2. 中国科学院大学, 北京 100049;
3. 西北农林科技大学资源环境学院, 陕西杨凌 712100
2. University of Chinese Academy of Sciences, Beijing 100049, China;
3. School of Resources and Environment, Northwest A & F University, Yangling, Shaanxi 712100, China
黄土高原地区煤炭资源丰富,所持有的大型煤矿与煤炭开采量均占全国的60%以上[1-2],但黄土高原土壤风化强烈,侵蚀严重,是我国典型的生态脆弱区[3],在本区进行如此大规模的煤炭开采,特别是以“采-排-复”为特点的露天煤矿开采过程会造成地表塌陷、水位下降、植被破坏等问题,降低了环境承载能力[3-5]。排土场复垦一直是露天矿区修复的热点问题,其土壤由于机械重复碾压致使土壤结构破坏、孔隙度小、渗水性差,同时兼具有效水分含量低、养分贫瘠等问题,严重阻碍了植物生产[6-7],因此矿区排土场治理得当便可以提供大量土地资源并发挥其重要的生态功能,对此研究排土场土壤的改良对于矿区的生态修复和黄土高原绿色生态屏障的构建具有重要意义[3,8]。
土壤水分是干旱半干旱地区植物生长的主要限制因子,对于排土场土壤这种存在问题的土壤,改善土壤水分特性对于土壤复垦和生态修复具有重要意义[9],白中科和Vos等[1,10]认为土壤重构从机械组成的角度很直接地反映了土壤的持水保水性能,是矿区土壤复垦的核心方法之一。当前,粉煤灰、砒砂岩凭借各自的理化特性广泛应用于土壤改良中,武琳、赵亮等[11-12]的研究表明施用粉煤灰能明显地降低沙土的渗透性能,有效地改良了沙土的持水能力;张露等[2]认为风沙土与砒砂岩复配后提高了土壤的田间持水量和全有效水含量,且砒砂岩与风沙土按质量比5︰1混合时效果最好。学者们对粉煤灰、砒砂岩用于土壤改良的研究成果丰富,但相对比较单一独立,且将重构土壤机械组成与水分特性相结合的研究还需深入[2,13-14]。基于此,本研究以位于内蒙古自治区的黑岱沟露天煤矿为对象进行土壤改良试验研究,利用当地来源广泛且低廉的粉煤灰、砒砂岩作为添加物,结合水分特征曲线研究不同比例重构土壤的田间持水量、比水容重、有效水含量等,探讨粉煤灰、砒砂岩在排土场复垦中用于土壤水分特性的改良作用,寻求最为合适的土壤质地组成和复配比例,旨在为黄土区露天煤矿排土场的复垦与生态恢复提供技术支持和理论依据。
1 材料与方法 1.1 研究区概况黑岱沟露天煤矿(39°43′—39°49′N,111°13′—111°20′E)位于内蒙古自治区鄂尔多斯市准格尔煤田中部,地处黄河西岸,是晋、陕、蒙接壤黄土地区的一部分。排土场的土壤为复填土,土壤堆积过程经过了剧烈扰动和碾压,地貌平坦且质地较轻,养分含量低,土壤结构性差,是典型的矿区土壤类型,极易发生水土流失[15]。矿区内存在燃煤发电厂,可产生大量的粉煤灰,矿区所在的准格尔旗为砒砂岩区,因此,粉煤灰和砒砂岩的来源广泛且获取便捷。排土场的治理自1997年便开始大规模实施,复垦的主要方式是植被重建,但植被长势一般,与土壤性质较差有关[16]。
1.2 试验材料本试验在实验室进行模拟研究。试验所用砒砂岩系内蒙古准格尔旗的黄砒砂岩,其中黏土矿物主要以水敏性的蒙脱石族矿物为主,骨骼颗粒主要由石英、长石组成,颗粒间孔隙较少,但裂隙相对较多,并且颗粒间及颗粒表面赋存的胶结物质较多,胶结结构属于较为松散的基底—孔隙式结构,化学组成中SiO2含量最高,约为40%~50%,Al2O3含量在7%~16%,Fe2O3含量在1%~7%[17];粉煤灰来自于黑岱沟露天煤矿燃煤发电厂,粉煤灰中细粉粒比重很大且玻璃微珠含量多,SiO2的含量占70%以上,此外还含Al2O3、Fe2O3、CaO、MgO、B等物质,其化学性质和自然土壤较为相似[11]。
实验前先将三种试验材料风干研磨后过2 mm孔径筛,混合均匀后采用四分法取样,并用英国马尔文的Mastersizer 2000测定机械组成(国际制),试验材料的机械组成测定结果如表 1。
|
|
