土壤颜色是土壤最直观的特征[1],广泛运用于世界各国的土壤描述与分类中,是世界土壤分类与参比的重要指标[2]。我国早期土壤分类著作《禹贡》中的“黄壤”、“白壤”、“黑坟”、“白坟”、“赤埴坟”、“青黎”等通过土壤颜色和质地的组合直观地反映了九州的主要土类。中国现代土壤发生分类中,森林土壤、草原土壤与荒漠土壤中的绝大多数土类命名与土色有关[3]。与此同时,土壤颜色是土壤物理化学性质的综合反映,具有明显的环境指示意义,广泛应用于大尺度的土壤调查、环境遥感和古气候重建中[4-6]。
铁氧化物与腐殖质是土壤中的两大致色组分[7],对区域气候和土壤环境变化响应敏感[8]。土壤铁氧化物总量与母质含铁量及化学风化强度有关,但铁氧化物相的分配与气候相对湿度有关;红色赤铁矿(Hm)通常形成于干热环境,黄色针铁矿(Gt)通常形成于冷湿环境[9]。我国热带亚热带平原丘陵地区常形成Hm逐渐富集的红壤—赤红壤—砖红壤等土类,但在山地地区则形成Gt相对富集的黄壤—黄色赤红壤—黄色砖红壤等亚类[10]。与此同时,土壤腐殖质积累也与气候和植被类型紧密相关,整体而言,黑色的胡敏酸(Ha)和棕色的富里酸(Fa)均富集于冷湿的环境[11],草原土壤的Ha偏高,森林土壤的Fa偏高[12],我国土壤腐殖质Ha/Fa呈现出自北向南和向西逐渐递减的趋势[13],对北方黑土、棕壤和暗棕壤等土壤的显色有重要影响。
随着Munsell系统与Lab系统等颜色描述系统的提出,土壤颜色的精确描述成为可能[14]。近年来,室内漫反射光谱技术(Diffuse Reflectance Spectrum,DRS)的发展和应用,进一步提高了颜色指数的计算精度,颜色指数开始广泛应用于土壤及沉积物铁氧化物的定量中[15-17]。然而,自然界的土壤颜色不仅与铁氧化物及腐殖质的含量和类型相关,还与土壤基底、机械组成、温湿度及光照条件有关[18]。本文为明确野外土壤中铁氧化物和腐殖质的交叉致色效应,以高岭石(Kao)为基底,选取Hm、Gt、Ha和Fa,通过DRS方法系统探讨了不同含量铁氧化物与腐殖质模拟土壤的可见光波段光谱及颜色指数变化,为基于土壤颜色的野外土壤分类、矿物定量、气候重建和环境遥感奠定基础。
1 材料与方法 1.1 供试材料Hm和Gt是土壤主要的铁氧化物染色剂,Ha和Fa是土壤主要的致暗腐殖质,而高岭石(Kao)在热带及亚热带富铁土和铁铝土中广泛分布[19],呈白色,反射率高,可作为自然模拟基底。本实验所用Hm和Gt样品分别为德国拜耳乐纯红氧化铁(Red 4110)和纯黄氧化铁(Yellow 4910)。Hm为圆球纳米颗粒,Gt为针形纳米颗粒,接近自然土壤铁氧化物形态。Ha和Fa样品为合肥巴斯夫生物科技有限公司的BOSF牌胡敏酸(CAS:1415-93-6)和富里酸(CAS:479-66-3);Kao样品所用标准为内蒙古物华天宝矿物资源有限公司的天然纳米粒级高岭石。
1.2 土壤样品模拟为明确不同土壤致色组分的独立光谱特征及其交叉影响,本文采用Kao为基底,将铁氧化物和腐殖质以不同比例混合制成单一组分或二元组分模拟土壤样品。取0.2 g混合样品在玛瑙研钵中磨至200目(75 μm)以下,置于2.54 cm × 7.62 cm × 0.12 cm载玻片上,加入适量去离子水,调制成泥浆状,均匀涂抹至玻璃片5.5 cm × 2.54 cm的区域,置于室温风干待测。
1.2.1 单一组分序列为明确不同致色组分的致色效率,以Kao为基底,分别与致色组分Hm、Gt、Ha和Fa混合,用逐步稀释法制作不同致色组分的单一序列,致色组分含量以2为底指数递增,分别为0、0.78125、1.5625、3.125、6.25、12.5、25、50、100、200和400 g·kg–1,构成纯Hm序列、纯Gt序列、纯Ha序列、纯Fa序列。
1.2.2 二元混合序列为探究腐殖质对铁氧化物致色效应的干扰,以Kao为基底,将不同含量(0、0.78125、3.125、12.5和50 g·kg–1)的腐殖酸序列与不同含量(0.78125、1.5625、3.125、6.25、12.5、25、50、100和200 g·kg–1)的铁氧化物序列两两混合,构成腐殖酸(Ha、Fa)与铁氧化物(Hm、Gt)的二元混合序列。
1.3 漫反射光谱测定本研究实验均基于漫反射光谱(DRS),该方法对土壤和沉积物中的铁氧化物灵敏性极高,理想状态下可检测含量低至0.01%的Hm和Gt [20]。本研究所用光谱均在南京大学表生地球化学教育部重点实验室完成,仪器为Perkin Elmer公司生产的Lambda 900近紫外/可见光/近红外漫反射光谱仪,光学系统采用涂覆SiO2的全息刻线光栅,积分球可将光路调整至最佳,稳定性好、杂散光低,波长精度最高。单个样品测试时间为10 min,波长间隔2 nm。测量范围从可见光(VIS:400~700 nm)到近红外(NIR:700~2 500 nm),可见光分为6个不同颜色子波段[21]:紫色400~450 nm,蓝色450~490 nm,绿色490~560 nm,黄色560~590 nm,橙色590~630 nm,红色630~700 nm。
