2. 南京林业大学江苏省南方现代林业协同创新中心, 南京 210037;
3. 中粮家佳康(江苏)有限公司, 江苏东台 224200
2. Co-Innovation Center for Sustainable Forestry in Southern China, Nanjing Forestry University, Nanjing 210037, China;
3. COFCO Jiajiakang (Jiangsu) Co., Ltd., Dongtai, Jiangsu 224200, China
反硝化(Denitrification,Den)与硝态氮氨化(Dissimilatory nitrate reduction to ammonium,DNRA)是
沼液是沼气工程的副产物,富含氮素和作物生长所需的其他养分,施用于农田可以显著提高作物产量,因此已成为目前化学氮肥减量与替代的重要方式。尽管已有报道表明沼液施用可使农田土壤N2O排放量增加[7],然而由于沼液同时含有
我国江苏滨海地区地广人稀,土地成本低,分布着大量大型集约化畜禽养殖企业,大量沼液入田与利用已经得到当地农户的普遍认可,相关环境效应的研究也逐渐成为研究的热点。因此,本文选择该区域沼液消纳量最大的稻田为对象,通过田间定位试验,深入研究沼液替代化肥及其与秸秆联用对水稻不同生育期土壤Den、DNRA过程的影响,以期为沼液替代化学氮肥以及秸秆还田的环境效益评估提供理论依据。
1 材料与方法 1.1 研究区概况研究区位于江苏省东台市(32°38′23″N,120°53′59″E),属于典型的季风气候,年均温度16 ℃,降水量为1 061 mm,年均日照达2 130 h。该区域农田为滨海盐碱地改良而成,土壤为粉砂质壤土,砂粒、粉粒、黏粒含量分别为36.2%、56.7%、7.1%。其中,稻麦轮种和秸秆全量还田为当地传统的耕作和农田管理模式。试验样地布设前,土壤pH为8.28,电导率(EC)为102 μS·cm–1,土壤有机碳(SOC)、全氮(TN)、全磷、全钾含量分别为4.58、0.48、0.60和16.92 g·kg–1。
1.2 试验设计试验小区建于2016年,共设置对照(CK)、单施沼液(B)、单施化肥(C)、沼液秸秆联用(BS)和化肥秸秆联用(CS)5个处理。沼液和化肥的施用均依照当地农田肥料常规用量,总量为225 kg·hm–2(以氮量计),秸秆施入量为7.5 t·hm–2,对照处理不施肥。每个处理3个重复,共15个小区(6 m×10 m),各小区随机排布。为防止各小区间的干扰,使用防渗膜进行分隔。
供试沼液来自位于当地的中粮肉食(江苏)公司沼气站,沼液pH为7.94,TN、
于2020年分别在水稻分蘖肥施用前、穗肥施用前和水稻排水前采集土样样品。各小区随机取5点采集0~10 cm混合土样,每个样品3个重复。所采土壤样品去掉杂物后充分混匀,一部分土样保存于4℃冰箱用于土壤Den和DNRA潜力以及
取适量鲜土(干土量30 g)于250 mL塑料培养瓶中,向瓶中加入蒸馏水(使得加入标记液后水土比1:1),加盖密封后置于振荡器上,调节振荡器转速为180 r·min–1振荡15 min使得土样混合均匀。振荡处理后的土样中添加K15NO3溶液(15N丰度为99.19%),使土壤15N丰度(15N/(15N+14N))达到20%。添加完标记液后将土样与标记液充分混匀,加硅胶盖和封口膜密封,加入适量C2H2抑制剂(充分抑制土壤N2O的还原),25℃的温度条件下避光培养[18]。分别在培养后的6 h和24 h将注射器针头插入培养瓶中反复抽压5次后各抽取两份20 mL瓶内气体待测。使用气相色谱仪(Agilent 7890A Series GC,美国安捷伦)测定其中一份20 mL气体样的N2O浓度,另一份20 mL气体样,使用稳定性同位素质谱仪(DELTA V Advantage,美国热电)测定N2O气体中的15N丰度。气体样品采集完成后,向塑料瓶中加入120 mL浓度为2 mol·L–1的KCl溶液使得水土比达5:1,加盖后置于振荡器上以180 r·min–1的转速振荡1 h。振荡完毕静置1 h后过滤,取10 mL滤液测定土壤浸提液中