表 1 试验材料的机械组成 Table 1 Mechanical composition of the test material |
考虑到土壤改良的可行性和经济性,设定添加物的比例小于排土场土壤比例,否则需要大量的添加物,工程的可操作性和经济性将严重降低。本试验将粉煤灰标记为F,砒砂岩标记为S,排土场土壤标记为L,设计(LF组合处理、LS组合处理、LFS组合处理)三组不同的混合方式,每组按不同的比例梯度混合设计(如表 2)。将充分混合好的样品按照容重1.35 g·cm–3装入100 cm3环刀中,每个处理3个重复。使用高速离心机测定土壤水分特征曲线,选取13个水吸力点,在土壤水吸力为3,5,7,10,30,50,70,100,300,500,700,1 000,1 300 kPa下设定转速,测定不同吸力下的土壤含水量。
|
|
表 2 各试验处理复配质量比例设计 Table 2 The composite mass proportion of each test treatment |
Gardner模型符合脱水曲线的中低水吸力段,能较好地表达土壤水分特征曲线的变化趋势。宋佳龙等[13]在沙土复配的草坪根系层土壤中应用了该经验公式,表明Gardner模型能很好地拟合该类型土壤的水分特征曲线。故本试验的土壤水分特征曲线采用Gardner模型进行拟合,其参数方程为:
| $ S=a \cdot \theta^{-\mathrm{b}} $ |
式中,a、b为经验参数;S为土壤水吸力(100 kPa);θ为体积含水量(cm3·cm–3),将上式对土壤含水量θ求导得出土壤比水容量的计算公式为:
| $ {C_\theta } = A \cdot B \cdot {S^{ - (B + 1)}} $ |
式中,Cθ为土壤的比水容量,参数A为土壤水吸力S=100 kPa时的容积含水量,在一定程度上反映了土壤持水能力的大小[18];参数(B+1)表明比水容量随水吸力变化快慢的程度;参数A*B为土壤水吸力为100 kPa时的比水容量值C0,可用来反映土壤供水能力的大小,在衡量土壤水分对植物的有效性上具有重要意义[18]。
通过复配土壤的水分特征曲线可以得到一些重要的水分参数。在该类型复配土壤中,田间持水量大约相当于水吸力为33 kPa时的土壤含水量,萎蔫系数大约相当于水吸力为1500 kPa时的土壤含水量[2,19]。在田间持水量和萎蔫系数之间的水分被认为是有效的,田间持水量减去萎蔫系数为最大有效含水量,因吸收难易程度不同,有效水又可以分为速效水和迟效水,速效水的含量为田间持水量减去水吸力为600 kPa时的土壤含水量,迟效水含量指水吸力为600 kPa时的土壤含水量减去萎蔫系数[20-21]。
数据通过Excel进行初步整理计算,使用Origin 2018进行土壤水分特征曲线的拟合与绘制。
2 结果 2.1 不同处理复配土壤的机械组成及水分特征曲线排土场土壤与粉煤灰、砒砂岩复配后土壤的机械组成改变显著(图 1),复配土壤的土粒粒径均有不同程度的减小。组合处理LF的机械组成变化最为明显,随着粉煤灰添加比例的提高,砂粒含量由L5F1处理的69.82%降低至L3F1处理的60.95%,粉粒含量则由25.48%提高至32.56%,相较于排土场土壤L3F1处理的黏粒含量提高了56.09%,粉粒含量提高了78.42%,砂粒含量降低了21.45%;组合处理LFS的机械组成变化规律与组合处理LF相同,复配土壤中黏粒、粉粒含量随着砒砂岩、粉煤灰添加比例的提高而提高,其中L1F1S1处理中黏粒含量达8.07%,较L1F1处理提高了26.09%,粉粒含量达26.53%,较排土场提高了44.97%;组合处理LS的机械组成变化相较于组合处理LF和组合处理LFS并不太明显。
|
图 1 不同处理土壤复配土壤的机械组成 Fig. 1 Mechanical composition of fly ash, arsenic sandstone and dump soil |
