2. 中国林业科学研究院林业研究所, 北京 100091;
3. 贵州大学土壤侵蚀与生态修复研究中心, 贵阳 550025
2. Research Institute of Forestry, Chinese Academy of Forestry, Beijing 100091, China;
3. Research Centre for Soil Erosion & Eco-Restoration Sciences, Guizhou University, Guiyang 550025, China
在喀斯特地区,石漠化坡地土壤、岩石呈镶嵌分布特征。从其分布特征来看,主要可划分为三种典型类型:(1)地表土层连续,但土层较薄,岩石尚未露出地表;(2)地表土层不连续,部分基岩露出地表;(3)地表土层连续,岩石覆盖在地表。在降雨侵蚀过程中,上述类型坡地的土壤侵蚀过程与机理和常态地貌区的存在明显不同。尽管目前已有关于砾石对坡面水土流失影响的研究,如Poesen和Ingelmo-Sanchez[1],Liu和She等[2]研究了砾石覆盖度对土壤结皮和径流的影响;Poesen和Lavee[3]研究了砾石在土壤中不同分布方式对土壤侵蚀的影响;赵满等[4]研究了砾石含量对塿土堆积体坡面径流和侵蚀特征的影响。但这些研究条件与喀斯特石漠化坡地土岩镶嵌组构存在较大差异。
降雨是土壤侵蚀的重要影响因素之一。随全球气候的变化,极端降雨事件频发,降雨集中且降雨强度大。近年来,随着人们对土壤侵蚀机理研究的深入,也发现多场次降雨对土壤侵蚀的影响有别于单场次降雨对坡面土壤侵蚀的影响,关于多场次降雨条件下土壤侵蚀的研究也逐渐增多[5],如多场次降雨条件下,坡面产流时间显著提前,具体表现为后两场降雨的产流时间远小于首场;同一砾石含量,三场降雨下产流率随时间的变化过程有显著差异[6];蒋芳市等[7]指出,各降雨强度条件下,沟头溯源作用、细沟平均宽度及深度均随着降雨场次的增加而增加;沈海鸥等[8]研究发现,与第一场降雨相比,第二场降雨细沟的平均宽度、深度和坡面细沟侵蚀平均深度均增加;李毅和邵明安[9]研究了间歇降雨和多场次降雨条件下黄土坡面土壤水分入渗特性。郑子成等[10]研究结果显示,在前两次降雨作用下,坡面的产流量与产沙量随地表糙度的增加而逐渐减小。由此可见,多场次降雨增强了细沟侵蚀,并且影响坡面的产流时间以及产流率的变化;同时,径流量的多少与降雨场次有直接关系。
以上分析表明,降雨场次对土壤侵蚀的影响受到人们的关注。喀斯特地区属于亚热带湿润季风气候区,降雨丰沛,多场次降雨发生频率高[11]。然而当前研究多集中于多场次降雨对均质土壤的影响[12-14],而多场次降雨对异质性土壤的研究较少,尤其是对不同土岩镶嵌坡面土壤侵蚀的研究鲜见报道。
鉴于此,本文通过人工模拟降雨的方法,以三类土岩镶嵌坡面为研究对象,即岩石嵌入土层,未露出地表(全埋);岩石嵌入土层,露出地表(半埋)和岩石未嵌入土层,覆盖在地表(覆盖),进行多场次降雨侵蚀试验,以期为喀斯特坡地水土流失过程与机理认识提供科学依据。
1 材料与方法 1.1 供试土壤试验土壤取自贵州省花溪区(26°28′32″N,106°42′02″E)坡耕地0~20 cm的耕作表土,土壤类型为黄壤,是贵州省主要土壤类型之一,土壤呈酸性,黏性较强。土壤自野外坡耕地取回后,经晾晒风干,过5 mm孔径筛,以去除土壤中的石块、大块土壤及动植物残体,试验时所用土壤含水量在10%左右,其土壤自然容重为1.2 g·cm–3。土壤机械组成为黏粒31.05%,砂粒41.37%,粉粒27.58%,有机质33.94 g·kg–1,全氮1.78 g·kg–1,全磷0.56 g·kg–1[15]。
1.2 试验设计与装置降雨试验于2019年8月—2020年10月在贵州大学南校区内完成。试验采用人工模拟降雨方法,降雨强度为50 mm·h–1,降雨历时为90 min。在喀斯特坡地上基岩与土壤镶嵌分布,空间异质性高,其中浅层土壤覆盖在基石表面,基岩部分出露地表以及基岩覆盖在地表的现象比较普遍。因此,依据基岩在土壤中的分布特征,试验设计三种土岩镶嵌处理,分别为全埋、半埋和覆盖。
