2. 华中师范大学城市与环境科学学院 武汉 430079
2. College of Urban and Environmental Sciences, Central China Normal University, Wuhan 430079, China
包气带土壤水是地下水-土壤-植被-大气连续体水循环过程的重要载体,是植物根系吸水的主要来源[1]。土壤水分运动是降水/灌溉水沿土壤孔隙渗透至深层或地下水的过程。由于土壤孔隙结构的空间异质性[2],土壤水并非以活塞流的形式沿着土层均匀下渗,而是因根孔、裂隙等大孔隙或湿润锋的不稳定性产生非均匀流动,也称优先流[3]。优先流普遍存在于山地土壤水分入渗过程中,对山区降雨时地表径流与地下水的转化有着深刻影响[4]。
优先流的发生受植被、地形、土壤性质等因素及降雨特征的控制[4]。国内外学者通过野外高频土壤水分监测、染色示踪、地球物理技术探测、原状土柱CT扫描及离子穿透等方法,对优先流的发生条件及路径进行了研究[5-8]。其中,染色示踪法[9]具有成本低、路径直观、试剂易获取、对环境污染小等优点,且随着图像处理技术的改进,染色路径的提取精度也大大提高,因而被越来越多的应用于土壤水分入渗特征研究[10-13]。刘目兴等[14]和Kan等[9]利用染色法研究了三峡山地不同景观单元的优先流特征,发现根孔和裂隙是该地区优先流的主要路径,且不同植被覆盖下的土壤优先流特征存在差异。而赵思远等[15]和苏辉东等[16]在研究崇陵流域土石山区坡面优先流路径时发现,同一坡面上不同坡位的优先流也有显著差异。由于坡面或集水区内优先流的差异与坡位、坡度、剖面土壤结构及植物根系分布密切相关,需要在山地典型集水区内布设实验,研究局地地貌部位与植被覆盖对优先流路径的影响,为坡地水文过程模拟和植被恢复提供依据。
三峡库区位于长江上中游过渡地带,地形以山地为主,生态环境十分脆弱,三峡工程的建设使得该地区生态环境的稳定性遭到破坏;此外,人类不合理的樵采活动使该区森林覆盖率大幅下降,加剧了三峡山地的水土流失现象[17]。据统计,三峡库区年侵蚀量可达1.48×108 t,入江泥沙年均3.5×107 t[18]。优先流可以使雨季的降水迅速运动至根区以下[19],从而减小雨水对于地表的冲刷,降低水土流失的风险。程竞萱等[20]运用主成分分析法对重庆四面山不同植被下的土壤优先流特征进行分析,认为土壤质地、容重、饱和导水率等物理性质和植物根系生长密度对优先流的发育有影响。黄茹等[21]对重庆开县三种不同地形的入渗特征进行了分析,提出坡地是地表径流产生土壤侵蚀的主要地貌单元。刘目兴等[14]发现库首山地不同垂直景观带内优先流路径存在较大差异,林地较耕地更利于优先流路径发育。除植被类型外,不同坡位由于水热条件和侵蚀过程不同,也影响了土壤的形成和发育,造成土壤理化性质的差异,进而影响土壤的水流特征,但现有研究很少考虑坡位要素的影响。因此,本研究在三峡库首大老岭林区的典型集水区内,选择常绿林地、落叶林地、弃耕草地三种典型植被覆盖的坡上、坡下样点进行染色示踪实验,分析不同植被类型和坡位条件下的土壤水分垂直入渗与侧向流动过程,并揭示其影响机制,从而为库区天然林保护与植被恢复提供科学依据。
1 材料与方法 1.1 研究区概况大老岭自然保护区(30°00'13″ N—31°28'30″ N,100°51'8″ E—111°39'30″ E)地处鄂西山地向江汉平原的过渡带,位于湖北省宜昌市长江西陵峡北岸,总面积142.3 km2,海拔1 180~1 310 m,基岩以酸性结晶岩为主。气候属于亚热带季风性湿润气候,四季分明,雨热同期,年均气温16.7℃,平均降水量1 101 mm,平均蒸发量950 mm,> 10℃的积温5 407℃,无霜期283 d。山地气候垂直变化明显,海拔每升高100 m,气温平均下降0.4℃~0.6℃。经过人类长期垦殖和砍伐,该地区原生常绿阔叶林仅存在于陡峭的山脊处,大部分坡地被马尾松(Pinus massoniana Lamb)、杉木(Cunninghamia lanceolate(Lamb.)Hook.)、铁坚油杉(Keteleeria davidiana(Bertr.)Beissn)、栓皮栎(Quercus variablilis Bl.)和板栗(Castanea mollissima)等次生或人工栽种的林木覆盖[22-24]。此外,随着林地保护力度的增大,部分原被开垦为农田的林地被农民撂荒或栽种了人工林木。
本研究在Liu等[25]于大老岭国家森林公园附近典型山地小流域布设的常绿林、乔灌混合落叶林和弃耕草地野外试验区的基础上开展。其中,常绿林为天然林,较少受人为活动干扰;落叶林由当地村民管护,一些直径较大的林木不定期会被村民砍伐利用;弃耕草地原为茶园,在约20年前将茶树移走后弃耕撂荒,现主要生长一年生草本植物。在3种植被覆盖坡面的坡上和坡下位置分别开挖5个左右的土壤剖面以调查土壤分布,依据土壤颜色、质地、紧实度等指标进行初步的土壤分层后,在每个样地选定1个各发生层深度数值范围居中的土壤剖面开展土壤样品采集和染色示踪实验;各样地详细描述信息见文献[25]。
1.2 染色示踪实验与图像分析在染色示踪实验前清除样地表层枯枝落叶,然后用木槌将长、宽、高分别为2.0 m、1.0 m和0.3 m的铝制三边框顺着坡面方向垂直敲入土壤中(开口向下),使其嵌入土壤0.15 m深(图 1)。然后将1张高度为0.3 m的铝制直板在距上边框1.0 m处的铝框包围范围内垂直砸入土壤0.05 m深。为防止染液通过铝框边缝侧向渗漏,夯实铝框两侧松动的土壤。至此,分别形成1个由四边铝框包围的区域和1个由三边铝框包围的区域。四边铝框包围的区域(1.0 m×1.0 m)为染液喷洒区,主要用于研究垂向水流;三边铝框包围的区域不喷洒染液,但上方喷洒的染液可以流动至该区域,用于研究侧向水流。