1.4 颜色指数换算目前适用于土壤与沉积物的颜色描述系统主要包括DRS颜色指数系统、Lab系统、Munsell表色系统及CIE XYZ系统[22]。本研究通过可见光波段的DRS数据,计算出不同颜色波段的反射率(Reflectance %)与可见光波段的反射率的比值,得出紫度(Violet %)、蓝度(Blue %)、绿度(Green %)、黄度(Yellow %)、橙度(Orange %)、红度(Red %)等颜色指数。通过Color CIE软件计算出CIE XYZ系统的XYZ值以及Lab系统的Lab值;再利用Wallkillcolor公司的CMCd软件将XYZ值换算成常用的Munsell颜色系统的HVC值。
Lab系统包括L*、a*、b*三个颜色参数,L*代表亮度,变化于黑(0)和白(100)之间,a*代表红度,变化于红(+100)和绿(-100)之间;b*代表黄度,变化于黄(+100)和蓝(-100)之间[1]。Munsell表色系统的颜色参数包括色调(Hue)、明度(Value)和彩度(Chroma),色调包括红(R)、黄(Y)、绿(G)、蓝(B)和紫(P)5种主色和红黄(YR)、黄绿(GY)、绿蓝(BG)、蓝紫(PB)和紫红(RP)5种中间色,每种色调划分为10个级别。本文模拟样品色调H值在0R~10YR之间,跨越R与YR两种色调,为成图方便,将H值转化为数字[23],0R=0,10R=10,5YR=15、10YR=20,……,以此类推。明度V则表示色彩的明亮程度,从全黑到全白用1~10来表示。彩度C代表色彩的饱和程度,变化于0~20之间[18]。Munsell系统基于人类视觉感知,更接近人眼对颜色的解析[24],而Lab系统可更清楚地揭示不同土壤类型之间的颜色特性和差异。
1.5 回归模型的建立与评价建立颜色指数与铁氧化物间的回归模型,并从其稳定性和预测能力两个方面对模型进行检验。模型的稳定性采用决定系数R2的大小检验,R2越大,模型越稳定;模型的预测能力用均方根误差(RMSE)来检验,RMSE越小,模型精度越高,预测能力越好[25]。均方根误差的计算公式如下:
| $ {\text{RMSE}} = \sqrt {\frac{1}{m}\sum\nolimits_{i = 1}^m {{{\left( {{y_i} - {{\overset{\lower0.5em\hbox{$\smash{\scriptscriptstyle\frown}$}}{y} }_i}} \right)}^2}} } $ | (1) |
式中,
通过相对误差(Relative Error,RE)评价腐殖质致色组分对铁氧化物致色的干扰程度,不仅可以明确腐殖质组分的干扰程度,还可以明确其干扰形式。
| ${\rm{RE = }}\frac{{\left( {预测值 - {\rm{真实值}}} \right)}}{{{\rm{真实值}}}} \times 100\% $ | (2) |
式中,RE为相对误差,预测值是指通过回归模型计算的土壤铁氧化物预测值,真实值为样品真实值。
2 结果 2.1 纯基底及致色组分的可见光光谱及颜色指数通过基底Kao及致色组分Hm、Gt、Ha和Fa在可见光波段的原始光谱(图 1)发现,白色Kao的Reflectance%普遍高于92%,而黑色Ha与棕色Fa的普遍低于6%,Fa略高于Ha。铁氧化物的Reflectance%介于基底与腐殖质之间,Gt高于Hm,随波长增加明显增加,不同在于Gt的最强反射波段出现在黄光波段(560~590 nm),Hm的最强反射波段出现在红光波段(630~700 nm)。
|
图 1 基底和致色组分可见光光谱 Fig. 1 Visible spectrum of substrates and chromogenic components |
通过基底及致色组分原始光谱计算的颜色指数(表 1)来看,各组分的平均反射率(Mref %)呈现Kao > Gt > Hm > Fa > Ha趋势,红度(Red %)呈现Hm > Gt > Ha > Fa > Kao趋势,黄度(Yellow %)呈现出Gt > Kao > Ha > Fa > Hm趋势。基底Kao的亮度(L*)高达97.5,明度(V)最大,高达9.7,接近绝对白色。Ha的L*和V最小,后者低至2.0,接近绝对黑色。Fa的L*和V仅次于Ha,分别为26.4和2.6。Hm的红度(a*)最大,Gt的黄度(b*)最大,且Hm的色调(H)为9.0,接近正红,Gt的H为19.9,接近正黄,与实际观测一致,印证了模拟材料的可靠性。
|
|
表 1 基底及各致色组分的颜色指数 Table 1 Color index of substrates and chromogenic components |