降雨机采用南林电子生产的NLJY10型下喷式降雨机,由喷头、供水管、水泵和控制器四部分组成,降雨强度通过电磁阀调节喷头开度来实现,降雨强度变化范围为20~150 mm·h–1,有效降雨面积为4 m×4 m,降雨高度为4 m,降雨均匀度>0.80。
试验所用土槽为钢槽,钢槽规格(长×宽×高)为1 m×0.5 m×0.3 m(图 1a)。钢槽下坡设置两个V-型集流口,用于收集地表径流和壤中流;钢槽底部设计24个小孔(ϕ1 cm),用于收集地下径流。本研究试验坡度为25°。
|
注:①②③分别表示地表径流、壤中流和地下径流;FE、PE和RC分别表示全埋、半埋和覆盖。 Note: ①②③ represent the "surface runoff", "interflow" and "underground runoff", respectively; FE, PE and RC represent "rock fully embedded in soil", "rock partly embedded in soil" and "rock cover on soil", respectively. 图 1 试验钢槽(a)及岩石模型(b) Fig. 1 Test the steel tank(a)and rock model(b) |
试验土槽中三种土岩镶嵌处理模拟如下:(1)对于全埋处理,先将岩石固定在钢槽底部中心位置,后将土壤装入土槽,以模拟岩石嵌入土层,未出露地表的石漠化微地形;(2)对于半埋处理,除采用的岩石大小不同外,土槽填装方法与全埋相同,以模拟岩石嵌入土层,露出地表的石漠化微地形;(3)对于覆盖处理,先将土壤填装在土槽中,后将岩石覆盖在土壤表层,以模拟岩石未嵌入土层,覆盖在地表的石漠化微地形。本研究中三种土岩镶嵌处理土槽中土壤容重均为1.20 g·cm–3,土壤深度为20 cm,为实现该目的,在填装过程中土壤分四层填装,每层5 cm。同时,为保证三种土岩镶嵌处理具有相同的岩土比(3:25),在全埋、半埋和覆盖处理中采用投影面积相同,但高度不同的岩石模型(图 1b)。
1.3 降雨试验在土壤填装完成后,先利用20 mm·h–1的降雨强度预降雨30 min,之后将土槽在室内静置12 h,以降低土壤准备对研究结果的影响。
在正式降雨前先将装填好的钢槽用防水布遮盖,将降雨强度调至50 mm·h–1进行降雨强度校对,确保误差小于5%。降雨强度达到要求后撤掉防水布,并开始记录降雨时间。当各径流收集口开始产流时记录其初始产流时间,并开始收集径流泥沙样。此后每2 min更换一次样品收集瓶。样品收集瓶为大口塑料瓶(1 000 mL),半透明,带刻度,平均皮重60 g。降雨历时90 min。降雨试验结束后先对样品进行称重,记录样品重量,后将样品在室内静置12 h左右,倒去上清液,将底部泥沙倒入不锈钢钢杯(300 mL,平均皮重120 g)在烘箱中烘干(105℃,8 h)。试验后,基于以上烘干土壤、样品重量及容器皮重可计算得到产流量和产沙量等数据。在第一场降雨试验结束24 h后,进行第二场降雨,采用同样的试验方法,直到完成全部四场降雨试验,相邻两次降雨间隔时间均为24 h。
1.4 数据处理通过Excel 2010处理每场降雨的平均初始产流时间、平均径流率、径流总量及产沙量,并绘制图表,其中径流率和产沙量采用Origin 2017作图。采用SPSS 20.0对数据进行单因素方差分析。
