2. 湖南师范大学地理空间大数据挖掘与应用湖南省重点实验室,长沙 410081;
3. 无锡科技职业学院管理工程系,江苏无锡 214028
2. Key Laboratory of Geospatial Big Data Mining and Application, Hunan Normal University, Changsha 410081, China;
3. Management Engineering Department, Wuxi Vocational College of Science and Technology, Wuxi, Jiangsu 214028, China
土壤水作为水资源的重要组成部分,是降水、地表水、植物水和地下水之间相互转化的纽带[1-3]。有关土壤水分在非饱和带迁移的研究有利于提高人们对土壤水分再分配过程的认识[3]。研究土壤水分迁移的传统方法多基于土壤水的数量变化,难以追踪土壤水分的具体来源与去向[1]。而利用稳定同位素示踪的方法可从微观上提取土壤水分信息[4],准确地揭示土壤水分运移规律(入渗、蒸散、补给、滞留)。大量研究表明[1, 3-6],影响土壤水稳定同位素变化的主要因素包括降水、入渗和蒸发等。自然条件下土壤水分的初始源是降水,土壤水稳定同位素组成很大程度上继承了降水稳定同位素的变化信息。降水入渗到土壤的水分与原有的土壤水发生混合,越往深层,土壤水稳定同位素值的变化越小[5]。入渗过程的同时伴随蒸发,使重同位素(2H和18O)通常在土壤表层明显富集[7]。
目前,稳定同位素技术已成为研究土壤水分迁移的重要手段。相较而言,研究者更关注土壤水稳定同位素的季节变化、剖面分布以及组成关系。受降水稳定同位素和环境要素的影响,土壤水稳定同位素具有明显的季节性变化[4]。如Robertson和Gazis[8]通过在华盛顿州的取样发现,土壤水和降水中氧稳定同位素的季节变化均遵循区域气候特征。根据土壤水稳定同位素在垂直剖面的变化特征,不少学者在研究中找到了土壤中优先流存在的证据[6-7, 9-11]。受稳定同位素分馏的作用,区域大气降水中氢、氧稳定同位素比率(δ2H与δ18O)的线性关系即区域大气降水线(Local meteoric water line,LMWL)的斜率通常要高于土壤水线(Soil water line,SWL)[9, 12-15]。尽管当前有关土壤水稳定同位素变化的研究成果已很丰硕,但研究区域以干旱、半干旱地区[6, 9-12, 15-17]居多,而在湿润、半湿润地区[3, 18-19]相对较少;相关研究普遍基于短时间内收集的数据,不利于发现土壤水和降水稳定同位素季节上的变化细节以及SWL与LMWL之间的内在联系。
本文选取位于典型亚热带季风区的长沙作为研究区域,基于2017年3月至2019年2月长沙地区樟树林土壤水、降水和地下水稳定同位素以及环境因子(包括土壤含水量、土壤温度和气象要素)连续的监测资料,分析土壤水稳定同位素变化特征及影响因素,旨在揭示复杂季风系统影响下研究区土壤水稳定同位素随时间的变化及其在土壤剖面的分布规律和水线特征。研究结果对于理解长沙地区林地土壤水分迁移规律提供了来自水稳定同位素的证据和理论支持。
1 材料与方法 1.1 研究区概况长沙地区气候温和湿润,四季分明,夏季盛行西南和东南季风,冬季盛行偏北风。多年平均气温17.4℃,多年平均降水量1 447 mm,多年平均蒸发量902 mm。试验场地位于湖南省长沙市望城区八曲河村(28°22′09″N,112°45′43″E)。样地属低丘坡面,地势较为平坦,坡度约为2°~3°,海拔50 m左右。地带性土壤为红壤,pH在6.0~7.0之间。在0~130 cm土壤剖面上,粉粒占700 g·kg-1以上,质地为粉砂质黏壤土,土壤容重在1.16~1.40 g·cm-3范围,随土壤深度增加而增大,土壤孔隙度在47.2%~56.2%之间,随土壤深度增加而减小。试验场地内90%以上树种为樟树(Cinnamomum camphora),其根系集中分布于1 m以内,水平根系尤为发达,平均树龄约13年,平均树高约9 m。林内伴生种有马尾松(Pinus massoniana)、杉木(Cunninghamia lanceolate)等,地面草本植物稀少。
1.2 样品采集及分析于2017年3月至2019年2月在试验场地采集土壤样品。土样通过手持式土壤取样钻机(SD-1,科力,澳大利亚)钻取。取样深度为0~130 cm,间隔为每10 cm,每月采集2~3次,每次取3个平行土样。取样时,将新鲜土样装入10 mL玻璃瓶中,密封、编号、冷冻保存。土壤样品利用全自动真空冷凝抽提系统(LI-2100,LICA,中国)抽提出土壤水,水分抽提率约99%。
同期在研究区进行降水样采集工作。按照气象部门制定的降水量观测规范,对降水量大于等于0.1 mm的降水,在降水日的08:00和20:00各进行一次取样,取样时记录降水时段的平均温度和降水量。同期在试验场地外约30 m处的水井采集地下水样,采集时间及频率与土壤样品的采集保持一致,井深20 m,地下水水位埋深约18 m。降水和地下水样均装入30 mL聚乙烯样品瓶内,密封、编号、低温(4℃)保存。
