土壤铁氧化物是环境敏感矿物,主要包括红色的赤铁矿(Hm,α-Fe2O3)、黄色的针铁矿(Gt,α-FeOOH)以及少量无定形铁(Feo)等矿物相。通常,赤铁矿形成于相对干热、季节性强和排水状况好的环境,针铁矿形成于相对冷湿和排水状况差的环境[1-2]。全球尺度上,赤铁矿常富集于低纬高温地区,针铁矿富集于高纬寒冷地区;区域尺度上,赤铁矿富集于平原干热地区,针铁矿则富集于山地冷湿地区[2],以我国南方亚热带地区“山地黄壤-平原红壤”最为典型[3]。坡地尺度上,地形导致的水分再分配也常出现坡顶赤铁矿富集,坡底针铁矿富集的现象[4-6]。
铁氧化物也是土壤团聚体的重要胶结物。我国南方富铁土与铁铝土中,由于有机质矿化分解快,铁氧化物等无机胶结剂主导着土壤团聚体的形成和稳定性[7]。研究发现,富铁的土壤去铁后大团聚体分散为微团聚体[8],而向土壤中添加纳米赤铁矿颗粒可增加大团聚体(> 0.25 mm)含量[9]。热带土壤中,大多数黏粒级(< 2 μm)颗粒能被赤铁矿和针铁矿混合团聚成5~300 µm粒级[1]。胡国成和章明奎[10]也发现玄武岩发育的铁铝土、红紫色砂页岩发育的新成土中粗颗粒组分常以赤铁矿胶结高岭石/蒙脱石的团聚体形式存在。与此同时,无定形铁具有较晶质铁更大的比表面积和化学活性,对团聚体形成及稳定的贡献较晶质铁强[11-12]。
花岗岩是构成地球陆壳的主要岩石类型,抗风化能力强。我国东南丘陵地区是世界重要的花岗岩连续分布区。该区坡地尺度残积土壤的形成过程,常伴随着铁氧化物矿物相的明显转变,形成坡顶红-坡底黄的富铁土地形序列[3]。本文选取闽中丘陵区典型花岗岩坡地上不同坡位的富铁土序列剖面,分析坡地上铁氧化物相不同尺度的空间分配及其与团聚体粒级分布的关系,旨在进一步明确热带亚热带坡地土壤团聚体空间分布特点与稳定机制。
1 材料与方法 1.1 研究区概况与样品采集研究区为我国东南丘陵地区的闽中大山带,母岩为富含石英和钾长石的燕山期花岗岩[13]。该区为亚热带季风气候,年均气温17~21℃,年降水量约1 400~2 000 mm,位于红壤和黄壤转化的阈值转化区[14],不同地形尺度上广泛可见红壤-黄壤分异现象。
采样坡地位于闽中大山带博平岭南坡中段(24°37′15″N,117°05′53″E),该坡地因道路建设而形成出露完整的纵切面,坡长30 m,坡高5 m,坡度约9°,坡向朝东。植被主要为马尾松、杉木、毛竹等。土壤颜色从坡顶剖面2.3YR~3.3YR逐渐过渡至坡底剖面的6.8YR~7.5YR,发生了明显的黄化过程。本研究从坡顶至坡底,水平距离每隔10 m设置1个调查采样土壤剖面,合计4个剖面(FJ10、FJ11、FJ12与FJ13)。该坡地植被覆盖良好、有机质普遍表聚(表 1),剖面土壤颜色向下逐渐过渡,暗示坡地水土流失少,坡位物理迁移弱,铁氧化物的分异主要因坡地尺度的水分分异主导。为保证样品信息深度上的可比性,结合土壤颜色分异,每个剖面按A(0~20 cm)、B(20~40 cm)、BC(60~80 cm)和C(120~140 cm)4个相同深度层位进行采样分析,上述层次划分基本对应于相应土壤发生层。坡地土壤类型为发生分类上的红壤[13],根据土壤物化性质(表 1、图 2)各剖面均有低活性富铁层,对应系统分类的富铁土[15]。
|
图 1 花岗岩坡地采样点及土壤剖面 Fig. 1 Sampling sites and soil profiles along the slope derived from granite |
|
|
表 1 土壤基本理化性质 Table 1 The basic physical and chemical properties of bulk soils |
|
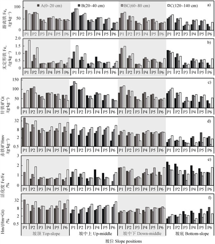
A(0~20 cm),B(20~40 cm),BC(60~80 cm),C(120~140 cm)。注:下同。 Note: The same below. 图 2 坡地土壤全样中铁氧化物相的分配 Fig. 2 Distributions of Fe-oxide phases in bulk soils along the slope |
土壤样品风干后过2 mm筛。土壤颜色采用孟赛尔颜色系统确定,pH通过水土比2.5︰1的土壤溶液测定[16],土壤阳离子交换量(CEC)采用乙酸铵法测定[16],有机碳(SOC)通过Costech ECS 4024 CHNSO元素分析仪测定;机械组成采用Mastersizer2000激光粒度仪测定,粒级划分采用国际制(黏粒 < 0.002 mm,粉粒0.002~0.02 mm,砂粒0.02~2 mm)。化学元素分析通过PANalytical-PW2424 X射线荧光光谱仪(XRF)测定,化学蚀变指数(Chemical index of alteration,CIA)由[Al2O3/(Al2O3 + CaO* + Na2O + K2O)]×100计算得到[17]。各剖面基本理化性质见表 1。