通过单一致色组分序列可见光波段的原始光谱发现,土壤模拟样品的反射率随致色组分含量递增而普遍降低,光谱形态从纯Kao基底光谱逐渐过渡至纯致色组分光谱。纯Hm和纯Gt序列光谱反射率随含量增加呈现明显的波段分异,小于550 nm波段的反射率呈现减速下降的趋势,大于550 nm波段呈现加速下降的趋势(图 2a,图 2b)。与此同时,纯Ha序列的反射率在不同波段相对匀速下降(图 2c),而纯Fa序列的反射率随含量增加则出现加速下降,短波段下降速率较长波段快(图 2d)。
|
图 2 单一致色组分序列可见光光谱 Fig. 2 Visible spectrum of single chromogenic component sequences |
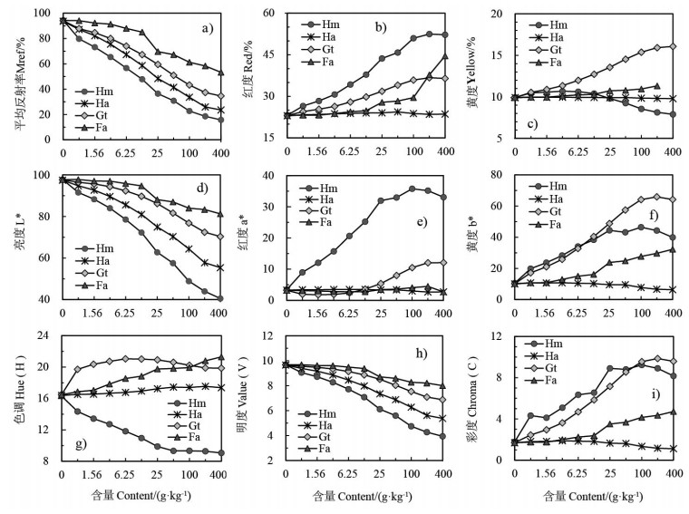
从基于DRS计算的光谱指数来看,平均反射率(Mref%)(图 3a)随单一致色组分含量增加均快速下降,但下降的速率由高至低依次为Hm > Ha > Gt > Fa,反映了铁氧化物与腐殖质在可见光波段不同的消光效应。值得注意的是,Hm呈现出较Ha强的吸收效应,Gt也呈现出较Fa强的吸收效应。红度Red%和Hm含量显著正相关(r = 0.721,P < 0.01),黄度Yellow%和Gt含量显著正相关(r =0.764,P < 0.01)(图 3b,图 3c),暗示两者可作为Hm与Gt定量的参考指标。
|
图 3 单一致色组分序列颜色指数 Fig. 3 Color index of single chromogenic component sequences |
从Lab系统来看,L*的变化规律与基于DRS的Mref%相当(图 3d),a*与Red%相当(图 3e),b*与Yellow%相当(图 3f),但a*相对Red%而言对Hm的响应明显较高,而Yellow%相对于b*对Gt的响应也明显较高,综上可见,就单一体系而言,Lab系统的a*和DRS的Yellow%可更好的跟踪Hm和Gt的变化。
从Munsell系统来看,H值随Hm增加迅速递减,愈偏向红色(R);随Gt增加先增后减少,先偏黄红(YR)后偏红(R);随Ha增加缓慢增长;随Fa增加相对快速增长(图 3g)。V值的变化与Mref%相当(图 3h)。C值随Hm和Gt含量增加同步增加;随Ha增加缓慢下降,随Fa增加则缓慢上升(图 3i)。
2.3 腐殖质对赤铁矿序列致色效应的干扰从DRS参数来看,Hm序列的Mref%(图 4a,图 4j)随混入腐殖质的增加快速下降,下降幅度Ha > Fa,Hm含量愈低,腐殖质干扰愈明显。Red%随混入Ha增加普遍降低(图 4b),但降低幅度较小;混入Fa变化不大(图 4k),说明Red%不受Fa干扰。Yellow%(图 4c)随混入Ha含量的变化与Hm含量相关,低Hm含量(< 6.25 g·kg–1)时,Ha的加入会降低Yellow%,而高Hm含量(> 6.25 g·kg–1)时,Ha的加入则会增加Yellow%;但混入Fa(图 4l),Yellow%的变化不明显。
|
图 4 不同胡敏酸(a~i)和富里酸(j~r)含量干扰下赤铁矿序列的颜色指数变化 Fig. 4 The change of color index of hematite sequence under the interference of different humic acid(a~i)and fulvic acid(j~r)contents |
从Lab系统来看,Hm序列L*(图 4d,图 4m)的变化与Mref%相当,a*(图 4e,图 4n)与Red%相当,但a*对Ha与Fa含量的变化更敏感。与此同时,b*值随混入Ha含量的增加,普遍下降,且受Hm含量影响不明显(图 4f);但b*值随混入Fa的增加无明显变化(图 4o)。
从Munsell系统来看,Hm序列的H值(图 4g,图 4p)随腐殖质含量增加会缓慢增长,向黄色(Y)方向移动,Hm含量愈低,该效应也愈明显,且Fa与Ha的干扰能力相当。V值的变化与L*相当,即随Ha含量增加持续降低,但低Hm含量受干扰程度较高(图 4h),Fa的干扰不明显(图 4q)。C值随Ha含量增加同步降低,与Hm含量无关(图 4i),Fa对C值干扰小于Ha,在低Hm含量时变化不明显,而在高Hm含量时表现为降低趋势(图 4r)。
整体而言,腐殖质对Hm致色具有削弱作用,且Ha的影响远大于Fa,一般使土壤的Mref%、L*和V降低,Red%和a*下降,色调H会从红(R)偏向黄红(YR)。
2.4 腐殖质对针铁矿序列致色效应的干扰从DRS光谱指数来看,Ha的加入使Gt序列的Mref%,Red%,Yellow%均降低(图 5a~图 5c)。Mref%受干扰程度随Gt含量变小愈加明显,Red%与Yellow%受干扰程度与Gt含量无关。Fa的加入对DRS相关参数的干扰不明显(图 5j~图 5l)。