2 结果 2.1 初始产流时间多场次降雨条件下,各径流初始产流时间变化见表 1。可以看出,多场次降雨显著改变了地表径流和壤中流的初始产流时间,并且在第一场降雨中表现最为显著。全埋第二、三、四场降雨的地表径流和壤中流初始产流时间分别较第一场降雨提前了约5~6 min和10~12 min;半埋第二、三、四场降雨的地表径流和壤中流初始产流时间分别较第一场降雨提前了约8~9 min和8~12 min;覆盖第二、三、四场降雨地表初始产流时间较第一场降雨提前了约7~9 min,壤中流初始产流时间则提前了约12~16 min。可见,相对于第一场降雨,三种坡面的第二、三、四场降雨明显提前了地表径流和壤中流的初始产流时间,且第一场降雨与第二、三、四场降雨的初始产流时间有显著性差异(P < 0.05)。究其原因,一方面在第一场降雨时,土壤有较高的渗透率,降雨以入渗为主,地表径流和壤中流的产流时间长,随着多场次降雨的进行,土壤含水量增大或达到饱和,从而使第二、三、四场降雨的地表径流和壤中流初始产流时间明显提前,这与前人的研究结果一致[16]。另一方面,随降雨场次的增加,地表接受雨滴作用的强度也逐渐增加,导致地表土壤颗粒在短时间内被打击分散成更细的土壤颗粒,造成土壤孔隙被阻塞,形成土壤结皮[17],土壤结皮改变了降雨的产流时间,使得坡面地表产流时间提前[18]。
|
|
表 1 多场次降雨条件下不同土岩镶嵌坡面径流初始产流时间 Table 1 The initial flow time of different soil and rock mosaic slopes under the condition of successive rainfalls |
多场次降雨条件下,三类土岩镶嵌坡面的径流总量不同。由表 2可知,全埋、半埋和覆盖第二,三,四场降雨的地表径流量均较第一场降雨的大,且是第一场降雨的1.68倍~14.04倍;四场降雨条件下,壤中流和地下径流量随产流时间均呈现先增大后减小的特征。主要是因为,在第一场降雨时,土壤含水量低,并且岩石的拦截和聚集效应降低了地表径流的流速[19],促进了降雨的入渗,地表径流量最小,随多场降雨的进行,土壤含水量增高,前一场降雨为后一场降雨存贮了水量,后一场降雨更易形成地表径流且流量增大。另一方面,由于地表发生结皮,结皮过程伴随着土壤入渗减少以及地表径流的增大[20],壤中流和地下径流量则减小。
|
|
表 2 多场次降雨条件下不同土岩镶嵌坡面的径流总量 Table 2 The total runoff of different soil and rock mosaic slopes under the condition of successive rainfalls |
此外,在第一、二场降雨中,半埋地表径流量最小,而第三、四场降雨中,地表径流量表现为半埋 > 全埋 > 覆盖,由此可知,多场次降雨下,岩石嵌入土壤增加了地表径流的产生,而岩石覆盖则相反。分析原因认为:第一,在第一、二场降雨中,半埋坡面的土壤与岩石之间存在缝隙,对水分入渗有促进作用,降雨沿缝隙向深层流动,形成壤中流以及地下径流,而参与地表径流的降雨量相对较少,此时,岩石的嵌入对坡面起到了保护作用,减少了雨滴的直接打击,阻碍了地表结皮的过程,抑制了地表径流的产生。第二,覆盖为均质土壤,与之相比,全埋和半埋土壤中岩石的存在增加了土壤不透水断面的面积,阻碍了土壤水分入渗,使地表径流量增大。除此之外,经过多场次降雨,岩石与土壤之间的缝隙可能被泥沙填充,缝隙被堵塞,从而减少了降雨的入渗,这也使半埋的岩石流[21]无法入渗而转化为地表径流,所以半埋的地表径流量最大。总之,在多场次降雨条件下,岩石嵌入土壤增加了地表径流。这与Poesen等[22]和Valentin [23]证明的砾石嵌入土壤的径流量较砾石覆盖在地表的径流量大的结论相似。
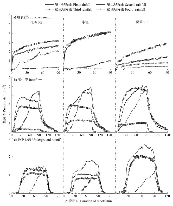
2.3 产流特征坡面径流是造成坡面水土流失的主要原因[24],因此研究坡面径流的变化规律,对于了解坡面侵蚀过程至关重要。由图 2a)可知,全埋,半埋和覆盖在第一场降雨时,地表径流率缓慢增加并趋于稳定,其稳定值分别为0.5 mL·s–1、0.4 mL·s–1和0.2 mL·s–1;第二场降雨时,全埋地表径流率快速增加,半埋地表径流率在60 min之前稳定在0.3 mL·s–1左右,在60~90 min之间有小幅度上升;覆盖地表径流则是先增加后稳定的趋势,稳定值约0.7 mL·s–1;第三场降雨时,全埋、半埋和覆盖地表径流率是先增加后稳定的趋势,其大小关系为半埋 > 全埋 > 覆盖;第四场降雨时,除覆盖地表径流率是缓慢增加之外,全埋和半埋地表径流率变化趋势以及三种坡面径流率的大小均与第三场降雨相似。因此,整体来看,与岩石覆盖相比,在多场次降雨条件下,岩石嵌入土壤增大了地表径流率。
