2. 矿山生态修复教育部工程研究中心, 江苏徐州 221116;
3. 西北农林科技大学资源环境学院, 陕西杨凌, 712100
2. Engineering Research Center of Ministry of Education for Mine Ecological Restoration, Xuzhou, Jiangsu 221116, China;
3. College of Natural Resources and Environment, Northwest A & F University, Yangling, Shaanxi 712100, China
煤炭开采导致地表形变,加剧了水土流失和植被退化,同时也干扰了土壤微生物生境和群落功能稳定性[1]。植被恢复对生态环境改善至关重要,尤其是脆弱的黄土高原矿区。黄土高原长期高强度开采形成了8.0×105 hm2采煤迹地,严重制约经济社会与生态协同发展[2]。尽管中央和地方已高度重视矿区生态修复,但实际效果不尽理想。主要原因是如此大规模的生态修复无法仅靠人工来完成,如何引导近自然恢复、充分激发生态系统恢复力对维持黄土高原脆弱生态尤为重要。微生物作为生态系统物质循环和养分转化驱动者,对生态恢复潜力、恢复速率和系统自维持能力的提升不可或缺[3]。黄土高原矿区严重缺水、土壤贫瘠,同时存在环境污染,生态系统自恢复能力极低[4]。因此,必须高度重视土壤微生物在矿山生态修复中的激发作用。
植被恢复对矿区土壤微生物的影响早已引起关注,但多集中于微生物群落结构与环境因子间的关联[2,5]。采煤扰动改变了微地貌特征和土壤立地条件,导致微生物生物量和群落多样性下降,不利于生态系统功能和服务的发挥[6]。一些研究也关注了氮循环相关微生物[7-8],如接种丛枝菌根可促进固氮菌(nif-H)发育,将氮固定为植物可利用的氨从而利于植被恢复[9]。但对植被生长极为重要的碳、磷功能微生物类群研究较少。然而,这类特定功能微生物类群在调节养分循环、碳库周转和碳固持等生态功能上的作用却无可替代。如自养固碳菌通过参与凋落物分解或直接固定空气中CO2,促进碳积累[10]。微生物为满足自身需求又会消耗有机碳源,并向空气释放CO2[6]。溶磷功能微生物类群自身可产生有机酸来溶解土壤矿物中无机磷[11],满足植物生长需求。同时一些磷转化功能微生物类群可产生酸性和碱性磷酸酶(appA、phoD、phoA)、磷酸二酯酶(ugp)、磷化酶(ptxD)和C-P裂解酶(phn)等酶系来活化土壤难溶性磷[11]。功能微生物类群种类繁多、结构复杂,先前研究多集中于湿地[12]、森林[13]、荒漠[14]及农田生态系统[15-16],矿区生态修复过程中它们如何响应植被恢复、区系发育规律及其驱动机制尚不清楚。
功能微生物类群或直接与植被互作,或参与矿区土壤碳氮磷等元素生物地球化学循环,从而间接调控植被生长[17]。但不同的植被类型通常形成不同的根际环境,产生不同的胞外酶,从而影响微生物群落结构和功能[2]。厘清植被-土壤-微生物之间关系,可揭示特定功能微生物类群如何随非生物和生物条件变化而变化,有助于定向调控矿区生态系统自恢复能力。为此,选择黄土高原安太堡露天矿复垦排土场为研究对象,利用高通量qPCR芯片技术检测了碳氮磷不同功能微生物类群的基因丰度,揭示矿区植被恢复对土壤碳氮磷相关功能微生物类群结构和组成的影响,探索不同功能微生物类群对矿区植被恢复的响应差异及机制,为重建黄土高原受损矿区生态系统的恢复力和自维持能力提供基因层面的科学依据。
1 材料与方法 1.1 研究区概况黄土高原安太堡露天矿复垦排土场位于山西省朔州市(39°23′N~30°37′N,112°10′E~113°30′E),属于典型温带半干旱大陆性季风气候,年均气温为8.6℃,年均降水量426.7 mm,但多集中于6—9月,年均有效蒸发量2 160 mm。该矿排土场占地180.5 hm2,海拔1 465 m。1985年排弃,1992年开始复绿,种植有油松(Pinus tabulaeformis)、刺槐(Robinia pseudoacacia)、榆树(Ulmus pumila)、柳树(Salix babylonica)、油松+榆树(Pinus tabulaeformis+Ulmus pumila)、柠条(Caragana korshinskii)和沙棘(Hippophae rhamnoides)等多种植被,并飞播针茅(Stipa capillata)和披碱草(Elymus dahuricus Turcz)(图 1)。按平台边坡相间阶梯式地形设计,每40~50 m高差分层机械推平、压实、再客土回填表土50~60 cm,相对高差140 m[18]。该区土壤类型为栗钙土,砂粒、粉粒和黏粒含量分别为23.3 g·kg–1、658.7 g·kg–1和318.0 g·kg–1,土壤容重介于1.27~1.74 g·cm–3,有机质含量低。
|
图 1 研究区及采样点分布图 Fig. 1 Location map of study area and sampling sites |
选取4种植被恢复模式:柠条(灌丛,BL)、油松(针叶林,CF)、刺槐(阔叶林,BF)和油松+榆树(混交林,MF),并从距复垦排土场1.5 km外未受采矿干扰已持续生长30 a毛白杨林作为对照(CK),该5种植被或组合在黄土高原分布广,为当地的典型植被,生理差异明显,是矿区植被恢复的最主要模式。2020年7月,按每个样方随机五点采集0~10 cm表土200 g,混合成1 000 g复合样,每种恢复模式按4 m×4 m设8个重复样方,共采集40个样品。样品采集后现场剔除植物根系、砾石等,混合均匀用无菌袋密封保存于–4℃车载冰箱,带回后迅速处理。将每个样分为三份:一份新鲜土样直接泡沫箱冷藏密封后由美吉生物(Majorbio Biopharm Technology,上海)测定功能基因;一份室温下风干,均质化后过2 mm筛,用于测定土壤理化性质和部分土壤酶活性;剩余新鲜土样保存于–20℃冰箱,用于测定其余的土壤酶活性。
