2. 平凉市农业科学研究所,甘肃平凉 744000
施肥是作物增产最关键、最活跃和最能调控的因素,也是作物高产和稳产最重要的措施之一。欧美国家化肥的作物产量贡献率为35%~66%,而我国仅为35%~45%[1]。施肥的产量和肥力效应是指导科学施肥的关键,因此研究施肥的产量效应尤为重要。但肥料的增产效应易受气候、土壤肥力和栽培措施等多种因素的影响。黄欠如等[2]研究结果显示,各施肥处理产量效应受气候的年成变化、季相变化及其交互作用的影响极显著。马强等[3]研究指出,降雨量显著影响不同施肥处理的作物产量贡献率,平水年玉米产量最高,肥料增产效果最佳,其次为丰水年,而旱、涝年份最低。同时,诸多长期定位试验研究结果亦表明,与对照相比,施肥能显著增加作物产量,但同一施肥处理不同年际间增产效应差异较大[1, 4-5]。目前国内外有关施肥对作物产量的影响已有大量报道,但主要集中在施肥对当季作物或者作物平均产量的增产效应。化肥对作物产量的贡献主要由化肥对当季作物的产量贡献、化肥后效对作物产量的贡献和当季作物由化肥增殖的农产品中转化的有机肥养分对作物产量的贡献3部分组成[6],施肥的累积产量效应不仅包括肥料的当季作物产量贡献,还包括肥料后效的增产效应,同时能消减环境因素等对施肥效果的影响,因此更能准确反映施肥的作物产量效应。
黄土高原地区包括陕西、甘肃、宁夏、青海、内蒙、山西、河南等7省(区)285个县(区、旗),土地总面积62.37万km2。长期以来,该区域农业生产以种植粮食作物为主,由于干旱少雨、水土流失及风沙危害,粮食产量低而不稳,经济发展滞后,农民生活困难[7]。近年来,随着社会经济高速发展,黄土高原农业发展出现了两方面的问题。一是部分区域农田水利等基础设施完善,农户大量施肥,作物高产稳产,但由于重视化肥投入,而忽视有机肥,土壤质量面临严峻挑战[8],同时,由化肥所带来的农田环境问题也日益增大[9];二是部分区域水资源短缺以及土壤贫瘠依然是当地农业生产的主要限制因素。长期生产实践证明,科学施肥是培肥土壤、提高粮食单产和实现农业可持续发展的关键措施[10],施肥对粮食产量及土壤肥力质量的影响已成为政府和学者关注的焦点。虽然有关施肥对作物产量与土壤肥力的影响在黄土高原的研究报道较多[11-12],但多集中在降雨量较丰富的陕西关中平原,而涉及作物累积产量及在相对干旱黑垆土区域的研究报道较少。本研究以1978年布置在黄土高原黑垆土上的长期定位试验为基础,研究施肥对作物累积产量和土壤肥力演变的影响与贡献,以期为黄土高原黑垆土区的科学施肥、化肥减施、土壤培肥及土壤质量和作物产量预测等方面提供理论依据与技术支撑。
1 材料与方法 1.1 试验地概况试验地位于甘肃省平凉市泾川县高平镇(107°30′ E,35°16′ N),海拔1 150 m,年均气温8℃,大于等于10℃积温2 800℃,持续期180 d,年均降水量540 mm,其中60%集中在7—9月,年蒸发量1 380 mm,无霜期约170 d,干燥度0.39,光热资源丰富,水热同季,属黄土高原半湿润偏旱区。试验地地势平坦,土壤类型为旱地覆盖黑垆土(CumulicHaplustoll,USDA分类),土壤颗粒组成为砂粒(2~0.02 mm)231.4 g·kg-1、细砂粒(0.02~0.002 mm)432.1 g·kg-1、黏粒(小于0.002 mm)336.5 g·kg-1。试验始于1978年,开始时耕层(0~20 cm)土壤理化性质为:有机质10.75 g·kg-1,pH 8.20,全氮(TN)0.95 g·kg-1,全磷(TP)0.57 g·kg-1,碱解氮(AN)65.9 mg·kg-1,有效磷(AP)6.77 mg·kg-1,速效钾(AK)163.2 mg·kg-1。
1.2 试验设计试验共设6处理:(1)不施肥(CK);(2)单施氮肥(N 90 kg·hm-2,N);(3)氮磷配施(N 90 kg·hm-2 + P2O575 kg·hm-2,NP);(4)秸秆加氮磷肥(S 3 750 kg·hm-2 + N 90 kg·hm-2 +每2年施P2O5 75 kg·hm-2,SNP);(5)农家肥(75 t·hm-2,M);(6)农家肥加氮磷肥(M 75 t·hm-2+ N 90 kg·hm-2 + P2O5 75 kg·hm-2,MNP)。小区面积666.7 m2,随机排列。氮肥用尿素,磷肥用过磷酸钙或磷酸二氢铵。秸秆为前茬作物小麦或玉米的秸秆。农家肥为牛、马厩肥。1979年农家肥有机质含量15 g·kg-1,氮磷钾全量分别为N 1.7 g·kg-1、P 6.8 g·kg-1、K 28 g·kg-1。由于未连续测定农家肥养分含量,2012年对试验地附近农户的农家肥取样分析(附近农户的农家肥是试验用肥的主要来源),其平均养分含量为有机质19 g·kg-1、N 1.6 g·kg-1、P 1.6 g·kg-1、K 15 g·kg-1。