取样期间共获取土壤水样692个,降水样278个,地下水样57个。所有水样过滤后均利用气-液两用型水稳定同位素分析仪(DLT-IWA-35EP,LGR,美国)测定氢、氧稳定同位素组分。测试的稳定同位素丰度用相对于维也纳标准平均海洋水(V-SMOW)稳定同位素比率的千分差值表示:
| $ {\delta _{{\rm{sample}}}}{\rm{ = }}\left( {{R_{{\rm{sample}}}}/{R_{{\rm{V - SMOW}}}} - 1} \right) \times 1\;000‰ $ | (1) |
式中,Rsample和RV-SMOW分别代表水样和标准平均海洋水中稳定同位素比率(2H /1H或18O/16O)。δ2H和δ18O的测试精度分别为±0.6‰和±0.2‰。本文中,除降水和土壤水稳定同位素的平均值分别为相应时段内降水量和土壤含水量的加权平均值外,其他所有要素的平均值均指时段内的算术平均值。
1.3 土壤水分、温度及气象数据的获取取样地的土壤体积含水量和土壤温度采用布设于样地中心位置的云智能管式土壤水分温度监测仪(RWET-100,智墒,中国)测定。仪器探头位于0~100 cm每隔10 cm处,监测精度分别为±2.5%和±0.5 ℃,监测时间自2017年2月起,采集频率为每60 min一次。土壤含水量监测数据利用烘干称重法进行水分校正。
降水量、气温等气象数据由安装于林外约50 m处的微型自动气象站(232,WeatherHawk,美国)获取,监测时间自2016年12月起,采集频率为每30 min一次。
陆面蒸发量采用欧洲中期天气预报中心(European Centre for Medium-Range Weather Forecasts,ECMWF)的逐日再分析数据(ERA- Interim),格点精度为0.125°×0.125°,时间范围从2017年1月至2019年2月。
1.4 不同水体中lc的计算δ2H与LMWL的差值(Line-conditioned excess,lc)为水体中δ2H与LMWL的偏离程度,它可表征不同水体相对于区域大气降水的蒸发程度[14, 20]:
| $ l{c_{{\rm{sample}}}} = {\delta ^2}{{\rm{H}}_{{\rm{sample}}}}-\left( {a \times {\delta ^{18}}{{\rm{O}}_{{\rm{sample}}}} + b} \right) $ | (2) |
式中,a和b分别为LMWL的斜率和截距,δ2Hsample和δ18Osample为水样中的稳定同位素比率。降水中lc的变化与不同季节的水汽来源有关,研究时段降水中lc的平均值为0‰。源于降水的水体中稳定同位素因蒸发分馏,其lc的平均值通常要小于0‰[21]。
文中有关不同深度土壤水中lc平均值之间的显著性差异以及相关系数的显著性均用t检验方法。
2 结果 2.1 土壤水稳定同位素的时间变化取样期间日降水量(P)、蒸发量(E)、日均气温(TA)、土壤含水量(θ)和土壤温度(TS)等环境要素以及降水、土壤水和地下水中稳定同位素组成(以δ2H为例)的时间变化见图 1。P在0.2~146.4 mm范围内变化,雨季(4月-9月)的累积降水量占总降水量的65.9%,平均降水强度达17.4 mm·d-1;旱季(10月-次年3月)的累积降水量占总降水量的34.1%,平均降水强度仅6.5 mm·d-1。E的变化范围为0.3~6.8 mm,平均值2.7 mm,月平均最大值和最小值分别出现于7月和1月,为5.1 mm和0.9 mm。TA的变化范围为-2.6~33.4℃,其季节变化与E较一致,月均最低值和最高值分别出现于1月和7月。0~100 cm深度θ介于28.03%~38.77%之间,低值出现于7月-10月,这与该阶段土壤蒸发较强烈、植被蒸腾旺盛有关。随土壤深度增加,θ呈增加的变化趋势,变化范围和离散度均减小。比较而言,0~10 cm深度θ对降水的响应更迅速。与TA相比,TS的变化范围和离散度较小。TA与TS的滞后相关分析表明,从0~10 cm至90~100 cm深度,TS较TA的滞后天数从1 d逐渐增加至32 d,说明了大气与土壤剖面的热量交换过程存在不同程度的时滞。
|
注:SW0~10、SW10~20、SW20~40、SW40~60、SW60~90和SW90~130分别指0~10 cm、10~20 cm、20~40 cm、40~60 cm、60~90 cm和90~130 cm土壤水。P、E、TA、θ、TS和δ2H分别指日降水量、蒸发量、日均气温、土壤含水量、土壤温度和氢稳定同位素比率。下同。Note:SW0~10,SW10~20,SW20~40,SW40~60,SW60~90 and SW90~130 stands for in 0-10 cm,10-20 cm,20-40 cm,40-60 cm,60-90 cm and 90-130 cm soil water,respectively;P,E,TA,TS,θ and δ2H for daily precipitation,daily evaporation,daily average air temperature,soil water content,soil temperature and hydrogen stable isotopic ratio. The same below. 图 1 所选环境要素与降水(P)、土壤水(SW)和地下水(GW)中氢稳定同位素比率(δ2H)的时间变化 Fig. 1 Temporal variations of selected environmental factors and hydrogen stable isotopic ratio(δ2H)in precipitation(P), soil water(SW)and groundwater(GW) |