土壤pH采用电位法(水︰土=2.5︰1)(DDS-307A,上海雷磁)测定,土壤有机碳(SOC)采用重铬酸钾水合氧化法测定,全氮(TN)采用半微量凯氏定氮法测定,铵态氮(NH4+-N)和硝态氮(NO3–-N)采用氯化钙浸提—紫外分光光度法测定,有效磷(AP)釆用NaHCO3浸提—钼锑抗比色法测定[19]。多酚氧化酶(PPO)活性采用邻苯三酚比色法测定,β-葡萄糖苷酶(BG)活性采用硝基酚比色法测定,过氧化氢酶(CAT)活性采用高锰酸钾滴定法测定,脲酶(URE)采用苯酚钠-次氯酸钠比色法测定,亮氨酸氨基肽酶(LAP)活性用试剂盒检测(Solarbio Science & Technology,北京)分光光度法测定,碱性磷酸酶(PHOS)活性采用磷酸苯二钠比色法测定,具体测定方法详见文献[20]。
1.3 微生物功能基因测定功能基因高通量定量由美格基因(广东美格基因科技有限公司,广州)完成。步骤如下:(1)按试剂盒要求提取土样中总DNA,并检测提取的DNA样品的总量和纯度;(2)将合格的DNA样和qPCR测试剂添加至384孔板作为样品板,同时将引物和qPCR测试剂添加至另一片板做引物板;(3)将样品板和引物板自动添加至定量qPCR芯片的纳米孔中,利用SmartChip Real Time PCR System开展实验,自动检测荧光信号,绘制扩增曲线和溶解曲线[21-22];(4)读取系数检测到的不同样品中各基因的Ct值,即相对拷贝数=10(31-Ct)/(10/3),分别计算各基因和16S rRNA的相对拷贝数,再将基因相对拷贝数/16S rRNA相对拷贝数的比值作为各基因的相对定量信息;(5)根据Roche仪器检测获得的对应样本中每微升16S rRNA基因拷贝数量,换算为各样本中各基因的绝对定量信息,即16S rRNA相对定量/16S rRNA绝对定量=功能基因相对定量/功能基因绝对定量[22]。
1.4 数据统计与分析土壤理化性质和酶活性采用SPSS 20.0中单因素方差分析(one-way ANOVA)检测不同处理组间差异显著性,但部分功能微生物类群基因信号强度未通过方差齐性检验,因此采用未假定方差齐性Dunnett's T3检验,当P < 0.05则检验结果可信。随机森林模型图是利用R软件randomForest包绘制。结构方程模型(SEM)是在软件Amos Graphics中获得。为区分三类功能微生物类群,对与碳氮磷循环相关的功能基因丰度归一化处理,具体公式如下[23]:
| $ {\text{x'}} = \left[ {\sum\limits_{n = 1}^n {\left( {{x_i}/\sum\limits_{i = 1}^i {{x_i}} } \right)} } \right]/n(i = 1, \;2, \;3 \cdots ;\;n = 1, \;2, \;3 \cdots ) $ |
式中,x′代表碳氮磷循环相关的功能基因归一化丰度,xi为第i样本单个基因的丰度,i和n分别代表样本数和基因数量。
2 结果 2.1 不同植被恢复模式土壤理化与酶活性特征变化植被恢复对土壤理化性质影响存在显著性差异(图 2)。与CK相比,CF和MF土壤pH显著升高,但BL和BF间无显著差异(图 2a)。BL、CF和MF土壤SOC和TN显著降低,为CK的33.0%~63.2%(图 2b)和39.7%~64.1%(图 2c),且变化趋势相似。BL和MF土壤NH4+-N较CK分别显著下降了48.4%和39.5%(图 2d),但BL和BF土壤NO3–-N较CK显著增加了63.4%和41.9%(图 2e),CF土壤NO3–-N含量显著下降。BF和MF土壤AP相比CK显著增加了48.7%和40.8%(图 2f)。
|
注:不同小写字母表示不同处理组间单因素方差分析检验存在显著性差异(P < 0.05),下同。 Note: The lowercase letters indicate significant differences(P < 0.05)among vegetation restoration modes based on one-way ANOVA followed by the Dunnett's T3 test. The same as below. 图 2 不同植被恢复模式土壤理化性质(a.土壤pH、b.有机质、c.全氮、d.铵态氮、e.硝态氮、f.有效磷)变化 Fig. 2 Change in soil chemical properties(a. soil pH, b. SOC, c. TN, d. NH4+-N, e. NO3–-N, f. AP)among different vegetation restoration modes |
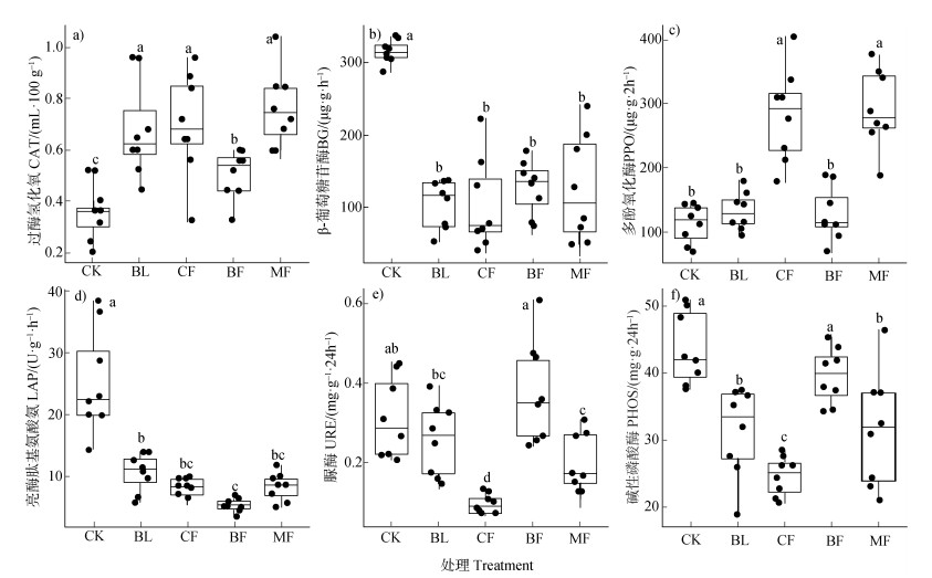
植被恢复对酶活性影响存在显著差异(图 3)。与CK相比,所有处理组CAT酶活性显著提高(图 3a),但BG活性和LAP酶活性却显著下降(图 3b,图 3d)。土壤PPO和URE酶活性呈相反的变化趋势,CF和MF中PPO酶活性分别增加148.2%和157.6%(图 3c),但URE酶活性则分别下降了69.6%和55.9%(图 3e)。BL、CF和MF土壤PHOS酶活性与TN变化趋势基本一致,呈显著性降低(图 3f)。总体而言,BF和MF土壤BG、UER和PHOS酶活性显著高于CF。