1.3 土壤铁氧化物测定原生含铁矿物通常是土壤中的优先风化矿物[1],Fed/Fet反映次生成壤铁氧化物中铁与土壤中全铁的比值,常用以表征土壤风化程度,而Feo/Fed体现了成壤铁氧化物中非晶质组分的比例,通常与风化阶段和有机质配体环境等因素有关[16]。全铁(Fet)通过XRF测定的Fe2O3%换算得到。游离铁(Fed)和无定形铁(Feo)分别采用柠檬酸钠-重碳酸钠-连二亚硫酸钠(CBD)溶液和酸性草酸铵(AAO)溶液提取—分光光度法测定[16]。CBD去铁样品混合研磨后作为赤铁矿(Hm)和针铁矿(Gt)光谱定量的基底。
Hm/(Hm+Gt)反映了成壤铁氧化物结晶相中Hm的相对比例,常被用来反映气候干热/冷湿状况,也被用来表征土壤的相对湿度;Hm/(Hm+Gt)愈大,成壤环境愈干燥[2]。土壤铁氧化物矿物相采用漫反射光谱法测定,主要原理是基于Hm对土壤红度的决定性影响[18-19]。具体操作步骤[19]如下:将去铁基底与已知含量的合成Hm土样混合研磨至200目,均匀涂抹至25×75 mm玻片上,风干后用Perkin-Elmer Lambda 900分光光度计测定可见光波段(400~700 nm)的漫反射光谱,波长间隔为2 nm;通过样品在红光波段(630~700 nm)与可见光波段平均反射率的比值计算出红度指数(Redness),获得Hm定量的原始工作曲线;并配置代表性Hm与Gt共同混合样品,校正工作曲线,得到Hm的定量方程(式(1)),其单位表示为g·kg–1。
| $ {\rm{Hm = }}8 \times {10^{ -5}} \times {{\rm{e}}^{{\rm{28}}{\rm{.277 \times Redness}}}} $ | (1) |
本研究采取Hm的标准为Pfizer R1599 Red,Gt标准为Hoover Color Corporation Synox HY610 Yellow,该标准矿物粒级均为纳米级,接近自然土壤铁氧化物的粒级[19-20]。因为Hm的致色效应远高于Gt,故Gt的含量通过间接估算[19]。Torrent等[21]认为如果不考虑极少数磁性铁氧化物和Feo含量的影响,Fed中铁主要源于Hm和Gt,可按照Fe2O3和FeOOH分子式计量铁氧化物的含量。本文中的计算考虑了Feo的贡献,忽略了磁性矿物的贡献(磁化率 < 100
| $ {{\rm{Gt = 1}}{\rm{.59}}\left( {{\rm{F}}{{\rm{e}}_{\rm{d}}}{\rm{ -F}}{{\rm{e}}_{\rm{o}}}{\rm{ -Hm/1}}{\rm{.43}}} \right)} $ | (2) |
用干湿筛法[22]分选出2~1 mm、1~0.5 mm、0.5~0.25 mm和 < 0.25 mm水稳性团聚体;再取 < 0.25 mm微团聚体应用吸管法[16]分选0.25~0.02 mm、0.02~0.002 mm和 < 0.002 mm微团聚体。后计算 < 0.002 mm(P1)、0.02~0.002 mm(P2)、0.25~0.02 mm(P3)、0.5~0.25 mm(P4)、1~0.5 mm(P5)和2~1 mm(P6)共6个粒级团聚体的质量百分比(WSA),分别记为WSA < 0.002、WSA 0.02~0.002、WSA0.25~0.02、WSA0.5~0.25、WSA1~0.5和WSA2~1。最后计算团聚体稳定性指标—平均重量直径(Mean weight diameter,MWD)[22]:
| $ \begin{array}{*{20}{l}} {{\rm{MWD = }}\sum {_{i = 1}^n} {{{\rm{\bar X}}}_i} \times {\rm{WS}}{{\rm{A}}_i}} \end{array} $ | (3) |
式中,
采用Microsoft Excel 2010和IBM Statistics SPSS 20.0软件进行数据处理与统计分析。
2 结果 2.1 坡地土壤基本理化性质由表 1可知,所有样品pH介于4.08~4.27之间,属于强酸性;全样CEC介于4.34 cmol·kg–1~5.78 cmol·kg–1;化学蚀变指数CIA介于93.8~98.5之间,属于极端化学风化阶段[23],向坡顶和表土略有增大。这说明该坡地经历了强烈的化学风化和盐基淋失过程。沿坡向下SOC逐渐增加,且向深部土层逐渐减少,但整体有机质含量较低,为0.6~7.0 g·kg–1。土壤机械组成以粉粒为主,其中坡顶黏粒、粉粒少于坡底,而砂粒多于坡底;同时黏粒、粉粒趋向土层上部富集,下部砂粒集中。