土壤Den和DNRA强度/速率的计算参照王新新等[18]。分别以单位时间单位质量土壤N2O-15N和
土壤pH采用雷磁pH计(pHS-3C)测定(水土比为2.5:1);土壤EC(水土比5:1)采用电导率测定仪测定;TN采用凯氏定氮法测定;SOC采用TOC分析仪进行测定;
采用SPSS 23对数据进行统计分析,采用Origin 2018和Canoco 5绘图。采用单因素方差分析法比较特定生育期各处理土壤Den和DNRA潜力的差异显著性。不同的字母表示处理间的差异显著(P < 0.05)。采用冗余分析(RDA)分析土壤Den和DNRA潜力与土壤性状的关系。
2 结果 2.1 不同施肥处理土壤Den速率的变化特征水稻分蘖期,B和C处理土壤Den速率均显著高于CK处理(P < 0.05)(图 1),BS处理土壤Den速率为4.4 μg·kg–1·h–1,高于B处理1.3倍,而CS处理低于C处理89.4%。BS处理土壤Den速率高于CS处理16.8倍。抽穗期各处理间的差异与分蘖期较为相似,BS处理土壤Den速率与CS处理相比也显著增加,增长幅度为53.6%。水稻成熟期,各处理土壤Den速率均高于CK(P < 0.05)。其中,BS处理土壤Den速率高于CS处理(31.2%),二者均高于C处理(5.6 μg·kg–1·h–1)和B处理(3.8 μg·kg–1·h–1)。就水稻整个生育期而言,土壤N2O总生成量表现为B处理(15.3 mg·kg–1)最低,BS处理(34.6 mg·kg–1)最高,B、C、BS和CS处理土壤均在成熟期N2O总生成量最高(表 1)。
|
注:CK,对照;B,单施沼液;C,单施化肥;BS,沼液秸秆联用;CS,化肥秸秆联用。 Note:CK,Control;B,Single application of biogas slurry;C,Single application of chemical fertilizer;BS,Combined application of biogas slurry and straw;CS,Combined application of chemical fertilizer and straw. 图 1 水稻不同生育期土壤反硝化(Den)速率的变化特征 Fig. 1 Variation characteristics of soil Den rates in different growth stages of rice |
|
|
表 1 水稻不同生育期Den平均速率及N2O总生成量 Table 1 Average Den rate and total N2O production in different growth stages of rice |
水稻分蘖期,B和C处理土壤DNRA速率分别为2.8 μg·kg–1·h–1和1.4 μg·kg–1·h–1(图 2),分别高于对照CK处理4.7倍和1.9倍,且B处理显著高于C处理(94.7%);BS处理显著高于CS处理(36.7%),且二者分别高于B和C处理90.8%和1.7倍。水稻抽穗期,B和C处理土壤DNRA速率无显著差异,BS和CS处理分别显著高于B和C处理68.7%和1.3倍,且BS处理高于CS处理31.4%。水稻成熟期,BS、CS和C处理土壤DNRA速率均显著高于CK处理,但三者间无显著差异,B处理则与CK间无显著差异。
|
图 2 水稻不同生育期土壤DNRA速率的变化特征 Fig. 2 Variation characteristics of soil DNRA rates in different growth stages of rice |
以DNRA速率与Den速率的比值表征土壤DNRA和Den的相对重要性大小(DNRA/Den),该比值大于1则表示DNRA过程占主导,且该比值越大表示DNRA和Den速率相差越大[20]。水稻分蘖期,B处理土壤DNRA/Den为1.5,显著高于C处理(0.6)(图 3)。BS处理土壤DNRA/Den(1.2)显著低于CS处理(15.7)。水稻抽穗期和成熟期,土壤DNRA/Den均以CK处理最高,其他4个处理间无显著性差异。