|
图 3 不同植被恢复模式土壤酶活性(a. 过氧化氢酶、b. β-葡萄糖苷酶、c. 多酚氧化酶、d. 亮氨酸氨基肽酶、e. 脲酶、f. 碱性磷酸酶)变化 Fig. 3 Change of soil enzyme activities(a. CAT, b. BG, c. PPO, d. LAP, e. URE, f. PHOS)among different vegetation restoration modes |
根据式(1)将不同功能基因划分为三大类功能微生物类群,不同植被恢复模式土壤碳氮磷循环相关功能基因强度呈显著性差异(P < 0.05,图 4)。与CK相比,BL、BF和MF土壤中碳降解(glx、lig、mnp和pox)、碳固定(accA、aclB、acsA、acsB、acsE、frdA、cdaR、korA、mct、pccA、rbcL和smtA)及甲烷代谢(pmoA、emGDH、mcrA、mmoX和mxa)相关功能基因的强度显著提高,CF土壤中碳循环相关功能基因强度无明显变化(图 4a)。BL、BF和MF土壤中固氮(nifH)、硝化作用(amoA1、amoA2、amoB、nxrA和hao)和反硝化(nirK1、nirK2、nirK3、nirS1、nirS2、nirS3、nosZ1和nosZ2)相关功能基因强度显著高于CK(图 4b)。BL、BF和MF土壤中有机磷矿化(bpp、cphy、phnK和phoD)、无机磷水解(ppx)和无机磷溶解(pqqC)等相关功能基因拷贝数/强度较CK明显提高(图 4c)。总体而言,碳氮磷循环相关功能基因强度变化趋势基本一致,其中BL土壤中相关功能基因强度最高,BF和MF次之,CK和CF相对偏低。
|
图 4 不同植被恢复模式土壤碳(a)、氮(b)和磷(c)功能微生物类群变化 Fig. 4 Changes of the function microbial groups participating in the carbon(a), nitrogen(b)and phosphorus(c)cycle processes among different vegetation restoration modes |
土壤碳氮磷功能基因与环境因子之间相关性热图分析(图 5)表明,碳循环(C降解、C固定和甲烷代谢)、氮循环(N固定、硝化及反硝化过程)和磷循环(有机磷矿化、无机磷水解和无机磷溶解)相关功能基因拷贝数与NO3–-N呈显著正相关关系(P < 0.01),与NH4+-N呈显著负相关(P < 0.001)。除参与硝化过程和有机磷矿化的功能微生物类群外,其他碳氮磷相关功能基因拷贝数均与BG呈显著负相关(P < 0.05)。参与碳循环、硝化过程及有机磷矿化的功能微生物类群与AP呈显著正相关关系(P < 0.05),而参与碳固定和有机磷矿化的功能微生物类群与URE呈显著正相关(P < 0.05)。
|
注:SOC表示有机质,NH4+-N表示铵态氮,NO3–-N表示硝态氮,TN表示全氮,AP表示有效磷,CAT表示过氧化氢酶,BG表示β-葡萄糖苷酶,PPO表示多酚氧化酶,URE表示脲酶,LAP表示亮氨酸氨基肽酶,PHOS表示碱性磷酸酶。蓝色和红色分别表示两个变量间负相关和正相关关系。颜色越深,关系越紧密。*、**、***分别表示P < 0.05、P < 0.01和P < 0.001,下同。 Note: SOC, organic matter; NH4+-N, ammonium nitrogen; NO3–-N, nitrate nitrogen; TN, total nitrogen; AP, available phosphorus; CAT, catalase; BG, β-glucosidase; PPO, polyphenol oxidase; URE, urease; LAP, leucine aminopeptidase; PHOS, alkaline phosphatase. The blue and red colors show, respectively, a negative and positive relationships between two variables. The deeper the color, the stronger the relationships. Significant results are indicated by * P < 0.05, ** P < 0.01, *** P < 0.001. The same as below. 图 5 土壤碳氮磷功能微生物类群与环境因子相关性热图 Fig. 5 The correlation heatmap between soil carbon, nitrogen and phosphorus functional flora and environmental factors |
为评估环境因子对功能变化的相对贡献,引入了随机森林模型分析方法。结果表明,土壤NO3–-N和URE为碳功能微生物类群对植被恢复响应的主要预测因子,LAP、NH4+-N、BG、CAT和PHOS也扮演着重要作用(图 6a)。氮功能微生物类群的主要预测因子与碳基本相同,但BG和PHOS对氮功能微生物类群相对贡献不显著(图 6b)。土壤LAP、NO3–-N和URE对磷功能微生物类群的相对贡献极显著(P < 0.01),NH4+-N、BG和PHOS等相对贡献不显著(图 6c)。所有结果显示NO3–-N和URE对碳氮磷功能微生物类群的影响最大,植被恢复改变了土壤环境,从而缓解了矿区土壤寡营养状况,并深刻影响碳氮磷功能微生物类群的组成、数量和功能。