2.2 坡地铁氧化物相分配特征由图 2可知,土壤全样铁氧化物相在该坡地呈现出明显的空间分异现象。坡地尺度上,从坡顶到坡底,各层Fed平均含量从32.3 g·kg–1减少为24.14 g·kg–1,上部土层(A、B层)下降最明显;Feo平均含量从0.54 g·kg–1波动增加至0.71 g·kg–1,Hm则从12.33 g·kg–1快速减少至2.98 g·kg–1;Gt变化趋势不明显,在37.11 g·kg–1上下波动(±5.51 g·kg–1)。同时,Fed/Fet、Hm/(Hm+Gt)趋于减小,而Feo/Fed、Gt/(Hm+Gt)趋于增大。剖面尺度上,多数坡位Fed和Gt表现为上部土层(A、B层)大于下部土层(BC、C层),Feo和Hm则是上部土层小于下部土层。同样,其对应的比值参数也呈现出类似规律。
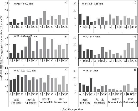
团聚体尺度上,如图 3所示,Fed、Feo和Gt均明显富集于微团聚体的P1~P2粒级,高于P3粒级和大团聚体的P4~P6粒级,而Hm在微团聚体与大团聚体中的含量相当甚至低于大团聚体。Feo/Fed呈现出与Feo类似的分异规律,而Hm/(Hm+Gt)趋向P6粒级增长。
|
P1(< 0.002 mm),P2(0.02~0.002 mm),P3(0.25~0.02 mm),P4(0.5~0.25 mm),P5(1~0.5 mm),P6(2~1 mm)注:矩形缺失表示该粒级团聚体缺样。 Note: The missing rectangle indicates the shortage of aggregate samples. 图 3 坡地土壤团聚体中铁氧化物相的分配 Fig. 3 Distributions of Fe-oxide phases in aggregates along the slope |
由图 4可知,该坡地以微团聚体(P1~P3)居多,占51.87%~87.0%,大团聚体(P4~P6)较少,占13.0%~48.13%。坡地尺度上,P1与P2粒级微团聚体分别趋向坡底、坡中富集,P5与P6粒级大团聚体则向坡底和坡顶集中。剖面尺度上,P1、P2粒级微团聚体多富集于上部土层(A、B层),P3粒级则多富集于下部土层(BC、C层);P4、P5、P6粒级大团聚体的最大含量则多出现在剖面顶部(A层)或底部(C层)。同时,从坡顶到坡中下,大团聚体含量WSA > 0.25与平均重量直径MWD均趋于减少,至坡底有所增加(图 5);剖面尺度上,两指标在坡顶剖面上部土层与下部土层相当或略高,坡中上和坡中下剖面分别下部和上部土层高,坡底又恢复为上部比下部略高或相当的情况。
|
图 4 坡地土壤各粒级团聚体分布特征 Fig. 4 Distributions of aggregate fractions along the slope |
|
图 5 坡地土壤团聚体稳定性特征 Fig. 5 Features of soil aggregate stability along the slope |
为明确坡地尺度土壤铁氧化物和有机质分配对团聚体分布及稳定性的影响,分析了不同粒级团聚体含量与土壤全样、团聚体中铁氧化物相和有机质的相关性(表 2)。结果表明,全样中,P1粒级含量(WSA < 0.002)与Hm和Hm/(Hm+Gt)呈显著负相关,P3粒级含量(WSA0.25~0.02)与Feo/Fed呈显著负相关,P4和P5粒级含量(WSA0.5~0.25、WSA1~0.5)分别与Feo和Feo/Fed呈显著正相关。同时,P6粒级(WSA2~1)与Feo呈显著负相关,与Hm和Hm/(Hm+Gt)呈显著正相关。就不同粒级团聚体而言,P3粒级含量与该粒级的Feo/Fed呈显著负相关,P6粒级含量与该粒级的Hm与Hm/(Hm+Gt)呈极显著正相关,与全样指标的关系一致。同时,各粒级团聚体含量与全样和团聚体的SOC均无显著相关性,且MWD与P1和P2粒级微团聚体含量呈显著负相关,与P5和P6粒级大团聚体含量呈极显著正相关。这说明该坡地团聚体稳定性主要与铁氧化物控制的大团聚体的形成有关。
|
|
表 2 土壤不同粒级团聚体含量与全样、团聚体中铁氧化物及有机碳的相关性 Table 2 Correlations between the aggregate content of various sizes and Fe-oxides and SOC in bulk soils and aggregates |