降水中δ2H在-94.97‰~30.53‰范围内变化,平均值±标准差为-42.46‰±25.80‰。受季风区冬、夏半年不同水汽来源的影响,降水稳定同位素具有显著的季节变化。降水中δ2H的月均最大值和最小值分别出现于4月和9月,为-8.63‰和-73.61‰。与降水中δ2H相比,土壤水和地下水中δ2H的变化范围和离散度均较小。土壤水中δ2H的季节变化随深度增加逐渐减弱。0~60 cm土壤水中δ2H的季节变化与降水同位素有一定相似性,但在时间上存在滞后。如0~60 cm各深度土壤水中δ2H的月均最大值均出现于5月,月均最小值出现于9月-12月。60~130 cm土壤水和地下水中δ2H的季节变化均不明显。上述结果表明,降水能够直接影响土壤水的深度范围在0~60 cm,60 cm以下土壤水和地下水中更多地保存前期多次累积的降水稳定同位素信息,旧水的滞留时间较长。
在垂直剖面上,0~10 cm、10~20 cm、20~40 cm、40~60 cm、60~90 cm和90~130 cm土壤水以及地下水中δ2H的平均值±标准差依次为-49.83‰±22.53‰、-53.38‰±19.75‰、-54.40‰± 13.94‰、-52.33‰±10.16‰、-50.11‰±8.91‰、-50.64‰± 6.56‰和-36.15‰±2.33‰。由表层至深层,土壤水中δ2H的平均值呈先减后增的变化趋势,标准差逐渐减小,土壤水稳定同位素变化在垂直剖面上趋于稳定;由于地下水受大气降水的干扰小,其稳定同位素值始终保持平稳。
不同年份的观测数据显示,前1年(2017年3月至2018年2月)降水在季节上分布不均,3月-8月的降水量占年降水量的85%,后1年(2018年3月至2019年2月)降水日数较前1年明显增多,年内降水变率减小;前1年和后1年降水中δ2H的平均值±标准差分别为-48.23‰±28.74‰和-35.62‰±23.18‰。受降水的影响,后1年0~130 cm土壤水中δ2H较前1年的平均值偏大,离散度偏小。
2.2 土壤水中lc变化及与δ2H的关系取样期间降水、土壤水和地下水中lc的时间变化见图 2。降水、0~130 cm土壤水和地下水中lc的平均值从大到小依次为:降水(0‰±5.56‰)、地下水(-1.59‰±1.51‰)、0~130 cm土壤水(-5.64‰±2.98‰)。其中,地下水中lc的平均值与降水较接近,表明地下水稳定同位素受蒸发分馏的影响很小。根据对不同水体中lc的时间序列分析,降水中lc的季节变化表现为夏季低、冬季高,月平均最大值和最小值分别出现于1月和7月,这与E、TA的季节变化恰好相反。0~60 cm土壤水中lc的季节变化较降水中lc滞后约1~3个月,60 cm以下土壤水和地下水中lc的季节变化均不明显。
|
图 2 降水、土壤水和地下水中δ2H与区域大气水线(LMWL)的差值(lc)的时间变化 Fig. 2 Temporal variations of deviations of δ2H in precipitation, soil water and groundwater from the local meteoric water line(LMWL)(Line-conditioned excess, lc) |
垂直剖面上,0~10 cm、10~20 cm、20~40 cm、40~60 cm、60~90 cm和90~130 cm土壤水中lc的平均值±标准差依次为-8.01‰±4.31‰、-6.73‰±2.90‰、-5.68‰±2.38‰、-5.09‰±2.03‰、-4.22‰±1.60‰、-4.09‰±1.59‰。由表层至深层,土壤水中lc的平均值增大,标准差减小,逐渐趋于稳定。说明土壤水经历的蒸发作用随深度增加逐渐减弱。统计表明,0~10 cm土壤水中lc的平均值与其他土层间均具有显著性差异(P < 0.05)。
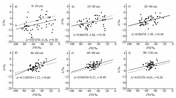
土壤水中lc是由土壤水中δ2H和δ18O组成的一个二级指标,它的大小受δ2H和δ18O变化的影响。不同深度土壤水中lc与相应δ2H的相关关系如图 3所示。其中,以0~130 cm土壤水中lc与δ2H的拟合线作为剖面的平均状况。各深度土壤水中lc与δ2H均存在显著的正相关关系,相关系数均超过0.05的信度。这意味着,土壤水中δ2H越低,lc越小,也即δ2H偏离LMWL的程度越大,土壤水稳定同位素受到的蒸发富集作用越强烈;反之,土壤水中δ2H越高,lc越大,也即δ2H偏离LMWL的程度越小,土壤水稳定同位素受到的蒸发富集作用越弱。因此,土壤水中lc的高低很大程度上反映了土壤水经历的蒸发作用程度。