1.3 栽培管理措施磷肥、农家肥及秸秆播前全部基施,小麦的氮肥全作基肥播前施入,而玉米氮肥的60%做基肥,40%做追肥。1979—1993年试验按2年春玉米~4年冬小麦轮作模式进行。1993—1998年冬小麦连作,1999年种植高粱,2000年种植大豆,2001—2015年试验再次按2年春玉米~4年冬小麦轮作模式进行。玉米不覆膜穴播,密度每公顷5.25万株,小麦机械条播,播量187.5 kg·hm-2。
1.4 样品采集与测定每年作物成熟期,按“S”型采样路线,每小区5个样点,每样点采集40 m2的玉米植株(小麦采集20 m2),混合后进行考种和测产,同时每样点采集0~20 cm耕层土壤样品,然后混合。2015年采集土壤样品时,先将每小区划分为3部分,视为3次重复,每部分按“S”型采样路线,每部分5个样点,采集0~20 cm耕层土壤样品,5样点样品混合成一个混合样。混合样风干、过筛后,用于土壤质地、全氮、全磷、有效磷、速效钾和有机质等指标的分析测定。土壤质地用吸管法测定;土壤有机质用重铬酸钾容量法测定;土壤pH用蒸馏水浸提(1:2.5),pH计测定;土壤全氮用凯氏定氮法测定;碱解氮用碱解扩散法测定;全磷和全钾采用NaHCO3熔融后,分别用钼锑抗比色法和火焰光度法测定;土壤有效磷用0.5 mol·L-1 NaHCO3浸提,钼锑抗比色法测定;速效钾采用1 mol·L-1的醋酸氨浸提,火焰光度法测定[1, 5, 10]。
1.5 数据分析为消除年际间降水量、温度等因素差异而引起的产量波动,采用累积产量法研究不同施肥处理在具体时间段内对作物产量的贡献。累积产量是指采用某种施肥处理后,在某一具体年限的作物产量总和。氮(N)、磷(P)、氮磷配施(NP)及秸秆还田(S)的累积产量贡献量按以下公式计算:
N=∑1n(N-CK)、P=∑1n(NP-N)、NP=∑1n(NP-CK)、S=∑1n(SNP-NP),有机肥的产量贡献可由M=∑1n(M-CK)和M=∑1n(MN-NP)计算,式中CK、N、NP、SNP、M和MNP为施肥处理,n为作物种植年限。
图表绘制采用Excel2007进行。应用SPSS 11.0软件进行方差、多重比较(最小显著差异(LSD)法)和皮尔森相关性分析(Pearson correlation coefficients),作物产量进行方差分析时,年份和不同施肥被看作试验因素,选用两因素模型进行方差分析[4]。
2 结果 2.1 施肥对作物累积产量及稳定性的影响在长达38 a的试验期内,1999年种植高粱,2000年种植大豆,这两种作物种植年份较少,且不是该区域主栽作物,因此,这2种作物的产量在文中未分析讨论。由图 1可以看出,无论小麦还是玉米,不同施肥处理作物累积产量均存在明显差异,而且种植年限越长,累积产量差异越大。小麦和玉米累积产量与其种植年限均呈显著正相关,且决定系数R2≥0.95,因此,线性方程的斜率可较为准确地表征不同施肥处理作物的年均产量。由斜率可知CK、N、NP、SNP、M、MNP 6处理玉米的年均籽粒产量分别为3 491、4 359、6 899、7 329、7 024、8 392 kg·hm-2,小麦的分别为1 443、1 869、3 634、3 842、3 338、4 378 kg·hm-2。CK和N处理小麦的累积产量与种植年限间的关系虽可用线性模型高度拟合,但从图 1中不难发现,CK和N处理小麦籽粒累积产量的增速随种植年限的增加而略有下降,表明CK和N处理随试验年限的延长,土壤养分逐渐消耗,小麦籽粒产量有逐渐降低趋势。NP、SNP、M、MNP 4处理玉米和小麦的累积产量随种植年限的增加而直线增加,表明这4种施肥处理并未引起土壤肥力水平降低,能维持稳定的土壤生产力水平。
|
注:CK、N、NP、SNP、M和MNP分别表示不施肥、仅施氮肥、氮磷配施、秸秆还田与氮磷配施、施农家肥和农家肥与氮磷配施,玉米n=10,小麦n =26, *表示P≤0.05, **表示P≤0.01。下同 Note: CK, N, NP、SNP, M and MNP stands for no fertilizer, only chemical fertilizer N, chemical fertilizers NP, straw coupled with chemical fertilizers NP, single organic manure and organic manure coupled with chemical fertilizers NP, Maize n=10, wheat n=26, *mean P≤0.05, ** mean P≤0.01.The same below 图 1 施肥对小麦和玉米累积产量的影响 Fig. 1 Effects of fertilization on accumulative yields of wheat and maize |