|
图 1 染色剖面的获取和图像分析 Fig. 1 Scheme of dye tracing experiment and image analysis process |
配兑浓度为4 g·L–1的亮蓝溶液300 L用于6个样点的染色示踪实验。使用模拟降雨装置,在四边铝框包围的区域均匀喷洒50 L亮蓝溶液,模拟降雨强度为50 mm·h–1。喷洒结束后在铝框上方覆盖塑料薄膜以减少水分蒸发。24 h后取出铝框,以10 cm宽度为间隔,在铝框范围内自铝框上边缘向坡下方向,依次挖掘垂直剖面,垂直和水平方向均直至无亮蓝染色路径出现为止。开挖的剖面修整平坦后,以钢卷尺为标尺,在遮光条件下用分辨率为4 288×2 848的Pentax KR数码相机对各个染色剖面进行拍照。每个样地获取10个垂直染色剖面和1~5个侧向染色剖面照片。将染色照片带回室内分析,具体操作步骤如图 1所示。
待染色区域提取完成后,将二值化图像导入MATLAB中运算生成土壤的染色面积比(SAR)、染色路径数(SPN)、染色路径宽度(SPW)这三个表征优先流形态特征的数据。其中SAR是指剖面染色面积占剖面总面积的百分比,SPN是指每行像元中独立的染色路径数量,SPW是指每条独立染色路径的实际水平宽度[26]。该数据为以像元表示的数据矩阵,1个像元格为0.02 cm。
1.3 土壤理化性质测定染色实验结束后,分别在6个铝框上缘继续挖取垂直剖面,在确定土壤分层信息后分层采集原状土样(100 cm3环刀)和扰动土样,每层取10个重复原状土样和3个重复扰动土样。将所有样品带回实验室,用烘干法测定土壤容重,定水头法测定土壤饱和导水率,扰动土风干过筛后用吸管法测定土壤机械组成,重铬酸钾氧化法测定土壤有机质含量[27],土壤性质结果见表 1。
|
|
表 1 不同样地的土壤理化性质[28] Table 1 Soil physical and chemical properties at different sampling sites |
结合土壤质地与实际染色特征参数,确定研究区土壤的SPW划分范围为 < 1 cm、1~10 cm和 > 10 cm。在计算不同SPW的占比后,参照Weiler和Flühler[29]的土壤水流类型划分标准进行各剖面水流类型的划分(表 2)。
|
|
表 2 土壤水流类型的判断标准 Table 2 Threshold indices for identifying soil infiltration pattern |
使用Excel 2016处理实验数据,计算均值和标准差,使用SPSS 22软件进行单因素方差分析(One-way ANOVA)和Pearson相关分析,使用Origin9.1软件绘制染色参数分布图。
2 结果 2.1 土壤垂直剖面SARSAR随土层深度变化,整体呈现先增大后减小的趋势,但不同植被覆盖和坡位条件下存在显著差异(图 2)。SAR最大值出现在5~25 cm深度范围,但不同样点SAR最大值出现的深度存在差异;常绿林坡上出现在20~25 cm,常绿林坡下和落叶林坡地出现在8~15 cm,弃耕坡地最浅,出现在5~7 cm。不同植被覆盖的坡地0~60 cm土层SAR表现为落叶林坡地(44.2%) > 弃耕坡地(36.1%) > 常绿林坡地(35.3%)。不同坡位的SAR相比,常绿林坡下0~20 cm土层的SAR大于坡上,20 cm以下差异较小;除0~10 cm土层外,落叶林坡上的SAR始终大于坡下;弃耕坡地15~37 cm土层的SAR表现为坡上更高,其他土层坡上、坡下的SAR相近。所有样点的染色区域主要分布在0~60 cm土层,其染色面积占整个剖面染色面积的92.4 %~100 %,其中常绿林地染色区域全部集中在60 cm以内。
|
图 2 不同样点土壤剖面染色面积比 Fig. 2 Vertical distribution of stained area ratio of soil profiles at different sampling sites |
根据土壤发生层深度与剖面染色特征,从0~20 cm、20~60 cm和60~110 cm三个土层深度统计各样点不同水流特征参数(表 3)。方差分析结果表明,0~20 cm土层的SAR差异最为显著(P < 0.05),表现为常绿林坡上SAR最小(48.3%),显著低于其他所有样点,其次为落叶林坡下(67.7%)和常绿林坡下(74.3%),显著低于落叶林坡上(84.7%)、弃耕坡上(83.9%)和坡下(76.8%)。20~60 cm土层表现为落叶林坡上SAR最大(37.5%),弃耕地坡下最小(9.6%),而其他样地无显著差异。60 cm以下土层表现为落叶坡上样点SAR(5.2%)显著高于其他样点,而其他样点无显著差异。
|
|
表 3 不同土层的染色特征参数 Table 3 Dyeing characteristic parameters of different soil horizons |
SPN随土层深度变化,但不同植被覆盖的坡地呈现不同的变化趋势。各样点SPN分析显示(图 3),常绿林坡地和弃耕坡地的SPN整体上随深度的增加逐渐减少,40 cm深度以上染色路径数趋于0。落叶林坡地SPN随深度的增加整体呈现出先增加后减少的趋势。各样点SPN最大值出现的深度不同,常绿林坡上和坡下、落叶林坡下、弃耕地坡上的SPN最大值均出现在表层,落叶林坡上和弃耕地坡下则出现在35~45 cm和15~20 cm土层。不同植被覆盖的坡地相比较,0~60 cm深度范围内平均SPN表现为落叶林地(43条) > 常绿林地(19条) > 弃耕坡地(15条)。不同坡位相比较,0~60 cm深度范围内平均SPN为坡下(28条) > 坡上(23条),但不同植被覆盖的坡上与坡下SPN差异不同,落叶林坡上、坡下的SPN差异要明显大于常绿林和弃耕地。
