK和NPKS处理的排放峰值持续的时间较短,但排放峰值较高,而等氮量的NPKM处理排放持续时间长,但峰值相对较低。对于高量施肥处理的NPKM+,其排放的时间和峰值都较高,这与过量的有机肥投入和高量的土壤有机质含量有关。此外,我们还发现灰漠土农田长期定位后导致土壤有机质含量差别明显,不同施肥处理CO2和N2O的排放与土壤有机质的含量显著正相关(图 6)。例如,NPKS处理冻融期间的CO2和N2O的平均排放量要高于NPK处理,但低于NPKM和NPKM+处理。大量的研究也证明了土壤有机质含量与温室气体排放显著相关[9, 11, 15]。这也说明冻融期间土壤有机质含量是决定温室气体排放的关键因素之一。
3.3 冻融期不同环境因子与温室气体排放的关系土壤温度是影响冻融期间CO2和N2O排放关键因素之一,在同等土壤含水量条件下,土壤温度与温室气体排放成正相关。当土壤温度超过0℃时候,土壤微生物活性加剧,土壤温室气体的排放有明显增加趋势。在2013和2014年的试验中发现,3月10日之后土壤温度已经超过0℃,各处理CO2和N2O均有急剧增加的现象,原因可能是由于温度上升,土壤含水量升高,土壤矿化氮量增加,促进了土壤微生物活性,也促进了温室气体的排放。在2013年的试验中,当土壤温度上升至5~10℃时,各处理的CO2和N2O增加更为剧烈,可能与此时土壤温湿度及微生物的活性显著更高有关。2014年冻融期相对较晚,同样在5~10℃时,温室气体排放出现激增现象。值得注意的是,2013年3月25日之后,各处理的CO2和N2O均有明显下降趋势,这主要与土壤含水量急剧下降有关。分析发现,CO2和土壤温度以及空气温度呈现弱二项相关,而N2O与土壤温度和空气温度有显著的二项相关(p<0.05)。此时的空气相对湿度显著降低,从侧面说明了土壤含水量是影响土壤温室气体排放的另一个重要因素。然而,初期土壤温度上升,某种程度上有助于土壤冻融,提升土壤的含水量,以及加剧有机质矿化,这几个因素的相互耦合共同促进了土壤温室气体的排放,相似的结论出现在东北黑土区农田[7]。干旱区冻融交替期间农田的CH4排放没有显著的不同,排放量相对较低,这主要还是与甲烷细菌的活性较低有关[27, 29]。此外,冬季降雪量的大小可能对春季冻融温室气体的排放产生一定的影响[30],当冬季冻融期间降雪量较大的时候,会对土壤水下渗深度以及土壤含水量持续的时间产生影响,某种程度上而言可能延长温室气体的排放。同样,当降雪量较少时,土壤相对湿度持续时间较短,缩短温室气体排放时间。
4 结论春季冻融期是绿洲灰漠土农田温室气体排放的高发时期。尤其冻融交替初期到中期,CO2和N2O均有显著上升的趋势,后期随着土壤含水量的下降,CO2和N2O的排放量显著下降。所有处理中,有机肥添加处理的温室气体气体排放周期相对更长,排放通量显著更高,而单施化肥或秸秆还田处理的排放峰值较高,但持续时间相对较短。此外,冬季降雪量也是影响温室气体排放的一个关键因素,高量降雪导致土壤含水量的持续时间更长,温室气体的高排周期也相对更长,低量降雪导致土壤含水量持续时间相对较短,高排周期也相对变短。总而言之,灰漠土农田冻融期间的温室气体排放量相对较高,估算温室气体排放或考虑增温潜势时应充分考虑该时期。
致谢 感谢国家灰漠土肥力与肥料效益重点野外科学观测试验站和河南省农业生态环境重点实验室给予气象数据、场地和样品分析方面的支持。
| [1] |
赵倩, 刘文杰, 陈生云, 等. 祁连山疏勒河上游多年冻土区高寒草甸土壤CO2通量特征. 冰川冻土, 2014, 36(6): 1572-1581. Zhao Q, Liu W J, Chen S Y, et al. Soil CO2 flux characteristics in alpine meadow of permafrost regions in the upper reaches of the Shule River, Qilianshan Mountains (In Chinese). Journal of Glaciology and Geocryology, 2014, 36(6): 1572-1581. ( 0) |
| [2] |
王晓龙, 张寒, 姚志生, 等. 季节性冻结高寒泥炭湿地非生长季甲烷排放特征初探. 气候与环境研究, 2016, 21(3): 282-292. Wang X L, Zhang H, Yao Z S, et al. A preliminary study on methane emission from a seasonal-freezing alpine peat wetland during a non-growing period (In Chinese). Climatic and Environmental Research, 2016, 21(3): 282-292. ( 0) |
| [3] |
蔡祖聪. 水分类型对土壤排放的温室气体组成和综合温室效应的影响. 土壤学报, 1999, 36(4): 484-491. Cai Z C. Effects of water regime on CO2, CH4 and N2O emissions and overall potential for greenhouse effect caused by emitted gases (In Chinese). Acta Pedologica Sinica, 1999, 36(4): 484-491. DOI:10.11766/trxb199803220408 ( 0) |
| [4] |