|
注:MSE代表均方误差增加的百分数,*和**代表P < 0.05和P < 0.01。 Note: MSE represents the percentage of increase of mean square error. * and ** indicate significance level at P < 0.05 and P < 0.01. 图 6 基于随机森林模型环境因子对碳(a)、氮(b)和磷(c)循环功能微生物类群的平均预测因子重要性 Fig. 6 The average predicted factor importance according to soil carbon cycling(a), nitrogen cycling(b)and phosphorus cycling(c)functional flora based on environmental factors in random forest model |
利用结构方程模型拟合进一步分析了不同环境因子与功能微生物类群之间的相互关系(图 7),三个模型具有相似性。植被恢复模式直接导致土壤理化性质(NO3–-N、NH4+-N和AP)、酶活性(CAT、LAP和URE)变化。植被恢复模式直接影响CAT(P < 0.001),碳氮磷功能微生物类群的通径系数分别为0.529、0.515和0.529,间接影响碳氮磷功能微生物类群丰度(图 7)。植被恢复直接影响AP,再通过URE间接影响碳和磷功能微生物类群丰度(P < 0.05),通径系数分别为0.291和0.303(图 7a、图 7c)。此外,NH4+-N也显著影响碳功能微生物类群丰度(图 7a);土壤NO3–-N显著影响氮功能微生物类群丰度,通径系数高达0.710,呈极显著正相关(P < 0.001),通过URE间接影响氮功能微生物类群丰度(图 7b),因而,NO3–-N在黄土高原矿区生态恢复中的促进作用未来应重点关注。此外,NH4+-N也显著影响磷功能微生物类群丰度,并与植被恢复共同影响LAP,再间接影响磷功能微生物类群的丰度(图 7c)。
|
注:χ2表示卡方检验值,GFI代表拟合优度指数,AIC代表赤池信息量,箭头上的数值代表标准通径系数,箭头粗细代表相关性高低,绿色箭头表示显著正相关,红色箭头表示显著负相关,R2表示通经解释度。*、**、***分别表示各路径显著性水平为P < 0.05、P < 0.01和P < 0.001。 Note: χ2 represents chi-square test value, GFI represents goodness of fit index, AIC represents red pool information, Numbers adjacent to arrows are standardized path coefficients and indicative of the effect size of the relationship. Arrow width is proportional to the strength of path coefficients. The green arrow indicates a significant positive correlation, and the red arrow indicates a significant negative correlation. R2 presented above every response variable in the model denotes the proportion of variance explained. Significant levels of each path are * P < 0.05, ** P < 0.01, and *** P < 0.001. 图 7 植被恢复中不同路径影响碳(a)、氮(b)和磷(c)循环相关功能微生物类群的结构方程模型 Fig. 7 The structural equation modeling(SEM)of vegetation restoration patterns affecting soil carbon cycling(a), nitrogen cycling(b)and phosphorus cycling(c)functional flora through different ways |
植被恢复有利于黄土高原土壤SOC固存[24],并改善矿区土壤养分状况[4]。本研究中除了BF,其余植被恢复类型土壤SOC和TN显著低于未受扰动的毛白杨树林土壤,且不同处理组间差异显著,这可能归结于不同植被恢复模式下植物根系分泌物、凋落物或相关碳代谢存在差异[25]。有报道认为植被凋落物分解可释放大量养分,且凋落物分解可能会进一步刺激、促进土壤本身所含有机质的矿化[26],与本研究结果中BL、BF和MF土壤SOC和TN显著高于CF(图 2b和图 2c)一致。CF为油松,与BF和MF相比,油松凋落物的营养物质含量相对高,但分解慢,远不如BF和MF凋落物分解快、产生养分多,因而影响了土壤微生态系统发育,造成有机质和氮磷等元素含量偏低[27]。BL和BF土壤中NO3–-N远高于CF,亦可能与柠条和刺槐属豆科植物可利用根瘤菌固定大气中的氮有关。