2. 土壤与农业可持续发展国家重点实验室(中国科学院南京土壤研究所),南京 210008
南方红壤丘陵区受季风气候的影响,加之雨季来临前农田翻耕导致土壤结构破坏,水土流失严重,成为我国第二大水土流失区[1-2]。目前红壤区水土流失面积60万km2,主要发生在坡耕地[2]。水土流失加剧了土壤贫瘠,使有机碳累积更加困难。土壤有机碳(Soil organic carbon, SOC)作为评价土壤肥力的重要指标,其在土壤中固持一方面可以减少碳排放和维持全球碳平衡[3],一方面可以改良土壤结构、提高土壤生产力[4]。土壤有机碳通常以溶解态和吸附态的形式随径流和泥沙迁移出土体,造成土壤肥力下降[5]。许多研究发现有机碳流失以吸附态为主,肖胜生等[6]报道裸地坡面随泥沙流失的有机碳占比为65%,而聂小东等[7]发现坡耕地泥沙所携带有机碳流失量占总有机碳流失量的84%以上,最高可达98%。有机碳富集在土壤表层,降雨诱发侵蚀时优先搬运了表层的细颗粒土壤,导致有机碳大量流失[8]。
红壤坡耕地有机碳的固持和流失一直备受研究者的广泛关注,并在有机培肥和水土保持促进坡耕地有机碳积累方面取得了一些进展。例如,孟祥天等[9]基于不同有机物等碳量投入的定位试验,发现生物质炭和秸秆不仅可以增加红壤有机碳含量,还能显著提高红壤机械稳定性团聚体的数量;柳开楼等[10]报道长期施用猪粪较常规施肥增加了18.8%~23.7%有机碳含量。陈敏全和王克勤[11]指出坡面林草和等高反坡阶措施显著提高了土壤有机质含量,阻控了土壤有机碳流失。研究表明,培肥是改良土壤结构、减少水土流失、维持土壤肥力水平,进而实现农业可持续发展的重要措施[12]。但是,我国土壤培肥定位试验一般建立在平坦的地块上,很少考虑侵蚀方面的影响,从而关于不同培肥措施对土壤侵蚀所导致的有机碳流失的报道较少。因此,本研究以水土流失较为严重的红壤坡耕地为研究对象,基于不同培肥措施下侵蚀小区尺度水土流失量和泥沙中有机碳含量的监测,分析不同培肥措施下泥沙携带的有机碳流失规律,以期为红壤坡耕地土壤培肥和水土流失阻控提供理论依据。
1 材料与方法 1.1 研究区概况本研究依托位于江西省鹰潭市的中国科学院鹰潭红壤生态实验站(28 °15 ′N,116 °55 ′E)。该地区属亚热带季风性湿润气候区,年均气温17.8 ℃,年均降雨量1795 mm,但降水季节分配不均,50%的降水集中在4—6月份,而夏秋之间高温少雨,7—9月份蒸发量接近全年的1/2,为季节性干旱期。土壤为第四纪红黏土发育的典型红壤,试验前土壤有机碳为7.44 g·kg-1。
1.2 试验设计侵蚀试验地建于2011年[13],在坡度为5°~8°的坡耕地上共设有15个长20 m、宽6 m的侵蚀小区,共有5个处理:不施肥(CK)、单施化肥(NPK)、化肥与秸秆覆盖(NPK+Str)、化肥与生物质炭(NPK+BC)、化肥与猪粪培肥(NPK+OM),每个处理三个重复,小区采用随机区组设计[14]。区内顺坡垄作种植花生。4—8月份为花生生长季,其他月份为农耕休闲期,即非生长季。每季N肥(尿素)、P肥(过磷酸钙)、K肥(氯化钾)用量分别为N 172.5 kg·hm-2、P2O5 90.0 kg·hm-2、K2O 180.0 kg·hm-2。同时施用硼(B)肥0.162 kg·hm-2。水稻秸秆、生物质炭和猪粪按碳投入量2 t·hm-2计算,施用量分别为5、4和8 t·hm-2(干重)。施肥时间为每年4月初,水稻秸秆晒干后,切碎至3~5 cm长度。水稻制生物质炭由烘干水稻秸秆在反应炉(专利号:ZL200920232191.9)中400 ℃厌氧焚烧4 h制备,猪粪提前一月堆放至田间,沤肥待用。花生播种前,猪粪、水稻制生物质炭均以撒施的方式施入,翻耕混匀,基肥N、P、K和B肥撒施,然后起垄种植花生。秸秆在花生播种后4 d,以覆盖的方式还田。
1.3 样品采集与数据处理产流产沙监测:在每一小区下端挖坑砌池(长×宽×高=1.5 m×1.0 m×0.5 m),安装翻斗式径流仪,翻斗大小为2 L,连接事件计数器(Onset computer corporation, Bourne, USA),2015—2017年实时监测径流事件的全过程。在翻斗计下方安装孔径为300目的滤网收集泥沙,2015年按次降雨事件收集泥沙合并为每月产沙量,2016年和2017年均在每月月底收集当月所产泥沙。降雨数据来源于中国红壤生态试验站翻斗式雨量计。
| $ 径流深(\mathrm{mm})=\frac{V \times N}{A} $ |
式中,V为翻斗仪的体积(2 L),N为翻动的次数,A为小区面积(120 m2)。
| $ 侵蚀量\left(\mathrm{t} \cdot \mathrm{km}^{-2}\right)=\frac{M_{W} \times \frac{M_{d}}{0.5}}{A} \times 1000 $ |