|
图 2 多场次降雨条件不同土岩镶嵌坡面径流率变化过程 Fig. 2 The runoff rate change process of different soil and rock mosaic slopes under the condition of successive rainfalls |
分析其原因,第一,在第一场降雨中,土壤含水量小,为降雨浸润土壤和岩石的过程,与覆盖相比,半埋还有部分岩石嵌入土壤,岩石与土壤之间可能存在缝隙,降雨沿缝隙向下运动并浸润岩石,降雨转化为地表径流量减小,地表径流率减小。第二,在多场次降雨条件下,与覆盖相比,半埋坡面岩石与土壤之间的缝隙可能被泥沙填充,降雨入渗量减小,降雨转化为地表径流量增大,地表径流率增大。全埋地表无岩石覆盖,雨滴直接击打土壤表面,经多场次降雨,地表易形成结皮,土壤入渗减小,地表径流率增大。程琴娟等[25]也表明,在降雨过程中,雨滴对土壤颗粒具有分散作用,同时也使土壤孔隙被细小颗粒填充,在地表形成结皮层,土壤入渗逐渐减少,径流率不断上升。
如图 2b)和图 2c),在第一场降雨过程中,全埋坡面的壤中流径流率以及地下径流率均呈单峰型变化。在0~90 min之间径流率呈快速增大趋势,在90 min时达到最大值,分别为4.5 mL·s–1和1.2 mL·s–1,在降雨停止后,由于缺少降雨的补充,径流率开始逐渐减小。第二、三、四场降雨的径流率则是先增加后稳定最后再减小的过程,且在稳定之前呈指数增长,降雨停止后逐渐减小。其中,壤中流径流率的稳定值分别约3.50 mL·s–1,2.50 mL·s–1和0.30 mL·s–1,地下径流率稳定值约1.30 mL·s–1,1.20 mL·s–1和1.00 mL·s–1。对于半埋和覆盖坡面壤中流和地下径流的径流率而言,其变化趋势与全埋相似,均是随降雨场次的增多而减小。然而,第一场降雨的壤中流和地下径流的径流率变化趋势不同于第二、三、四场降雨,这可能是因为,在第一场降雨时土壤含水量还未达到饱和状态,在降雨停止后,缺少雨水供给,径流率迅速减小;第二、三、四场降雨均是在前一场降雨的条件下进行的,土壤含水量接近或达到饱和,降雨入渗达到稳定,径流率趋于稳定值。
此外,相较于覆盖坡面壤中流和地下径流的径流率,全埋和半埋坡面径流率减小更明显。分析认为,第一,在多场次降雨条件下,土壤含水量接近饱和并且地表发生结皮,结皮过程使土壤入渗减小[20],减小了降雨的入渗,壤中流和地下径流的径流率变小;第二,与覆盖相比,全埋和半埋的土壤与岩石结合不紧密而形成裂隙,裂隙的存在促进了降雨的下渗,从而导致壤中流和地下径流的径流率增大,但同时入渗路径的弯曲度和不透水断面积增加,抑制了降雨入渗[26],随多场次降雨的进行,当抑制作用大于促进作用时,壤中流和地下径流的径流率明显减小。
2.4 产沙特征坡面径流是造成坡地水土流失的主要原因[24],产沙量是衡量坡地土壤侵蚀作用的重要指标之一[27]。在本实验条件下,主要分析地表产沙特征。由图 3可知,全埋坡面第二、三、四场降雨的地表产沙量分别是第一场降雨的11.14倍、20.07倍和20.28倍;半埋第二、三、四场降雨的产沙量分别是第一场降雨的21.52倍、60.77倍和69.74倍;覆盖第二、三、四场降雨的产沙量分别是第一场降雨的2.44倍、6.07倍和13.80倍,说明坡面产沙量随着降雨场次的增加而增大。这是因为,地表产沙量由地表径流量所决定,第一场降雨时地表径流量较小,其携带泥沙能力也较小,地表产沙量低,随降雨场次的增加,地表径流量增大,从而增大了径流对土壤剥蚀搬运的能力,所以地表产沙量也随之增大。