|
图 3 不同样点土壤剖面染色路径数 Fig. 3 Vertical distribution of stained path number of soil profiles at different sampling sites |
方差分析结果表明(表 3),不同深度各样点SPN具有显著差异。0~20 cm土层表现为落叶坡下最高(71)、落叶坡上最低(16),其他4个样点之间无显著差异;20~60 cm土层表现为落叶坡上最高(51),其次为落叶坡下(33),其他样点SPN均较低;60 cm以下土层表现为落叶坡上(10)显著高于其他样地,而其他样地之间无显著差异。
2.3 不同SPW分布及水流类型划分图 4表明,各样点的剖面SPW以1~10 cm和 > 10 cm为主,两种宽度的染色路径面积占剖面总染色面积的84.2%。除弃耕地坡上1~10 cm宽度的染色路径面积占比最高、> 10 cm宽度占比最低外,其他样地均为宽度 > 10 cm的染色路径面积占比最高、1~10 cm其次、< 1 cm最少。在SAR较大的0~60 cm土层中,SPW以1~10 cm和 > 10 cm为主,二者分别占该深度总染色面积的42.8%和41.8%,而弃耕坡上 > 10 cm的染色路径面积仅占6.9%。在60~110 cm土层,落叶林地的SPW以 < 1 cm和1~10 cm为主,其染色面积占比达到98.5%以上。不同坡位比较,各样地上只有 < 1 cm的SPW在不同深度表现为坡上大于坡下,而1~10 cm和 > 10 cm的SPW在坡上、坡下之间没有显著差异。
|
图 4 不同实验样点土壤剖面染色路径宽度 Fig. 4 Vertical distribution of stained area ratio with a different stained path width of soil profiles at different sampling sites |
方差分析结果表明(表 3),不同深度各样点SPW占比具有显著差异。0~20 cm土层SPW < 1 cm的染色路径面积占比在落叶林坡上和坡下均较小,在弃耕地坡上最大,SPW为1~10 cm的染色路径面积占比在弃耕地坡上最大,SPW > 10 cm的染色路径面积占比在落叶林坡上和坡下均较大,其次为常绿坡下和弃耕地坡下,常绿坡上和弃耕地坡上均较小。20~60 cm土层SPW < 1 cm的染色路径面积占比在落叶坡上和弃耕地坡上均较大,其他样点之间无显著差异,SPW为1~10 cm的染色路径面积占比在落叶坡上最大,其他样地之间无显著差异,SPW > 10 cm的染色路径面积占比在常绿林地坡上和坡下均较大,其次为落叶林坡上,弃耕坡地最小。60 cm以下土层SPW < 1 cm的染色路径面积占比和1~10 cm的染色路径面积占比均表现为落叶坡上显著高于其他样地,而SPW > 10 cm的染色路径面积占比在各样点之间无显著差异。
剖面水流类型分析结果(图 5)显示,除常绿林坡下和弃耕地坡上无均质流外,6种水流类型在所有样点均有分布。均质流和非均质指流主要分布在0~30 cm土层,30 cm以下表现为不同类型的大孔隙流交替分布。常绿林地和落叶林地的水流类型具有相似特征,表现为常绿林地0~40 cm土层以非均质指流为主,40~60 cm土层则以混合作用大孔隙流和高相互作用大孔隙流为主。落叶林地0~30 cm土层自上而下分布着均质流和非均质指流,30 cm以下则主要为混合作用大孔隙流和低相互作用大孔隙流交替分布。弃耕坡上、坡下0~20 cm土层优先流类型差异较大,坡上位点无均质流和非均质指流分布,20 cm以下表现为混合作用大孔隙流和低相互作用大孔隙流交替分布。
|
注:A为常绿坡上,B为常绿坡下,C为落叶坡上,D为落叶坡下,E为弃耕地坡上,D为弃耕地坡下。①为均质流,②为非均质指流,③为高相互作用大孔隙流,④为混合作用大孔隙流,⑤为低相互作用大孔隙流,⑥为未染色区域。 Note:A is EG upslope,B is EG downslope,C is SDFS upslope,D is SDFS downslope,E is DP upslope and F is DP downslope. ① is homogeneous matrix flow,② is heterogeneous matrix flow and fingering,③ is macropore flow with mixed interaction,④ is macropore flow with low interaction,⑤ is macropore flow with high interaction and ⑥ is unstained area. 图 5 各样地垂直剖面水流类型分布 Fig. 5 Vertical distribution of water flow types along with the soil profile in different sampling sites |
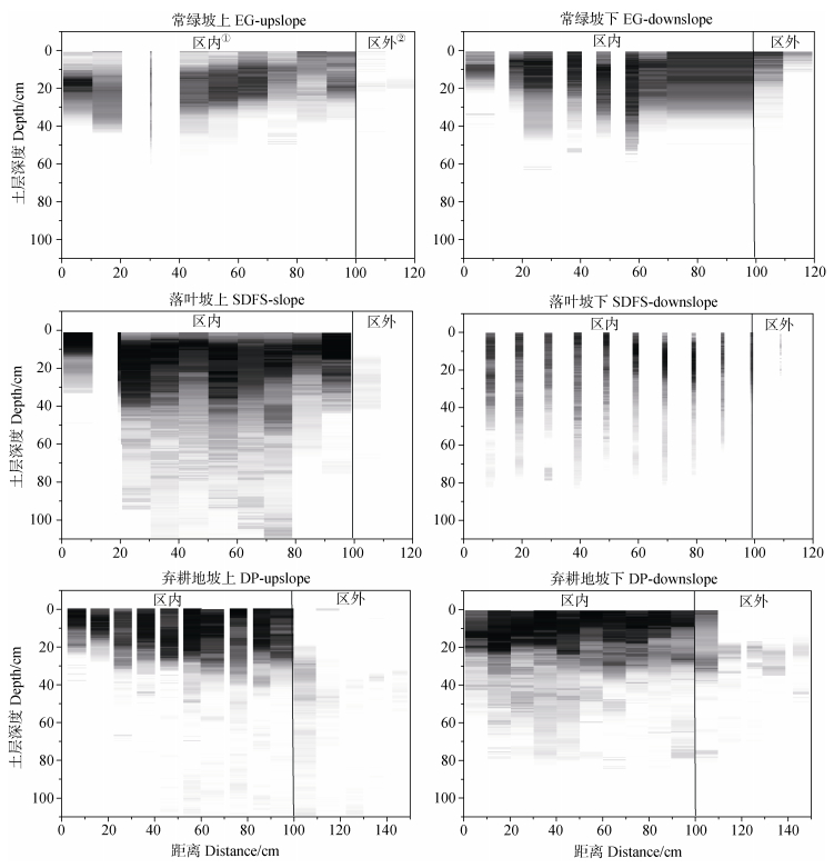