由表 3可知,该坡地水分分异使得铁氧化物相在坡地尺度、剖面尺度和团聚体尺度均出现分异现象,整体分异性表现为团聚体尺度 > 坡地尺度 > 剖面尺度,这可能与不同尺度下土壤水分含量及水势的空间差异有关。与此同时,在同一尺度上,坡地尺度中Gt < Fed < Feo < Hm,Feo/Fed和Hm/(Hm+Gt)的分异系数也达到了34.0%和46.7%;剖面尺度中,Fed < Feo < Gt < Hm;团聚体尺度中Gt < Fed < Hm < Feo。整体而言,Fed与Gt的变异程度小于Hm与Feo,说明土壤水分含量对Fed与Gt的影响要小于Hm与Feo。
|
|
表 3 不同尺度土壤铁氧化物相的分异系数 Table 3 Multi-scale coefficient of variation of soil Fe-oxide phases(CV)/% |
坡地尺度上,Fed、Fed/Fet变化规律与CIA基本一致,显示了化学风化对于次生铁氧化物富集的控制。降雨由坡顶流向坡底,使坡顶铁的游离富集过程更为明显。Feo、Feo/Fed沿坡面向下增加可能与Feo的高迁移性及坡底相对高的湿度、高有机质含量有关。研究表明,高湿度/高水分活度环境中,有机配体可与铁氧化物发生络合,抑制铁氧化物的老化结晶[1-2]。前人研究也发现,土壤和团聚体中有机质含量与Feo含量具有良好的线性正相关关系[24-25]。与此同时,土壤Hm、Hm/(Hm+Gt)向坡底明显下降反映了Hm绝对含量和相对比例的快速降低,这与土壤颜色向坡底的黄化对应。坡顶相对好的排水状况使成壤环境相对干燥多变,易于Hm的形成;坡底相对较差的排水状况使成壤环境相对湿润且稳定,易于Gt的形成[1-2]。沿坡面向下铁氧化物的水化和活化现象普遍存在于热带亚热带的铁铝土和富铁土坡地地区[4-5]。
剖面尺度上,上部土层Fed、Fed/Fet普遍较下部高,同样与上部土层相对强的化学风化作用有关。同时,由于淋溶迁移也使得上部土层Feo整体低于下部土层[26]。此外,多数坡位上部土层(A、B层)Hm和Hm/(Hm+Gt)小于下部土层,揭示出剖面尺度Hm、Gt的分异现象,这与上部土层频繁地表水干扰和高有机质含量致使Hm溶解,并重新结晶为Gt有关[27-29]。
团聚体尺度上,Fed和Feo均趋向 < 0.02 mm微团聚体中富集,与第四纪黏土沉积物发育的富铁土中分异基本一致[30]。更重要的是,本研究还发现了Hm与Gt在团聚体中的分配过程。胡国成和章明奎[10]研究玄武岩发育的铁铝土以及红紫色砂页岩发育的新成土时,发现赤铁矿含量随颗粒粒级增大而增加。本研究中,Hm/(Hm+Gt)向大团聚体中增长的同时,也呈现出随粒级增长富集程度增强的现象(图 3f)。这种团聚体尺度铁氧化物活化及水化程度的分异,反映了团聚体尺度土壤微环境差异和铁氧化物自身的环境敏感性。Feo是铁氧化物形成的先驱矿物胶体,具有较高的化学活性,会转变为晶质铁氧化物或吸附其他离子成为稳定配合物[31]。原生含铁硅酸盐水解早期形成的Feo粒径多介于溶质与胶体之间,且细粒组分中通常富含有机配体,也会延缓Feo的结晶[2],从而导致无定形组分在细颗粒组分中的聚集。同时,在一定水土势条件下,小粒级颗粒具有更高的土壤持水量[32],使得微团聚体水活度大于大团聚体,造成微团聚体中Gt比例偏高;而当成壤环境渐趋干燥至一定界限时,微团聚体内Feo会脱水形成Hm[33],以平衡团聚体内部水活度的降低,造成微团聚体中Hm向 < 0.002 mm粒级富集(图 3d)。此外,土壤大团聚体以较大孔隙为主、水分释放快[32],利于Hm形成,从而导致Hm/(Hm+Gt)的增长(图 3f)。
3.2 坡地土壤铁氧化物相与有机质对团聚体稳定性的影响土壤铁氧化物和有机质是土壤团聚体主要的无机和有机胶结物,对团聚体形成及稳定性具有重要作用[34-35]。研究坡地中土壤铁氧化物与团聚体稳定性存在显著相关性,但不同铁氧化物相与不同粒级团聚体间的关系差异明显,可能暗示坡地不同粒级团聚体形成的主导机制差异。坡顶团聚体的高稳定性与Hm富集,以及Hm/(Hm+Gt)向P6粒级大团聚体增加导致P6粒级大团聚体集中有关。前人研究证实,将纳米Hm颗粒添加到土壤中能提高 > 0.25 mm大团聚体含量[9]。对玄武岩发育的富铁土和红紫色砂岩发育的新成土的研究,发现随着土壤颗粒粒级增大,赤铁矿XRD衍射峰逐渐增强,暗示了大颗粒中Hm的富集[10]。热带土壤的研究也发现Hm和Gt混合物能将大多数黏粒级(< 2 µm)颗粒胶结成5~300 µm粒级颗粒[1]。从理论上而言,Hm的形成过程伴随着前驱无定形水铁矿的脱水过程,而Gt则涉及水铁矿的溶解再结晶过程[1],因此Hm相对于Gt更易于促进土壤团聚体的胶结。与此同时,虽然坡底Hm与Hm/(Hm+Gt)相对较低,但Feo和Feo/Fed比值明显增加(图 2b),促进了P4、P5粒级大团聚体的形成,也呈现出较高的团聚体稳定性。Feo具有较晶质铁更大的比表面积和化学活性,对团聚体形成及稳定也具有重要作用[11-12]。Breuer和Schwertmann[36]认为无定形水铁矿可以通过与硅相互作用形成共价键(Si-O-Fe)粘结 < 0.063 mm水分散颗粒形成0.063~2 mm团聚体。王小红等[11]也发现Feo与 > 0.25 mm水稳性团聚体呈极显著正相关,较Fed更利于大团聚体形成。但赵友朋等[37]发现不同林地类型土壤中Fed对土壤团聚体MWD的贡献率远大于Feo。整体而言,该坡地P5、P6粒级大团聚体与平均重量直径MWD显著正相关(表 3),说明P5与P6粒级大团聚体是保障团聚体稳定性的重要组分。坡顶Hm和坡底Feo的相对富集分别促进了P6、P5粒级大团聚体的形成,使得坡顶和坡底MWD值高于坡中过渡区。