以施肥处理和年份为自变量,作物产量为因变量,进行两因素方差分析,结果表明,施肥和年份对作物产量有极显著影响,CK、N、NP、SNP、M、MNP 6处理玉米和小麦的多年平均籽粒产量(表 1)与由拟合方程所得的相应处理年均产量相近。NP、SNP、M和MNP处理多年平均玉米籽粒产量较对照(CK)均显著增加,其增幅分别为92%、97%、93%和141%,而单施氮肥(N)增产效果不显著。NP、SNP、M和MNP处理间玉米产量差异也未达到显著水平。与玉米不同的是,所有施肥处理小麦籽粒产量较对照均显著增加,N、NP、SNP、M和MNP处理的平均小麦籽粒产量分别较对照(CK)增加36%、147%、164%、139%和214%,其增幅明显大于玉米。不同处理间,MNP处理小麦籽粒产量最高,显著高于其他处理,但NP、SNP、M处理间的差异不显著(表 1)。由此表明,仅施有机肥(M)及秆还田结合隔年施磷(SNP)可以获得与NP处理相当的作物产量。施肥对年际间小麦产量的稳定性也有较大影响(表 1),NP、SNP、M和MNP处理小麦产量的变异系数较对照明显降低,但不同处理间玉米籽粒产量的变异系数差异不明显,在23%~32%之间。
|
|
表 1 施肥对作物产量的影响 Table 1 Effects of fertilization on crops yields |
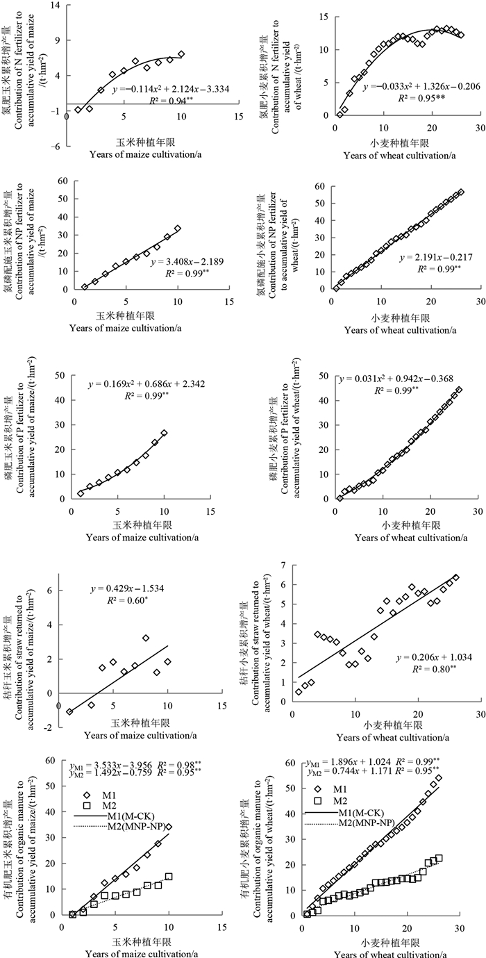
氮磷配施、秸秆还田和有机肥的玉米和小麦累积产量贡献量均随着种植年限的增加而增加,而且与种植年限间存在显著正相关关系。由拟合方程得知,氮磷配施、秸秆还田玉米年均产量贡献量分别为3 408、2 191 kg·hm-2,小麦的分别为429、206 kg·hm-2(图 2)。由M=∑1n(M-CK)计算所得有机肥处理的玉米、小麦年均产量贡献量分别为3 533、1 896 kg·hm-2,而由M=∑1n(MNP-NP)计算所得有机肥的玉米、小麦年均产量贡献量分别为1 492、744 kg·hm-2。M=∑1n(M-CK)所得的有机肥累积产量贡献量明显大于M=∑1n(MNP-NP)所得,由此表明,土壤肥力对有机肥的作物产量贡献量有较大影响,低肥力土壤(CK处理)有机肥的增产效果明显高于高肥力土壤(NP处理)。
|
图 2 不同施肥处理小麦和玉米累积增产量 Fig. 2 Contribution of fertilization to accumulative yield of wheat and maize relative to treatments |
单施氮肥的小麦和玉米累积产量贡献量随种植年限的增加先增加后降低,可用开口向下的二次曲线拟合,表明单施氮肥一定的年限后,玉米和小麦产量将会低于不施肥处理(CK),二次曲线的斜率也显示,氮肥的年产量贡献量随种植年限的延长而逐渐降低,一定年限后将出现较对照减产。这可能是由于土壤磷素逐渐耗竭,土壤氮磷养分不平衡,严重限制了氮肥的作物产量效应所致(图 2)。与氮肥不同,磷肥的小麦和玉米累积产量贡献量随种植年份的增加而增加,可用开口向上的二次曲线拟合。二次曲线的斜率显示,磷肥的年产量贡献量随种植年限增加而逐渐增加,这可能是由于长期施磷,土壤中的磷素累积而进一步增加作物产量所致,也可能是以P=∑1n(NP-N)计算P累积产量贡献量,未能分离NP的交互作用及N处理产量逐渐降低所致。
2.3 施肥对土壤肥力的贡献 2.3.1 施肥对土壤有机质和全氮的贡献由图 3可以看出,随试验年限延长,施有机肥及秸秆还田土壤有机质含量明显增加,不施肥(CK)和仅施用化肥(N,NP)处理土壤有机质含量也有所增加。除CK和N处理,其余处理土壤有机质含量与试验年限显著正相关(yNP = 0.18x + 9.69,R2 = 0.71**;ySNP = 0.32x + 10.09,R2 = 0.92**;yM = 0.39x + 8.95,R2 = 0.84**;yMNP = 0.44x + 8.86,R2 = 0.87**)。2015年CK、N、NP、SNP、M和MNP土壤有机质含量分别为13.2、13.6、16.6、18.9、23.4和24.2 g·kg-1,分别较1978年增加22.8%、26.5%、54.4%、75.8%、114.0%和123.3%,年均增速分别为0.064、0.075、0.154、0.214、0.322和0.348 g·kg-1。2015年NP、SNP、M和MNP处理土壤有机质含量显著高于对照(CK)和仅施氮肥(N)处理,其分别较对照增加25.7%、43.2%、74.2%和81.8%。M和MNP处理显著高于NP和SNP处理,但CK与N、NP与SNP及M与MNP处理间差异不显著(表 2)。
|
图 3 施肥对土壤碳氮的贡献 Fig. 3 Contribution of fertilization to soil organic matter and N contents |
|
|
表 2 施肥对0~20 cm耕作层土壤养分含量的影响 Table 2 Effect of fertilization on soil nutrient contents in the 0~20 cm tillage layer in 2015 |