|
图 3 水稻不同生育期土壤DNRA/Den的变化特征 Fig. 3 Variation characteristics of soil DNRA/Den in different growth stages of rice |
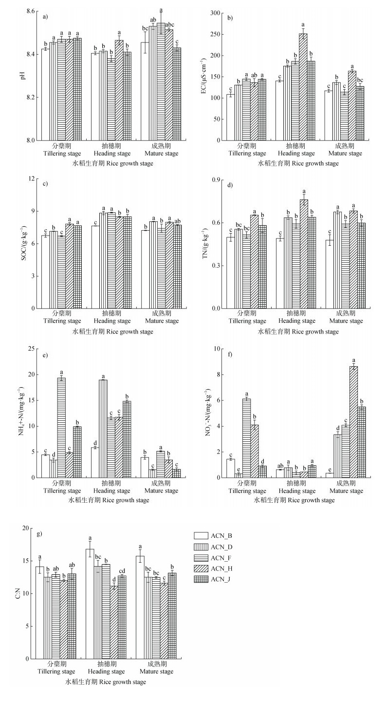
土壤pH的变化表现为水稻分蘖期CK显著低于其他各处理(图 4a),抽穗期,BS处理土壤pH显著高于其他处理(P < 0.05)。不同生育期下,B处理土壤EC值均显著高于CK处理(图 4b),CS与C处理间无显著差异;BS处理土壤EC值在抽穗期和成熟期均高于CS处理。各生育期土壤SOC和TN含量的变化总体表现为CK低于其他4个处理(图 4c,4d),其中土壤TN含量均表现为BS处理显著高于CS处理。土壤
|
图 4 水稻不同生育期土壤理化性质的变化特征 Fig. 4 Variation characteristics of soil physicochemical properties in different growth stages of rice |
采用RDA分别对各处理土壤Den、DNRA速率及其相对重要性与土壤性状的关系进行分析(图 5),可见B和C处理土壤Den速率均与pH表现出正相关性,而与C:N为负相关。B处理下,土壤Den速率还与
|
图 5 水稻各处理下土壤Den、DNRA速率及其相对重要性与土壤性状的RDA分析 Fig. 5 Redundancy analysis of soil Den, DNRA rates and their relative importance and soil properties with different rice treatment |
化肥或沼液的施用可对土壤Den速率有显著影响。本研究结果表明,水稻3个不同生育期下,4个施肥处理土壤Den潜力总体上均表现为高于CK处理(除分蘖期CS低于CK外),其中,BS处理也显著高于CS处理,这表明化肥或沼液的单独施用以及与秸秆的联用均会导致土壤Den潜力的显著升高。这可能主要与氮素的大量的输入有关,尤其是沼液中含有更多的有效态氮,沼液秸秆联用措施下土壤微生物的丰富度和多样性均会提高[21]。就秸秆还田而言,目前就该措施对土壤Den潜力的影响的认识存在较大差异。一方面,有研究认为秸秆还田可通过提供充足的碳源和提高Den微生物活性等途径提高土壤Den强度[9]。如施加复合肥的沙壤水稻土结合水稻秸秆还田措施后,土壤Den功能基因的丰度显著提高,Den速率显著增加[13]。化肥秸秆联用措施下,粉质黏壤土Den功能基因的丰度显著增大,Den速率表现为显著高于只施加化肥处理[15]。Shaaban等[14]也发现水稻土添加水稻秸秆后,土壤微生物量碳和可溶性有机碳含量显著提高,Den速率显著增大。另一方面,也有研究显示,秸秆还田可导致土壤Den速率减小或无显著变化[22-23],其原因主要在于秸秆还田下土壤有机质增多,可通过促进厌氧微生物对
土壤Den速率的变化同时受作物生育期的影响。从不同生育期来看,本研究中B、C和BS处理土壤Den速率均是分蘖期大于抽穗期,这与吴讷等[26]的研究结果一致,但各处理间的差异又有所不同。B处理土壤Den速率在成熟期显著低于C处理,但在分蘖期和抽穗期二者无显著差异。秸秆还田措施下,BS处理土壤Den速率在各同生育期均高于CS处理,这可能是沼液秸秆联合施用下形成了更利于Den进行的环境条件。值得关注的是,分蘖期化肥秸秆联用土壤Den速率低于化肥处理,这可能与该时期秸秆对化肥中氮素的强化固定导致Den过程所需的
相关性分析显示土壤理化性质对Den潜力有较大影响。其中,B、C处理土壤Den潜力均与pH、C:N高度相关,但沼液处理(即B处理)Den潜力与pH的关系更为密切(P < 0.01)。这可能与沼液添加改变了土壤pH有关。尽管pH的变化在B、C处理间无显著差异,但已有文献报道施加沼液可有效降低土壤pH,例如Zhang等[28]研究表明施用沼液5年后,土壤pH显著降低,这主要是由于沼液中含有大量