|
图 3 多场次降雨条件下不同土岩镶嵌坡面的地表产沙量 Fig. 3 Surface sediment yield of different soil and rock mosaic slopes under the condition of successive rainfalls |
除此之外,在第二、三、四场降雨中,地表产沙量体现为半埋 > 全埋 > 覆盖,半埋地表产沙量分别是全埋和覆盖的1.04倍~1.85倍和2.43倍~4.82倍。在多场次降雨条件下,全埋和半埋增加了土壤侵蚀,而覆盖具有减缓水土流失的作用。Descroix等[28]和Gong等[29]研究表明,嵌入土壤的砾石加速了水土流失过程,增加了土壤侵蚀,这与本研究结果相似。产生这一结果有以下两个原因:第一,在第一场降雨中,相对而言覆盖为均质土壤,而全埋和半埋为非均质土壤,岩石的存在改变了土壤水文特征,如岩石与土壤之间的缝隙,增大了降雨入渗,地表径流量减小,径流携带泥沙能力减弱。此外,覆盖岩石还可以保护地表土壤免受雨滴冲击并拦截地表径流[30],这进一步降低了地表径流携带泥沙的能力[31],同时,Figueiredo和Poesen[32]也证明了岩石覆盖在地表较岩石嵌入土壤的地表径流量小,故地表径流的侵蚀能力较弱,地表产沙量少。第二,随着降雨场次的增加,全埋和半埋岩土之间的缝隙会被泥沙填充,缝隙被堵塞,同时岩石阻挡部分土壤水向下运移,这均使降雨入渗减小,地表径流增大。此外,由于半埋坡面裸露岩石上径流的连续性[33],以及岩石汇流作用,最终导致半埋较全埋的径流量大,这也提高了半埋地表径流对土壤的搬运和剥蚀能力,加速了坡面的水土流失。
3 结论本文采用人工模拟降雨方法,研究了四场次降雨条件下(每场间隔24 h)三类土岩镶嵌坡面的土壤侵蚀特征,取得如下主要结论:随着降雨场次的增加,不同土岩镶嵌坡面产流产沙对降雨侵蚀的响应特征具有一定差异。与岩石覆盖相比,岩石嵌入土壤增加了(全埋和半埋)地表产流量和产沙量。随着降雨场次的增加,全埋、半埋和覆盖地表径流量增大,而壤中流量和地下径流量呈先增大后减小的特征。在多场次降雨条件下,受前期降雨影响土壤含水量增加大,导致土壤渗透能力减小,故随降雨场次的增加,地表径流和壤中流初始产流时间提前。但是,因土岩界面的影响,地下径流初始产流时间无明显规律。可见,在当前气候变化背景下,喀斯特石漠化区坡地土壤侵蚀可能会随着高频次极端降雨事件的发生而增强。因此,在今后的研究中需加强对不同土壤镶嵌坡面在极端条件下土壤侵蚀规律研究,为石漠化地区水土保持提供科学依据。
| [1] |
Poesen J, Ingelmo-Sanchez F. Runoff and sediment yield from topsoils with different porosity as affected by rock fragment cover and position[J]. Catena, 1992, 19(5): 451-474. DOI:10.1016/0341-8162(92)90044-C
( 0) |
| [2] |
Liu D D, She D L. Can rock fragment cover maintain soil and water for saline-sodic soil slopes under coastal reclamation?[J]. Catena, 2017, 151: 213-224. DOI:10.1016/j.catena.2016.12.020
( 0) |
| [3] |
Poesen J, Lavee H. Rock fragments in top soils: Significance and processes[J]. Catena, 1994, 23(1/2): 1-28.
( 0) |
| [4] |