图 2为粉煤灰、砒砂岩与排土场土壤在不同质量比例下复配后的水分特征曲线,图中点为实测值,线为拟合线。各处理的水分特征曲线所呈现的大致规律相同,各曲线在1~100 kPa吸力下,随着水吸力的增加,土壤含水量下降迅速,在100 kPa以后,曲线逐渐平缓。随着复配土壤中粉煤灰、砒砂岩添加比例的增加,其水分特征曲线逐渐向上移动,越来越接近纯粉煤灰、纯砒砂岩的水分特征曲线,即在同一土壤水吸力(1~1 300 kPa)下,随着粉煤灰、砒砂岩质量比例的增加,其土壤含水量也逐渐增大。
|
图 2 排土场土壤与砒砂岩(a)排土场土壤与粉煤灰(b)排土场土壤与粉煤灰、砒砂岩(c)不同复配比例土壤的水分特征曲线 Fig. 2 (a)soil-water characteristic curve of arsenic sandstone and dump soil with different mix ratios; (b)soil-water characteristic curve of fly ash and dump soil with different mix ratios; (c)soil-water characteristic curve of arsenic sandstone, fly ash and dump soil with different mix ratios |
表 3为不同处理下土壤水分特征曲线的拟合方程,在不同质量比的混合处理和对照处理中,粉煤灰、砒砂岩、排土场土壤质量混合比例为1︰1︰1(L1F1S1)时,曲线拟合方程为:S=0.2034θ–0.284,Gardner模型的拟合精度最高,R2=0.9929;当为纯排土场土壤(L)时,拟合方程为:S=0.1378θ–0.305,Gardner模型的拟合精度最低,R2=0.9476。因此,Gardner模型能很好地拟合不同处理复配土壤的水分特征曲线。
|
|
表 3 不同处理下土壤水分特征曲线拟合方程 Table 3 The curve fitting equation of soil moisture characteristics under different treatments |
利用图 2的水分特征曲线,可得到复配土壤比水容量的相关参数值。参数A值在一定程度上表征了土壤持水能力的大小,由表 4可见,LS组合处理间A值的排序为L < L5S1 < L4S1 < L3S1 < L2S1 < L1S1 < S,随着砒砂岩质量比例的增大,A值由L5S1处理的0.1393增加至L1S1处理的0.1735;LF组合处理间A值的排序为L < L5F1 < L4F1 < L3F1 < F,且A值大于同质量比例的LS组合处理;LFS组合处理的A值变化规律与LF组合处理、LS组合处理相同,A值由L5F1S1处理的0.1636增加至L1F1S1处理的0.2034。13种复配土壤中L5S1处理的A值最小为0.1393,相较于排土场土壤(A=0.1308)提升了6.50%,L1F1S1处理的A值最大为0.2034,相较于排土场土壤提升了55.50%。
|
|
表 4 不同水吸力下不同处理复配土壤的比水容重/[mL·(100 kPa·g)–1]] Table 4 Specific water capacity of soil mixed with different mass ratios of arsenic sandstone, fly ash and dump soil under different water suction |
A*B值可用来反映土壤供水能力的大小。纯粉煤灰的供水性最好,A*B值为0.0709,纯砒砂岩A*B的值仅为0.0290,小于排土场土壤的A*B值0.042,供水性最差。FS组合处理的复配土壤A*B值排序为:S < L1S1 < L2S1 < L3S1 < L4S1 < L5S1 < L,A*B的值随砒砂岩质量比例的增加而减小;组合处理LFS间的A*B的值由L5F1S1处理的0.0506增加至L5F1S1处理的0.0578,A*B的值与砒砂岩、粉煤灰的混合比例有显著的线性关系,其线性方程为y=0.00791x+ 0.04872(R2=0.982)(其中y为砒砂岩、粉煤灰的混合质量比例,x为参数A*B的值)。参数(B+1)表明比水容量随水吸力变化快慢的程度[22],LF组合处理的(B+1)值随着粉煤灰添加比例的提高而增大,LFS组合处理和LS组合处理则正好相反,随着添加比例的提高,比水容量随水吸力变化程度逐渐减慢。