式中,Mw为泥沙湿重,Md为0.5 kg泥沙干重,A为小区面积(120 m2)。
有机碳含量的测定及流失量计算:将泥沙风干后,过100目筛,采用重铬酸钾容量法测定泥沙有机碳含量,进而获得流失有机碳总量。
采用Excel 2016软件对试验数据进行统计整理,采用SPSS 24.0软件进行单因素方差分析、多重比较(Duncan法)和相关性检验。
2 结果 2.1 不同培肥措施下地表径流动态变化如图 1所示,2015—2017年降雨量分别为2162、1944、1699 mm,57.1%~61.4%的降雨发生在花生生长季(即4—8月份)。
|
图 1 2015—2017年不同培肥措施下降雨和径流的动态变化 Fig. 1 Dynamic of rainfall and runoff during the period of 2015—2017 relative to soil fertility building practice |
2015年全年径流量为222~321 mm,除NPK+Str地表产流峰值出现在11月外(60.6 mm),其他培肥处理产流峰值均出现在6月份(122~177 mm),NPK+Str花生生长季产流86.3 mm,仅占全年产流的38.9%,其他培肥措施花生生长季产流均在66%以上。
2016年全年径流量196~306 mm,CK处理下径流峰值出现在11月(79.7 mm),NPK、NPK+Str和NPK+OM径流峰值均出现在5月份,分别为53.6、52.1和96.3 mm,NPK+BC峰值出现在6月份(77.8 mm),花生生长季地表产流占全年径流量的60%~88%。
2017年全年径流量为140~255 mm,地表径流峰值均出现在6月份(60.4~130.4 mm),花生生长季产流量占全年的66%~96%。地表产流除了与降水量和雨强有关外,同时还受当地产流机制的影响,红壤区雨季多以蓄满产流为主,旱季则以超渗产流为主。
由表 1可知,3年平均地表产流由高到低依次为:NPK+BC(297.1 mm)、CK(265.2 mm)、NPK(242.9 mm)、NPK+OM(217.0 mm)、NPK+Str(188.8 mm)。除NPK+Str处理外,约有69%~83%的地表径流产生于花生生长季。2015年产流系数为10.3%~14.8%,CK处理下花生生长季径流系数为20.3%,为NPK+Str处理的3倍。2016年和2017年分别有10.1%~17.4%、8.2%~15.0%的降雨转化为地表径流,花生生长季均以NPK+BC径流系数最高(21.5%、18.9%),NPK+Str径流系数最低(10.9%、8.9%)。
|
|
表 1 2015—2017年不同培肥措施下地表产流状况 Table 1 Generation of surface runoff during the period of 2015—2017 relative to soil fertility building practice |
图 2所示为2015—2017年不同培肥措施下土壤侵蚀的动态变化,2015年全年土壤侵蚀量为291~3644 t·km-2,CK、NPK和NPK+OM处理下侵蚀峰值出现在5月份(1 445、1 467、871 t·km-2),NPK+BC侵蚀峰值出现在6月份(1 126 t·km-2),NPK+Str侵蚀峰值则出现在10月份(110 t·km-2),各培肥处理在1月、2月、7月和12月均未观测到土壤侵蚀,生长季侵蚀量占全年侵蚀量的38.1%~86.2%。
|
图 2 2015—2017年不同施肥措施下侵蚀量的动态变化 Fig. 2 Dynamic of soil erosion during the period of 2015—2017 relative to soil fertility building practice |
2016年土壤侵蚀动态与2015年相似,全年侵蚀量为258~4 131 t·km-2,侵蚀峰值均出现在5月份(115~1 427 t·km-2),花生生长季侵蚀量占全年侵蚀量的94%以上。
2017年全年侵蚀量为448~5 235 t·km-2,除NPK+BC侵蚀峰值出现在6月外(1 895 t·km-2),其他培肥措施的侵蚀峰值均出现在8月份(1 610、1 344、295和544 t·km-2),花生生长季土壤侵蚀量占全年侵蚀量的77%~89%。
不同培肥处理下,土壤侵蚀以CK、NPK+BC、NPK最多,再次为NPK+OM,最后为NPK+Str,有70%~90%的侵蚀发生在花生生长季。2015年和2016年土壤侵蚀动态主要受降雨和地表产流的影响,2017年土壤侵蚀除与降雨和径流存在一定的响应关系外,还受降雨强度的影响,8月降雨强度为3.42 mm·h-1,对土壤侵蚀峰值影响明显。由表 2可知,CK处理下,2015-2017年的年均土壤侵蚀模数为3 995 t·km-2·a-1,相当于每年有3.20 mm表层土壤流失,且主要发生在花生生长季(84.5%)。NPK处理下土壤流失量为3 745 t·km-2·a-1,NPK+BC处理与之基本持平(3 931 t·km-2·a-1),但是NPK+Str和NPK+OM均极显著减少了土壤侵蚀(P < 0.001),分别为332和1 455 t·km-2·a-1。