|
图 5 不同胡敏酸(a~i)和富里酸(j~r)含量干扰下针铁矿序列的颜色指数变化 Fig. 5 The change of color index of goethite sequence under the interference of different humic acid(a~i)and fulvic acid(j~r)contents |
从Lab系统来看,Ha的加入使Gt序列的L*、a*和b*也呈现下降趋势(图 5d~图 5f)。但a*在Gt低含量时(< 6.25 g·kg–1)受Ha干扰不明显,在Gt高含量时(> 6.25 g·kg–1)时随Ha增加明显下降。同样,Fa的加入对Lab相关参数的干扰不明显(图 5m~图 5o),仅在低Gt含量时使L*有小幅降低(图 5m),a*值有小幅度增加(图 5n)。
从Munsell系统来看,Ha的加入使Gt序列的V值和C值下降(图 5h,图 5i),但对H值的影响则呈现出阶段性(图 5g),Gt低含量(< 6.25 g·kg–1)时H下降,Gt高含量时(> 6.25 g·kg–1)H升高。同样,Fa的加入对Munsell相关参数的干扰不明显(图 5p~图 5r),仅在Gt低含量时使H和V值有较明显下降。
整体而言,腐殖质对Gt致色同样具有削弱作用,Ha的影响也远大于Fa,颜色指数变化趋势与Hm序列基本相同,一般使土壤的Mref%、L*和V降低,Yellow%和b*下降。
3 讨论表生铁氧化物是环境敏感矿物,广泛应用于土壤分类和气候重建中。热带亚热带土壤中,Hm和Gt是游离铁的主要组分,Ha与Fa是有机质的重要组分。Hm常在红壤、赤红壤和砖红壤的显色中占据主导,母质含铁高、温度高但相对湿度适中的海南玄武岩风化的砖红壤可使Hm含量最高达120 g·kg–1[26]。同时,Gt则常在黄色土壤的显色中占据主导,但致色效应明显弱于Hm,按含量高低可形成黄壤以及黄色赤红壤及黄色砖红壤等亚类[2],母质含铁高、温度高但相对湿度较高的海南玄武岩风化的黄色砖红壤可使Gt含量最高达189 g·kg–1[16]。与此同时,热带土壤表层腐殖质最高可达30.3 g·kg–1[27],从而对铁氧化物致色效应及定量产生干扰。
3.1 基于腐殖质和铁氧化物二相混合的铁氧化物估算方程铁氧化物种类与含量测定通常采用X射线衍射法(XRD),但自然铁氧化物含量相对较低,结晶度差,难于直接定量。基于Munsell、Lab等不同颜色系统及漫反射光谱(DRS)的颜色指数广泛应用于土壤与沉积物的铁氧化物定量中。Torrent最早通过Munsell的H、V和C计算出RR(Redness Rating)指数来估算土壤中Hm的含量,并提出Hm与RR正相关(r = 0.972)[28];朱丽东等[18]测定了庐山JL红土剖面的RR得出同样的结论,并提出该指数可以指示风化强度,也可作为反映成壤环境变化的指标。
与此同时,基于分光测色仪、非接触式分光光度仪等仪器,Lab系统颜色指数因其对颜色差异的高敏感度在气候重建中得到广泛应用。杨胜利等[22]提出a*和b*分别与土壤Hm和Gt含量相关,且二者与气候的关系在热带暖温带湿润区表现最好;李越等[29]发现在伊犁盆地黄土剖面中a*和Hm之间存在较好的正相关关系(R2 = 0.455),并且可以揭示气候变干的过程,而b*和Gt之间相关性较差(R2 = 0.196),易受其他因子的干扰,反演气候存在局限性;高鹏坤等[30]在陕西黄土-古土壤剖面研究中也得到类似的结论,并且提出a*/b*受控于铁氧化物的种类和含量。Vodyanitskii等[31]的研究表明,a*与土壤铁氧化物含量之间的关系在典型棕壤、灰化棕壤、灰色腐殖质潜育土等不同类型土壤中依然成立,但相关系数因腐殖质含量不同而不同。
漫反射光谱(DRS)对于土壤和沉积物中的铁氧化物极为敏感,检测限低于0.01%,获取光谱稳定,对样品无损耗,是目前用来识别土壤铁氧化物的重要手段[32],基于DRS的颜色指数也开始广泛应用于铁氧化物的定量中,尤其在土壤和沉积物研究中广泛应用。周玮[33]基于黄土—古土壤序列研究发现Red%和Yellow%可以很好地对应土壤Hm和Gt信息,对于红黏土,Red%和Hm之间的对应关系依然成立,但Yellow%和Gt之间的对应关系下降。Long等[16]在对海南热带砖红壤土壤研究中,通过DRS和XRD的联合测定,确定Red%与Hm之间的这种相关关系,建立了基于Red%估算Hm的指数回归方程,并发现不同比例Gt的混入并未明显影响Hm的估算,暗示自然混合体系中Hm更强的致色效应。