表 4为各处理复配土壤在1~1 000 kPa水吸力条件下的比水容量。在中低水吸力(1~500 kPa)条件下,LF组合处理、LFS组合处理的比水容量随着添加比例的增加而增大,但LS组合处理呈现的规律相反,比水容量随着砒砂岩质量比例的增加而减少。不同处理间比水容量达到10–2数量级时对应的土壤水吸力不同,LFS组合、LF组合处理达到10–2数量级的土壤水吸力为100 kPa,此时土壤供水能力较强,在相同土壤水吸力下,LFS组合处理的比水容重大于LF组合处理;LS组合处理所呈现的规律正好相反,达到10–2数量级时对应的土壤水吸力与排土场土壤一致均为50 kPa,此时土壤向作物供水的能力相对较弱,因为当比水容量达到10–2数量级时,土壤水分处于毛管断裂含水量的水平,此时土壤的供水能力不再能及时地满足作物生长需要;当土壤水吸力大于500 kPa时,各处理的比水容重均达到10–3数量级,变化不大逐渐趋于稳定,此时复配土壤中的水分基本处于作物难以利用的状态。
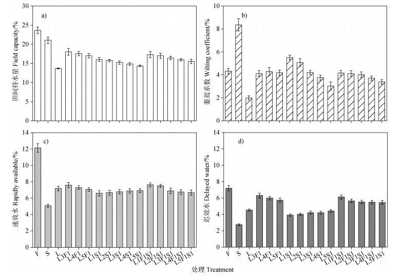
2.3 不同处理复配土壤的水分有效性图 3为各复配土壤水分有效性情况,各处理间土壤水分的有效性上存在较大差异。在LFS组合处理中,随着添加比例的增加,田间持水量由L5F1S1处理的15.52%上升至L1F1S1处理的17.26%,在各处理中涨幅最大,复配土壤中的有效水含量由L5F1S1处理的12.13%上升至L1F1S1处理的13.10%,土壤有效水含量随着添加比例的提高而上升,经拟合发现,砒砂岩、粉煤灰的质量比例与土壤有效水含量呈正比例函数关系,其关系为y= 2.39x+11.47(其中y为土壤有效水含量,x为复配土壤中添加材料的质量比例),R2=0.9779;LF组合处理中田间持水量和有效水含量变化规律同LFS组合处理,其中L3F1处理复配土壤中速效水含量达7.60%,相较于排土场土壤(7.17%)提升了6.00%;在FS组合处理中,田间持水量由L5S1处理的14.35%增加至L1S1处理的16.02%,其中L1S1处理的萎蔫系数为5.51%,13组处理中最大,较排土场土壤(萎蔫系数=1.98%)增加了178.28%。
|
图 3 不同处理复配土壤的田间持水量(a)、萎蔫系数(b)、速效水含量(c)、迟效水含量(d) Fig. 3 Field capacity(a), wilting coefficient(b), rapidly available water content(c)and delayed water content(d)of soils mixed with fly ash, arsenic sandstone and dump soil in different proportions |
研究结果表明,砒砂岩、粉煤灰与排土场土壤混合能够改良土壤的持水性,且随着添加比例的增加,土壤水分特征曲线呈上移的趋势,复配土壤的持水能力逐渐增强,当等质量比的砒砂岩、粉煤灰比加入到排土场土壤中时,A值变化规律与砒砂岩、粉煤灰单独添加情况相同,且L1F1S1处理的A值大于L1S1处理和L3F1处理,故在排土场土壤中添加等质量比的砒砂岩和粉煤灰能够提高土壤的持水性,且持水效果优于砒砂岩、粉煤灰单独与排土场土壤混合。这是因为在排土场土壤中添加粉煤灰显著改变了原土壤的机械组成,添加比例越高复配土壤的细土粒含量越高,其中L1F1S1处理的黏粒、粉粒含量最高达34.6%,相较于排土场土壤提高了54.46%,随着土粒粒径的减小,土粒的吸湿量、持水量不断增加[23],同时粉煤灰中含有的SiO2和Al2O3会发生水化作用保持水分[12];葛磊等[17]关于砒砂岩的研究得出,砒砂岩不仅材料密度低,透水、透气性能良好,而且其矿物组成以水敏性的蒙脱石矿物为主,胶体特性突出,吸湿性显著,持水能力强。因此,粉煤灰和砒砂岩作为土壤改良剂均能提高排土场土壤的持水性能[24]。