|
|
表 2 2015—2017年不同培肥措施下土壤侵蚀状况 Table 2 Soil erosion in the peanut field during the period of 2015—2017 relative to soil fertility building practice |
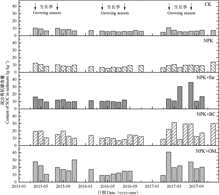
图 3为不同培肥措施下泥沙有机碳含量的变化状况,与土壤侵蚀量的动态变化不同,有机碳含量并无明显的季节变化。2015—2017年泥沙有机碳含量总体以NPK+OM最高,顺次为NPK+BC,再次为NPK+Str和NPK,最后为CK。与NPK相比,NPK+Str、NPK+BC和NPK+OM均显著提高了有机碳含量(P < 0.05),分别增加6.2、7.1、10.2 g·kg-1。
|
图 3 2015—2017年不同培肥措施下泥沙有机碳含量 Fig. 3 Content of SOC in sediment during the period of 2015—2017 relative to soil fertility building practice |
2015年CK处理下泥沙有机碳平均含量为8.6 g·kg-1,与CK相比,NPK、NPK+Str、NPK+BC和NPK+OM培肥处理分别增加了1.3、3.4、6.9、12.0 g·kg-1有机碳。各培肥处理并无明显峰值。
相较2015年,2016年CK处理下泥沙有机碳平均含量降低2.2 g·kg-1,但与NPK相比,NPK+Str、NPK+BC和NPK+OM三种有机培肥处理有机碳分别增加3.3、3.8、5.3 g·kg-1。
2017年CK处理下泥沙有机碳平均含量为6.8 g·kg-1,与NPK相比,NPK+Str、NPK+BC和NPK+OM有机培肥处理有机碳分别增加10.3、11.6、13.2 g·kg-1。CK和NPK+OM有机碳峰值均出现在4月(10.9和41.0 g·kg-1),NPK和NPK+BC有机碳峰值出现在12月(14.1和30.3 g·kg-1),NPK+Str有机碳峰值出现在8月(36.1 g·kg-1)。
从2015—2017年际间变化来看,以2017年泥沙有机碳含量差异最大,不同处理间泥沙有机碳含量相差25.1 g·kg-1,NPK+Str处理下泥沙有机碳含量显著高于其他处理(P < 0.05),2015年NPK+OM处理下泥沙有机碳含量显著高于其他处理(P < 0.05),2016年泥沙有机碳含量则以NPK+Str最高,与NPK+BC和NPK+OM处理间差异不显著(P > 0.05)。
如图 4所示,2015—2017年不同培肥措施下,泥沙携带有机碳流失总量由高到低依次为NPK+BC(33.2~78.8 t·km-2)、NPK(21.4~34.8 t·km-2)、CK(23.7~29.0 t·km-2)、NPK+OM(10.6~23.4 t·km-2)、NPK+Str(2.5~10.2 t·km-2)。泥沙携带有机碳流失总量受侵蚀量的影响,表现出明显的季节变化,花生生长季泥沙携带有机碳流失总量在4.0~44.6 t·km-2之间,占全年流失总量的78%以上。从年际变化来看,除NPK+Str外,2015年其他培肥处理下的有机碳流失主要发生在花生生长季,占全年流失总量的比重分别为80.2%、79.8%、79.9%、76.5%,而2016、2017年各处理下泥沙有机碳流失均发生在花生生长季,占比分别为94.0%~95.6%、79.4~89.9%。通过相关分析可知,CK、NPK、NPK+BC和NPK+OM处理下泥沙有机碳流失总量与降雨量、降雨强度和径流量均呈极显著正相关(P < 0.01),NPK+Str培肥措施下泥沙有机碳流失总量除与降雨强度显著相关外(P < 0.05),与降雨量和地表径流量相关性均不显著(P > 0.05)(表 3)。
|
图 4 2015—2017年不同施肥措施下泥沙有机碳流失总量 Fig. 4 Total SOC loss in sediment during the period of 2015—2017 relativeto soil fertility building practice |
|
|
表 3 泥沙有机碳流失总量影响因素相关分析 Table 3 Correlation analysis of influencing factors of total SOC loss in sediments |