土壤全氮含量变化趋势与土壤有机质含量的变化趋势略有差异,随试验年限延长,施有机肥和秸秆还田土壤全氮含量也明显增加,但化肥无论单施还是配施,土壤全氮含量均无明显变化(图 3)。CK、N、NP、SNP、M和MNP 6处理中仅有M和MNP处理土壤全氮含量与试验年限显著正相关(yM = 0.009x + 0.968,R2 = 0.62**;yMNP = 0.010x + 0.983,R2 = 0.72**)。2015年CK、N、NP、SNP、M和MNP处理土壤全氮含量分别为0.87、0.87、0.89、1.04、1.32、1.27 g·kg-1,仅SNP、M和MNP处理土壤全氮含量较对照(CK)显著增加,分别较对照增加9.5%、36.8%和33.7%,而且M和MNP处理显著高于SNP,N和NP处理与对照(CK)差异不显著,M和MNP处理间差异也不显著(表 2),这进一步说明,长期施用化学氮肥对土壤全氮含量影响不显著。
2.3.2 施肥对土壤有效磷和速效钾的贡献CK和N处理长期不施磷,土壤有效磷(Olsen-P)含量随试验年限延长而逐渐降低,而NP、SNP、M和MNP处理每年均有磷输入,土壤有效磷含量均随试验年限延长而逐渐增加(图 4),且与试验年限显著正相关(yN = -0.13x+6.78, R2 = 0.53**; yNP = 0.57x+4.70, R2 = 0.82**; ySNP = 0.28x+6.38, R2 = 0.69**; yM = 0.278x + 6.27, R2 = 0.88**; yMNP = 1.33x + 2.36, R2 = 0.94**)。2015年CK、N、NP、SNP、M和MNP的有效磷含量分别为3.2、5.0、26.7、13.6、12.4和39.2 mg·kg-1,与1978年初始值相比,CK和N处理降低了52.7%和26.1%,年均减少0.094 mg·kg-1和0.047 mg·kg-1,而NP、SNP、M和MNP处理较对照分别增加了394.4%、100.9%、83.2%和479.0%,年均增加0.52、0.18、0.15和0.85 mg·kg-1。2015年NP、SNP、M和MNP土壤有效磷含量显著高于对照,分别较对照增加638%、325%、288%和1125%。MNP既施有机肥又施磷肥,年均土壤磷素投入量最大(153 kg·hm-2),土壤有效磷含量也显著高于其他处理;其次为NP处理,NP处理(30 kg·hm-2)虽年均土壤磷素输入量低于M处理(120 kg·hm-2),但有效磷含量高,因而,NP处理土壤有效磷含量也显著高于M处理;SNP处理磷素输入量低于NP处理,但因施用化学磷肥,土壤有效磷含量虽显著低于NP处理,但与M处理差异不显著(表 2)。
|
图 4 施肥对土壤有效磷和速效钾贡献 Fig. 4 Contribution of fertilization to contents of soil available P and K |
与有效磷含量变化趋势相似,随试验年限延长,长期无钾输入处理(CK、N、NP)土壤速效钾含量逐渐降低,但仅CK处理与试验年限显著负相关(yCK = -1.20x + 162.44, R2 = 0.49**),秸秆还田(SNP)虽可缓解土壤速效钾含量降低的趋势,但不能完全消除(图 4)。施用有机肥(M和MNP)土壤速效钾含量逐渐增加,而且与试验年限显著正相关(yM = 5.67x + 123.91, R2 = 0.78**; yMNP = 5.61x + 124.43, R2 = 0.84**)。2015年CK、N、NP、SNP、M和MNP 6处理土壤速效钾含量分别为129、154、119、139、288和299 mg·kg-1,CK、N、NP和SNP处理土壤速效钾含量分别较1978年试验初始值降低21.0%、5.6%、27.1%和14.8%,年均减少0.90、0.24、1.16和0.64 mg·kg-1,而M和MNP处理较初始值增加76.6%和83.2%,年均增加3.28和3.57 mg·kg-1。MNP和M处理长期施用有机肥,土壤速效钾含量最高,显著高于其他处理,其次为SNP和N处理,而CK和NP处理土壤速效钾含量最低(表 2)。
3 讨论 3.1 作物累积产量及肥料的作物产量贡献作物产量的施肥响应是评价施肥措施是否科学的主要依据,但由于受气候和品种等因素的影响,年际间作物产量通常有较大波动。为消除气候、品种等所引起的产量波动,多采用滑动平均、相对产量等方法处理[13]。本研究发现,CK和N处理小麦累积产量随试验年限延长增速逐减,而其他处理则直线增加;N肥的小麦和玉米累积产量贡献量随种植年限的增加先增加后降低,而NP、秸秆和有机肥的累积产量贡献量随试验年限线性增加,与累积产量变化趋势相互印证;CK、N、NP、SNP、M、MNP 6处理玉米和小麦的多年平均籽粒产量与由拟合方程所得的相应处理年均产量相近,以上结果均表明采用累积产量法可在更长的时间尺度上消除年际间作物产量的波动,通过建立不同施肥处理种植年限与累积产量的数学关系,可准确确定不同施肥及肥料作物产量演变趋势特征和贡献量等参数。