王恩姮, 赵雨森, 夏祥友, 等. 冻融交替后不同尺度黑土结构变化特征. 生态学报, 2014, 34(21): 6287-6296. Wang E H, Zhao Y S, Xia X Y, et al. Effects of freeze-thaw cycles on black soil structure at different size scales (In Chinese). Acta Ecologica Sinica, 2014, 34(21): 6287-6296. ( 0) |
| [5] |
王广帅, 杨晓霞, 任飞, 等. 青藏高原高寒草甸非生长季温室气体排放特征及其年度贡献. 生态学杂志, 2013, 32(8): 1994-2001. Wang G S, Yang X X, Ren F, et al. Non-growth season's greenhouse gases emission and its yearly contribution from alpine meadow on Tibetan Plateau of China (In Chinese). Chinese Journal of Ecology, 2013, 32(8): 1994-2001. ( 0) |
| [6] |
杨红露, 秦纪洪, 孙辉. 冻融交替对土壤CO2及N2O释放效应的研究进展. 土壤, 2010, 42(4): 519-525. Yang H L, Qin J H, Sun H. A review:Response of soil CO2 and N2O emissions to freeze-thaw pattern change (In Chinese). Soils, 2010, 42(4): 519-525. ( 0) |
| [7] |
陈哲, 韩瑞芸, 杨世琦, 等. 东北季节性冻融农田土壤CO2、CH4、N2O通量特征研究. 农业环境科学学报, 2016, 35(2): 387-395. Chen Z, Han R Y, Yang S Q, et al. Fluxes of CO2, CH4 and N2O from seasonal freeze-thaw arable soils in Northeast China (In Chinese). Journal of Agro-Environment Science, 2016, 35(2): 387-395. DOI:10.11654/jaes.2016.02.025 ( 0) |
| [8] |
王海飞, 贾兴永, 高兵, 等. 不同土地利用方式土壤温室气体排放对碳氮添加的响应. 土壤学报, 2013, 50(6): 1170-1179. Wang H F, Jia X Y, Gao B, et al. Response of greenhouse gas emission to application of carbon and nitrogen in soils different in land use (In Chinese). Acta Pedologica Sinica, 2013, 50(6): 1170-1179. ( 0) |
| [9] |
Lü J L, Liu X, Liu H, et al. Greenhouse gas intensity and net annual global warming potential of cotton cropping systems in an extremely arid region . Nutrient Cycling in Agroecosystem, 2014, 98(1): 15-26. DOI:10.1007/s10705-013-9592-7
( 0) |
| [10] |
Burton D L, Beauchamp E G. Profile nitrous oxide and carbon dioxide concentrations in a soil subject to freezing . Soil Science Society of America Journal, 1994, 58: 115-122. DOI:10.2136/sssaj1994.03615995005800010016x
( 0) |
| [11] |
Elberling B O. Seasonal trends of soil CO2 dynamics in a soil subject to freezing . Journal of Hydrology, 2003, 276: 159-175. DOI:10.1016/S0022-1694(03)00067-2
( 0) |
| [12] |
周旺明, 王金达, 刘景双, 等. 冻融对湿地土壤可溶性碳、氮和氮矿化的影响. 生态与农村环境学报, 2008, 24(3): 1-6. Zhou W M, Wang J D, Liu J S, et al. Effects of freezing and thawing on dissolved organic carbon and nitrogen pool and nitrogen mineralization (In Chinese). Jounal of Ecology and Rural Environment, 2008, 24(3): 1-6. ( 0) |
| [13] |
Mastepanov M, Sigsgaard C, Dlugokencky E J, et al. Large tundra methane burst during onset of freezing . Nature, 2008, 456(7222): 628-630. DOI:10.1038/nature07464