Zhao M, Wang W L, Guo M M, et al. Erosion of slopes of Lou soil stacks different in gravel content (In Chinese)[J]. Acta Pedologica Sinica, 2020, 57(5): 1166-1176. [赵满, 王文龙, 郭明明, 等. 不同砾石含量塿土堆积体坡面侵蚀特征研究[J]. 土壤学报, 2020, 57(5): 1166-1176.]
( 0) |
| [5] |
Zhang H, Li P, Tang S S, et al. Experimental study on runoff and sediment yield characteristics on sand-covered slope under the condition of repetitive rainfall (In Chinese)[J]. Journal of Sediment Research, 2016(6): 59-65. [张辉, 李鹏, 汤珊珊, 等. 多场次降雨条件下覆沙坡面的径流产沙特性试验研究[J]. 泥沙研究, 2016(6): 59-65.]
( 0) |
| [6] |
Lü J R, Zhang W B, Hu J S, et al. Effects of rock fragment content on erosion characteristics of spoil heaps under multiple rainfall events (In Chinese)[J]. Advances in Water Science, 2019, 30(2): 210-219. [吕佼容, 张文博, 胡锦昇, 等. 连续降雨下不同砾石含量工程堆积体土壤侵蚀[J]. 水科学进展, 2019, 30(2): 210-219.]
( 0) |
| [7] |
Jiang F S, Huang Y H, Lin J S, et al. Effects of repetitive rainfalls on rill erosion of colluvial deposit in granite slope collapse (In Chinese)[J]. Science of Soil and Water Conservation, 2014, 12(6): 1-7. DOI:10.3969/j.issn.1672-3007.2014.06.001 [蒋芳市, 黄炎和, 林金石, 等. 多场次降雨对崩岗崩积体细沟侵蚀的影响[J]. 中国水土保持科学, 2014, 12(6): 1-7.]
( 0) |
| [8] |
Shen H O, Zheng F L, Wen L L, et al. An experimental study on rill morphology at loess hillslope (In Chinese)[J]. Acta Ecologica Sinica, 2014, 34(19): 5514-5521. [沈海鸥, 郑粉莉, 温磊磊, 等. 黄土坡面细沟侵蚀形态试验[J]. 生态学报, 2014, 34(19): 5514-5521.]
( 0) |
| [9] |
Li Y, Shao M A. Infiltration characteristics of soil water on loess slope land under intermittent and repetitive rainfall conditions (In Chinese)[J]. Chinese Journal of Applied Ecology, 2008, 19(7): 1511-1516. [李毅, 邵明安. 间歇降雨和多场次降雨条件下黄土坡面土壤水分入渗特性[J]. 应用生态学报, 2008, 19(7): 1511-1516.]