本研究发现油松林CF土壤养分,如氮磷含量相对较低,尤其是无机氮,这与章广琦等[28]报道黄土丘陵区刺槐林下凋落物N和P含量显著高于油松的研究结果一致,也进一步验证了本研究团队之前在黄土高原矿区灌丛复垦土壤NO3–-N远高于CF土壤的报道[2]。总体而言,BL、MF和BF恢复对土壤养分积累优于CF。一般植被利用根系分泌物可调节土壤酶活性[29],影响参与C、N和P代谢的酶在SOC分解和养分循环中的作用,因此土壤酶活性可作为生物指示物。凋落物进入土壤后,土壤酶会将其分解利用,从而对土壤酶活性产生不同的影响[30]。易分解的阔叶凋落物会加快微生物代谢,提高BG和PHOS酶活性,同时酶活性增加也反作用于凋落物分解,释放更多的养分[27]。本研究发现MF和BF土壤BG和PHOS酶活性高于CF(图 3b和图 3f),佐证阔叶凋落物会加快微生物代谢,并与先前报道[2]相一致。Xu等[31]报道刺槐凋落物添加使得黄土丘陵区土壤BG、LAP和PHOS活性显著提升,与本文研究结果(图 3b、图 3d和图 3f)相一致。本研究中所有植被恢复模式土壤CAT酶活性均大幅度提高(图 3a),表明植被恢复有利于土壤化学性质改善和SOC加速转化。这与先前报道植被恢复可提高CAT酶活性结论[32]一致。CF和MF土壤PPO酶活性显著提高,这可能与针叶片中木质素含量高有关,PPO主要催化分解木质素及其衍生物,因此在CF土壤中最为丰富[20]。本研究结果说明植被恢复对土壤理化性质及酶活性影响有显著差异。
3.2 植被恢复对碳氮磷功能微生物类群的影响土壤微生物是生态系统碳氮磷循环转化的主要驱动力,碳氮磷相关功能微生物类群在其中起着关键作用[33]。例如磷对维持生态系统功能的稳定性至关重要,磷功能微生物类群具有编码碱性磷酸酶基因,能够催化磷酸单酯和磷酸二酯水解,已受广泛关注[34-35]。本研究(图 4)发现,不同植被恢复模式土壤中碳氮磷关键功能基因丰度差异十分显著,但碳循环(碳降解、碳固定和甲烷代谢)、氮循环(氮固定、硝化和反硝化过程)、磷循环(有机磷矿化、无机磷水解和无机磷溶解)等三大功能微生物类群丰度的变化趋势几乎一致,表现为BL土壤中丰度最高,BF和MF次之,CF土壤中丰度最低,这可能归结于植被的凋落物生物量、凋落物分解速率和植被本身所能提供的营养物类型存在差异[20]。在长时间矿区植被恢复过程中,凋落物逐渐成为土壤最重要的养分输入途径,植被类型、输入量和土壤特性成为土壤微生物生境的核心组成,这些生境特征又反过来影响土壤微生物群落、生物量和功能。由于复垦土壤的特性相对一致,凋落物成为微生物群落差异的主导因素。此外,凋落物分解增加外来碳源输入,丰富了食物源,为微生物群落生长、增殖提供额外的养分,进而调控了微生物群落结构和功能[33]。本研究中土壤功能微生物类群丰度与碳循环酶(β-葡萄糖苷酶、过氧化氢酶和多酚氧化酶)显著性相关(图 5和图 6),说明功能微生物类群数量直接和间接地影响碳循环过程[17]。有研究[36]也发现黄土高原土壤中碳降解基因丰度随植被类型变化而异。此外,当植被类型发生改变时固氮基因(nifH)丰度也会随之发生变化[37]。最新研究还发现黄土高原退耕还林过程中参与氮循环相关微生物的丰度发生显著性变化[12],干旱和半干旱区植被恢复过程中土壤微生物群落受碳和磷共同限制[38]。
3.3 植被恢复与碳氮磷功能微生物类群之间互馈作用不同植被既可直接利用根系分泌物作用于土壤微生物,也可改变土壤环境间接影响土壤微生物[37]。土壤碳氮磷有效性对微生物极为重要,在矿区土壤寡营养状况下微生物代谢功能受土壤营养因子严重限制。功能微生物类群基因丰度也会随植被类型和土壤养分发生变化,本研究发现氮循环相关功能微生物类群与NO3–-N呈显著性正相关,与NH4+-N呈显著性负相关(图 7)。该结果与先前报道参与硝酸盐还原的narG基因与土壤NO3–-N呈正相关的结果[17,37]相似,这可能与植被恢复不断提高土壤养分有关。同时,有研究发现黄土高原植被恢复过程中土壤氮循环功能基因对植被类型和土壤特性的敏感性存在差异[17]。结构方程模型显示,参与碳循环功能微生物类群与AP呈显著正相关,不同植被恢复模式通过影响AP含量进而调控碳循环相关功能微生物类群的丰度(图 7)。土壤磷元素转化过程与碳、氮循环密切相关,主要可能与富含磷的RNA需大量磷元素合成蛋白有关[39]。例如共生固氮的慢生根瘤菌,在耦合土壤氮磷循环中起重要作用。但为了应对磷胁迫,一些慢生根瘤菌会牺牲氮,从而改变磷循环基因(phoD和phoC)的表达或提高磷酸酶催化效率来获得更多AP。Tang等[40]报道了AP含量影响森林生态系统土壤氮循环相关功能微生物类群丰度。不同的植被通过根系分泌物、凋落物或根际微生物组调节土壤酶活性和化学计量[31],从而操控碳循环相关功能微生物类群丰度变化。本研究中不同植被恢复类型直接影响CAT,从而调控碳氮磷循环,或直接影响AP再间接影响碳氮磷功能微生物类群丰度,并存在NH4+-N或NO3–-N等间接影响碳氮磷循环多条路径(图 7)。功能微生物类群利用酶从土壤复杂且高度多样化的有机物中获取养分,维持自身碳、氮和磷循环与平衡。
4 结论植被恢复对黄土高原露天矿区土壤理化性质、酶活性及碳氮磷功能微生物类群的影响存在显著差异。BL、BF和MF处理对土壤养分积累优于CF,但远低于CK。植被恢复显著提高土壤CAT活性,但导致BG和LAP活性下降。不同处理改变了功能微生物类群的丰度,其中BL土壤中丰度最高,BF和MF次之,CK和CF相对偏低。碳氮磷功能微生物类群与土壤NO3–-N呈显著正相关,与NH4+-N呈显著负相关。土壤NO3–-N和URE活性是碳氮磷功能微生物类群对植被恢复响应的主要预测因子,植被通过根系分泌物或微生物组直接影响CAT活性和AP,从而调控碳氮磷循环,或间接影响AP再操控碳氮磷功能微生物类群丰度的变化。