( 0) |
| [14] |
朴河春, 刘广深, 洪业汤. 全球冻融地区土壤是重要的N2O释放源的综合分析. 地球科学进展, 1995, 10(3): 283-295. Piao H C, Liu G S, Hong Y T. Soils in global freezing-thawing areas as the major N2O-releasing sourcea (In Chinese). Advance in Earth Sciences, 1995, 10(3): 283-295. ( 0) |
| [15] |
Song C, Wang Y, Wang Y, et al. Emission of CO2, CH4 and N2O from freshwater marsh during freeze-thaw period in Northeast of China . Atmospheric Environment, 2006, 40(35): 6879-6885. DOI:10.1016/j.atmosenv.2005.08.028
( 0) |
| [16] |
Nielsen C B, Groffman P M, Hamburg S P, et al. Freezing effects on carbon and nitrogen cycling in northern hardwood forest soils . Soil Science Society of America Journal, 2001, 65(6): 1723-1730. DOI:10.2136/sssaj2001.1723
( 0) |
| [17] |
Henry H A. Soil freeze-thaw cycle experiments:trends, methodological weaknesses and suggested improvements . Soil Biology & Biochemistry, 2007, 39(5): 977-986.
( 0) |
| [18] |
Smith J, Wagner R C, Dunfield K. Season and management related changes in the diversity of nitrifying and denitrifying bacteria over winter and spring . Applied Soil Ecology, 2010, 44(2): 138-146. DOI:10.1016/j.apsoil.2009.11.004
( 0) |
| [19] |
徐明岗, 梁国庆, 张夫道. 中国土壤肥力演变. 北京: 中国农业科学技术出版社, 2006, 176-187. Xu M G, Liang G Q, Zhang F D. Evolution of soil fertility in China (In Chinese). Beijing: China Agricultural Science and Technology Press, 2006, 176-187. ( 0) |
| [20] |
刘骅, 王讲利. 灰漠土长期定位施肥对耕层土壤碳氮平衡及NO3-N在土壤剖面上积累的研究. 植物营养与肥料学报, 2002, 8(增刊): 96-99 Liu H, Wang J L. Gray desert soil long-term fertilization on the top layer of soil carbon and nitrogen balance and NO3-N accumulation in soil profile (In Chinese). Plant Nutrition and Fertilizer Science, 2002, 8(supplement) http://www.plantnutrifert.org/CN/abstract/abstract4254.shtml ( 0) |
| [21] |
许咏梅, 刘骅, 王西和. 长期不同施肥下新疆灰漠土土壤呼吸特征研究. 新疆农业科学, 2012, 49(7): 1294-1300. Xu Y M, Liu H, Wang X H. The soil respiration characteristics of grey desert soil under different long-term fertilization (In Chinese). Xinjiang Agricultural Sciences, 2012, 49(7): 1294-1300. DOI:10.6048/j.issn.1001-4330.2012.07.020 ( 0) |
| [22] |
徐万里, 刘骅, 张云舒, 等. 新疆灰漠土区不同肥料配比土壤氨挥发原位监测. 生态学报, 2009, 29(8): 4565-4571. Xu W L, Liu H, Zhang Y S, et al. In Situ monitoring of ammonia volatilization from grey desert soil under different in Xinjiang (In Chinese). Acta Ecologica Snica, 2009, 29(8): 4565-4571. ( 0) |
| [23] |