不同施肥措施对土壤DNRA过程的影响具有显著差异。研究表明长期施氮会对固氮酶活性产生抑制作用[35],因此导致土壤DNRA速率随着氮肥施用量的增加而减小[5]。秸秆还田措施往往有利于土壤DNRA潜力的提高,如水稻秸秆还田后紫砂岩土和红砂岩土DNRA潜力均显著增加[17]。Zhang等[16]也表明水稻土添加秸秆后土壤DNRA潜力随秸秆添加量的增加而增大。本研究结果显示,B处理土壤DNRA潜力显著高于CK处理,这是因为沼液中大量有机质向土壤中输入,为微生物提供养料,有益于土壤氨化细菌的生长繁殖[36]。5个处理中均以BS处理的土壤DNRA速率为最高,分别较B处理和CS处理高40.7%~59.3%和16.5%~26.8%,这表明秸秆还田和沼液替代化肥均可促进土壤DNRA潜力的提高,有利于更多氮素的保存,并且沼液秸秆联用的效果最好。这一方面可能是由于沼液施用显著提高了土壤中养分含量以及土壤中三大类菌和氮循环细菌的数量[36],从而使土壤DNRA潜力增大,另一方面也可能由于秸秆中C:N较大,微生物需要从土壤中吸收更多无机氮以满足分解秸秆过程中的氮需求[17],因此,随着秸秆掺入率的增加,
本研究也表明,各处理间土壤DNRA潜力的差异同时受水稻生育期的影响。分蘖期各处理土壤的DNRA速率均显著高于成熟期和抽穗期,如沼液处理(B、BS)分蘖期分别是抽穗期的3.9倍和4.5倍,是成熟期的4.0倍和3.1倍;化肥处理(C、CS)分别是抽穗期的3.7倍和4.3倍以及成熟期的1.0倍和2.7倍,并且B和BS处理DNRA潜力显著高于C和CS处理。这可能是因为分蘖期正处于秸秆的分解前期,秸秆中的高碳支持更活跃的微生物种群,增加了土壤微生物生物量而有助于DNRA过程[38]。
土壤理化性质的变化也是影响DNRA潜力的关键因素,但不同土壤性质对各处理DNRA潜力变化的影响程度不同。陈瑶等[39]发现沼液施用后土壤有机质含量增加,是沼液施用下土壤SOC含量显著增大的重要原因。本研究中,B处理下土壤DNRA与TN和SOC含量呈负相关;C处理下土壤DNRA与
DNRA/Den值表征土壤DNRA和Den相对重要性高低,该值大于1则表示硝态氮还原过程中DNRA过程可能占主导;反之,则Den占主导地位。由于Den与DNRA属于
沼液替代化肥以及与秸秆联用,对稻田土壤Den和DNRA过程均有显著影响,并与水稻生育期密切相关。整个生育期不同处理的土壤反硝化(Den)强度依次为:BS(34.6 mg·kg–1) > C(20.9 mg·kg–1) > CS(20.4 mg·kg–1) > B(15.3 mg·kg–1) > CK(2.9 mg·kg–1)。沼液替代化肥可有效降低稻田反硝化强度和N2O生成,但沼液与秸秆配施导致反硝化强度显著增加。从不同生育期看来,沼液处理(B、BS)与化肥处理(C、CS)均在成熟期出现最高的反硝化强度,因此在成熟期对N2O进行调控显得尤为必要。此外,无论是否秸秆还田,水稻分蘖期各处理土壤DNRA潜力均最高,并且沼液替代化肥处理土壤DNRA潜力增大,有利于土壤氮素的保存。
| [1] |
Baggs E M, Rees R M, Smith K A, et al. Nitrous oxide emission from soils after incorporating crop residues[J]. Soil Use and Management, 2000, 16(2): 82-87.
( 0) |
| [2] |
Cai Y J, Ding W X, Xiang J. Mechanisms of nitrous oxide and nitric oxide production in soils: A review (In Chinese)[J]. Soils, 2012, 44(5): 712-718. DOI:10.3969/j.issn.0253-9829.2012.05.002 [蔡延江, 丁维新, 项剑. 土壤N2O和NO产生机制研究进展[J]. 土壤, 2012, 44(5): 712-718.]