各样地沿坡面方向的二维染色特征存在差异(图 6),颜色越深,表示SAR越大。尽管染液喷洒区的所有土壤剖面均被染色,但各剖面染色区域的分布存在明显异质性,且染色集中的区域也存在区别。在染液喷洒区内,弃耕地坡上、坡下样点各剖面的染色区均集中在0~30 cm土层,且不同剖面染液分布特征的异质性更小;而其他样地剖面之间的染液分布特征差异较大,且染色区分布较弃耕地分布分散。坡地染液的侧渗会在喷洒区外染色,色斑主要分布在0~30 cm土层,占区外总染色面积的52.9%~ 98.2%。不同植被覆盖下,弃耕地内染液向坡下侧渗的距离(50 cm)较常绿林和落叶林样地更远(10~20 cm)。此外,不同样地侧渗区的最大SAR出现的深度也不同,常绿坡地的两个坡位出现在0~5 cm土层,落叶林地和弃耕坡地内侧渗区色斑在较深位置,出现在9~40 cm。
|
① Within the distract,②Outside the distract. 注:横坐标0表示喷洒染液区域的上边缘,100 cm为染色喷洒区下边缘。 > 100 cm为染色区外的坡下区域。Note:The abscissa axis 0 represents the upper edge of the spray area,and 100 cm represents the down edge of the spray area. > 100 cm was the downslope area outside the staining area. 图 6 染色剂沿坡面方向的二维分布特征 Fig. 6 Two dimensional distribution of dyeing tracer along the slope |
本研究不同样点的土壤母质和气候特征差异较小,因而植被与坡位的差异是影响土壤理化性质的主要原因。植被类型与密度决定了地表枯落物的输入类型与输入量,进而影响表层土壤有机质含量[30]。植物根系、特别是细小根系不断经历生长与凋亡过程,凋亡的根系经微生物分解后也能提高土壤的有机质含量[31]。有机质含量的增加有利于土壤团聚体的形成,进而降低了土壤容重,增加了土壤的总孔隙度和大孔隙体积[32]。此外,根系生长的穿插作用松动了原来板结的土壤,也会导致土壤容重的降低和大孔隙体积与数量的增加[33]。由于枯落物主要分布在地表,因此表层土壤的有机质含量显著高于下层土壤。与弃耕草地相比(49.85~50.29 g·kg–1),常绿林(54.84~79.19 g·kg–1)和落叶林(55.13~78.16 g·kg–1)腐殖质层土壤的有机质含量更高,这种差异与其他因素共同影响土壤的容重和孔隙特征。王贵霞等[34]对比了黄河三角洲4种植被覆盖下的样地,也发现不同植被类型对土壤有机质含量、容重和孔隙造成了显著影响。
坡位的差异会影响土壤颗粒和水分的再分布,进而影响土壤发生发育及其理化性质[15-16]。由于表层土壤经历的发育时间更长,因此砂粒含量一般具有浅层低、深层高的特点。研究发现(表 1),3种样地坡上土壤的平均砂粒含量(44.3%~55.0%)均高于坡下(13.7%~39.7%),而粉粒和黏粒含量低于坡下。受降雨击打和地表径流冲刷影响,地表土壤颗粒、特别是细颗粒会随着地表径流沿着坡面向下迁移,导致坡上土层薄、颗粒粗,而坡下土层厚、颗粒细的分布特征,这种现象在低地表覆盖度条件下更为明显。此外,坡面汇水过程导致坡下土壤含水量更高,这种效应的长期作用也有利于岩石的风化与土壤的形成。莫保儒等[35]对比了半干旱黄土区成熟柠条林坡上、坡下之间的物理性质,也有类似发现。
植被与坡位的耦合作用影响了土壤的容重和总孔隙度等土壤性质,导致其变化特征更为复杂。表层土壤的有机质含量高、砂粒含量低,导致其容重呈现浅层低、深层高的分布特征,而总孔隙度则呈现相反的变化趋势。除落叶坡上位点外,其他样地腐殖质层的容重无显著差异。尽管常绿林和落叶林坡上位点的有机质含量较坡下高,但其坡上砂粒含量相对积累,导致坡上样点的腐殖质层容重较坡下高,而总孔隙度较坡下低。而弃耕草地坡上与坡下位点腐殖质层的容重与总孔隙度无显著差异,这可能是由于两个位点草本植被密度的差异抵消了黏粒含量积累带来的影响。
以上性质的改变也会影响土壤的渗透性能。相关性分析结果表明,饱和导水率与有机质含量(r=0.607,P < 0.01)、总孔隙度(r=0.293,P < 0.05)呈显著正相关关系,而与容重呈显著负相关关系(r=-0.436,P < 0.05)。张一璇等[36]也发现土壤含水量、有机质含量和容重是影响山地土壤饱和导水率的主要因子。受土壤有机质含量、孔隙度和容重垂直分布特征的影响,常绿林地、落叶林和弃耕草地坡上样点不同层次间的饱和导水率差异相对较小,而落叶林和弃耕草地坡下腐殖质层以下土壤的饱和导水率显著高于表层土壤。与弃耕草地相比,常绿林和落叶林的饱和导水率更高;而各样地的平均饱和导水率结果也表明,坡下的饱和导水率低于坡上,特别是腐殖质层以下土壤。
3.2 土壤理化性质差异对土壤水分垂直运动的影响土壤理化性质的差异影响了各样点的水分垂直运动过程,表现为不同的染液分布特征。相关性分析结果表明(表 4),容重和总孔隙度对染色特征参数影响最为强烈,容重与各参数均呈极显著负相关关系,而总孔隙度与各参数呈极显著或显著正相关关系。有机质含量和粉粒含量也对各染色特征参数造成了显著影响:有机质含量与平均SAR、SPW为1~10 cm的SAR,以及SPW > 10 cm的SAR呈极显著正相关,与平均SPN呈显著正相关;粉粒含量与SPW > 10 cm的SAR呈极显著正相关,与平均SAR和SPW为1~10 cm的SAR呈显著正相关关系。张海林等[37]的研究也表明,容重、有机质含量、机械组成等土壤理化性质与染色特征参数密切相关。尽管饱和导水率与各染色特征参数之间没有直接相关性,但它也可以通过影响染液的渗漏速率,以及染液与土壤基质的交换速率进而影响染液分布特征。
|
|