NP肥的小麦和玉米年产量贡献量分别为3 408和2 191 kg·hm-2,秸秆还田年均玉米和小麦产量贡献分别为429和206 kg·hm-2,而氮肥、磷肥的玉米产量贡献量与种植年限分别呈二次凹曲线和凸曲线关系,M和MNP处理有机肥的玉米年均产量贡献为3 533、1 896 kg hm-2,小麦为1 492、744 kg·hm-2,表明肥料种类、土壤养分平衡状况及肥力水平均影响着肥料的作物产量贡献量。N处理土壤有效磷含量逐渐降低,逐渐限制氮肥的作物产量贡献,直至氮肥的作物产量贡献为负;长期施磷,土壤有效磷累积,磷肥的作物产量贡献增加,同时,以NP-N计算磷肥的作物产量贡献会因N处理作物产量递减引起磷肥的作物产量贡献量递增;M处理与CK处理土壤肥力指标(有机质、全氮、有效磷和速效钾)差异明显大于MNP与NP处理,致使M处理有机肥作物产量贡献明显大于MNP处理,因此,在评价肥料的作物产量贡献量时应充分考虑土壤养分平衡状况及肥力水平。
由累积产量与试验年限间的拟合方程得知,CK、N、NP、SNP、M和MNP 6处理玉米的年均籽粒产量分别为3 491、4 359、6 899、7 329、7 024、8 392 kg·hm-2,小麦的分别为1 443、1 869、3 634、3 842、3 338、4 378 kg·hm-2,这与布置在陕西长武长期定位试验CK、N、NP、M和MNP处理的小麦平均产量基本一致[12],虽然陕西武长期定位试验施氮量高于本试验。王位泰等[14]在黄土高原56个站点研究发现,多雨年小麦和玉米的平均产量分别为3 555和6 690 kg·hm-2,少雨年小麦和玉米的平均产量为2 955和2 580 kg·hm-2,多雨年小麦和玉米产量与本研究NP处理小麦和玉米产量相近,由此表明,本试验NP处理的施肥量与区域常规施肥量(N 225、P2O5 150 kg·hm-2)相比虽较低,但能满足作物正常生长发育的需要。作物累积产量贡献量与种植年限显著正相关,同时NP处理土壤有机质、全氮和有效磷含量较试验起始时其含量明显增加,进一步证实NP处理的施肥量未引起土壤肥力水平下降。SNP、M和MNP处理小麦和玉米产量与NP处理相近或显著高于NP处理,其原因是这3处理土壤有机质、全氮和速效钾含量较NP处理明显增加,虽SNP和M处理有效磷含量低于NP处理,但仍高于12 mg·kg-1,与土壤养分丰缺指标划分标准[15]相比,含量水平中等,而且与试验起始时相比明显增加,能够满足作物需求。这些结果也表明,秸秆还田配合隔年施磷、施用有机肥及化肥与有机肥配施均是黄土高原黑垆土区比较适宜的土壤培肥技术,特别是秸秆还田配合隔年施磷,不但可降低磷肥施用量50%,还可解决作物秸秆的出路问题。
3.2 施肥对土壤肥力质量的贡献有机质是土壤肥力的基础和土壤培肥的核心问题,一直受到广泛关注。本研究发现,施用有机肥和秸秆还田显著增加了土壤有机质含量,不施肥和仅施用化肥处理,土壤有机质含量也有所增加,其原因应是根茬还田所致,徐娜等[10]在陕西长武监测的结果与此相同。不同处理间土壤有机质增幅不同,可能与外源有机质输入的数量、质量及根茬还田量不同有关,SNP处理累积有机质输入量最大(149 200 kg·hm-2),而M和MNP处理累积有机碳输入量分别为93 027 kg·hm-2和102 841 kg·hm-2,但因其较农家肥中的有机质更易矿化腐解,土壤固存率低,致使土壤有机质含量显著低于M和MNP处理。陈磊等[11]在黄土高原中南部的旱塬上研究也发现,单施氮肥(N)、氮磷(NP)配施可显著增加土壤有机质含量,有机肥与化肥配施土壤中的作物残茬明显增加,有机质含量增幅较化肥单施和配施效果显著。李科江等[16]在河北省轻壤质底黏潮土上的研究同样证实,长期不施肥,土壤有机质含量略有增加;而许咏梅等[17]在新疆乌鲁木齐灰漠土上研究发现,长期不施肥、施用化肥土壤有机质含量明显下降。不同区域长期施肥土壤有机质响应不一致可能与土壤类型、气候条件及种植作物不同有关。
施用有机肥和秸秆还田增加了土壤全氮含量,但施用化肥对土壤全氮含量影响不明显,这与杨旸等[18]研究结果一致。其主要原因可能是农田土壤中的化学氮素除部分在降雨和灌溉水的作用下直接流失外,主要是以可溶性NH4+-N和NO3--N形式淋失至土壤下层或通过氨挥发途径进入大气[19],而有机肥氮可区分为易分解和较难分解的两大部分,前者在施用的当季即可分解释出矿质氮,而后者的矿化较慢、持效时间较长,长期连续施用可产生累积效应[20]。王亚萨等[21]研究也证实,施用有机肥能显著提高土壤全氮含量,并且有机肥施用量与土壤全氮提高幅度呈正相关。由此表明,氮肥与有机肥配施是增加土壤全氮含量、提升土壤供氮能力和氮肥利用效率的有效途径。
4 结论采用累积产量可在更长的时间尺度上消除年际间作物产量的波动,通过建立种植年限与累积产量间的关系,可准确确定不同施肥处理作物平均产量、产量演变趋势及肥料的作物产量贡献量等参数。土壤肥力水平影响肥料的作物产量贡献量,氮肥和磷肥的玉米产量贡献量与种植年限分别呈二次凹函数和凸函数关系,M和MNP处理有机肥的玉米年均产量贡献为3 533、1 896 kg·hm-2,小麦为1 492、744 kg·hm-2。秸秆还田年均玉米和小麦产量贡献分别为429和206 kg·hm-2。黄土高原黑垆土区小麦/玉米轮作体系中,长期秸秆还田、施用有机肥及有机肥与化肥配施作物产量较常规施肥增加,同时也可提高土壤有机质和全氮含量,提升土壤肥力质量;适宜施肥量为N 90 kg·hm-2、P2O5 75 kg·hm-2,若秸秆还田,可隔年施磷。