腐殖质作为土壤的重要致色组分,在高腐殖质含量的温带土壤及其表层土壤会干扰铁氧化物相的致色。Baumgardner等[34]发现当有机质含量超过2.0 %时,有机质在赋予土壤光谱特性中起主导作用,当有机质下降2%以下时,就不能有效地掩盖其他土壤成分如铁对土壤光谱响应的影响;Galvao和Vitorello[35]测得超过1.7%的有机质会抹去铁的光谱特征,并导致总铁(Fe2O3)与反射率之间的负相关降低40%以上;彭杰等[36]也发现去除土壤有机质之后,光谱反射率与游离铁、全铁、无定形铁的相关系数均有显著的提高;熊俊峰等[25]提出随着有机质含量增加,全铁和无定形铁的估算精度变化显著。
然而,有机质的致色效应主要通过腐殖质分子体现,铁氧化物的致色效应主要通过Hm和Gt矿物体现,有机质含量、游离铁含量等常用土壤化学指标与土壤光谱和颜色并无机理上的联系。而且,天然土壤的显色还容易受到土壤基底等其他因素干扰。基于此,本文通过模拟土壤,建立了在不同腐殖质含量条件下铁氧化物含量与常用颜色指数之间的关系模型,并计算了均方根误差(RSME)来评估其模型精度(表 2)。研究发现,单一铁氧化物与单一腐殖质的二元混合体系中,模拟土壤中Hm含量(0~200 g·kg–1)与基于Lab系统的a*以及DRS的Red%显著正相关(P < 0.01);Gt含量(0~200 g·kg–1)与Lab系统中的b*以及基于DRS计算的Yellow%之间也显著正相关(P < 0.01);腐殖质的加入通常会降低颜色指数响应的敏感度,但二者的关系仍可保持;就模型精度而言,同等水平下,基于DRS颜色指数估算方程的RMSE值普遍小于Lab估算方程的RMSE值,预测能力更强。
|
|
表 2 不同腐殖质含量下颜色指数与铁氧化物含量之间的回归关系 Table 2 Regression relationship between color index and iron oxide content under different humus content |
为了进一步明确自然体系中基于颜色指数对铁氧化物估值的偏差,本文通过无腐殖质干扰下(Ha=0,Fa=0)时颜色指数(Red%和Yellow%)与铁氧化物之间建立回归方程,反演有腐殖质干扰时(0.78125 g·kg–1、3.125 g·kg–1、12.5 g·kg–1、50 g·kg–1)的Hm和Gt含量,并计算其相对误差(RE)来衡量腐殖质对铁氧化物反演的干扰程度(图 6)。研究发现,腐殖质对铁氧化物定量的干扰能力与铁氧化物类型、腐殖质类型以及二者比例有关。整体而言,腐殖质对铁氧化物反演的干扰程度随着腐殖质含量增加而增大;Ha的干扰能力强于Fa。Ha的加入会导致Hm和Gt的估值偏低;Fa的干扰能力相对较弱,但干扰形式与铁氧化物种类及含量范围有关。
|
图 6 腐殖质对铁氧化物致色的干扰程度及相对误差 Fig. 6 The interference degree and relative error of humus to the coloration of iron oxides |
通过基于DRS计算的Red%估算Hm,Ha的加入普遍会使Hm估值偏低,干扰范围为- 67.59%~55.57%,仅在Hm < 1.5625g·kg–1时,会使Hm估值偏高(图 6a,图 6e)。Fa的干扰范围为-43.10%~145.04%,普遍会使Hm估值偏高,仅在Hm > 100 g·kg–1范围使Hm估值偏低(图 6b,图 6f)。
通过基于DRS计算的Yellow%估算Gt,Ha的加入一般会导致Gt估值偏低,相对误差为-89.69%~48.12%;仅在Gt < 0.78125 g·kg–1时使Gt估值偏高(图 6c,图 6g)。Fa的加入对Gt的估值干扰较小,干扰范围为-40.11%~92.34%,在Gt < 3.125 g·kg–1范围,Fa的加入使Gt估值偏高;在Gt > 3.125 g·kg–1范围,Fa普遍使Gt估值偏低。
3.3 基于光谱的铁氧化物含量适用范围及局限性本研究对热带亚热带地区基于颜色的土壤及沉积物的铁氧化物定量提供了重要参考,适用于氧化环境下的铁氧化物致色主导的富铁土及铁铝土等强风化土壤,对认识草原土壤和荒漠土壤的颜色变化也有重要启示,但草原土壤和荒漠土壤可能有暗色原生矿物、绿泥石等其他致色矿物干扰[37]。其次,对于受氧化还原影响的水稻土、沼泽土以及潜育土等,因有机质富集和铁氧化物的还原导致颜色还存在不确定性[38]。目前的模拟实验考虑问题偏向于腐殖质与铁氧化物二相混合系统,未考虑不同铁氧化物和不同腐殖质的内部干扰,还需进一步研究。
4 结论为明确土壤铁氧化物与腐殖质的交叉染色效应,通过以Kao为基底,Hm、Gt和Ha、Fa为致色端元的二元混合模拟光谱实验发现,Ha对Hm和Gt的致色效应具有削弱作用,一般使土壤的Mref %、L*和V降低,Red%和a*下降,Yellow%和b*下降,不同之处在于Ha使Hm序列的色调H从红(R)偏向黄红(YR),而Ha对Gt序列的H影响因Gt含量出现分异。与此同时,模拟土壤中Lab系统的a*和基于DRS计算的Red%与Hm含量之间、Lab系统的b*和基于DRS计算的Yellow%与Gt含量之间显著正相关,但这种关系会不同程度受到腐殖质干扰,Ha的干扰能力大于Fa,Ha的加入会导致基于颜色指数的Hm和Gt的估值普遍偏低。Fa的加入会使低含量Hm的估值偏高,高含量(> 100 g·kg–1)Hm的估值偏低;Fa的加入会使低含量(< 3.125 g·kg–1)Gt的估值偏高,高含量Gt的估值偏低。