表 4 染色特征与土壤理化性质的Pearson相关系数 Table 4 Pearson correlation analysis between dyeing characteristics and physicochemical properties |
土壤性质的垂直分布差异影响了SAR、SPN和水流类型分布。从地表向下,各样地有机质含量和总孔隙度逐渐减小,容重逐渐增大,SAR和SPN也呈现浅层高、深层低的特征。郑欣等[38]在对北京地区不同类型的土壤进行染色示踪实验时也得到了类似的结果。然而,本研究的SAR的最大值并未出现在地表,这是由于表层土壤饱和导水率高,喷洒的染液很快发生了渗漏,导致SAR峰值的下移。由于表层土壤的容重较小、有机质含量高、总孔隙度较大,土壤呈现疏松多孔的特征,此时孔隙中的染液易与基质发生交换,致使上层土壤的SPW以 > 10 cm和1~10 cm为主,水流类型表现为均质流和指流分布。而下层土壤的容重较大、有机质含量低、总孔隙度小,土壤较为紧实,孔隙与基质的水分交换较表层弱;致使其SPW以 < 1 cm为主,水流类型表现为不同类型的大孔隙流。朱钊岑等[13]对荒漠绿洲湿地的土壤优先流特征展开研究,也发现受土壤性质的影响均质流和非均质指流主要分布在20 cm以内,20 cm以下的水流类型以高相互作用混合流为主。
土壤性质的差异影响了不同样地的垂直水流特征。与两种林地相比,弃耕坡地由于受原有犁底层阻挡,染液下渗速率减缓,而0~30 cm土层较为疏松,因此表层土壤的染色更为充分,以下土层的染色面积急剧下降,其30~110 cm深度范围的平均SAR(2.4 %)显著小于落叶林地(8.4%)和常绿林地(3.8%)。此外,由于翻耕作用可以有效降低土壤大孔隙之间的连通性[39-40],因此弃耕草地的SPW较两种林地小,导致均质流和非均质指流的分布明显少于两种林地,特别是弃耕草地坡上样点。与落叶林相比,常绿林的A和E/B层更为深厚,且饱和导水率高,导致染液下渗速度更快,因此其SAR峰值深度更深。此外,常绿林在自然保护区内,受人为扰动少,而落叶林地较大的树木会被当地村民不定期砍伐,被砍伐树木的根系腐烂后,残留的根孔则成为了良好的优先流路径[33],从而导致染液下渗至更深的土壤层次,表现为落叶林有更大的染色深度。此外,落叶林下的灌木较常绿林下更为丰富,因此根系穿插形成的优先流路径数量更多,表现为更大的SPN。土壤性质的差异也影响了坡上和坡下的水分运动过程。付同刚等[41]在研究喀斯特小流域土壤水文过程时发现,坡位对饱和导水率垂直分布的影响远大于坡度和坡向。坡上土壤砂粒含量高、饱和导水率大,水分容易下渗;而坡下土壤饱和导水率小,水分不易入渗。受以上过程影响,落叶林地和弃耕坡地在坡上的平均SAR和SPN均大于坡下。但常绿林地却未呈现这种规律,这可能是由于常绿林坡上位点的饱和导水率很高,导致染液与土壤未能充分接触就发生了渗漏,从而导致坡上的SAR较坡下低。
土壤性质的差异也影响了坡面侧向水流特征。由于坡下较坡上的细颗粒多、饱和导水率低,其水分垂向入渗的能力更差[42],进而造成坡下位点染液喷洒区外的SAR比例更高。弃耕坡地染液水平移动距离较常绿林地和落叶林地更远,且染液喷洒区外的SAR也远大于常绿林地和落叶林地。这是由于耕地的有机质积累速率小于林地[43],且耕作会造成耕作层以下土壤被压实,进而导致容重增加、总孔隙度减小且多毛管孔隙[44],进而降低了土壤的饱和导水率,阻挡了水流的垂直下渗而引起侧向流动增加。张海林等[37]在对比鹰潭红壤区农田与林地的染色特征时,也发现在农田犁底层上方有较为明显的侧向水流。由于弃耕地入渗深度有限且横向水流强烈,因此在降雨事件中更易产生地表径流[33]。尽管弃耕草地已近20年未再开垦,但犁底层的压实效应仍未得到完全消除,特别是坡下位点。因此,对于退耕还林的农田,需要在退耕后及时深耕打破犁底层以增加入渗速率来保存降雨。或在弃耕地上种植根系丰富的本地乔灌木品种,通过根系的生长穿插以降低土壤的容重并增加土壤中的优先流通道,进而提高水源涵养能力[39]。
4 结论在常绿林、落叶林和弃耕地的坡上、坡下共计6个样点开展了原位染色示踪实验,主要有以下发现:(1)所有样点的SAR和SPN均呈浅层高、深层低的特点,但不同样点的染色特征也有差异,主要表现为0~60 cm土层SAR为落叶林地(44.2%) > 弃耕坡地(36.1%) > 常绿林地(35.3%)。SPN为落叶林地(43条) > 常绿林地(19条) > 弃耕坡地(15条)。不同坡位下,0~60 cm土层的SAR为坡上(41.5%) > 坡下(35.6%),SPN为坡上(23条) < 坡下(28条)。(2)均质流和非均质指流主要分布在距地表 30 cm以内的浅层土壤中,30 cm以下表现为不同类型大孔隙流交替分布;弃耕地坡上样点无均质流和非均质指流产生。(3)植被与坡位的耦合作用影响了土壤有机质含量、机械组成、容重、孔隙度和饱和导水率等土壤物理性质,进而影响了SAR、SPN、SPW等染色特征参数,以及水流类型分布特征。犁底层的存在限制了弃耕地水分的垂直入渗,增加了侧向入渗与地表径流的风险,需要通过破除犁底层或种植根系发达的乔灌木以增加其水源涵养能力。
| [1] |
Wu H W. Atmosphere-plant-soil interactions: Theories and mechanisms (In Chinese)[J]. Chinese Journal of Geotechnical Engineering, 2017, 39(1): 1-47. [吴宏伟. 大气-植被-土体相互作用: 理论与机理[J]. 岩土工程学报, 2017, 39(1): 1-47.]