| [1] |
Ma J, Dong W X, Zhu Y F, et al. Characteristics and assembly process of reclaimed soil microbial communities in eastern plain mining areas (In Chinese)[J]. Environmental Science, 2022, 43(7): 3844-3853. DOI:10.13227/j.hjkx.202110018 [马静, 董文雪, 朱燕峰, 等. 东部平原矿区复垦土壤微生物群落特征及其组装过程[J]. 环境科学, 2022, 43(7): 3844-3853.]
( 0) |
| [2] |
Zhao J, Ma J, Yang Y J, et al. Response of soil microbial community to vegetation reconstruction modes in mining areas of the Loess Plateau, China[J]. Frontiers in Microbiology, 2021, 12: 714967. DOI:10.3389/fmicb.2021.714967
( 0) |
| [3] |
Tedersoo L, Bahram M, Põlme S, et al. Global diversity and geography of soil fungi[J]. Science, 2014, 346(6213): 1052-1053. DOI:10.1126/science.aaa1185
( 0) |
| [4] |
Zhang Z J, Cao Y G, Wang S F, et al. Characteristics and differences of surface soil microbial population and enzyme activities in opencast mining area of Pingshuo (In Chinese)[J]. Acta Ecologica Sinica, 2021, 41(1): 110-123. [张振佳, 曹银贵, 王舒菲, 等. 平朔黄土露天矿区复垦地表层土壤微生物与酶活性分析[J]. 生态学报, 2021, 41(1): 110-123.]
( 0) |
| [5] |
Guo Y, Liu X, Tsolmon B, et al. The influence of transplanted trees on soil microbial diversity in coal mine subsidence areas in the Loess Plateau of China[J]. Global Ecology and Conservation, 2020, 21: e00877. DOI:10.1016/j.gecco.2019.e00877
( 0) |
| [6] |
Ma J, Lu Y Q, Zhang Q, et al. Effects of coal mining subsidence on soil microbial community in the Loess Plateau (In Chinese)[J]. Acta Pedologica Sinica, 2021, 58(5): 1278-1288. [马静, 卢永强, 张琦, 等. 黄土高原采煤沉陷对土壤微生物群落的影响[J]. 土壤学报, 2021, 58(5): 1278-1288.]
( 0) |
| [7] |
Meng H Q, Guo X M, Yang Y, et al. Spatial variability of soil nitrogen, phosphorus and potassium availability in coal mining subsidence slopes (In Chinese)[J]. Acta Pedologica Sinica, 2020, 57(4): 844-854. [孟红旗, 郭晓明, 杨英, 等. 采煤沉陷坡面土壤氮磷钾养分有效性的空间变异性[J]. 土壤学报, 2020, 57(4): 844-854.]
( 0) |
| [8] |
Zhang L, Lv J. Land-use change from cropland to plantations affects the abundance of nitrogen cycle-related microorganisms and genes in the Loess Plateau of China[J]. Applied Soil Ecology, 2021, 161(12): 103873.
( 0) |
| [9] |
Bi Y L, Wu F Y, Wu Y K. Role of microbe on solid wastes amending and fertilizing in coal mining area (In Chinese)[J]. Journal of China Coal Society, 2006, 31(3): 365-368. DOI:10.3321/j.issn:0253-9993.2006.03.021 [毕银丽, 吴福勇, 武玉坤. 接种微生物对煤矿废弃基质的改良与培肥作用[J]. 煤炭学报, 2006, 31(3): 365-368.]