| [1] |
Liu F, Rossiter D G, Zhang G L, et al. A soil colour map of China[J]. Geoderma, 2020, 379: 114556. DOI:10.1016/j.geoderma.2020.114556
( 0) |
| [2] |
Santos H G, Jacomine P K T, Anjos L H C, et al. Brazilian soil classification system . 5th ed[M]. Brasilia, 2018.
( 0) |
| [3] |
Gong Z T, Zhang G L, Chen Z C, et al. Soil reference on the bases of Chinese Soil Taxonomy (In Chinese)[J]. Chinese Journal of Soil Science, 2002, 33(1): 1-5. DOI:10.3321/j.issn:0564-3945.2002.01.001 [龚子同, 张甘霖, 陈志诚, 等. 以中国土壤系统分类为基础的土壤参比[J]. 土壤通报, 2002, 33(1): 1-5.]
( 0) |
| [4] |
Han P C, Dong D M, Xia D Z, et al. A smartphone-based soil color sensor: For soil type classification[J]. Computers and Electronics in Agriculture, 2016, 123: 232-241. DOI:10.1016/j.compag.2016.02.024
( 0) |
| [5] |
Silva L S, Marques J Jr, Barrón V, et al. Spatial variability of iron oxides in soils from Brazilian sandstone and basalt[J]. Catena, 2020, 185: 104258. DOI:10.1016/j.catena.2019.104258
( 0) |
| [6] |
Viscarra Rossel R A, Bui E N, de Caritat P, et al. Mapping iron oxides and the color of Australian soil using visible-near-infrared reflectance spectra[J]. Journal of Geophysical Research(Earth Surface), 2010, 115(F4): F04031.
( 0) |
| [7] |
Vodyanitskii Y N, Kirillova N P. Application of the CIE-L*a*b* system to characterize soil color[J]. Eurasian Soil Science, 2016, 49(11): 1259-1268. DOI:10.1134/S1064229316110107
( 0) |
| [8] |
Fernandez R N, Schulze D G. Munsell colors of soils simulated by mixtures of goethite and hematite with kaolinite[J]. Journal of Plant Nutrition and Soil Science, 1992, 155(5): 473-478.
( 0) |
| [9] |
Schwertmann U. Relations between iron oxides, soil color, and soil formation[M]//Soil Color. Madison, WI, USA: Soil Science Society of America, 2015: 51-69.
( 0) |
| [10] |
Hseung Y, Li Q K. Chinese soil (In Chinese). Beijing: Science Press, 1987. [熊毅, 李庆逵. 中国土壤[M]. 北京: 科学出版社, 1987.]