|
注:图中虚线表示0~130 cm土壤水中lc与δ2H的拟合线:lc=0.08δ2H-1.61,r=0.39,n=324。Note:Dotted line indicates the fitted line of lc versus δ2H in soil water in the 0-130 cm soil layer:lc=0.08δ2H-1.61,r=0.39,n=324. 图 3 不同深度土壤水中lc与δ2H相关关系(n=54) Fig. 3 Correlations between lc and δ2H in soil water relative to soil depth(n=54) |
由不同深度土壤水中lc与相应δ2H的关系比较可知,0~10 cm土壤水中lc与δ2H的拟合线较0~130 cm的拟合线明显偏低;10~20 cm土壤水中lc随δ2H的平均变化率最小,仅为0.06(即土壤水中δ2H每增加1‰时,lc增加0.06‰);20~40 cm土壤水中lc与δ2H的关系与剖面的平均状况最为接近,在图 3c)中表现为20~40 cm与0~130 cm土壤水中lc与δ2H的拟合线几乎重合;40~60 cm土壤水中lc与δ2H的相关关系最好,且lc随δ2H的平均变化率最大,为0.12;60 cm以下土壤水中lc与δ2H的相关性随深度增加逐渐变弱。
2.3 土壤水中lc与环境要素的关系根据lc的定义,土壤水中lc的大小与局地的环境要素有关。土壤水稳定同位素因蒸发富集而偏离大气水线,因此土壤水中lc与蒸发联系密切。尽管土壤水中lc受蒸发的直接影响,但二者之间的同期相关关系不密切。除0~10 cm土壤外,10 cm以下各层土壤水中lc与同期E、TA的相关系数绝对值均在0.01~0.29的较低水平。除此之外,影响蒸发季节变化的另一重要因子是温度,也即热量。由于土壤蒸发是一个累积过程,故考虑前期大气的累积蒸发量(∑E)和累积温度(∑TA)对土壤蒸发的影响。统计发现(图略),土壤水中lc与前期不同∑E、∑TA之间的相关关系随累积天数的增加而增加,并逐渐稳定。分别将前期30 d、60 d和90 d的∑E、∑TA作为影响0~10 cm、10~20 cm和20 cm以下土壤水中lc的主要环境要素,并计算不同深度土壤水中lc与其主要环境要素的相关关系,统计结果列入表 1。
|
|
表 1 不同深度土壤水中lc与前期大气累积蒸发量(∑E)、累积温度(∑TA)和土壤含水量(θ)的相关关系 Table 1 Correlations of lc in soil water with accumulated atmospheric evaporation(∑E), accumulated atmospheric temperature(∑TA)and soil water content(θ)in the preceding period relative to soil depth |
不同深度土壤水中lc与对应的∑E、∑TA均呈负相关。其中,0~60 cm土壤水中lc与∑E、∑TA的相关系数均超过0.01的信度。该结果表明,∑E与∑TA越大,lc越小,即土壤水稳定同位素偏离区域大气水线的程度越大;反之,∑E与∑TA越小,lc越大,即土壤水稳定同位素偏离区域大气水线的程度越小。这体现了前期的累积蒸发和累积热量对土壤水中lc的作用。
比较而言,0~10 cm土壤水中lc与∑E、∑TA的相关性明显优于其他土层,表明大气湿热程度对表层土壤水中lc的影响最显著;10~60 cm各深度土壤水中lc与∑E、∑TA的相关系数相近,为0.36~0.47;而60 cm以下的土壤水中lc与∑E、∑TA的相关性逐渐变弱,说明大气湿热程度对60 cm以下土壤水中lc的影响变小。
土壤含水量θ能够反映降水和蒸散发的动态变化,它与土壤水中lc之间也存在一定联系。因此,表 1还给出了不同深度土壤水中lc与相应深度θ的相关关系。可以看到,除60~90 cm土层外,各深度土壤水中lc与θ均呈显著正相关,相关系数均超过0.01的信度。结合图 1可知,较大的土壤含水量通常出现于低温或降水的天气条件下,期间林地蒸散发小,故土壤水中lc较大;而较小的土壤含水量通常出现于高温和连续干旱的天气条件下,期间林地蒸散发大,土壤水中lc较小。
2.4 土壤水中δ2H与δ18O的关系水体中δ2H与δ18O的线性关系被定义为水线[22]。通过比较LMWL、SWL以及地下水线GWL(Groundwater water line)等可以揭示区域水文气象状况、不同环境要素的贡献和不同水体的转化关系[23]。不同水体中δ2H依δ18O的散点分布以及水线方程见图 4。
|
注:LMWL、GWL、SWL和δ18O分别指区域大气水线、地下水线、土壤水线和氧稳定同位素比率。Note:LMWL,GWL,SWL and δ18O stands for local meteoric water line,groundwater water line,soil water line and oxygen stable isotopic ratio,respectively. 图 4 不同水体中δ2H与δ18O的散点分布及水线方程 Fig. 4 Distribution of scatter points and water line equations of δ2H versus δ18O in different water bodies |