本研究表明,红壤坡耕地降雨主要发生花生生长季,降雨与径流、侵蚀之间均存在一定的响应关系。常规施肥条件下,红壤坡耕地平均土壤侵蚀模数为3 745 t·km-2·a-1(表 2),是红壤区土壤容许流失量的7倍以上,侵蚀模数仅低于湘中赣中丘陵区和赣南闽西南低山区,与湘西中低山黄壤区基本持平,在土壤潜在危险性分级中为危险型[15],说明常规施肥条件下红壤坡耕地防治土壤侵蚀面临严峻挑战。
与常规施肥相比,秸秆覆盖和猪粪培肥土壤侵蚀模数分别降低了91%和61%,显著地阻控了土壤侵蚀(P < 0.05)(图 2、表 2)。施用秸秆覆盖减少了地表产流(图 1、表 1),主要是因为秸秆覆盖不仅能够改善下垫面状况,增加地表入渗,滞后坡面产流时间,还能有效削弱雨滴溅蚀,减缓土壤结皮的形成,此外秸秆覆盖可以有效拦蓄土壤颗粒随径流迁移,减少土壤侵蚀量[16]。猪粪培肥改善土壤侵蚀仅次于秸秆覆盖,主要是因为猪粪培肥能够显著增加花生生物量(P < 0.05)[17],地上生物量增多有利于地表植被截留降雨,降低雨滴动能,进而减缓径流对地表的冲刷,同时地下生物量的增加和植物根系在土体中的生长,在一定程度上提高了土壤抗溅蚀的能力,起到了抑制地表侵蚀的作用[18]。另有研究表明,猪粪培肥能够显著提高土壤有机碳和团聚体水稳定性,改善土壤结构,有利于减少地表产流[13]。相关研究表明,生物质炭丰富的孔隙结构和表面官能团,使其具有一定的持水性[19],施用生物质炭可以增加主导产流作用的有效孔隙度,提高土壤饱和导水率,有利于削减地表径流,减少土壤侵蚀[20]。但本研究发现,与对照处理相比,添加水稻生物质炭并没有起到减少径流和抑制土壤侵蚀的作用,这与吴昱[21]、魏永霞[22]等的研究不符,除与秸秆生物质炭本身质量轻、颗粒小、团聚能力弱等物理性质有关外,还可能受红壤坡耕地降雨特征和地形的影响,使土体中水稻生物质炭极易随地表径流和侵蚀土壤损失[17]。在本研究中,泥沙有机碳以施肥加生物质炭处理流失最多,进一步佐证了大量生物质炭极易流失,说明水稻生物质炭并不适宜作为水土流失的阻控措施在红壤坡耕地实施。
3.2 培肥措施对土壤有机碳流失的影响不同培肥措施下泥沙有机碳含量存在差异,有机碳含量以猪粪培肥处理最高,再次为秸秆覆盖和水稻生物质炭处理(图 3),但有机碳流失总量以水稻生物质炭流失最多,猪粪培肥和秸秆覆盖处理下有机碳流失总量均低于对照和常规施肥处理(图 4),说明施用猪粪培肥和秸秆覆盖不仅可以增加土体中有机碳含量,同时相较其他培肥处理,还可以有效减少有机碳随侵蚀土壤流失。已有研究表明,坡面侵蚀过程中,由于土壤有机碳的选择性迁移,有机碳在泥沙中存在明显富集现象[6, 23],降雨特征和土壤侵蚀量是决定侵蚀过程中有机碳流失量关键因子[7, 24],这与本文研究结果相一致(表 3)。
泥沙中有机碳含量以猪粪培肥最高,这主要是因为猪粪本身富含有机碳,施入后能够显著增加土壤团聚体含量,增强土壤团聚体的稳定性[25],但由于红壤坡耕地降雨主要发生在花生生长季,暴雨集中出现在花生出苗期、苗期和开花下针期(4-6月份),该时段花生地上部分生长缓慢,叶面积指数较低[16],未能有效拦截降雨,导致猪粪培肥处理下泥沙有机碳含量偏高;而在花生生长季后期,花生地上冠层生长旺盛,滞留降雨作用凸显,减少了雨滴对地面的侵蚀,地下根系的生长在一定程度上增加了地表入渗,减少了地表径流。总体而言,施用猪粪培肥,增加了流失土壤的有机碳含量,但由于其地上冠层的滞流作用、地下根系对径流的入渗作用以及猪粪促进土壤团聚体稳定性多种作用叠加,使猪粪培肥下泥沙有机碳流失总量低于对照和常规施肥处理,有效抑制了土壤中有机碳随侵蚀迁移出土体。秸秆还田是促进团聚体形成和增加表层土壤有机碳的重要措施[9],本研究中,秸秆覆盖处理下有机碳含量高于常规施肥处理,但径流系数远低于其他培肥措施(图 3,表 1),虽然秸秆覆盖处理下泥沙细颗粒富含有机碳,但由于流失泥沙量最少(图 2,表 2),因而有机碳流失总量低(图 4)。水稻生物质炭虽然也在一定程度上增加了流失土壤的有机碳含量,但水稻生物质炭质量轻、颗粒小,在南方强降雨条件下,地表径流又以蓄满产流为主[26],使生物质炭极易被带出土体。因此,生物炭处理下土壤侵蚀量大(图 2,表 2),有机碳总流失量大(图 4)。
总之,红壤坡耕地主要以水力侵蚀为主,在降雨和径流的共同作用下,土体遭受侵蚀,养分在泥沙中富集,土壤侵蚀一方面破坏当地生态环境,另一方面流失泥沙携带养分迁移进入水体,导致原坡面养分流失,土壤肥力下降,造成受纳水体富营养化,形成非点源污染[27]。本研究表明,秸秆覆盖和猪粪培肥在阻控红壤坡耕地水土流失、改善当地生态环境、保持土壤肥力方面效果显著。秸秆覆盖能够极大地改善下垫面状况,降低地表径流对土壤的侵蚀,同时由于秸秆能够在水热条件下快速分解并释放养分,促进作物生长[28]。本研究水稻秸秆覆盖效果最好,但是从稻田到旱地的秸秆运输成本高。红壤旱地一般种植经济作物,就地取材的秸秆资源贫乏,秸秆覆盖措施难以大范围推广。调查发现,红壤地区畜禽养殖业发达,猪粪资源丰富[17],猪粪不仅能够有效增加土壤养分,还能增加水稳性大团聚体数量、提高团聚体稳定性,有效改良土壤结构,促进作物地上部分生长,在雨季后期截留降雨,阻控水土流失效果明显。因此,施用猪粪是红壤坡耕地培肥土壤和阻控水土流失有效且适宜的措施。