( 0) |
| [11] |
Pei H K, Zhu Z H, Qiao Y M, et al. Humus in soil and type of organic phosphorus of soil on different alpine meadow vegetation (In Chinese)[J]. Acta Pratacultural Science, 2001, 10(4): 18-23. DOI:10.3321/j.issn:1004-5759.2001.04.002 [裴海昆, 朱志红, 乔有明, 等. 不同草甸植被类型下土壤腐殖质及有机磷类型探讨[J]. 草业学报, 2001, 10(4): 18-23.]
( 0) |
| [12] |
Wang X H. Spatial variation of organic matter in horizontal zonal soils in China (In Chinese)[J]. Scientia Geographica Sinica, 2001, 21(1): 19-23. DOI:10.3969/j.issn.1000-0690.2001.01.004 [王秀红. 我国水平地带性土壤中有机质的空间变化特征[J]. 地理科学, 2001, 21(1): 19-23.]
( 0) |
| [13] |
Institute of Soil Science, Chinese Academy of Sciences. Chinese soil (In Chinese). Beijing: Science Press, 1978. [中国科学院南京土壤研究所. 中国土壤[M]. 北京: 科学出版社, 1978.]
( 0) |
| [14] |
Chen J K, Yuan D G, Yan Z M, et al. Comparison between colorimeter and new standard soil colour chart of China in determining Munsell color of soils-A case study of central Sichuan hilly region (In Chinese)[J]. Acta Pedologica Sinica, 2019, 56(1): 78-89. [陈剑科, 袁大刚, 晏昭敏, 等. 测色仪与中国标准土壤色卡测定土壤颜色比较——以川中丘陵区为例[J]. 土壤学报, 2019, 56(1): 78-89.]
( 0) |
| [15] |
Torrent J, Schwertmann U, Fechter H, et al. Quantitative relationships between soil color and hematite content[J]. Soil Science, 1983, 136(6): 354-358. DOI:10.1097/00010694-198312000-00004
( 0) |
| [16] |
Long X Y, Ji J F, Balsam W. Rainfall-dependent transformations of iron oxides in a tropical saprolite transect of Hainan Island, South China: Spectral and magnetic measurements[J]. Journal of Geophysical Research(Earth Surface), 2011, 116(F3): F03015.
( 0) |
| [17] |
Li Y C, Pan K, Wang C K, et al. PLSR-based prediction of soil color and its comparison with color space conversion method (In Chinese)[J]. Acta Pedologica Sinica, 2018, 55(6): 1411-1421. [李怡春, 潘恺, 王昌昆, 等. 基于PLSR的土壤颜色预测方法及其与色系转换法的对比研究[J]. 土壤学报, 2018, 55(6): 1411-1421.]
( 0) |
| [18] |
Zhu L D, Zhou S Z, Li F Q, et al. Climatic implication of the chroma of JL red earth section in the Lushan mountain (In Chinese)[J]. Tropical Geography, 2007, 27(3): 193-197. DOI:10.3969/j.issn.1001-5221.2007.03.001 [朱丽东, 周尚哲, 李凤全, 等. 庐山JL红土剖面的色度气候意义[J]. 热带地理, 2007, 27(3): 193-197.]
( 0) |
| [19] |
张志毅. 几种水平地带性土壤颗粒中粘粒矿物的组成与演化特征[D]. 武汉: 华中农业大学, 2016. Zhang Z Y. Composition and evolution characteristics of clay minerals in several horizontal zonality soil particles[D]. Wuhan: Huazhong Agricultural University, 2016. ( 0) |
| [20] |
Balsam W, Ji J, Renock D, et al. Determining hematite content from NUV/VIS/NIR spectra: Limits of detection[J]. American Mineralogist, 2014, 99(11/12): 2280-2291.
( 0) |
| [21] |
Sandeep K, Shankar R, Warrier A K, et al. Diffuse reflectance spectroscopy of a tropical southern Indian lake sediment core: A window to environmental change[J]. Episodes, 2017, 40(1): 47-56. DOI:10.18814/epiiugs/2017/v40i1/017007
( 0) |
| [22] |
Yang S L, Fang X M, Li J J, et al. Qualitative and semi-quantitative study on topsoil color and climate (In Chinese)[J]. Science in China(Series D: Earth Sciences), 2001, 31(S1): 175-181. [杨胜利, 方小敏, 李吉均, 等. 表土颜色和气候定性至半定量关系研究[J]. 中国科学(D辑: 地球科学), 2001, 31(S1): 175-181.]
( 0) |
| [23] |
Viscarra Rossel R A, Minasny B, Roudier P, et al. Colour space models for soil science[J]. Geoderma, 2006, 133(3/4): 320-337.
( 0) |
| [24] |
Ramos P V, Inda A V, Barrón V, et al. Color in subtropical Brazilian soils as determined with a Munsell chart and by diffuse reflectance spectroscopy[J]. CATENA, 2020, 193: 104609. DOI:10.1016/j.catena.2020.104609
( 0) |
| [25] |
Xiong J F, Zheng G H, Lin C. Estimating soil iron content based on reflectance spectra (In Chinese)[J]. Spectroscopy and Spectral Analysis, 2016, 36(11): 3615-3619. [熊俊峰, 郑光辉, 林晨. 基于反射光谱的土壤铁元素含量估算[J]. 光谱学与光谱分析, 2016, 36(11): 3615-3619.]