( 0) |
| [3] |
Shan J, Zhao X, Sheng R, et al. Dissimilatory nitrate reduction processes in typical Chinese paddy soils: Rates, relative contributions, and influencing factors[J]. Environmental Science & Technology, 2016, 50(18): 9972-9980.
( 0) |
| [4] |
Duan R, Long X E, Tang Y F, et al. Effects of different fertilizer application methods on the community of nitrifiers and denitrifiers in a paddy soil[J]. Journal of Soils and Sediments, 2018, 18(1): 24-38. DOI:10.1007/s11368-017-1738-9
( 0) |
| [5] |
Pandey A, Suter H, He J Z, et al. Dissimilatory nitrate reduction to ammonium dominates nitrate reduction in long-term low nitrogen fertilized rice paddies[J]. Soil Biology & Biochemistry, 2019, 131: 149-156.
( 0) |
| [6] |
赵永鹏. 耕作和施肥对水稻土厌氧氨氧化和反硝化速率的影响[D]. 重庆: 西南大学, 2017. Zhao Y P. Effects of tillage and fertilization on anammox and denitrification rates in paddy soils[D]. Chongqing: Southwest University, 2017. ( 0) |
| [7] |
Chen D J, Jiang L N, Huang H, et al. Nitrogen dynamics of anaerobically digested slurry used to fertilize paddy fields[J]. Biology and Fertility of Soils, 2013, 49(6): 647-659. DOI:10.1007/s00374-012-0752-8
( 0) |
| [8] |
Chen W H, Yuan W, Wang Z Y, et al. Crop straw returning: A review (In Chinese)[J]. Chinese Agricultural Science Bulletin, 2021, 37(21): 54-58. DOI:10.11924/j.issn.1000-6850.casb2020-0545 [陈婉华, 袁伟, 王子阳, 等. 作物秸秆还田研究进展[J]. 中国农学通报, 2021, 37(21): 54-58.]
( 0) |
| [9] |
Chen H H, Li X C, Hu F, et al. Soil nitrous oxide emissions following crop residue addition: A meta-analysis[J]. Global Change Biology, 2013, 19(10): 2956-2964. DOI:10.1111/gcb.12274
( 0) |
| [10] |
Rahaman M A, Zhang Q W, Shi Y L, et al. Biogas slurry application could potentially reduce N2O emissions and increase crop yield[J]. Science of the Total Environment, 2021, 778: 146269. DOI:10.1016/j.scitotenv.2021.146269
( 0) |
| [11] |
Abid A A, Zhang Q, Afzal M, et al. Nitrous oxide emission and production pathways under alternate wetting-drying conditions in rice paddy soils[J]. Applied Ecology and Environmental Research, 2019, 17(6): 13777-13792.
( 0) |
| [12] |
Ma J, Ma E D, Xu H, et al. Wheat straw management affects CH4 and N2O emissions from rice fields[J]. Soil Biology & Biochemistry, 2009, 41(5): 1022-1028.
( 0) |
| [13] |
Pan F X, Chapman S J, Li Y Y, et al. Straw amendment to paddy soil stimulates denitrification but biochar amendment promotes anaerobic ammonia oxidation[J]. Journal of Soils and Sediments, 2017, 17(10): 2428-2437. DOI:10.1007/s11368-017-1694-4
( 0) |
| [14] |
Shaaban M, Wu Y, Peng Q, et al. The interactive effects of dolomite application and straw incorporation on soil N2O emissions[J]. European Journal of Soil Science, 2018, 69(3): 502-511. DOI:10.1111/ejss.12541
( 0) |
| [15] |
Tang H M, Xiao X P, Li C, et al. Effects of rhizosphere and long-term fertilization practices on the activity and community structure of denitrifiers under double-cropping rice field[J]. Communications in Soil Science and Plant Analysis, 2019, 50(6): 682-697. DOI:10.1080/00103624.2019.1589480
( 0) |
| [16] |
Zhang Y S, Zheng X Z, Guo B L, et al. Mechanisms behind the inhibition of autotrophic nitrification following rice-straw incorporation in a subtropical acid soil[J]. Soil & Tillage Research, 2020, 196: 104436.