研究区LMWL(δ2H=8.48δ18O+17.73)的斜率和截距均大于全球大气水线GMWL(δ2H= 8δ18O+10)[22]的斜率和截距,反映了季风区暖湿的气候特征[24]。由于土壤水和地下水的初始源为大气降水,不同深度土壤水及地下水中δ2H与δ18O对应的散点均分布于LMWL附近,并位于LMWL的下方。土壤水中δ2H与δ18O的散点分布随深度增加逐渐集中且越接近LMWL,说明降水补给土壤水分剖面的过程中经历了不同程度的蒸发作用。
通常,受稳定同位素蒸发富集作用的影响,源于降水的蒸发水体其水线的斜率要低于LMWL的斜率[24]。但通过比较LMWL和不同深度SWL发现,各深度SWL的斜率均高于LMWL。相反,GWL的斜率远低于LMWL,这并不能说明地下水稳定同位素经历了强烈的蒸发分馏,其可能原因是研究区地下水来自多年降水或其他水源的补给。此外,除40~60 cm深度SWL的截距高于LMWL外,其他深度SWL的截距均低于LMWL。
降水是土壤水的输入项,土壤水稳定同位素组成受降水的直接影响。对于林地而言,受冠层截留和枯枝落叶吸持的影响,仅有超过一定强度的降水才会对土壤水分的补给有贡献。同时,降水强度在很大程度上影响雨滴在云下的二次蒸发[25],改变LMWL,进而影响SWL的斜率和截距。根据土壤含水量对降水事件的响应(图 1),不同深度土壤含水量对P < 8 mm的日降水反应不明显,于是分别计算消除了0~8 mm范围内小降水事件(以字母k表示降水量阈值)后LMWLP> k的斜率、截距及样本数n,结果绘于图 5。
|
图 5 去除小降水事件后LMWLP> k的斜率、截距以及样数n Fig. 5 Slope, intercept and number of samples of LMWLP> k after excluding small rainfall events |
如图 5所示,随着k的增加,LMWLP> k的斜率和截距呈先增后稳定的变化趋势,且均大于总的LMWL的斜率和截距。当k=7.5 mm时,LMWL的斜率最大,为8.68,但仍低于0~90 cm各土层SWL的斜率,也低于0~130 cm土层SWL的斜率8.84;LMWLP> 7.5的截距相比总的LMWL增加了0.87。该结果说明,尽管去除小降水事件干扰后的LMWLP> k斜率更靠近SWL的斜率,但强降水事件并不是导致SWL斜率较LMWL偏大的原因。此外,不同降水量的LMWL与不同深度SWL的斜率与截距之间具有相似的变化趋势,水线的斜率越大,水线的截距一般也越大。
3 讨论 3.1 降水与土壤水稳定同位素组成的比较通常,源于降水的蒸发水体中稳定同位素较降水更富集[24]。然而,研究区不同深度土壤水稳定同位素的平均值均较降水同位素值偏低,该现象在黄土塬区[9]和呼和浩特地区[26]均有发现。程立平和刘文兆[9]认为,产生的原因与研究区的气候特征和降水稳定同位素值的季节变化有关;刘君等[26]则认为,土壤存在季节性补水,土壤水稳定同位素值与补水季节的降水稳定同位素值相近。本文基于长时间连续的观测数据发现,土壤水更多地来自雨季(4月-9月)低稳定同位素值的降水补给,期间平均降水强度17.4 mm·d-1,降水中δ2H的降水量加权平均值为-52.39‰,低于0~130 cm土壤水稳定同位素的平均值(-51.35‰),新旧水混合充分;旱季(10月-次年3月)具有相对富集的稳定同位素的降水补充土壤水较少,期间平均降水强度为6.5 mm·d-1,降水中δ2H的降水量加权平均值为-23.24‰,新旧水混合不充分,此时土壤中还滞留了雨季的降水。统计表明,降水稳定同位素值较0~130 cm土壤水偏低的事件多出现于大降水事件中,平均降水强度20.7 mm·d-1。尽管其发生频率仅占总降水事件的22.3%,但降水量超过总降水量的41.6%。此外,对于樟树林而言,降水的穿透率随降水量的增加呈对数函数增加[27],这使得大降水相比小降水对土壤水分补给的贡献更大,降水的下渗深度以及新旧水混合的程度更大,最终导致了观测期间土壤水稳定同位素的平均值较降水的稳定同位素值偏负。
3.2 区域大气水线(LMWL)与土壤水线(SWL)的比较大量观测[28-30]表明,受土壤水稳定同位素蒸发富集作用的影响,中高纬度的内陆地区SWL的斜率普遍较LMWL的斜率偏低。然而,亚热带季风区的一些观测却显示出相反的结果[18-19],即SWL的斜率较LMWL偏高。张小娟等[18]认为这是由于土壤水更多地来自前期降水;吴韦等[19]则认为植被覆盖以及土壤水的收集方式使土壤水同位素经历的蒸发分馏作用弱于降水。本文分析发现,尽管降水决定SWL的总体特征,但不是造成SWL的斜率高于LMWL这一现象的原因,该现象与降水稳定同位素的季节变化以及土壤水稳定同位素蒸发富集作用的季节性变化有关。根据不同深度土壤水中lc与δ2H均存在显著的正相关关系,土壤水中δ2H越低,lc越小,土壤水中δ2H偏离LMWL的程度越大;反之,土壤水中δ2H越高,lc越大,土壤水中δ2H偏离LMWL的程度越小。受降水稳定同位素季节变化的影响,土壤水中稳定同位素比率以及lc也存在季节性的变化。以不同深度土壤水中δ2H的中位数为界划分稳定同位素分布的低值区(小于δ2H的中位数)和高值区(大于等于δ2H的中位数),统计与各深度土壤水稳定同位素低值区和高值区对应的lc、∑E和∑TA的平均值以及相应的SWL;根据土壤水中lc与∑E、∑TA的关系,0~10 cm、10~20 cm以及20 cm以下土层分别对应前期30 d、60 d、90 d的∑E、∑TA,统计结果见表 2。