周斌, 王周琼. 新疆干旱区灰漠土农田养分平衡与养分消长规律. 干旱区资源与环境, 2004, 18(5): 143-146. Zhou B, Wang Z Q. Law of nutrient equilibrium, gain and loss in grey desert soil oases (In Chinese). Journal of Arid Land Resources and Environment, 2004, 18(5): 143-146. ( 0) |
| [24] |
Kurganova I N, Teepe R, de Gerenyu V L. The dynamics of N2O emission from arable and forest soils under alternating freeze-thaw conditions . Eurasian Soil Science, 2004, 37(11): 1219-1228.
( 0) |
| [25] |
Koponen H T, Martikainen P J. Soil water content and freezing temperature affect freeze-thaw related N2O production in organic soil . Nutrient Cycling in Agroecosystems, 2004, 69(3): 213-219. DOI:10.1023/B:FRES.0000035172.37839.24
( 0) |
| [26] |
Shang Q Y, Yang X X, Gao C M, et al. Net annual global warming potential and greenhouse gas intensity in Chinese double rice-cropping systems:A 3-year field measurement in long-term fertilizer experiments . Global Change Biology, 2011, 17(6): 2196-2210. DOI:10.1111/gcb.2011.17.issue-6
( 0) |
| [27] |
Li Z G, Wang X J, Zhang R H, et al. Contrasting diurnal variations in soil organic carbon decomposition and root respiration due to a hysteresis effect with soil temperature in a Gossypium s. (cotton)plantation . Plant and Soil, 2011, 343(1/2): 347-355.
( 0) |
| [28] |
王连峰, 蔡延江, 解宏图. 冻融作用下土壤物理和微生物性状变化与氧化亚氮排放的关系. 应用生态学报, 2007, 18(10): 2361-2366. Wang L F, Cai Y J, Xie H T. Relationships of soil physical and microbial properties with nitrous oxide emission under effects of freezing-thawing cycles (In Chinese). Chinese Journal of Applied Ecology, 2007, 18(10): 2361-2366. ( 0) |
| [29] |
Herrmann A, Witter E. Sources of C and N contributing to the flush in mineralization upon freeze-thaw cycles insoils . Soil Biology & Biochemistry, 2002, 34: 1495-1505.
( 0) |
| [30] |
田展, 牛逸龙, 孙来祥, 等. 基于DNDC模型模拟气候变化影响下的中国水稻田温室气体排放. 应用生态学报, 2015, 26(3): 793-799. Tian Z, Niu Y L, Sun L X, et al. China’s rice field greenhouse gas emission under climate change based on DNDC model simulation (In Chinese). Chinese Journal of Applied Ecology, 2015, 26(3): 793-799. ( 0) |
2. Henan Key Laboratory of Agricultural Eco-environment, Zhengzhou 450002, China;
3. Xinjiang Institute of Ecology and Geography, Chinese Academy of Sciences, Urumqi 830011, China;
4. Institute of Soil and Fertilizer and Agricultural Sparing Water, Xinjiang Academy of Agricultural Science, Urumqi 830091, China;
5. College of Resources and Environmental Sciences, China Agricultural University, Beijing 100193, China
2018, Vol. 55



0)