4 结论红壤坡耕地降雨主要发生花生生长季,降雨与径流、侵蚀之间均存在一定的响应关系。秸秆覆盖和猪粪培肥减流减沙效果明显优于单施化肥和添加水稻生物质炭,能够改善红壤坡耕地土壤侵蚀状况。泥沙有机碳含量以施肥加猪粪培肥最高,有机碳流失总量以施肥加水稻生物质炭最高,常规施肥和不施肥次之,再次为施肥加猪粪培肥,以施肥加秸秆覆盖措施下流失最少,且泥沙有机碳流失主要发生在花生生长季。秸秆和猪粪作为高含碳量物质,分别以覆盖和施入土体的形式作用于红壤坡耕地,有效抑制了泥沙携带土壤有机碳流失,在防治红壤坡耕地土壤侵蚀,减少土壤养分流失方面作用显著。水稻生物质炭受当地自然特征和自身质地的影响,极易随地表径流和侵蚀土壤大量流失,在红壤区水土保持方面并无显著作用。
致谢 感谢中国科学院鹰潭红壤生态实验站提供降雨数据。
| [1] |
孙雁君, 张勇, 杨宇芳. 南方红壤区环境因子及其侵蚀特征研究. 山西水土保持科技, 2011(4): 19-22. Sun Y J, Zhang Y, Yang Y F. Study on environmental factors and erosion characteristics in southern red soil region (In Chinese). Soil and Water Conservation Science and Technology in Shanxi, 2011(4): 19-22. DOI:10.3969/j.issn.1008-0120.2011.04.009 ( 0) |
| [2] |
张平仓, 程冬兵. 南方坡耕地水土流失过程与调控研究. 长江科学院院报, 2017, 34(3): 35-39, 49. Zhang P C, Cheng D B. Process and regulation of soil and water loss ofslope farmland in south China (In Chinese). Journal of Yangtze River Scientific Research Institute, 2017, 34(3): 35-39, 49. ( 0) |
| [3] |
魏守才, 张晓平, 陈学文. 土壤水蚀对土壤有机碳动态及全球碳循环平衡的影响. 土壤与作物, 2015, 4(4): 156-162. Wei S C, Zhang X P, Chen X W. Effects of water-driven erosion on soil organic carbon dynamicsand global carbon balance (In Chinese). Soil and Crop, 2015, 4(4): 156-162. ( 0) |
| [4] |
Bronick C J, Lal R. Soil structure and management:A review . Geoderma, 2005, 124(1/2): 3-22.
( 0) |
| [5] |
王全九, 杨婷, 刘艳丽, 等. 土壤养分随地表径流流失机理与控制措施研究进展. 农业机械学报, 2016, 47(6): 67-82. Wang Q J, Yang T, Liu Y L, et al. Review of soil nutrient transport in runoff and its controlling measures (In Chinese). Transactions of the Chinese Society for Agricultural Machinery, 2016, 47(6): 67-82. ( 0) |
| [6] |
肖胜生, 汤崇军, 王凌云, 等. 自然降雨条件下红壤坡面有机碳的选择性迁移. 土壤学报, 2017, 54(4): 874-884. Xiao S S, Tang C J, Wang L Y, et al. Soil erosion-induced selective transfer of organic carbon in red soil slopefield under natural rainfall (In Chinese). Acta Pedologica Sinica, 2017, 54(4): 874-884. ( 0) |
| [7] |