|
|
表 2 不同深度土壤水稳定同位素低值区和高值区lc、∑E和∑TA的平均值以及相应的SWL Table 2 Mean values of lc, ∑E and ∑TA and corresponding SWL in regions high or low in stable isotope ratio in soil water relative to soil depth |
除60~90 cm外,各深度土壤水稳定同位素低值区的平均∑E和平均∑TA均大于高值区,并且平均lc均小于高值区。该结果表明,各土壤层中相对较低的水稳定同位素比率多散布于∑E和∑TA较大的暖季,由于期间经历的蒸发富集作用更强,SWL的斜率及截距明显较小;反之亦然。土壤水稳定同位素季节差异的结果说明,在图 4的δ2H-δ18O相关散布中,位于左下角的散点较位于右上角的散点更加偏离LMWL,因此导致各深度SWL的斜率均大于LMWL的斜率。并且,降水补给土壤水的过程中稳定同位素蒸发富集使得各深度SWL均偏向LMWL的右侧,这导致SWL的截距基本均小于LMWL。但是在40~60 cm和60~90 cm深度SWL中,非常大的斜率(超过9.0)导致水线的上端上翘,出现了SWL的截距较LMWL(17.73)偏大的情况。
3.3 土壤水稳定同位素的应用前景目前利用传统手段如研究土壤水分季节变化、剖面分布等难以准确把握土壤水分迁移以及将降水、植物水和地下水等水体联系起来,而基于稳定同位素示踪的方法具有明显优势。后续开展土壤水稳定同位素变化特征的研究工作不仅要理解大气水-土壤水-地下水相互转换过程,也要深入了解植物水分利用来源以及揭示不同尺度的水循环过程。
4 结论在长沙地区典型樟树林地中,土壤水稳定同位素的季节变化随深度增加逐渐减弱并趋于稳定。受降水的直接影响,0~60 cm土壤水与降水稳定同位素的季节变化相近,但存在不同程度的时滞;60 cm以下土壤水和地下水稳定同位素的季节变化不明显,其更多地保留了前期累积的降水稳定同位素信息。由表层至深层,土壤水中lc的平均值增大,标准差减小,逐渐趋于稳定,说明土壤水经历的蒸发作用随深度增加逐渐减弱。相关分析表明,不同深度土壤水中lc与δ2H均呈显著正相关。∑E和∑TA对0~60 cm土壤水中lc影响显著,并且土壤含水量θ与土壤水中lc之间也存在联系。研究区存在SWL斜率高于LMWL斜率的现象,尽管与不同强度降水事件的影响具有一定关联,但主要与降水同位素与土壤水同位素蒸发富集作用强度的反向季节性变化有关。
| [1] |
Xu Y D, Wang J K, Gao X D, et al. Application of hydrogen and oxygen stable isotope techniques on soil water reaearch:A review (In Chinese)[J]. Journal of Soil and Water Conservation, 2018, 32(3): 1-9, 15. [徐英德, 汪景宽, 高晓丹, 等. 氢氧稳定同位素技术在土壤水研究上的应用进展[J]. 水土保持学报, 2018, 32(3): 1-9, 15.]
( 0) |
| [2] |
Jin Y R, Lu K X, Li P, et al. Research on soil water movement based on stable isotopes (In Chinese)[J]. Acta Pedologica Sinica, 2015, 52(4): 792-801. [靳宇蓉, 鲁克新, 李鹏, 等. 基于稳定同位素的土壤水分运动特征[J]. 土壤学报, 2015, 52(4): 792-801.]
( 0) |
| [3] |
Tian R C, Chen H S, Song X F, et al. Characteristics of soil water movement using stable isotopes in red soil hilly region of northwest Hunan (In Chinese)[J]. Chinese Journal of Environmental Science, 2009, 30(9): 2747-2754. [田日昌, 陈洪松, 宋献方, 等. 湘西北红壤丘陵区土壤水运移的稳定性同位素特征[J]. 环境科学, 2009, 30(9): 2747-2754.]