( 0) |
| [10] |
Zheng Z C, He S Q, Wu F Q. Effects of soil surface roughness on sheet erosion and change under different rainfall conditions (In Chinese)[J]. Transactions of the Chinese Society of Agricultural Engineering, 2010, 26(S1): 139-145. [郑子成, 何淑勤, 吴发启. 降雨条件下地表糙度对片蚀的影响及其变化[J]. 农业工程学报, 2010, 26(S1): 139-145.]
( 0) |
| [11] |
Liu K M, Zhou Q W. Study on soil anti-erodibility of typical karst forests (In Chinese)[J]. Acta Ecologica Sinica, 2020, 40(2): 568-577. [刘宽梅, 周秋文. 典型喀斯特森林土壤的抗蚀性[J]. 生态学报, 2020, 40(2): 568-577.]
( 0) |
| [12] |
Liu J T, Sun L Y, Zhang X P, et al. Analysis of two kinds soil rill evolution under the secondary rainfall (In Chinese)[J]. Science of Soil and Water Conservation, 2013, 11(4): 22-29. DOI:10.3969/j.issn.1672-3007.2013.04.004 [刘俊体, 孙莉英, 张学培, 等. 2次降雨条件下不同土壤细沟侵蚀分析[J]. 中国水土保持科学, 2013, 11(4): 22-29.]
( 0) |
| [13] |
Shi P, van Oost K, Schulin R. Dynamics of soil fragment size distribution under successive rainfalls and its implication to size-selective sediment transport and deposition[J]. Geoderma, 2017, 308: 104-111. DOI:10.1016/j.geoderma.2017.08.038
( 0) |
| [14] |
Wang Y F, You W, Fan J, et al. Effects of subsequent rainfall events with different intensities on runoff and erosion in a coarse soil[J]. Catena, 2018, 170: 100-107. DOI:10.1016/j.catena.2018.06.008
( 0) |
| [15] |
Soil General Survey Office of Guizhou Provice. Soil of Guizhou Provice (In Chinese). Guizhou: Guizhou Science and Technology Press, 1991: 1-689. [贵州省土壤普查办公室. 贵州省土壤[M]. 贵州: 贵州科技出版社, 1991: 1-689.]
( 0) |
| [16] |
Wang D J, Shen Y X, Huang J, et al. Rock outcrops redistribute water to nearby soil patches in Karst landscapes[J]. Environmental Science and Pollution Research, 2016, 23(9): 8610-8616. DOI:10.1007/s11356-016-6091-9
( 0) |
| [17] |
Darboux F, Huang C H. Does soil surface roughness increase or decrease water and particle transfers?[J]. Soil Science Society of America Journal, 2005, 69(3): 748-756. DOI:10.2136/sssaj2003.0311
( 0) |
| [18] |
Cheng Q J, Cai Q G. Responses of soil surface crusts on soil erosion in loess under simulated rainfalls (In Chinese)[J]. Journal of Soil and Water Conservation, 2013, 27(4): 73-77. [程琴娟, 蔡强国. 模拟降雨下黄土表土结皮的侵蚀响应[J]. 水土保持学报, 2013, 27(4): 73-77.]
( 0) |
| [19] |
Bou Kheir R, Abdallah C, Khawlie M. Assessing soil erosion in Mediterranean Karst landscapes of Lebanon using remote sensing and GIS[J]. Engineering Geology, 2008, 99(3/4): 239-254.
( 0) |
| [20] |
Chen Z F, Xia Q, Shi D M, et al. Soil surface crust characteristic and response feature to slope erosion base on simulation rainfall (In Chinese)[J]. Journal of Soil and Water Conservation, 2011, 25(4): 6-11. [陈正发, 夏清, 史东梅, 等. 基于模拟降雨的土壤表土结皮特征及坡面侵蚀响应[J]. 水土保持学报, 2011, 25(4): 6-11.]