( 0) |
| [10] |
Chen H, Wang F, Kong W D, et al. Soil microbial CO2 fixation plays a significant role in terrestrial carbon sink in a dryland ecosystem: A four-year small-scale field-plot observation on the Tibetan Plateau[J]. Science of the Total Environment, 2021, 761: 143282. DOI:10.1016/j.scitotenv.2020.143282
( 0) |
| [11] |
Alaylar B, Egamberdieva D, Gulluce M, et al. Integration of molecular tools in microbial phosphate solubilization research in agriculture perspective[J]. World Journal of Microbiology and Biotechnology, 2020, 36(7): 93. DOI:10.1007/s11274-020-02870-x
( 0) |
| [12] |
Shen L D, Jin J H, Liu X. Research progress on anaerobic methanotrophs in inland wetlands and freshwater aquatic systems (In Chinese)[J]. Acta Ecologica Sinica, 2022, 42(9): 3842-3855. [沈李东, 金靖昊, 刘心. 内陆湿地与水体甲烷厌氧氧化功能微生物研究进展[J]. 生态学报, 2022, 42(9): 3842-3855.]
( 0) |
| [13] |
Chen J, Luo T S, Zhou Z, et al. Research advances in nitrogen deposition effects on microbial processes involved in soil nitrogen cycling in tropical and subtropical forests (In Chinese)[J]. Acta Ecologica Sinica, 2020, 40(23): 8528-8538. [陈洁, 骆土寿, 周璋, 等. 氮沉降对热带亚热带森林土壤氮循环微生物过程的影响研究进展[J]. 生态学报, 2020, 40(23): 8528-8538.]
( 0) |
| [14] |
Yang G S, Lü X Y, Hu R, et al. Spatial and temporal patterns of soil microbial functional groups in different microhabitats in sand-fixing revegetation area in the Tengger Desert (In Chinese)[J]. Acta Pedologica Sinica, 2022, 59(2): 580-590. [杨贵森, 吕星宇, 虎瑞, 等. 腾格里沙漠固沙植被区微生境土壤微生物功能群时空格局[J]. 土壤学报, 2022, 59(2): 580-590.]
( 0) |
| [15] |
Chu C, Wu Z Y, Huang Q R, et al. Effect of organic matter promotion on nitrogen-cycling genes and functional microorganisms in acidic red soils (In Chinese)[J]. Environmental Science, 2020, 41(5): 2468-2475. [储成, 吴赵越, 黄欠如, 等. 有机质提升对酸性红壤氮循环功能基因及功能微生物的影响[J]. 环境科学, 2020, 41(5): 2468-2475.]
( 0) |
| [16] |
Liu Q, Wei X M, Wu X H, et al. Characteristic of abundances and diversity of carbon dioxide fixation microbes in paddy soils (In Chinese)[J]. Environmental Science, 2017, 38(2): 760-768. [刘琼, 魏晓梦, 吴小红, 等. 稻田土壤固碳功能微生物群落结构和数量特征[J]. 环境科学, 2017, 38(2): 760-768.]
( 0) |
| [17] |
Wang H L, Deng N, Wu D Y, et al. Long-term net transformation and quantitative molecular mechanisms of soil nitrogen during natural vegetation recovery of abandoned farmland on the Loess Plateau of China[J]. Science of the Total Environment, 2017, 607/608: 152-159.
( 0) |
| [18] |
Wang J M, Guo L L, Bai Z K, et al. Succession law of reclaimed soil and vegetation on opencast coal mine dump of loess area (In Chinese)[J]. Transactions of the Chinese Society of Agricultural Engineering, 2013, 29(21): 223-232. [王金满, 郭凌俐, 白中科, 等. 黄土区露天煤矿排土场复垦后土壤与植被的演变规律[J]. 农业工程学报, 2013, 29(21): 223-232.]
( 0) |
| [19] |
Lu R K. Analytical methods for soil and agro-chemistry (In Chinese). Beijing: China Agricultural Science and Technology Press, 2000. [鲁如坤. 土壤农业化学分析方法[M]. 北京: 中国农业科学技术出版社, 2000.]
( 0) |
| [20] |
Yin R, Deng H, Wang H L, et al. Vegetation type affects soil enzyme activities and microbial functional diversity following re-vegetation of a severely eroded red soil in sub-tropical China[J]. Catena, 2014, 115: 96-103.
( 0) |
| [21] |
Xu N, Tan G C, Wang H Y, et al. Effect of biochar additions to soil on nitrogen leaching, microbial biomass and bacterial community structure[J]. European Journal of Soil Biology, 2016, 74: 1-8.
( 0) |
| [22] |
Zheng B X, Zhu Y G, Sardans J, et al. QMEC: a tool for high-throughput quantitative assessment of microbial functional potential in C, N, P, and S biogeochemical cycling[J]. Science China Life Sciences, 2018, 61(12): 1451-1462.
( 0) |
| [23] |
Luo G W, Xue C, Jiang Q H, et al. Soil carbon, nitrogen, and phosphorus cycling microbial populations and their resistance to global change depend on soil C: N: P stoichiometry[J]. Msystems, 2020, 5(3): e00162-20.
( 0) |
| [24] |
Yan L J, Li G, Wu J Q, et al. Effects of four typical vegetations on soil active organic carbon and soil carbon in Loess Plateau (In Chinese)[J]. Acta Ecologica Sinica, 2019, 39(15): 5546-5554. [闫丽娟, 李广, 吴江琪, 等. 黄土高原4种典型植被对土壤活性有机碳及土壤碳库的影响[J]. 生态学报, 2019, 39(15): 5546-5554.]
( 0) |
| [25] |
Zechmeister-Boltenstern S, Keiblinger K M, Mooshammer M, et al. The application of ecological stoichiometry to plant-microbial-soil organic matter transformations[J]. Ecological Monographs, 2015, 85(2): 133-155.