| [1] |
魏猛, 张爱君, 诸葛玉平, 等. 长期不同施肥对黄潮土区冬小麦产量及土壤养分的影响. 植物营养与肥料学报, 2017, 23(2): 304-312. Wei M, Zhang A J, Zhuge Y P, et al. Effect of different long-term fertilization on winter wheat yield and soil nutrient contents in yellow fluvo-aquic soil area (In Chinese). Journal of Plant Nutrition and Fertilizer, 2017, 23(2): 304-312. ( 0) |
| [2] |
黄欠如, 胡锋, 李辉信, 等. 红壤性水稻土施肥的产量效应及与气候、地力的关系. 土壤学报, 2006, 43(6): 926-933. Huang Q R, Hu F, Li H X, et al. Crop yield response to fertilization and its relations with climate and soil fertility in red paddy soil (In Chinese). Acta Pedologica Sinica, 2006, 43(6): 926-933. DOI:10.3321/j.issn:0564-3929.2006.06.007 ( 0) |
| [3] |
马强, 宇万太, 姜子绍, 等. 不同水分条件下化肥对玉米产量的贡献. 土壤, 2010, 42(2): 213-218. Ma Q, Yu W T, Jiang Z S, et al. Contribution of fertilizers to maize yield under different precipitations (In Chinese). Soils, 2010, 42(2): 213-218. ( 0) |
| [4] |
郝小雨, 周宝库, 马星竹, 等. 长期不同施肥措施下黑土作物产量与养分平衡特征. 农业工程学报, 2015, 31(16): 178-185. Hao X Y, Zhou B K, Ma X Z, et al. Characteristics of crop yield and nutrient balance under different long-term fertilization practices in black soil (In Chinese). Transactions of the Chinese Society of Agricultural Engineering, 2015, 31(16): 178-185. DOI:10.11975/j.issn.1002-6819.2015.16.024 ( 0) |
| [5] |
陈轩敬, 赵亚南, 柴冠群, 等. 长期不同施肥下紫色土综合肥力演变及作物产量响应. 农业工程学报, 2016, 32(S1): 139-144. Chen X J, Zhao Y N, Chai G Q, et al. Integrated soil fertility and yield response to long-term different fertilization in purple soil (In Chinese). Transactions of the Chinese Society of Agricultural Engineering, 2016, 32(S1): 139-144. ( 0) |
| [6] |
奚振邦. 关于化肥对作物产量贡献的评估问题. 磷肥与复肥, 2004, 19(3): 68-71. Xi Z B. Evaluation on the contribution of fertilizer to the yield of crop (In Chinese). Phosphate & Compound Fertilizer, 2004, 19(3): 68-71. DOI:10.3969/j.issn.1007-6220.2004.03.031 ( 0) |
| [7] |
李军, 邵明安, 王立祥. 黄土高原地区粮食生产潜力与粮食生产发展战略探讨. 中国生态农业学报, 2002, 10(1): 118-120. Li J, Shao M A, Wang L X. Developing strategy of grain crop production in Loess Plateau Region of China (In Chinese). Chinese Journal of Eco-Agriculture, 2002, 10(1): 118-120. ( 0) |