( 0) |
| [21] |
Katra I, Lavee H, Sarah P. The effect of rock fragment size and position on topsoil moisture on arid and semi-arid hillslopes[J]. Catena, 2008, 72(1): 49-55. DOI:10.1016/j.catena.2007.04.001
( 0) |
| [22] |
Poesen J, Ingelmo-Sanchez F, Mucher H. The hydrological response of soil surfaces to rainfall as affected by cover and position of rock fragments in the top layer[J]. Earth Surface Processes and Landforms, 1990, 15(7): 653-671. DOI:10.1002/esp.3290150707
( 0) |
| [23] |
Valentin C. Surface sealing as affected by various rock fragment covers in West Africa[J]. Catena, 1994, 23(1/2): 87-97.
( 0) |
| [24] |
Yin X A, Fang Q, Yang T H, et al. Effect of simulated corn stem flow on soil erosion (In Chinese)[J]. Journal of Soil and Water Conservation, 2020, 34(3): 67-72. [尹晓爱, 方乾, 杨通杭, 等. 模拟玉米茎秆流对土壤侵蚀的影响[J]. 水土保持学报, 2020, 34(3): 67-72.]
( 0) |
| [25] |
Cheng Q J, Cai Q G, Li J Y. Summarization on study of soil surface crust or sealing and its effects on erosion (In Chinese)[J]. Progress in Geography, 2005, 24(4): 114-122. [程琴娟, 蔡强国, 李家永. 表土结皮发育过程及其侵蚀响应研究进展[J]. 地理科学进展, 2005, 24(4): 114-122.]
( 0) |
| [26] |
Zhou B B, Shao M A, Shao H B. Effects of rock fragments on water movement and solute transport in a Loess Plateau soil[J]. Comptes Rendus Geoscience, 2009, 341(6): 462-472.
( 0) |
| [27] |
Zheng S Q, Zhou P H, Zhou B L. The study on soil anti-scourability in Loess Plateau Gully Region—Setting Xifeng Soil and Water Conservation Station as an example (In Chinese)[J]. Bulletin of Soil and Water Conservation, 1994, 14(1): 12-16. [郑世清, 周佩华, 周保林. 黄土高原沟壑区土壤抗冲性研究——以黄委会西峰水土保持试验站为例[J]. 水土保持通报, 1994, 14(1): 12-16.]
( 0) |
| [28] |
Descroix L, Viramontes D, Vauclin M, et al. Influence of soil surface features and vegetation on runoff and erosion in the Western Sierra Madre(Durango, Northwest Mexico)[J]. Catena, 2001, 43(2): 115-135.
( 0) |
| [29] |
Gong T X, Zhu Y J, Shao M A. Effect of embedded-rock fragments on slope soil erosion during rainfall events under simulated laboratory conditions[J]. Journal of Hydrology, 2018, 563: 811-817.
( 0) |
| [30] |
Zhao Z M, Shen Y X, Shan Z J, et al. Infiltration patterns and ecological function of outcrop runoff in epikarst areas of Southern China[J]. Vadose Zone Journal, 2018, 17(1): 1-10.
( 0) |
| [31] |
Jomaa S, Barry D A, Heng B C P, et al. Influence of rock fragment coverage on soil erosion and hydrological response: Laboratory flume experiments and modeling[J]. Water Resources Research, 2012, 48(5): 213-223.
( 0) |
| [32] |
de Figueiredo T, Poesen J. Effects of surface rock fragment characteristics on interrill runoff and erosion of a silty loam soil[J]. Soil and Tillage Research, 1998, 46(1/2): 81-95.
( 0) |
| [33] |
Wang X Y, Li Z X, Cai C F, et al. Effects of rock fragment cover on hydrological response and soil loss from Regosols in a semi-humid environment in South-West China[J]. Geomorphology, 2012, 151/152: 234-242.
( 0) |
2022, Vol. 59



0)