在排土场土壤中添加粉煤灰或者等质量比的砒砂岩、粉煤灰混合物则能够很好地改良排土场土壤的供水性能,且添加比例越高,供水性能越好,而砒砂岩并不能改良排土场土壤的供水性能。其中L1F1S1处理、L3F1处理的A*B值最大分别为0.0539、0.0589,相较于排土场土壤分别提高了28.33%、40.23%,这说明当排土场土壤与粉煤灰复配比例为3︰1时,土壤供水性能最好,排土场土壤、粉煤灰、砒砂岩以1︰1︰1的比例混合时也能够很好地改良土壤的供水性能,但效果与纯粉煤灰相比次之。这是因为粉煤灰的加入改变了排土场土壤的孔隙结构,小粒径的粉煤灰颗粒具有丰富的小孔隙和巨大的比表面积,使得总孔隙度减少而毛管孔隙比例升高[12],因此在中低水吸力(1~500 kPa)条件下,复配土壤的比水容量随着添加质量比例的增加而增大,比水容量达到10–2数量级时的土壤水吸力为100 kPa(排土场土壤为10 kPa),此时土壤比水容量较高,土壤供水能力较强。这与尚熳廷等[21,25]得到的结论一致,土壤孔隙较大处的毛管势较小,其中的水分在较小水吸力下就能排出,且土壤大孔隙能储存相对较多的水分,在增加相同水吸力的情况下能排出较多水分,从而土壤含水量变化也较大,所以在水吸力较小时比水容量较大,且比水容量随水吸力的变化趋势也较快,但随着水吸力的逐渐升高,土壤大孔隙中水分被排尽,当继续增加水吸力时,此时小孔隙便开始失水,但小孔隙的失水情况与大孔隙刚好相反,所以随着水吸力的继续增加,其比水容量减小,且变化幅度也有所减慢。
在排土场土壤中添加粉煤灰、砒砂岩或者等质量比的砒砂岩、粉煤灰混合物均可以提高土壤的田间持水量,其中粉煤灰的效果最好;虽然砒砂岩能够改良土壤的田间持水量,但其降低了排土场土壤的有效水含量,这是因为砒砂岩虽然提高了复配土壤的田间持水量,但由于蒙脱石系2︰1型的晶层结构,晶层间的结合力很弱,具有很大的胀缩性,遇水膨胀使得胶结较弱的砒砂岩破碎[26],大大提高了土壤的萎蔫系数,这就导致了复配土壤的有效含水量降低;在排土场土壤中添加粉煤灰或者等质量比的砒砂岩、粉煤灰混合物后,不仅可以提高土壤的田间持水量,也可以提高土壤有效水含量,L1F1S1和L3F1处理有效含水量分别为13.10%、13.9%,相较于排土场土壤提高了11.7%、18.8%,土壤有效水含量的增加,有利于协调气候与水分之间的矛盾,为作物生长提供必要的水分支撑[27]。
4 结论(1)Gardener模型(S=a·θ–b)很好地拟合了砒砂岩、粉煤灰与排土场土壤复配后的水分特征曲线,能准确表征复配土壤的水分特性。在排土场土壤中添加粉煤灰显著增加了细土粒含量,其中粉粒、黏粒含量达30%左右,当排土场土壤与粉煤灰质量比例不超过3︰1时,复配土壤的持水性和供水性随着粉煤灰添加比例的增加而提高;在排土场土壤中添加质量比例小于50%的砒砂岩时,复配土壤具有很好持水性,且效果优于同比例添加的粉煤灰,但复配土壤的供水性能、速效水含量随之下降。(2)在排土场土壤中添加等质量比的粉煤灰、砒砂岩,即能保证复配土壤的持水性又能提高供水性,因此针对矿区排土场这一类缺少黏粒、粉粒但砂粒含量较高的粗质地土壤,推荐综合应用细土粒含量高的粉煤灰和砒砂岩进行土壤改良,当复配土壤的黏粒、粉粒含量在30%~35%范围内时,土壤水分特性的改良效果较好,本试验中三者的复配比例为1︰1︰1时,复配土壤的持水供水能力最佳,是否能找到更优的粉煤灰、砒砂岩复配比例,还需进一步研究探讨。
| [1] |
Bai Z K, Wang W Y, Li J C, et al. Ecological rehabilitation of drastically disturbed land at large opencut coal mine in loess area (In Chinese)[J]. Chinese Journal of Applied Ecology, 1998, 9(6): 621-626. DOI:10.3321/j.issn:1001-9332.1998.06.012 [白中科, 王文英, 李晋川, 等. 黄土区大型露天煤矿剧烈扰动土地生态重建研究[J]. 应用生态学报, 1998, 9(6): 621-626.]
( 0) |