| [8] |
李凤民, 徐进章, 孙国钧. 半干旱黄土高原退化生态系统的修复与生态农业发展. 生态学报, 2003, 23(9): 1901-1909. Li F M, Xu J Z, Sun G J. Restoration of degraded ecosystems and development of water-harvesting ecological agriculture in the semi-arid Loess Plateau of China (In Chinese). Acta Ecologica Sinica, 2003, 23(9): 1901-1909. DOI:10.3321/j.issn:1000-0933.2003.09.023 ( 0) |
| [9] |
吴磊, 马孝义. 黄土高原水土流失型非点源污染过程模拟研究进展. 中国科技论文, 2015, 10(13): 1497-1506. Wu L, Ma X Y. Research progress in erosion-type nonpoint source pollution process simulation of the Loess Plateau (In Chinese). China Science Paper, 2015, 10(13): 1497-1506. DOI:10.3969/j.issn.2095-2783.2015.13.005 ( 0) |
| [10] |
徐娜, 党廷辉, 刘文兆. 黄土高塬沟壑区农田土壤养分与作物产量变化的长期监测. 植物营养与肥料学报, 2016, 22(5): 1240-1248. Xu N, Dang T H, Liu W Z. Soil nutrient balance and crop yields after 10-years' fertilization in the gully area of the Loess Plateau (In Chinese). Journal of Plant Nutrition and Fertilizer, 2016, 22(5): 1240-1248. ( 0) |
| [11] |
陈磊, 郝明德, 张少民, 等. 黄土高原旱地长期施肥对小麦养分吸收和土壤肥力的影响. 植物营养与肥料学报, 2007, 13(2): 230-235. Chen L, Hao M D, Zhang S M, et al. Effects of long-term application of fertilizer on wheat nutrient uptake and soil fertility in Loess Plateau (In Chinese). Journal of Plant Nutrition and Fertilizer, 2007, 13(2): 230-235. DOI:10.3321/j.issn:1008-505X.2007.02.008 ( 0) |
| [12] |
郝明德, 来璐, 王改玲, 等. 黄土高原塬区旱地长期施肥对小麦产量的影响. 应用生态学报, 2003, 14(11): 1893-1896. Hao M D, Lai L, Wang G L, et al. Effects of long-term fertilization on wheat yield on Loess Plateau (In Chinese). Chinese Journal of Applied Ecology, 2003, 14(11): 1893-1896. DOI:10.3321/j.issn:1001-9332.2003.11.018 ( 0) |
| [13] |
李忠芳, 徐明岗, 张会民, 等. 长期施肥下作物产量演变特征的研究进展. 西南农业学报, 2012, 25(6): 2387-2392. Li Z F, Xu M G, Zhang H M, et al. Summarize of crop yield dynamic under long-term fertilization (In Chinese). Southwest China Journal of Agricultural Sciences, 2012, 25(6): 2387-2392. DOI:10.3969/j.issn.1001-4829.2012.06.087 ( 0) |
| [14] |