( 0) |
| [2] |
Cheng J H, Zhang H J, Shi Y H, et al. Effects of preferential flow on infiltrated flow and surface runoff in the granite area of the Three Gorges (In Chinese)[J]. Bulletin of Soil and Water Conservation, 2007, 27(2): 18-23. DOI:10.3969/j.issn.1000-288X.2007.02.005 [程金花, 张洪江, 史玉虎, 等. 长江三峡花岗岩地区优先流对渗流和地表径流的作用[J]. 水土保持通报, 2007, 27(2): 18-23.]
( 0) |
| [3] |
Zhang Z B, Peng X H. A review of researches on soil cracks and their impacts on preferential flow (In Chinese)[J]. Acta Pedologica Sinica, 2015, 52(3): 477-488. [张中彬, 彭新华. 土壤裂隙及其优先流研究进展[J]. 土壤学报, 2015, 52(3): 477-488.]
( 0) |
| [4] |
Liu H, Lin H. Frequency and control of subsurface preferential flow: From pedon to catchment scales[J]. Soil Science Society of America Journal, 2015, 79(2): 362-377. DOI:10.2136/sssaj2014.08.0330
( 0) |
| [5] |
Guo L, Chen J, Lin H. Subsurface lateral preferential flow network revealed by time-lapse ground-penetrating radar in a hillslope[J]. Water Resources Research, 2014, 50(12): 9127-9147. DOI:10.1002/2013WR014603
( 0) |
| [6] |
Vervoort R W, Minasny B, Cattle S R. The hydrology of Vertosols used for cotton production: II.Pedotransfer functions to predict hydraulic properties[J]. Soil Research, 2006, 44(5): 479-486. DOI:10.1071/SR05152
( 0) |
| [7] |
Perret J, Prasher S O, Kantzas A, et al. A two-domain approach using CAT scanning to model solute transport in soil[J]. Journal of Environmental Quality, 2000, 29(3): 995-1010.
( 0) |
| [8] |
Allaire S E, Roulier S, Cessna A J. Quantifying preferential flow in soils: A review of different techniques[J]. Journal of Hydrology, 2009, 378(1/2): 179-204.
( 0) |
| [9] |
Kan X Q, Cheng J H, Hou F. Response of preferential soil flow to different infiltration rates and vegetation types in the Karst region of southwest China[J]. Water, 2020, 12(6): 57-78.
( 0) |
| [10] |
Liu J T, Zhang W P, Song H Q, et al. Research on hillside soil infiltration rate and pathway based on dye tracer experiment (In Chinese)[J]. China Rural Water and Hydropower, 2016(5): 77-80. DOI:10.3969/j.issn.1007-2284.2016.05.020 [刘金涛, 张文平, 宋慧卿, 等. 影响山坡土壤入渗速率及路径的染色示踪研究[J]. 中国农村水利水电, 2016(5): 77-80.]
( 0) |
| [11] |
Wang X Y, Cai C F, Li H, et al. Influence of rock fragments on bulk density and pore characteristics of purple soil in Three-Gorge Reservoir Area (In Chinese)[J]. Acta Pedologica Sinica, 2017, 54(2): 379-386. [王小燕, 蔡崇法, 李鸿, 等. 三峡库区碎石含量对紫色土容重和孔隙特征的影响[J]. 土壤学报, 2017, 54(2): 379-386.]
( 0) |
| [12] |
Chang D D. The relationship between the plant root distribution and priority flow paths of the broad-leaved forest in Three-Gorges Area (In Chinese)[J]. Research of Soil and Water Conservation, 2014, 21(6): 41-46. [常丹东. 三峡地区阔叶林地植物根系分布特征与优先路径关系分析[J]. 水土保持研究, 2014, 21(6): 41-46.]
( 0) |
| [13] |
Zhu Z C, Liu B, Liu C, et al. Characteristics of preferential flow and water infiltration in desert oasis wetland (In Chinese)[J]. Acta Ecologica Sinica, 2020, 40(12): 3979-3990. [朱钊岑, 刘冰, 刘婵, 等. 荒漠绿洲湿地土壤优先流与水分入渗特征[J]. 生态学报, 2020, 40(12): 3979-3990.]
( 0) |
| [14] |
Liu M X, Wu D, Cui W H. Study on soil infiltration in different altitudinal mountain belts of the Three Gorges Region of Yangtze River (In Chinese)[J]. Journal of Soil and Water Conservation, 2015, 29(3): 56-61. [刘目兴, 吴丹, 崔文虎. 长江三峡山地不同垂直带土壤入渗研究[J]. 水土保持学报, 2015, 29(3): 56-61.]
( 0) |
| [15] |
Zhao S Y, Su H D, Jia Y W, et al. Characteristics of preferential flow on typical slope in northern rocky mountain area (In Chinese)[J]. Journal of Soil and Water Conservation, 2018, 32(6): 9-15. [赵思远, 苏辉东, 贾仰文, 等. 北方土石山区典型坡面优先流特征研究[J]. 水土保持学报, 2018, 32(6): 9-15.]
( 0) |
| [16] |
Su H D, Zhao S Y, Jia Y W, et al. Development path of preferential flow on soil-rock hillslope in Chongling watershed (In Chinese)[J]. Journal of China Hydrology, 2019, 39(6): 1-6. [苏辉东, 赵思远, 贾仰文, 等. 崇陵流域土石山区坡面优先流发育路径研究[J]. 水文, 2019, 39(6): 1-6.]