( 0) |
| [17] |
Zhao Y, Wang J, Cai Z C, et al. Short-term effects of nitrapyrin, rice straw and its biochar application on N transformation in soils of humid subtropical China[J]. Acta Agriculturae Scandinavica, Section B - Soil & Plant Science, 2018, 68(5): 448-456.
( 0) |
| [18] |
Wang X X, Han J G, Xu C H, et al. Effects of C/NO3--N change on denitrification and dissimilatory nitrate reduction to ammonium in the Chongming Dongtan wetland (In Chinese)[J]. Journal of Nanjing Forestry University: Natural Sciences Edition, 2020, 44(5): 174-180. [王新新, 韩建刚, 徐传红, 等. 碳氮比改变对崇明东滩湿地反硝化与硝态氮氨化的影响[J]. 南京林业大学学报: 自然科学版, 2020, 44(5): 174-180.]
( 0) |
| [19] |
Sun J F, Bai E, Dai W W, et al. Improvements of the diffusion method to measure inorganic nitrogen isotope of 15N labeled soil (In Chinese)[J]. Chinese Journal of Ecology, 2014, 33(9): 2574-2580. [孙建飞, 白娥, 戴崴巍, 等. 15N标记土壤连续培养过程中扩散法测定无机氮同位素方法改进[J]. 生态学杂志, 2014, 33(9): 2574-2580.]
( 0) |
| [20] |
Xu S, Chen Y, Yin J, et al. The relative importance of dissimilatory nitrate reduction to ammonium and denitrification in sediments in a typical coastal wetland (In Chinese)[J]. Journal of Nanjing Forestry University: Natural Sciences Edition, 2016, 40(2): 9-15. [徐莎, 陈圆, 印杰, 等. 典型滨海湿地沉积物反硝化与硝态氮氨化相对重要性研究[J]. 南京林业大学学报: 自然科学版, 2016, 40(2): 9-15.]
( 0) |
| [21] |
Zhou Y, Huang X, Zhao H Y, et al. Regulation of wheat straw and biogas slurry application on rice seedling growth and soil microorganism (In Chinese)[J]. Acta Pedologica Sinica, 2020, 57(2): 479-489. [周阳, 黄旭, 赵海燕, 等. 麦秸秆和沼液配施对水稻苗期生长和土壤微生物的调控[J]. 土壤学报, 2020, 57(2): 479-489.]
( 0) |
| [22] |
Zhou W, Xia L L, Yan X Y. Vertical distribution of denitrification end-products in paddy soils[J]. Science of the Total Environment, 2017, 576: 462-471. DOI:10.1016/j.scitotenv.2016.10.135
( 0) |
| [23] |
Wang J Y, Jia J X, Xiong Z Q, et al. Water regime-nitrogen fertilizer-straw incorporation interaction: Field study on nitrous oxide emissions from a rice agroecosystem in Nanjing, China[J]. Agriculture, Ecosystems & Environment, 2011, 141(3/4): 437-446.
( 0) |
| [24] |
Burger M, Jackson L E. Microbial immobilization of ammonium and nitrate in relation to ammonification and nitrification rates in organic and conventional cropping systems[J]. Soil Biology & Biochemistry, 2003, 35(1): 29-36.
( 0) |
| [25] |
Hou P F, Li G H, Wang S H, et al. Methane emissions from rice fields under continuous straw return in the middle-lower reaches of the Yangtze River[J]. Journal of Environmental Sciences, 2013, 25(9): 1874-1881. DOI:10.1016/S1001-0742(12)60273-3
( 0) |
| [26] |
Wu N, Shao J W, Sheng R, et al. Variation of community structure and function of rhizospheric denitrifiers at tillering and booting stages of rice (In Chinese)[J]. Chinese Journal of Applied Ecology, 2019, 30(4): 1344-1350. DOI:10.13287/j.1001-9332.201904.022 [吴讷, 邵嘉薇, 盛荣, 等. 水稻分蘖期和孕穗期根际反硝化菌群落结构及功能变化[J]. 应用生态学报, 2019, 30(4): 1344-1350.]