王位泰, 张天锋, 姚玉璧, 等. 黄土高原夏半年降水气候变化特征及对作物产量的影响. 干旱地区农业研究, 2008, 26(1): 154-159. Wang W T, Zhang T F, Yao Y B, et al. Climate change character of precipitation during the half year of summer and its impact on crop yield in the Loess Plateau (In Chinese). Agricultural Research in the Arid Areas, 2008, 26(1): 154-159. ( 0) |
| [15] |
张树清, 孙小凤. 甘肃农田土壤氮磷钾养分变化特征. 土壤通报, 2006, 37(1): 13-18. Zhang S Q, Sun X F. Characteristics of nitrogen, phosphorus and potassium nutrients of arable soil in Gansu (In Chinese). Chinese Journal of Soil Science, 2006, 37(1): 13-18. DOI:10.3321/j.issn:0564-3945.2006.01.003 ( 0) |
| [16] |
李科江, 张素芳, 贾文竹, 等. 半干旱区长期施肥对作物产量和土壤肥力的影响. 植物营养与肥料学报, 1999, 5(1): 22-26. Li K J, Zhang S F, Jia W Z, et al. Effect of long-term fertilization on crop yield and soil fertility in semi-arid area (In Chinese). Journal of Plant Nutrition and Fertilizer, 1999, 5(1): 22-26. ( 0) |
| [17] |
许咏梅, 刘骅, 王西和. 长期施肥下新疆灰漠土有机碳及作物产量演变. 中国生态农业学报, 2016, 24(2): 154-162. Xu Y M, Liu Y, Wang X H. Evolution of soil organic carbon and crop yield under long-term fertilization in grey desert soils (In Chinese). Chinese Journal of Eco-Agriculture, 2016, 24(2): 154-162. ( 0) |
| [18] |
杨旸, 张树兰, 杨学云, 等. 长期定位施肥对旱作塿土小麦产量、养分效率及养分平衡的影响. 土壤通报, 2017, 48(5): 1162-1168. Yang Y, Zhang S L, Yang X Y, et al. Effect of long-term fertilization on wheat yield, nutrient use efficiency and nutrient balance in rainfed Lousoil (In Chinese). Chinese Journal of Soil Science, 2017, 48(5): 1162-1168. ( 0) |
| [19] |
潘逸凡, 杨敏, 董达, 等. 生物质炭对土壤氮素循环的影响及其机理研究进展. 应用生态学报, 2013, 24(9): 2666-2673. Pan Y F, Yang M, Dong D, et al. Effects of biochar on soil nitrogen cycle and related mechanisms:A review (In Chinese). Chinese Journal of Applied Ecology, 2013, 24(9): 2666-2673. ( 0) |
| [20] |
朱兆良. 中国土壤氮素研究. 土壤学报, 2008, 45(5): 778-783. Zhu Z L. Research on soil nitrogen in China (In Chinese). Acta Pedologica Sinica, 2008, 45(5): 778-783. DOI:10.3321/j.issn:0564-3929.2008.05.003 ( 0) |
| [21] |
王亚萨, 邹悦, 张晶, 等. 碳添加对农田土壤氮转化过程影响的研究进展. 农学学报, 2017, 7(2): 36-41. Wang Y S, Zou Y, Zhang J, et al. Effect of carbon addition on farmland soil nitrogen transformation (In Chinese). Journal of Agriculture, 2017, 7(2): 36-41. ( 0) |
2. Pingliang Academy of Agricultural Sciences, Pingliang, Gansu 744000, China
2019, Vol. 56


0)