聂小东, 李忠武, 王晓燕, 等. 雨强对红壤坡耕地泥沙流失及有机碳富集的影响规律研究. 土壤学报, 2013, 50(5): 900-908. Nie X D, Li Z W, Wang X Y, et al. Effectof rainfall intensity onsoil loss from slope farmland of red soil and organic carbon enrichment in sediment (In Chinese). Acta Pedologica Sinica, 2013, 50(5): 900-908. ( 0) |
| [8] |
李俊波, 华珞, 冯琰. 坡地土壤养分流失研究概况. 土壤通报, 2005, 36(5): 115-121. Li J B, Hua L, Feng Y. Soil nutrient lossesfrom sloping land-A review (In Chinese). Chinese Journal of Soil Science, 2005, 36(5): 115-121. ( 0) |
| [9] |
孟祥天, 蒋瑀霁, 王晓玥, 等. 生物质炭和秸秆长期还田对红壤团聚体和有机碳的影响. 土壤, 2018, 50(2): 326-332. Meng X T, Jiang Y J, Wang X Y, et al. Effects of long-term application of biochar and straws on red soil aggregate composition and organic carbon distribution (In Chinese). Soils, 2018, 50(2): 326-332. ( 0) |
| [10] |
柳开楼, 李大明, 黄庆海, 等. 红壤稻田长期施用猪粪的生态效益及承载力评估. 中国农业科学, 2014, 47(2): 303-313. Liu K L, Li D M, Huang Q H, et al. Ecological benefits and environmental carrying capacities of red paddy field subjected to long-term pig manure amendments (In Chinese). Scientia Agricultura Sinica, 2014, 47(2): 303-313. ( 0) |
| [11] |
陈敏全, 王克勤. 坡耕地不同水土保持措施对径流泥沙与土壤碳库的影响. 广东农业科学, 2015, 42(6): 124-129. Chen M Q, Wang K Q. Properties of runoff, sediment and soil carbon stock under different soil and water conservation measures in sloping farmland (In Chinese). Guangdong Agricultural Sciences, 2015, 42(6): 124-129. DOI:10.3969/j.issn.1004-874X.2015.06.023 ( 0) |
| [12] |
黄东风, 王利民, 李卫华, 等. 培肥措施培肥土壤的效果与机理研究进展. 中国生态农业学报, 2014, 22(2): 127-135. Huang D F, Wang L M, Li W H, et al. Research progress on the effect and mechanism of fertilization measure on soil fertility (In Chinese). Chinese Journal of Eco-Agriculture, 2014, 22(2): 127-135. ( 0) |
| [13] |
Peng X H, Zhu Q H, Xie Z B, et al. The impact of manure, straw and biochar amendments on aggregation and erosion in a hillslope Ultisol . Catena, 2016, 138: 30-37. DOI:10.1016/j.catena.2015.11.008
( 0) |
| [14] |
朱巧红.有机培肥对红壤团聚体形成、稳定过程及侵蚀的影响.南京: 中国科学院南京土壤研究所, 2016 Zhu Q H. Impact of organic fertilization on aggregation and soil erosion in a red soil(In Chinese). Nanjing: Institute of Soil Science, Chinese Academy of Sciences, 2016 ( 0) |