与此同时,虽然坡地SOC含量呈现出向坡底和表土富集的趋势,但含量≤7.0 g·kg–1(表 1),且SOC与各粒级团聚体含量、MWD均无显著相关性(表 3),表明该坡地土壤序列中,SOC对土壤团聚体形成和稳定性的影响不及铁氧化物。章明奎和何振立[7]分析了亚热带地区包括花岗岩在内的多母质土壤,发现心土SOC含量7.73 g·kg–1,与 > 0.25 mm水稳性团聚体含量和团聚体水稳定性系数相关性不显著,但游离氧化铁与二者均呈显著正相关。Peng等[8]研究第四纪红黏土,发现土壤“去铁(Fed)”处理后团聚体MWD值低于“去SOC(平均含量7.31 g·kg–1)”处理所得MWD值,体现了铁氧化物对团聚体稳定性更加突出的贡献。然而,陈山[38]研究第四纪红土母质发育的红壤,发现全样SOC(平均含量15.54 g·kg–1~34.16 g·kg–1)与 > 5 mm和 > 0.25 mm水稳性大团聚体均呈显著正相关,与干、湿筛MWD也呈显著正相关;同时,不同粒级团聚体中腐殖质组分和干、湿筛MWD同样存在显著相关性,而各粒级团聚体中铁氧化物与干、湿筛MWD相关性不显著。Xue等[30]也发现SOC(平均含量17.5 g·kg–1~27.5 g·kg–1)对团聚体稳定性有积极贡献,较铁氧化物更加突出。此外,室内模拟土壤颗粒团聚过程中发现,应用湿筛法时,添加相同浓度腐殖酸后得到的团聚体MWD明显高于添加氢氧化铁所得MWD[39]。可见,有机质与团聚体形成和稳定性的关系与有机质含量高低有关。有机质含量较高时,其对大团聚体形成和稳定性有积极贡献;而有机质含量较低时,铁氧化物相开始占据主导作用。
3.3 坡地铁氧化物相分配与团聚体演化的耦合意义热带亚热带山地丘陵地区普遍发生的水热再分配现象,导致次生铁氧化物相的转变,并呈现出不同尺度的土壤黄化现象[4-5]。本文揭示的坡地小尺度的黄化现象与山地–平原大尺度的土壤黄化现象与海拔关系刚好相反。前者倾向于发生在低海拔区域,后者则发生于高海拔地区。这种过程嵌套发生在热带亚热带山地丘陵地区,可能控制不同尺度的土壤团聚体形成和稳定,进而影响山地丘陵区地貌演化。然而,本研究属于热带亚热带地区,铁氧化物富集、有机质矿化速度快,而温带山地丘陵地区铁氧化物富集程度较弱、有机质含量较高,铁氧化物与有机质分配对坡地团聚体的相对影响还需要进一步探讨。整体而言,该研究揭示的微地形尺度铁氧化物分异对土壤类型及团聚体稳定性的影响,对基于地形的高分辨率土壤信息数据库(SOTER)建设及水土保持规划有重要参考意义;与此同时,传统基于动力学的地貌演化过程模拟也应该考虑次生矿物和有机质的地形分配过程对宏观地貌演化的影响。
4 结论通过亚热带花岗岩坡地富铁土序列的研究,发现土壤铁氧化物具有不同尺度的空间分异现象,并对坡地团聚体分布及稳定性产生重要影响。坡地尺度上,从坡顶到坡底,土壤化学风化强度逐渐减弱,全样Fed与Fed/Fet,减小,Feo与Feo/Fed增加,Hm与Hm/(Hm+Gt)明显降低,Gt变化则相对稳定;剖面尺度上,上部土层Fed、Gt多高于下部土层,Feo和Hm则多低于下部土层;团聚体尺度上,Fed、Feo和Gt趋向于 < 0.02 mm微团聚体中富集,Hm在微团聚体和大团聚体中含量相当,Hm/(Hm+Gt)则趋于2~1 mm大团聚体中增长。坡地土壤团聚体以微团聚体为主,但团聚体稳定性由 > 0.25 mm大团聚体主导。Feo、Feo/Fed和Hm(Hm/(Hm+Gt))分别与0.5~0.25 mm、1~0.5 mm以及2~1 mm大团聚体呈显著正相关。坡顶和坡底团聚体稳定性高于坡中过渡区,与坡顶Hm和坡底Feo富集促进大团聚体形成有关。研究结果有助于理解亚热带自然坡地铁氧化物相分异对土壤团聚体空间分布、形成以及稳定机制的影响,对探索坡地演化有重要意义。
| [1] |
Cornell R M, Schwertmann U.. The iron oxides: Structure, properties, reactions, occurences and uses . 2nd ed[M]. Weiheim: WILEY-VCH Verlag, 2003: 433-468.