( 0) |
| [27] |
Bronson K F, Neue H U, Abao E B Jr, et al. Automated chamber measurements of methane and nitrous oxide flux in a flooded rice soil: I. residue, nitrogen, and water management[J]. Soil Science Society of America Journal, 1997, 61(3): 981-987. DOI:10.2136/sssaj1997.03615995006100030038x
( 0) |
| [28] |
Zhang X, Zhao J, Yuan G, et al. Effects of repeated biogas slurry application on soil quality and bacterial community composition under wheat-rice rotation on a coastal reclaimed farmland[J]. Fresenius Environmental Bulletin, 2021, 6B(30): 7767-7779.
( 0) |
| [29] |
Tang Y F, Wen G L, Li P P, et al. Effects of biogas slurry application on crop production and soil properties in a rice–wheat rotation on coastal reclaimed farmland[J]. Water, Air, & Soil Pollution, 2019, 230(3): 1-13.
( 0) |
| [30] |
Cao Y, Wang J D, Wu H S, et al. Soil chemical and microbial responses to biogas slurry amendment and its effect on Fusarium wilt suppression[J]. Applied Soil Ecology, 2016, 107: 116-123. DOI:10.1016/j.apsoil.2016.05.010
( 0) |
| [31] |
ŠImek M, Cooper J E. The influence of soil pH on denitrification: Progress towards the understanding of this interaction over the last 50 years[J]. European Journal of Soil Science, 2002, 53(3): 345-354. DOI:10.1046/j.1365-2389.2002.00461.x
( 0) |
| [32] |
Wang Y F, Tang C X, Wu J J, et al. Impact of organic matter addition on pH change of paddy soils[J]. Journal of Soils and Sediments, 2013, 13(1): 12-23. DOI:10.1007/s11368-012-0578-x
( 0) |
| [33] |
Behrendt A, Tarre S, Beliavski M, et al. Effect of high electron donor supply on dissimilatory nitrate reduction pathways in a bioreactor for nitrate removal[J]. Bioresource Technology, 2014, 171: 291-297. DOI:10.1016/j.biortech.2014.08.073
( 0) |
| [34] |
Yang S, Wu S J, Cai Y J, et al. The synergetic and competitive mechanism andthe dominant factors of dissimilatory nitrate reduction processes: A review (In Chinese)[J]. Acta Ecologica Sinica, 2016, 36(5): 1224-1232. [杨杉, 吴胜军, 蔡延江, 等. 硝态氮异化还原机制及其主导因素研究进展[J]. 生态学报, 2016, 36(5): 1224-1232.]
( 0) |
| [35] |
Mills M M, Ridame C, Davey M, et al. Iron and phosphorus co-limit nitrogen fixation in the eastern tropical North Atlantic[J]. Nature, 2004, 429: 292-294. DOI:10.1038/nature02550
( 0) |
| [36] |
Zuo D, Lü W G, Li S X, et al. Effects of biogas slurry on soil nutrients and nitrogen cycling microorganism in paddy field (In Chinese)[J]. Acta Agriculturae Shanghai, 2018, 34(2): 55-59. [左狄, 吕卫光, 李双喜, 等. 沼液还田对稻田土壤养分与氮循环微生物的影响[J]. 上海农业学报, 2018, 34(2): 55-59.]
( 0) |
| [37] |
Khalil M I, Hossain M B, Schmidhalter U. Carbon and nitrogen mineralization in different upland soils of the subtropics treated with organic materials[J]. Soil Biology & Biochemistry, 2005, 37(8): 1507-1518.
( 0) |
| [38] |
Said-Pullicino D, Cucu M A, Sodano M, et al. Nitrogen immobilization in paddy soils as affected by redox conditions and rice straw incorporation[J]. Geoderma, 2014, 228/229: 44-53.
( 0) |
| [39] |
Chen Y, Shi Q P, Chen Y C. Effects of continuous irrigation of biogas slurry on nutrient and heavy metal content in soil of dry land and paddy fields (In Chinese)[J]. Journal of Soil and Water Conservation, 2015, 29(2): 76-80. [陈瑶, 史秋萍, 陈玉成. 沼液连续浇灌对旱作和水田土壤养分及重金属含量的影响[J]. 水土保持学报, 2015, 29(2): 76-80.]
( 0) |
2023, Vol. 60



0)