| [15] |
杨亚利, 谢永生, 赵暄. 红壤区土壤侵蚀危险程度分级初探. 水土保持通报, 2013, 33(3): 231-235. Yang Y L, Xie Y S, Zhao X. Preliminary study of gradation of soil erosion hazard degree in red soil region of southern China (In Chinese). Bulletin of Soil and Water Conservation, 2013, 33(3): 231-235. ( 0) |
| [16] |
Zhou H, Peng X H, Darboux F. Effect of rainfall kinetic energy on crust formation and interrill erosion of an Ultisol in subtropical China . Vadose Zone Journal, 2013, 12(4). DOI:10.2136/vzj2013.01.0010
( 0) |
| [17] |
张白雪, 何福红, 朱巧红, 等. 有机培肥对红壤坡耕地产流产沙的影响. 土壤, 2017, 49(6): 1237-1242. Zhang B X, He F H, Zhu Q H, et al. Effect of organic amendment on runoff and soil erosion in slopecropland of red soil (In Chinese). Soils, 2017, 49(6): 1237-1242. ( 0) |
| [18] |
赵叶舟, 王浩铭, 汪自强. 豆科植物和根瘤菌在生态环境中的地位和作用. 农业环境与发展, 2013, 30(4): 7-12. Zhao Y Z, Wang H M, Wang Z Q. The role of leguminous plants and hizobium in ecological environment (In Chinese). Agro-Environment & Development, 2013, 30(4): 7-12. DOI:10.3969/j.issn.1005-4944.2013.04.002 ( 0) |
| [19] |
李秋霞, 陈效民, 靳泽文, 等. 生物质炭对旱地红壤理化性状和作物产量的持续效应. 水土保持学报, 2015, 29(3): 208-213, 261. Li Q X, Chen X M, Jin Z W, et al. Persistent effects of biochar on soil physicochemical properties and crop yields in upland red soil (In Chinese). Journal of Soil and Water Conservation, 2015, 29(3): 208-213, 261. ( 0) |
| [20] |
王红兰, 唐翔宇, 张维, 等. 施用生物炭对紫色土坡耕地耕层土壤水力学性质的影响. 农业工程学报, 2015, 31(4): 107-112. Wang H L, Tang X Y, Zhang W, et al. Effects of biochar application on tilth soil hydraulic properties of slope cropland of purple soil (In Chinese). Transactions of the Chinese Society of Agricultural Engineering, 2015, 31(4): 107-112. DOI:10.3969/j.issn.1002-6819.2015.04.016 ( 0) |
| [21] |
吴昱, 刘慧, 杨爱峥, 等. 黑土区坡耕地施加生物炭对水土流失的影响. 农业机械学报, 2018, 49(5): 287-294. Wu Y, Liu H, Yang A Z, et al. Influences of biochar supply on water and soil erosion inslopping farm-land of black soil region (In Chinese). Transactions of the Chinese Society for Agricultural Machinery, 2018, 49(5): 287-294. ( 0) |
| [22] |