( 0) |
| [2] |
Schwertmann U. The effect of pedogenic environments on iron oxide minerals[C]// Stewart B A. Advances in soil science. New York: Springer Verlag, 1985: 171—200.
( 0) |
| [3] |
Fujian Provincial Soil Survey Office. Fujian Soil (In Chinese). Fuzhou: Fujian Science & Technology Publishing House, 1991: 60-63. [福建土壤[M]. 福州: 福建科学技术出版社, 1991: 60-63.]
( 0) |
| [4] |
Ferreira C A, Silva A C, Torrado P V, et al. Genesis and classification of Oxisols in a highland toposequence of the upper Jequitinhonha Valley(MG)[J]. Revista Brasileira De Ciência Do Solo, 2010, 34(1): 195-209. DOI:10.1590/S0100-06832010000100020
( 0) |
| [5] |
Curi N, Franzmeier D P. Toposequence of oxisols from the central plateau of Brazil[J]. Soil Science Society of America Journal, 1984, 48(2): 341-346. DOI:10.2136/sssaj1984.03615995004800020024x
( 0) |
| [6] |
Torrent J, Schwertmann U, Schulze D G. Iron oxide mineralogy of some soils of two river terrace sequences in Spain[J]. Geoderma, 1980, 23(3): 191-208. DOI:10.1016/0016-7061(80)90002-6
( 0) |
| [7] |
Zhang M K, He Z L. Effect of parent materials on formation of soil aggregates (In Chinese)[J]. Tropical and Subtropical Soil Science, 1997, 6(3): 198-202. [成土母质对土壤团聚体形成的影响[J]. 热带亚热带土壤科学, 1997, 6(3): 198-202.]
( 0) |
| [8] |
Peng X, Yan X, Zhou H, et al. Assessing the contributions of sesquioxides and soil organic matter to aggregation in an Ultisol under long-term fertilization[J]. Soil and Tillage Research, 2015, 146: 89-98. DOI:10.1016/j.still.2014.04.003
( 0) |
| [9] |
Zhang H Z, Zhang Y R. Effects of iron oxide nanoparticles on Fe and heavy metal accumulation in castor(Ricinus communis L.)plants and the soil aggregate[J]. Ecotoxicology and Environmental Safety, 2020, 200: 110728. DOI:10.1016/j.ecoenv.2020.110728
( 0) |
| [10] |
Hu G C, Zhang M K. Mineralogical evidence for strong cementation of soil particles by iron oxides (In Chinese)[J]. Chinese Journal of Soil Science, 2002, 33(1): 25-27. DOI:10.3321/j.issn:0564-3945.2002.01.007 [氧化铁对土粒强胶结作用的矿物学证据[J]. 土壤通报, 2002, 33(1): 25-27.]