( 0) |
| [4] |
Ma X N, Zhang M J, Li Y J, et al. Research advances on stable isotopes in soil water (In Chinese)[J]. Soils, 2012, 44(4): 554-561. DOI:10.3969/j.issn.0253-9829.2012.04.005 [马雪宁, 张明军, 李亚举, 等. 土壤水稳定同位素研究进展[J]. 土壤, 2012, 44(4): 554-561.]
( 0) |
| [5] |
Tian L D, Yao T D, Sun W Z, et al. Stable isotope in soil water in the middle of Tibetan Plateau (In Chinese)[J]. Acta Pedologica Sinica, 2002, 39(3): 289-295. DOI:10.3321/j.issn:0564-3929.2002.03.001 [田立德, 姚檀栋, 孙维贞, 等. 青藏高原中部土壤水中稳定同位素变化[J]. 土壤学报, 2002, 39(3): 289-295.]
( 0) |
| [6] |
Yang Y G, Fu B J. Soil water migration in the unsaturated zone of semiarid region in China from isotope evidence[J]. Hydrology and Earth System Sciences, 2016, 21(3): 1757-1767.
( 0) |
| [7] |
Gazis C, Feng X H. A stable isotope study of soil water:Evidence for mixing and preferential flow paths[J]. Geoderma, 2004, 119(119): 97-111.
( 0) |
| [8] |
Robertson J A, Gazis C. An oxygen isotope study of seasonal trends in soil water fluxes at two sites along a climate gradient in Washington State(USA)[J]. Journal of Hydrology, 2006, 328(1): 375-387.
( 0) |
| [9] |
Cheng L P, Liu W Z. Characteristics of stable isotopes in soil water under several typical land use patterns on Loess Tableland (In Chinese)[J]. Chinese Journal of Applied Ecology, 2012, 23(3): 651-658. [程立平, 刘文兆. 黄土塬区几种典型土地利用类型的土壤水稳定同位素特征[J]. 应用生态学报, 2012, 23(3): 651-658.]
( 0) |
| [10] |
Yang G M, Wang L. Characteristics of stable isotopes and infiltration rule of soil water at dumping site in Heidaigou opencast coal mine (In Chinese)[J]. Journal of China Coal Society, 2015, 40(4): 944-950. [杨国敏, 王力. 黑岱沟矿区排土场土壤水的氢氧稳定性同位素特征及入渗规律[J]. 煤炭学报, 2015, 40(4): 944-950.]
( 0) |
| [11] |
Ma T T, Ke H C, Li Z B, et al. Soil moisture migration characteristics of typical small watershed in rain feed region under individual rainfall events (In Chinese)[J]. Journal of Soil and Water Conservation, 2018, 32(2): 80-86. [马田田, 柯浩成, 李占斌, 等. 次降雨事件下雨养区典型小流域土壤水分运移规律[J]. 水土保持学报, 2018, 32(2): 80-86.]
( 0) |
| [12] |
Hou S B, Song X F, Yu J J, et al. Stable isotopes characters in the process of precipitation and infiltration in Taihang Mountainous region (In Chinese)[J]. Resources Science, 2008, 30(1): 86-92. DOI:10.3321/j.issn:1007-7588.2008.01.013 [侯士彬, 宋献方, 于静洁, 等. 太行山区典型植被下降水入渗的稳定同位素特征分析[J]. 资源科学, 2008, 30(1): 86-92.]
( 0) |
| [13] |
Brooks J R, Barnard H R, Coulombe R, et al. Ecohydrologic separation of water between trees and streams in a Mediterranean climate[J]. Nature Geoscience, 2010, 3(2): 100-104.
( 0) |
| [14] |
Hervé-Fernández P, Oyarzún C, Brumbt C, et al. Assessing the "two water worlds" hypothesis and water sources for native and exotic evergreen species in south-central Chile[J]. Hydrological Processes, 2016, 30(23): 4227-4241. DOI:10.1002/hyp.10984
( 0) |
| [15] |
Deng W P, Zhang J, Zhang Z J, et al. Stable hydrogen and oxygen isotope compositions in soil-plant-atmosphere continuum(SPAC)in rocky mountain area of Beijing, China (In Chinese)[J]. Chinese Journal of Applied Ecology, 2017, 28(7): 2171-2178. [邓文平, 章洁, 张志坚, 等. 北京土石山区水分在土壤-植物-大气连续体(SPAC)中的稳定同位素特征[J]. 应用生态学报, 2017, 28(7): 2171-2178.]
( 0) |
| [16] |
Wang R, Liu W Z, Song X F. Study on soil water dynamics on loess tableland based on stable hydrogen and oxygen isotopes (In Chinese)[J]. Journal of Soil and Water Conservation, 2014, 28(3): 134-137, 184. [王锐, 刘文兆, 宋献方. 黄土塬区土壤水分运动的氢氧稳定同位素特征研究[J]. 水土保持学报, 2014, 28(3): 134-137, 184.]
( 0) |
| [17] |
Wang H, Li Z B, Ma B, et al. Characteristics of hydrogen and oxygen isotopes in different waters of the loess hilly and gully region (In Chinese)[J]. Journal of Soil and Water Conservation, 2016, 30(4): 85-90, 135. [王贺, 李占斌, 马波, 等. 黄土高原丘陵沟壑区流域不同水体氢氧同位素特征--以纸坊沟流域为例[J]. 水土保持学报, 2016, 30(4): 85-90, 135.]