( 0) |
| [26] |
Wu X, Niu Y B, Chen Y M, et al. Carbon, nitrogen and phosphorus stoichiometry characteristics in leaf, litter and soil at mixed forests of Hippophae rhamnoides in the loess hilly region of China (In Chinese)[J]. Journal of Soil and Water Conservation, 2021, 35(4): 369-376. [吴旭, 牛耀彬, 陈云明, 等. 黄土丘陵区沙棘混交林叶片、凋落物、土壤碳氮磷化学计量特征[J]. 水土保持学报, 2021, 35(4): 369-376.]
( 0) |
| [27] |
Wu X M, Yang X Y, Lin Y Y, et al. Response of humification of Robinia pseudoacacia and Pinus tabulaeformis litter to climate temperature and humidity changes (In Chinese)[J]. Acta Agrestia Sinica, 2021, 29(8): 1738-1747. [吴雪梅, 杨雪岩, 林媛媛, 等. 刺槐和油松枯落叶腐殖质化对气候温湿变化的响应[J]. 草地学报, 2021, 29(8): 1738-1747.]
( 0) |
| [28] |
Zhang G Q, Zhang P, Chen Y M, et al. Stoichiometric characteristics of Robinia pseudoacacia and Pinus tabuliformis plantation ecosystems in the Loess hilly-gully region, China (In Chinese)[J]. Acta Ecologica Sinica, 2018, 38(4): 1328-1336. [章广琦, 张萍, 陈云明, 等. 黄土丘陵区刺槐与油松人工林生态系统生态化学计量特征[J]. 生态学报, 2018, 38(4): 1328-1336.]
( 0) |
| [29] |
Luo L, Meng H, Gu J D. Microbial extracellular enzymes in biogeochemical cycling of ecosystems[J]. Journal of Environmental Management, 2017, 197: 539-549.
( 0) |
| [30] |
Jiao Q Y, Huang L J, Zhang J J, et al. Ecological stoichiometry and carbon storage of Robinia pseudoacacia mixed forests in the hilly-gully area of the Loess Plateau (In Chinese)[J]. Journal of Soil and Water Conservation, 2022, 36(2): 238-246. [焦秋燕, 黄林嘉, 张娟娟, 等. 黄土丘陵沟壑区刺槐混交林生态化学计量特征与碳储量[J]. 水土保持学报, 2022, 36(2): 238-246.]
( 0) |
| [31] |
Xu Y D, Wang T, Li H. Variations of soil nitrogen-fixing microorganism communities and nitrogen fractions in a Robinia pseudoacacia chronosequence on the Loess Plateau of China[J]. Catena, 2019, 174: 316-323.
( 0) |
| [32] |
Li P, Zhang X, Hao M, et al. Effects of vegetation restoration on soil bacterial communities, enzyme activities, and nutrients of reconstructed soil in a mining area on the Loess Plateau, China[J]. Sustainability, 2019, 11(8): 2295.
( 0) |
| [33] |
Ma J, Dong W X, Zhu Y F, et al. Impact of land reclamation on the carbon sequestration potential of soil microorganisms in the disturbed mining area of eastern plain (In Chinese)[J]. Journal of China Coal Society, 2022, 47(3): 1306-1317. [马静, 董文雪, 朱燕峰, 等. 东部平原矿区复垦对土壤微生物固碳潜力的影响[J]. 煤炭学报, 2022, 47(3): 1306-1317.]
( 0) |
| [34] |
Kageyama H, Tripathi K, Rai A K, et al. An alkaline phosphatase/phosphodiesterase, PhoD, induced by salt stress and secreted out of the cells of Aphanothece halophytica, a halotolerant cyanobacterium[J]. Applied and Environmental Microbiology, 2011, 77(15): 5178-5183.
( 0) |
| [35] |
Ragot S A, Kertesz M A, Mészáros É, et al. Soil phoD and phoX alkaline phosphatase gene diversity responds to multiple environmental factors[J]. FEMS Microbiology Ecology, 2016, 93(1): fiw212.
( 0) |
| [36] |
Yan B, Sun L, Li J, et al. Change in composition and potential functional genes of soil bacterial and fungal communities with secondary succession in Quercus liaotungensis forests of the Loess Plateau, western China[J]. Geoderma, 2020, 364: 114199.
( 0) |
| [37] |
Blaud A, van der Zaan B, Menon M, et al. The abundance of nitrogen cycle genes and potential greenhouse gas fluxes depends on land use type and little on soil aggregate size[J]. Applied Soil Ecology, 2018, 125: 1-11.
( 0) |
| [38] |
Cui Y, Fang L, Guo X, et al. Natural grassland as the optimal pattern of vegetation restoration in arid and semi-arid regions: Evidence from nutrient limitation of soil microbes[J]. Science of the Total Environment, 2019, 648: 388-397.
( 0) |
| [39] |
He M Z, Dijkstra F A. Phosphorus addition enhances loss of nitrogen in a phosphorus-poor soil[J]. Soil Biology and Biochemistry, 2015, 82: 99-106.
( 0) |
| [40] |
Tang Y, Zhang X, Li D, et al. Impacts of nitrogen and phosphorus additions on the abundance and community structure of ammonia oxidizers and denitrifying bacteria in Chinese fir plantations[J]. Soil Biology and Biochemistry, 2016, 103: 284-293.
( 0) |
2023, Vol. 60



0)