| [2] |
Zhang L, Han J C, Luo L T, et al. Water-holding characteristics of compounded soil with feldspathic sandstone and aeolian sandy soil (In Chinese)[J]. Journal of Northwest A & F University(Natural Science Edition), 2014, 42(2): 207-214. [张露, 韩霁昌, 罗林涛, 等. 砒砂岩与风沙土复配土壤的持水特性研究[J]. 西北农林科技大学学报(自然科学版), 2014, 42(2): 207-214.]
( 0) |
| [3] |
Wang Z H, Liu Z B, Chen J P. Research on plan of land reclamation and ecological reconstruction in Hei Daigou Open Mine (In Chinese)[J]. Opencast Coal Mining Technology, 2003, 18(1): 19-21. DOI:10.3969/j.issn.1671-9816.2003.01.010 [王志宏, 刘志斌, 陈建平. 黑岱沟露天煤矿土地复垦及生态重建规划研究[J]. 露天采矿技术, 2003, 18(1): 19-21.]
( 0) |
| [4] |
Wang S F, Cao Y G, Bai Z K, et al. Spatial characteristics of reconstructed soil texture in dumping site of loess open-pit mining area (In Chinese)[J]. Journal of Northwest Forestry University, 2020, 35(6): 40-51. [王舒菲, 曹银贵, 白中科, 等. 黄土露天矿区排土场重构土壤质地空间特征研究[J]. 西北林学院学报, 2020, 35(6): 40-51.]
( 0) |
| [5] |
Liu Z, Han L, Wang D Y, et al. Soil physicochemical properties and quality assessment in the coal mining area of Loess Plateau in Northern Shaanxi Province (In Chinese)[J]. Journal of China Coal Society, 2021, 46(5): 1555-1564. [刘钊, 韩磊, 王丹月, 等. 陕北黄土高原煤矿区土壤理化性质及质量评价[J]. 煤炭学报, 2021, 46(5): 1555-1564.]
( 0) |
| [6] |
Huang Y H, Cao Y G, Pietrzykowski M, et al. Spatial distribution characteristics of reconstructed soil bulk density of opencast coal-mine in the loess area of China[J]. Catena, 2021, 199: 105116. DOI:10.1016/j.catena.2020.105116
( 0) |
| [7] |
Xi M Z, Zhao Z Q, Bai Z K, et al. A review on soil carbon sequestration in reclaimed opencast coal mine (In Chinese)[J]. Chinese Journal of Soil Science, 2019, 50(3): 748-756. [席梅竹, 赵中秋, 白中科, 等. 露天煤矿区复垦土壤碳库研究进展[J]. 土壤通报, 2019, 50(3): 748-756.]