魏永霞, 冯鼎锐, 刘志凯, 等. 生物炭对黑土区坡耕地水土保持及大豆增产效应研究. 节水灌溉, 2017(5): 37-41. Wei Y X, Feng D R, Liu Z K, et al. The effect of biochar on soil and water conservation andcrop yield of the slope farmland in black soil region (In Chinese). Water Saving Irrigation, 2017(5): 37-41. DOI:10.3969/j.issn.1007-4929.2017.05.009 ( 0) |
| [23] |
张雪, 李忠武, 申卫平, 等. 红壤有机碳流失特征及其与泥沙径流流失量的定量关系. 土壤学报, 2012, 49(3): 465-473. Zhang X, Li Z W, Shen W P, et al. Characteristics of loss of organic carbon in red soil and their quantitation relationships with sediment and runoff generation (In Chinese). Acta Pedologica Sinica, 2012, 49(3): 465-473. ( 0) |
| [24] |
任瑞雪, 张风宝, 杨明义, 等. 坡面侵蚀过程中泥沙有机碳流失特征分析. 水土保持学报, 2017, 31(6): 15-19. Ren R X, Zhang F B, Yang M Y, et al. Characteristic of sediment organic carbon loss during slope erosion process (In Chinese). Journal of Soil and Water Conservation, 2017, 31(6): 15-19. ( 0) |
| [25] |
潘艳斌, 朱巧红, 彭新华. 有机物料对红壤团聚体稳定性的影响. 水土保持学报, 2017, 31(2): 209-214. Pan Y B, Zhu Q H, Peng X H. Effects of organic materials on soil aggregate stability in red soil (In Chinese). Journal of Soil and Water Conservation, 2017, 31(2): 209-214. ( 0) |
| [26] |
吕玉娟, 彭新华, 高磊, 等. 红壤丘陵岗地区坡地产流产沙特征及影响因素研究. 水土保持学报, 2014, 28(6): 19-23, 51. Lv Y J, Peng X H, Gao L, et al. Characteristics of runoff and soil loss and their influential factors on sloping land in red soil hilly region (In Chinese). Journal of Soil and Water Conservation, 2014, 28(6): 19-23, 51. ( 0) |
| [27] |
胡宏祥, 马友华. 水土流失及其对农业非点源污染的影响. 中国农学通报, 2008, 24(6): 408-412. Hu H X, Ma Y H. Soil and water loss and agricultural non- point source pollution (In Chinese). Chinese Agricultural Science Bulletin, 2008, 24(6): 408-412. ( 0) |
| [28] |
张婷, 张一新, 向洪勇. 秸秆还田培肥土壤的效应及机制研究进展. 江苏农业科学, 2018, 46(3): 14-20. Zhang T, Zhang Y X, Xiang H Y. Progress in research on the effects and mechanism of straw mulching soil (In Chinese). Jiangsu Agricultural Sciences, 2018, 46(3): 14-20. ( 0) |
2. State Key Laboratory of Soil and Sustainable Agriculture, Institute of Soil Science, Chinese Academy of Sciences, Nanjing, 210008, China
2019, Vol. 56



0)