( 0) |
| [17] |
Huang K X, Liu Y, Dong X J, et al. Variation of soil erosion in Hubei section of Three Gorges reservoir area based on land use change (In Chinese)[J]. Research of Soil and Water Conservation, 2020, 27(1): 1-6. [黄凯旋, 刘扬, 董晓健, 等. 基于土地利用变化的三峡库区(湖北段)土壤侵蚀消长研究[J]. 水土保持研究, 2020, 27(1): 1-6.]
( 0) |
| [18] |
Liu T, Shao J A. Spatial and temporal variation of soil erosion under different land uses in the Three Gorges Reservoir Region (In Chinese)[J]. Science of Soil and Water Conservation, 2016, 14(3): 1-9. [刘婷, 邵景安. 三峡库区不同土地利用背景下的土壤侵蚀时空变化及其分布规律[J]. 中国水土保持科学, 2016, 14(3): 1-9.]
( 0) |
| [19] |
Niu J Z, Yu X X. Preferential flow and its scientific significance (In Chinese)[J]. Science of Soil and Water Conservation, 2005, 3(3): 110-116. DOI:10.3969/j.issn.1672-3007.2005.03.022 [牛健植, 余新晓. 优先流问题研究及其科学意义[J]. 中国水土保持科学, 2005, 3(3): 110-116.]
( 0) |
| [20] |
Cheng J X, Cheng J H, Zheng X, et al. Characteristics of soil preferential flow and its influencing factors under different vegetation cover (In Chinese)[J]. Journal of Henan Agricultural University, 2018, 52(6): 973-982. [程竞萱, 程金花, 郑欣, 等. 不同植被覆盖下土壤优先流特征及影响因素[J]. 河南农业大学学报, 2018, 52(6): 973-982.]
( 0) |
| [21] |
Huang R, Huang L, He B H, et al. Characteristics of soil water infiltration under different biological regulation measures in Three Gorges reservoir region (In Chinese)[J]. Journal of Southwest University: Natural Science Edition, 2013, 35(9): 119-126. [黄茹, 黄林, 何丙辉, 等. 三峡库区不同林草治理措施下土壤入渗特征研究[J]. 西南大学学报: 自然科学版, 2013, 35(9): 119-126.]
( 0) |
| [22] |
Wang G F, Li D X, Tian F L, et al. Classification and utilization of wild resources plants in Dalaoling nature reserve of Hubei Three Gorges (In Chinese)[J]. Hubei Forestry Science and Technology, 2019, 48(3): 40-45. DOI:10.3969/j.issn.1004-3020.2019.03.010 [王功芳, 李道新, 田风雷, 等. 湖北三峡大老岭自然保护区野生资源植物分类与利用[J]. 湖北林业科技, 2019, 48(3): 40-45.]
( 0) |
| [23] |
Gan J, Ge J W, Liu Y L, et al. Forest ecosystem quality change over ten years (2000-2010) in the Three Gorges Dalaoling nature reserve (In Chinese)[J]. Plant Science Journal, 2015, 33(6): 766-774. [甘娟, 葛继稳, 刘奕伶, 等. 三峡大老岭自然保护区森林生态系统10年(2000-2010年)质量变化[J]. 植物科学学报, 2015, 33(6): 766-774.]
( 0) |
| [24] |
Zhao B Y, Zhang X F, Luo B, et al. Investigation on wild ornamental landscape plants resources in Yichang (In Chinese)[J]. Hubei Agricultural Sciences, 2017, 56(14): 2702-2706. [赵宝玉, 张晓峰, 罗兵, 等. 宜昌市野生特色园林植物资源调查[J]. 湖北农业科学, 2017, 56(14): 2702-2706.]
( 0) |
| [25] |
Liu M X, Wang Q Y, Guo L, et al. Influence of canopy and topographic position on soil moisture response to rainfall in a hilly catchment of Three Gorges Reservoir Area, China[J]. Journal of Geographical Sciences, 2020, 30(6): 949-968. DOI:10.1007/s11442-020-1764-1
( 0) |
| [26] |
Janssen M, Lennartz B. Characterization of preferential flow pathways through paddy bunds with dye tracer tests[J]. Soil Science Society of America Journal, 2008, 72(6): 1756-1766. DOI:10.2136/sssaj2008.0032
( 0) |
| [27] |
Cheng D J, Zhang Y L. Guidance of soil physics experiment (In Chinese). Beijing: China Water Power Press, 2012. [程东娟, 张亚丽. 土壤物理实验指导[M]. 北京: 中国水利水电出版社, 2012.]
( 0) |
| [28] |
Lou S L, Liu M X, Yi J, et al. Influence of vegetation coverage and topographic position on soil hydrological function in the hillslope of the Three Gorges area (In Chinese)[J]. Acta Ecologica Sinica, 2019, 39(13): 4844-4854. [娄淑兰, 刘目兴, 易军, 等. 三峡山地不同类型植被和坡位对土壤水文功能的影响[J]. 生态学报, 2019, 39(13): 4844-4854.]
( 0) |
| [29] |
Weiler M, Flühler H. Inferring flow types from dye patterns in macroporous soils[J]. Geoderma, 2004, 120(1/2): 137-153.
( 0) |
| [30] |
Yang R, Liu S, Wang Z Q, et al. Relationships between the soil enzyme activity and soil nutrients in forest soils typical of the Qinling mountain (In Chinese)[J]. Acta Pedologica Sinica, 2016, 53(4): 1037-1046. [杨瑞, 刘帅, 王紫泉, 等. 秦岭山脉典型林分土壤酶活性与土壤养分关系的探讨[J]. 土壤学报, 2016, 53(4): 1037-1046.]
( 0) |
| [31] |
Hu K, Tao J P, He D N, et al. Effects of root growth on dynamics of microbes and enzyme activities during litter decomposition (In Chinese)[J]. Chinese Journal of Applied Ecology, 2019, 30(6): 1993-2001. [胡凯, 陶建平, 何丹妮, 等. 林下植物根系对森林凋落物分解过程中微生物及酶活性的影响[J]. 应用生态学报, 2019, 30(6): 1993-2001.]