( 0) |
| [8] |
Li H K, Zhang Y N. Evaluation of soil quality in the dump of Heidaigou mining area, Inner Mongolia (In Chinese)[J]. Soil and Water Conservation in China, 2014(10): 63-66. [李海宽, 张雅楠. 内蒙古黑岱沟矿区排土场土壤质量评价[J]. 中国水土保持, 2014(10): 63-66.]
( 0) |
| [9] |
Shan L. Plant water use efficiency and agricultural water use in semi-arid regions (In Chinese)[J]. Plant Physiology Communications, 1994, 30(1): 61-66. [山仑. 植物水分利用效率和半干旱地区农业用水[J]. 植物生理学通讯, 1994, 30(1): 61-66.]
( 0) |
| [10] |
Vos C, Don A, Prietz R, et al. Field-based soil-texture estimates could replace laboratory analysis[J]. Geoderma, 2016, 267: 215-219.
( 0) |
| [11] |
Wu L, Zheng Y H, Zhang Z G, et al. Assessment of nutrient and pollution risk of fly ash as a soil amendment (In Chinese)[J]. Environmental Science & Technology, 2020, 43(9): 219-227. [武琳, 郑永红, 张治国, 等. 粉煤灰用作土壤改良剂的养分和污染风险评价[J]. 环境科学与技术, 2020, 43(9): 219-227.]
( 0) |
| [12] |
Zhao L, Tang Z J, Liu F. Laboratory tests of fly ash as a sandy soil amendment and its effects on soil water (In Chinese)[J]. Acta Scientiae Circumstantiae, 2009, 29(9): 1951-1957. [赵亮, 唐泽军, 刘芳. 粉煤灰改良沙质土壤水分物理性质的室内试验[J]. 环境科学学报, 2009, 29(9): 1951-1957.]
( 0) |
| [13] |
Song G L, Han L B, Li D Y. Hydraulic conductivity characteristics of rootzones at different ratios of sand to soil (In Chinese)[J]. Journal of Beijing Forestry University, 2008, 30(4): 89-94. [宋桂龙, 韩烈保, 李德颖. 不同沙土配比根系层导水特性研究[J]. 北京林业大学学报, 2008, 30(4): 89-94.]
( 0) |
| [14] |
Gangloff W J, Ghodrati M, Sims J T, et al. Impact of fly ash amendment and incorporation method on hydraulic properties of a sandy soil[J]. Water, Air, and Soil Pollution, 2000, 119(1/2/3/4): 231-245.
( 0) |
| [15] |
Liu H T, Zheng J Y, Li G L, et al. Characteristics of soil aggregates in the Shanxi-Shaanxi-Inner Monglia opencast coal dump, China (In Chinese)[J]. Journal of Agro-Environment Science, 2021, 40(1): 137-143. [刘鸿涛, 郑纪勇, 李高亮, 等. 晋陕蒙露天煤矿排土场土壤团聚体的变化特征[J]. 农业环境科学学报, 2021, 40(1): 137-143.]
( 0) |
| [16] |
Tang J, Dang T H, Xue J, et al. Effects of vegetation restoration on soil aggregate characteristics of an opencast coal mine dump in the loess area (In Chinese)[J]. Acta Ecologica Sinica, 2016, 36(16): 5067-5077. [唐骏, 党廷辉, 薛江, 等. 植被恢复对黄土区煤矿排土场土壤团聚体特征的影响[J]. 生态学报, 2016, 36(16): 5067-5077.]
( 0) |
| [17] |
Ge L, Li J, Peng B. Study on microstructure characteristics of soft rocks in Ordos (In Chinese)[J]. Land Development and Engineering Research, 2019, 4(8): 36-42. [葛磊, 李娟, 彭飚. 鄂尔多斯砒砂岩微观结构特征研究[J]. 西部大开发: 土地开发工程研究, 2019, 4(8): 36-42.]