( 0) |
| [26] |
Long X Y, Ji J F, Balsam W, et al. Grain growth and transformation of pedogenic magnetic particles in red Ferralsols[J]. Geophysical Research Letters, 2015, 42(14): 5762-5770. DOI:10.1002/2015GL064678
( 0) |
| [27] |
Huang C M, Gong Z T. A study on the chemical properties of the soils derived from basalt in northern Hainan Island (In Chinese)[J]. Tropical Geography, 2001, 21(3): 207-212. DOI:10.3969/j.issn.1001-5221.2001.03.004 [黄成敏, 龚子同. 海南岛北部玄武岩上土壤发生的化学特性研究[J]. 热带地理, 2001, 21(3): 207-212.]
( 0) |
| [28] |
Torrent J, Schwertmann U, Schulze D G. Iron oxide mineralogy of some soils of two river terrace sequences in Spain[J]. Geoderma, 1980, 23(3): 191-208. DOI:10.1016/0016-7061(80)90002-6
( 0) |
| [29] |
Li Y, Song Y G, Wang Q S. Chroma characteristics in the Zhaosu loess section and its paleoclimatic significance (In Chinese)[J]. Journal of Earth Environment, 2014, 5(2): 67-75. [李越, 宋友桂, 王千锁. 新疆昭苏黄土剖面色度变化特征及古气候意义[J]. 地球环境学报, 2014, 5(2): 67-75.]
( 0) |
| [30] |
Gao P K, Pang J L, Huang C C, et al. Chroma characteristics and its significances of the Chafangcun loess-paleosol profile in southeast Shaanxi, China (In Chinese)[J]. Acta Sedimentologica Sinica, 2015, 33(3): 537-542. [高鹏坤, 庞奖励, 黄春长, 等. 陕南丹凤茶房村黄土-古土壤剖面色度参数特征[J]. 沉积学报, 2015, 33(3): 537-542.]
( 0) |
| [31] |
Vodyanitskii Y N, Kirillova N P, Manakhov D V, et al. Iron compounds and the color of soils in the Sakhalin Island[J]. Eurasian Soil Science, 2018, 51(2): 163-175.
( 0) |
| [32] |
Ji J F, Chen J, Balsam W, et al. Quantitative analysis of hematite and goethite in the Chinese loess-paleosol sequences and its implication for dry and humid variability (In Chinese)[J]. Quaternary Sciences, 2007, 27(2): 221-229. [季峻峰, 陈骏, Balsam W, 等. 黄土剖面中赤铁矿和针铁矿的定量分析与气候干湿变化研究[J]. 第四纪研究, 2007, 27(2): 221-229.]
( 0) |
| [33] |
周玮. 黄土高原第三纪红粘土中针铁矿和赤铁矿的漫反射光谱学研究[D]. 南京: 南京大学, 2008. Zhou W. Thermal differentiation and determination of goethite and hematite in Red Clay, Chinese Loess Plateau[D]. Nanjing: Nanjing University, 2008. ( 0) |
| [34] |
Baumgardner M F, Kristof S, Johannsen C J, et al. Effects of organic matter on the multispectral properties of soils[J]. Indiana Academy of Science, 1970, 3939: 413-422.
( 0) |
| [35] |
Galvao L S, Vitorello I. Role of organic matter in obliterating the effects of iron on spectral reflectance and colour of Brazilian tropical soils[J]. International Journal of Remote Sensing, 1998, 19(10): 1969-1979.
( 0) |
| [36] |
Peng J, Zhang Y Z, Zhou Q, et al. Spectral characteristics of soils in Hunan Province as affected by removal of soil organic matter (In Chinese)[J]. Soils, 2006, 38(4): 453-458. [彭杰, 张杨珠, 周清, 等. 去除有机质对土壤光谱特性的影响[J]. 土壤, 2006, 38(4): 453-458.]
( 0) |
| [37] |
Zhang M J, Zhang Y, Li X H, et al. Mineral compositions of soil in the arid and semiarid region and their environmental significance (In Chinese)[J]. Journal of Lanzhou University(Natural Sciences), 2007, 43(3): 1-7. [张铭杰, 张昱, 李小虎, 等. 干旱半干旱地区土壤矿物组成特征及其环境意义[J]. 兰州大学学报(自然科学版), 2007, 43(3): 1-7.]
( 0) |
| [38] |
Zhu X Y, Yuan Y X, Song C C, et al. Advance in dissimilatory iron reduction in wetland soils and sediments (In Chinese)[J]. Wetland Science, 2020, 18(1): 122-128. [朱晓艳, 袁宇翔, 宋长春, 等. 湿地土壤和沉积物异化铁还原过程研究进展[J]. 湿地科学, 2020, 18(1): 122-128.]
( 0) |
2023, Vol. 60



0)