( 0) |
| [11] |
Wang X H, Yang Z J, Liu X F, et al. Effects of different forms of Fe and Al oxides on soil aggregate stability in midsubtropical mountainous area of southern China (In Chinese)[J]. Acta Ecologica Sinica, 2016, 36(9): 2588-2596. [中亚热带山区土壤不同形态铁铝氧化物对团聚体稳定性的影响[J]. 生态学报, 2016, 36(9): 2588-2596.]
( 0) |
| [12] |
Zhang D, Jiang B W, Liang S P, et al. Responsive of aggregate stability of meadow black soil to different tillage practices and carbon-based fertilizers (In Chinese)[J]. Transactions of the Chinese Society of Agricultural Engineering, 2019, 35(14): 125-132. DOI:10.11975/j.issn.1002-6819.2019.14.016 [草甸黑土团聚体稳定性对耕作与炭基肥施用的响应[J]. 农业工程学报, 2019, 35(14): 125-132.]
( 0) |
| [13] |
Zhang W M, Chen W Q, Weng R D, et al.. County-level soil atlas of Fujian Province (In Chinese). Fuzhou: Fujian Province Cartographic Publishing House, 2008: 8-11. [福建省分县土壤图集[M]. 福州: 福建省地图出版社, 2008: 8-11.]
( 0) |
| [14] |
Long X Y, Ji J F, Barrón V, et al. Climatic thresholds for pedogenic iron oxides under aerobic conditions: Processes and their significance in paleoclimate reconstruction[J]. Quaternary Science Reviews, 2016, 150: 264-277. DOI:10.1016/j.quascirev.2016.08.031
( 0) |
| [15] |
Chen J F, Zhu H J.. Studies on mountainous soils in Fujian Province (In Chinese). Beijing: China Environment Science Press, 2001: 41-54. [福建山地土壤研究[M]. 北京: 中国环境科学出版社, 2001: 41-54.]
( 0) |
| [16] |
Lu R K. Analytical methods for soil and agro-chemistry (In Chinese). Beijing: China Agricultural Science and Technology Press, 2000. [土壤农业化学分析方法[M]. 北京: 中国农业科技出版社, 2000.]
( 0) |
| [17] |
Nesbitt H W, Young G M. Early proterozoic climates and plate motions inferred from major element chemistry of lutites[J]. Nature, 1982, 299(5885): 715-717. DOI:10.1038/299715a0
( 0) |
| [18] |
Torrent J, Schwertmann U, Fechter H, et al. Quantitative relationships between soil color and hematite content[J]. Soil Science, 1983, 136(6): 354-358. DOI:10.1097/00010694-198312000-00004
( 0) |
| [19] |
Long X Y, Ji J F, Balsam W. Rainfall-dependent transformations of iron oxides in a tropical saprolite transect of Hainan Island, South China: Spectral and magnetic measurements[J]. Journal of Geophysical Research: Earth Surface, 2011, 116(F3): F03015.
( 0) |
| [20] |
Bigham J M, Golden D C, Buol S W, et al. Iron-oxide mineralogy of well-drained Ultisols and Oxisols: Ⅱ. Influence on color, surface-area, and phosphate retention[J]. Soil Science Society of America Journal, 1978, 42(5): 825-830. DOI:10.2136/sssaj1978.03615995004200050034x
( 0) |
| [21] |
Torrent J, Liu Q S, Bloemendal J, et al. Magnetic enhancement and iron oxides in the upper Luochuan loess-paleosol sequence, Chinese Loess Plateau[J]. Soil Science Society of America Journal, 2007, 71(5): 1570-1578. DOI:10.2136/sssaj2006.0328
( 0) |
| [22] |
Yi Y L, Liu X Y, Zhang D G, et al.. Research methods of soil physics (In Chinese). Beijing: Peking University Press, 2009: 59-62. [土壤物理研究法[M]. 北京: 北京大学出版社, 2009: 59-62.]
( 0) |
| [23] |
Perri F. Chemical weathering of crystalline rocks in contrasting climatic conditions using geochemical proxies: An overview[J]. Palaeogeography, Palaeoclimatology, Palaeoecology, 2020, 556: 109873. DOI:10.1016/j.palaeo.2020.109873
( 0) |
| [24] |
Huang X L, Jiang H, Li Y, et al. The role of poorly crystalline iron oxides in the stability of soil aggregate-associated organic carbon in a rice–wheat cropping system[J]. Geoderma, 2016, 279: 1-10. DOI:10.1016/j.geoderma.2016.05.011
( 0) |
| [25] |
Liu Z Y, Gao Z, Wang Y L, et al. Effect of conversion of upland into paddy field on content of carbon in soil aggregates along soil profile of red soil in critical red soil zone (In Chinese)[J]. Acta Pedologica Sinica, 2019, 56(6): 1526-1535. [旱地转变为稻田对关键带红壤剖面土壤团聚体碳含量的影响[J]. 土壤学报, 2019, 56(6): 1526-1535.]