( 0) |
| [32] |
Zheng X B, Fan J B, Zhou J. Effects of biogas slurry on soil organic matter and characteristics of soil aggregates in upland red earth (In Chinese)[J]. Scientia Agricultura Sinica, 2015, 48(16): 3201-3210. DOI:10.3864/j.issn.0578-1752.2015.16.010 [郑学博, 樊剑波, 周静. 沼液还田对旱地红壤有机质及团聚体特征的影响[J]. 中国农业科学, 2015, 48(16): 3201-3210.]
( 0) |
| [33] |
Zhang Y H, Niu J Z, Zhu W L, et al. Effects of plant root systems on preferential flow in forest ecosystems (In Chinese)[J]. Acta Ecologica Sinica, 2015, 35(6): 1788-1797. [张英虎, 牛健植, 朱蔚利, 等. 森林生态系统林木根系对优先流的影响[J]. 生态学报, 2015, 35(6): 1788-1797.]
( 0) |
| [34] |
Wang G X, Xia J B, Sun N N, et al. Study on function of soil and water conservation for different vegetation types of Yellow River irrigation area in the Yellow River Delta (In Chinese)[J]. Journal of Soil and Water Conservation, 2015, 29(2): 111-116. [王贵霞, 夏江宝, 孙宁宁, 等. 黄河三角洲引黄灌区不同植被类型的蓄水保土功能研究[J]. 水土保持学报, 2015, 29(2): 111-116.]
( 0) |
| [35] |
Mo B R, Wang Z T, Cai G J, et al. Soil water environment in different soil layers and influence factors of mature forest of Caragana korshinskii in semiarid Loess Area (In Chinese)[J]. Arid Land Geography, 2014, 37(6): 1207-1215. [莫保儒, 王子婷, 蔡国军, 等. 半干旱黄土区成熟柠条林地剖面土壤水分环境及影响因子研究[J]. 干旱区地理, 2014, 37(6): 1207-1215.]
( 0) |
| [36] |
Zhang Y X, Shi C Q, Yang H, et al. Saturated hydraulic conductivity of soils of typical forests of the south Coast of Guanting reservoir in Yongding River Watershed (In Chinese)[J]. Acta Ecologica Sinica, 2019, 39(18): 6681-6689. [张一璇, 史常青, 杨浩, 等. 永定河流域官厅水库南岸典型林分土壤饱和导水率研究[J]. 生态学报, 2019, 39(18): 6681-6689.]
( 0) |
| [37] |
Zhang H L, Yang X F, Yi J, et al. Characteristics of red soil water flows under different land use types in the subtropics zone (In Chinese)[J]. Journal of Soil and Water Conservation, 2019, 33(6): 233-241. [张海林, 杨秀锋, 易军, 等. 亚热带红壤区不同土地利用方式下的土壤剖面水流特征[J]. 水土保持学报, 2019, 33(6): 233-241.]
( 0) |
| [38] |
Zheng X, Cheng J H, Zhang H J, et al. Characteristics and influencing factors of preferential flow dyeing morphology of two soils in Beijing (In Chinese)[J]. Journal of Soil and Water Conservation, 2018, 32(3): 113-119. [郑欣, 程金花, 张洪江, 等. 北京地区2种类型土壤优先流染色形态特征及其影响因素[J]. 水土保持学报, 2018, 32(3): 113-119.]
( 0) |
| [39] |
Zhai Z, Li Y Y, Guo J J, et al. Effect of tillage depth on soil physical properties and yield of winter wheat-summer maize (In Chinese)[J]. Transactions of the Chinese Society of Agricultural Engineering, 2017, 33(11): 115-123. DOI:10.11975/j.issn.1002-6819.2017.11.015 [翟振, 李玉义, 郭建军, 等. 耕深对土壤物理性质及小麦-玉米产量的影响[J]. 农业工程学报, 2017, 33(11): 115-123.]
( 0) |
| [40] |
Gao Z X, Xu X X, Yu M Z, et al. Impact of land use types on soil macropores in the loess region (In Chinese)[J]. Chinese Journal of Applied Ecology, 2014, 25(6): 1578-1584. [高朝侠, 徐学选, 宇苗子, 等. 黄土塬区土地利用方式对土壤大孔隙特征的影响[J]. 应用生态学报, 2014, 25(6): 1578-1584.]
( 0) |
| [41] |
Fu T G, Chen H S, Wang K L. Vertical distribution of soil saturated hydraulic conductivity in a small Karst catchment (In Chinese)[J]. Acta Pedologica Sinica, 2015, 52(3): 538-546. [付同刚, 陈洪松, 王克林. 喀斯特小流域土壤饱和导水率垂直分布特征[J]. 土壤学报, 2015, 52(3): 538-546.]
( 0) |
| [42] |
Ge B, Du Y, Chang M, et al. Soil water content and lateral rheology of Cunninghamia lanceolata forest under different rainfall levels (In Chinese)[J]. Research of Soil and Water Conservation, 2019, 26(2): 161-166. [葛波, 杜妍, 常猛, 等. 不同降雨等级下杉木林土壤含水率和侧向流变化特征[J]. 水土保持研究, 2019, 26(2): 161-166.]
( 0) |
| [43] |
Lü Y Z, Zhang F R, Sun D F. Altitudinal distribution of soil organic matter in soils on Baihua mountains (In Chinese)[J]. Soils, 2005, 37(3): 277-283. DOI:10.3321/j.issn:0253-9829.2005.03.009 [吕贻忠, 张凤荣, 孙丹峰. 百花山山地土壤中有机质的垂直分布规律[J]. 土壤, 2005, 37(3): 277-283.]
( 0) |
| [44] |
Gan L, Li J, Li S, et al. Soil pore characteristics of sugarcane field under different tillage treatments in Guangxi (In Chinese)[J]. Research of Soil and Water Conservation, 2020, 27(6): 122-130. [甘磊, 李健, 李帅, 等. 广西甘蔗地不同耕作方式下土壤孔隙特征[J]. 水土保持研究, 2020, 27(6): 122-130.]
( 0) |
2022, Vol. 59



0)