( 0) |
| [18] |
Zhang X J, Song W F, Wu J K, et al. Characteristics of hydrogen and oxygen isotopes of soil water in the water source area of Yuanyang terrace (In Chinese)[J]. Environmental Science, 2015, 36(6): 2102-2108. [张小娟, 宋维峰, 吴锦奎, 等. 元阳梯田水源区土壤水氢氧同位素特征[J]. 环境科学, 2015, 36(6): 2102-2108.]
( 0) |
| [19] |
Wu W, Jiang Y J, Jia Y N, et al. Temporal and spatial distribution of the soil water δD and δ18O in a typical karst valley:A case study of the Zhongliang Mountain, Chongqing City (In Chinese)[J]. Environmental Science, 2018, 39(12): 5418-5427. [吴韦, 蒋勇军, 贾亚男, 等. 典型岩溶槽谷区土壤水δD和δ18O时空分布特征:以重庆市中梁山岩溶槽谷为例[J]. 环境科学, 2018, 39(12): 5418-5427.]
( 0) |
| [20] |
Hasselquist N J, Benegas L, Roupsard O, et al. Canopy cover effects on local soil water dynamics in a tropical agroforestry system:Evaporation drives soil water isotopic enrichment[J]. Hydrological Processes, 2018, 32(8): 994-1004. DOI:10.1002/hyp.11482
( 0) |
| [21] |
Sprenger M, Tetzlaff D, Soulsby C. Soil water stable isotopes reveal evaporation dynamics at the soil-plant-atmosphere interface of the critical zone[J]. Hydrology and Earth System Sciences, 2017, 21(7): 3839-3858.
( 0) |
| [22] |
Craig H. Isotopic variations in meteoric waters[J]. Science, 1961, 133(3465): 1702-1703.
( 0) |
| [23] |
Hua M Q, Zhang X P, Yao T C, et al. Variation characteristics and influencing factors of the stable water isotopes in Lake Peach in Changsha City (In Chinese)[J]. Journal of Lake Sciences, 2018, 30(6): 1766-1778. [华明权, 章新平, 姚天次, 等. 长沙桃子湖湖水稳定同位素的变化及其影响因素[J]. 湖泊科学, 2018, 30(6): 1766-1778.]
( 0) |
| [24] |
Yao T C, Zhang X P, Li G, et al. Characteristics of the stable isotopes in different water bodies and their relationships in surrounding areas of Yuelu Mountain in the Xiangjiang river basin (In Chinese)[J]. Journal of Natural Resources, 2016, 31(7): 1198-1210. [姚天次, 章新平, 李广, 等. 湘江流域岳麓山周边地区不同水体中氢氧稳定同位素特征及相互关系[J]. 自然资源学报, 2016, 31(7): 1198-1210.]
( 0) |
| [25] |
Meng Y C, Liu G D. Effect of below-cloud secondary evaporation on the stable isotopes in precipitation over the Yangtze River basin (In Chinese)[J]. Advances in Water Science, 2010, 21(3): 327-334. [孟玉川, 刘国东. 长江流域降水稳定同位素的云下二次蒸发效应[J]. 水科学进展, 2010, 21(3): 327-334.]
( 0) |
| [26] |
Liu J, Nie Z L, Duan B Q, et al. Characteristics of stable isotope(δ2H and δ18O)in soil water in Hohhot area (In Chinese)[J]. Journal of Arid Land Resources and Environment, 2016, 30(10): 145-150. [刘君, 聂振龙, 段宝谦, 等. 氢氧稳定同位素指示的呼和浩特地区土壤水的补给特征[J]. 干旱区资源与环境, 2016, 30(10): 145-150.]
( 0) |
| [27] |
Zhao L S, Yan W D, Xiang W H, et al. Analysis of canopy interception effects on Cinnamomum camphora plantation (In Chinese)[J]. Journal of Central South University of Forestry & Technology, 2013, 33(5): 91-95, 100. [赵亮生, 闫文德, 项文化, 等. 樟树人工林林冠截留效应分析[J]. 中南林业科技大学学报, 2013, 33(5): 91-95, 100.]
( 0) |
| [28] |
Gibson J J, Birks S J, Edwards T W D. Global prediction of δA and δ2H-δ18O evaporation slopes for lakes and soil water accounting for seasonality[J]. Global Biogeochemical Cycles, 2008, 22(2): 1-12. DOI:10.1029/2007gb002997
( 0) |
| [29] |
Benettin P, Volkmann T H M, von Freyberg J, et al. Effects of climatic seasonality on the isotopic composition of evaporating soil waters[J]. Hydrology and Earth System Sciences, 2018, 22(5): 2881-2890.
( 0) |
| [30] |
Sprenger M, Tetzlaff D, Buttle J M, et al. Storage, mixing, and fluxes of water in the critical zone across northern environments inferred by stable isotopes of soil water[J]. Hydrological Processes, 2018, 32(12): 1720-1737.
( 0) |
2020, Vol. 57



0)