( 0) |
| [26] |
Ma L, Xu R K. Physico-chemical characteristics of paddy soils derived from quaternary red clay under different cultivated years (In Chinese)[J]. Soils, 2010, 42(4): 560-563. [不同耕种年限红壤性水稻土理化性质的变化特征[J]. 土壤, 2010, 42(4): 560-563.]
( 0) |
| [27] |
Schwertmann U. Transformation of hematite to goethite in soils[J]. Nature, 1971, 232(5313): 624-625. DOI:10.1038/232624a0
( 0) |
| [28] |
Van Ranst E, Padmanabhan E, Vandenberghe R E, et al. Yellowing of a red south African kandiudult, studied by means of mössbauer spectroscopy[J]. Soil Science, 2016, 181(2): 75-81. DOI:10.1097/SS.0000000000000143
( 0) |
| [29] |
Melo V F, de Oliveira Jr J C, Batista A H, et al. Goethite and hematite in bichromic soil profiles of southern Brazil: Xanthization or yellowing process[J]. Catena, 2020, 188: 104445. DOI:10.1016/j.catena.2019.104445
( 0) |
| [30] |
Xue B, Huang L, Huang Y N, et al. Effects of organic carbon and iron oxides on soil aggregate stability under different tillage systems in a rice-rape cropping system[J]. Catena, 2019, 177: 1-12. DOI:10.1016/j.catena.2019.01.035
( 0) |
| [31] |
Zhang T, Sun Y Y, Zhang S H, et al. The changed mechanism of stability of ferrihydrite and the effect of environment factors (In Chinese)[J]. Journal of Guizhou Normal University(Natural Sciences), 2019, 37(6): 107-113. [水铁矿稳定性的变化机制及环境条件的影响[J]. 贵州师范大学学报(自然科学版), 2019, 37(6): 107-113.]
( 0) |
| [32] |
Wang X B, Cai D X, Zhang Z T, et al. Fertilizer, retention and their movement (In Chinese)[J]. Agricultural Research in the Arid Areas, 1997, 15(1): 67-71. [土壤颗粒大小对水、肥保持和运移的影响[J]. 干旱地区农业研究, 1997, 15(1): 67-71.]
( 0) |
| [33] |
Michalet R, Guillet B, Souchier B. Hematite identification in pseudo-particles of Moroccan rubified soils[J]. Clay Minerals, 1993, 28(2): 233-242. DOI:10.1180/claymin.1993.028.2.05
( 0) |
| [34] |
Zhao J S, Chen S, Hu R G, et al. Aggregate stability and size distribution of red soils under different land uses integrally regulated by soil organic matter, and iron and aluminum oxides[J]. Soil and Tillage Research, 2017, 167: 73-79. DOI:10.1016/j.still.2016.11.007
( 0) |
| [35] |
郑晓萍. 表征富铁土土壤侵蚀的团聚体稳定性及其物理学机制研究[D]. 杭州: 浙江大学, 2002. Zheng X P. Soil aggregate stability of ferrisol and its physical mechanism[D]. Hangzhou: Zhejiang University, 2002 ( 0) |
| [36] |
Breuer J, Schwertmann U. Changes to hardsetting properties of soil by addition of metal hydroxides[J]. European Journal of Soil Science, 1999, 50(4): 657-664. DOI:10.1046/j.1365-2389.1999.00259.x
( 0) |
| [37] |
Zhao Y P, Meng M J, Zhang J C, et al. Relationship between soil aggregate stability and different forms of Fe and Al oxides in different forest types (In Chinese)[J]. Bulletin of Soil and Water Conservation, 2018, 38(4): 75-81. [不同林地类型土壤团聚体稳定性与铁铝氧化物的关系[J]. 水土保持通报, 2018, 38(4): 75-81.]
( 0) |
| [38] |
陈山. 不同利用方式土壤团聚体稳定性及其与有机质和铁铝氧化物的关系[D]. 武汉: 华中农业大学, 2012. Chen S. Stability of soil aggregates under different land use patterns and its relationships with organic matter and iron-aluminum oxides[D]. Wuhan: Huazhong Agricultural University, 2012 ( 0) |
| [39] |
Jozefaciuk G, Czachor H. Impact of organic matter, iron oxides, alumina, silica and drying on mechanical and water stability of artificial soil aggregates. Assessment of new method to study water stability[J]. Geoderma, 2014, 221/222: 1-10. DOI:10.1016/j.geoderma.2014.01.020
( 0) |
2022, Vol. 59



0)