( 0) |
| [18] |
Li K Y, Li Y S. Significance and application of soil moisture characteristic curve (In Chinese)[J]. Shaanxi Journal of Agricultural Sciences, 1991, 37(4): 47-48. [李开元, 李玉山. 土壤水分特征曲线的意义及其应用[J]. 陕西农业科学, 1991, 37(4): 47-48.]
( 0) |
| [19] |
Li Y L, Guo C Y, Xu M. Non-saturated layer moisture content characteristic curve empirical formula research (In Chinese)[J]. China Mining Magazine, 2010, 19(8): 105-109. [李云龙, 郭春颖, 徐敏. 非饱和带水分特征曲线经验公式研究[J]. 中国矿业, 2010, 19(8): 105-109.]
( 0) |
| [20] |
Yuan J F. Soil moisture characteristic curve and soil moisture hysteresis (In Chinese)[J]. Chinese Journal of Soil Science, 1986, 17(1): 43-47. [袁剑舫. 土壤水分特征曲线和土壤水分的滞后现象[J]. 土壤通报, 1986, 17(1): 43-47.]
( 0) |
| [21] |
Fu X L, Shao M A, Lü D Q. Quantitative relationship between mass water content, pressure head and bulk density in determination of soil water retention characteristics Ⅱ. Undisturbed soils (In Chinese)[J]. Acta Pedologica Sinica, 2008, 45(1): 50-55. [付晓莉, 邵明安, 吕殿青. 土壤持水特征测定中质量含水量、吸力和容重三者间定量关系Ⅱ.原状土壤[J]. 土壤学报, 2008, 45(1): 50-55.]
( 0) |
| [22] |
Ning T, Guo Z S, Li Y L. Soil water characteristic curves and soil water constants at different depths in the abandoned sloping field of loess hilly region (In Chinese)[J]. Journal of Soil and Water Conservation, 2014, 28(3): 166-170. [宁婷, 郭忠升, 李耀林. 黄土丘陵区撂荒坡地土壤水分特征曲线及水分常数的垂直变异[J]. 水土保持学报, 2014, 28(3): 166-170.]
( 0) |
| [23] |
Yang D, Ma Y D. Feasibility studies on coal-fly-ash application in refuse dump of coal mine for soil improvement (In Chinese)[J]. Journal of Liaoning Technical University, 2006, 25(S1): 324-326. [杨丹, 马云东. 用粉煤灰对煤矿排土场土壤改良可行性研究[J]. 辽宁工程技术大学学报, 2006, 25(S1): 324-326.]
( 0) |
| [24] |
Mi M X, Shao M A, Wu X G, et al. The effects of coal gangues and caliche nodules on plant growth and soil moisture (In Chinese)[J]. Acta Pedologica Sinica, 2021, 58(6): 1460-1471. [米美霞, 邵明安, 武小刚, 等. 煤矸石和钙结石对植物生长和土壤含水量的影响[J]. 土壤学报, 2021, 58(6): 1460-1471.]
( 0) |
| [25] |
Shang M T, Zhang J Y, Liu J F, et al. Effects of macropore on soil specific water capacity and unsaturated hydraulic conductivity (In Chinese)[J]. Journal of Irrigation and Drainage, 2012, 31(2): 1-5. [尚熳廷, 张建云, 刘九夫, 等. 大孔隙对土壤比水容重及非饱和导水率影响的实验研究[J]. 灌溉排水学报, 2012, 31(2): 1-5.]
( 0) |
| [26] |
Huang C Y. Coursematerials for the 21 st century-Soil science (In Chinese). Beijing: China Agricultural Science and Technology Press, 2000: 24-25. [黄昌勇. 面向21世纪课程教材土壤学[M]. 北京: 中国农业出版社, 2000: 24-25.]
( 0) |
| [27] |
Zheng Z C, Li W, Li T X, et al. Soil water retention curve based on fractal theory in greenhouse soil (In Chinese)[J]. Transactions of the Chinese Society for Agricultural Machinery, 2012, 43(5): 49-54. [郑子成, 李卫, 李廷轩, 等. 基于分形理论的设施土壤水分特征曲线研究[J]. 农业机械学报, 2012, 43(5): 49-54.]
( 0) |
2023, Vol. 60



0)