团聚体是土壤结构的基本单元,是土壤中能量物质转化代谢的重要场所[1-2]。团聚体稳定性对土壤水分、孔隙、肥力,生物活性及根系渗透等农业生产要素有着重要影响[3-5]。此外,土壤团聚体还可通过稳定土壤结构,提高土壤抗蚀性[6],减少水土流失[7]。土壤团聚体含量被视作判断土壤质量的重要指标之一[1,8-9]。
土壤前期含水率影响团聚体稳定性,并在农业生产及土壤侵蚀中起到了重要作用[10-11]。研究表明,降雨条件下土壤前期含水率与土壤抗剪强度密切相关[12];但也有研究认为含水率高会降低团聚体抗张强度和土壤黏聚力[13];马仁明等[14]研究发现,前期含水率影响不同母质发育的红壤团聚体破碎机制,粒径分布及表土结构;Truman等[15]测定了不同类型土壤3个粒径团聚体在3种前期含水率下的团聚体水稳性,结果表明预湿润状态下的团聚体水稳性均高于风干状态下的团聚体水稳性,但预湿润状态下的团聚体并未都表现出含水量越高其稳定性越大[14]。上述结果表明前期含水率与团聚体稳定性的关系受测定样品及方法的影响。
海南岛是我国为数不多的热带地区,水热资源充沛,同时也是水土流失的敏感地区[16-17]。随着人口和经济的快速增长,海南岛土地利用类型受到人为活动的强烈干扰,自然林地面积急速减少,取而代之的是橡胶林地和耕地的快速增长[18]。这也导致了海南岛土壤的逐步退化与土壤侵蚀敏感性的日益提高。本文选取了海南省玄武岩发育砖红壤3种典型利用方式土壤并设置5个前期含水率梯度,探究土地利用方式及前期含水率影响下砖红壤团聚体结构及稳定性差异,以期为我国热带砖红壤地区土壤合理高效利用及科学灌溉提供依据。
1 材料与方法 1.1 样点基本信息研究区位于海南省海口市美兰区三江镇(19°52'N,110°34'E),气候属热带季风气候,年均降雨量1 656 mm,年均气温24.5℃,地形为玄武岩风化物形成的台地,土壤母质为玄武岩风化物,属于黏质高岭石高热性普通暗红湿润铁铝土[19]。采样过程中尽可能选择剖面结构完整、地形相似的样地进行采样。本试验选取了耕地、荒地和林地三种海南地区砖红壤最典型土地利用方式进行采样。耕地选择耕作多年的香蕉地,林地选择未受人为扰动的自然林,荒地选择长期抛荒的草地。其中表层土壤采样深度为0~10 cm,表下层土壤仅采集林地30~40 cm土层样品。样点基本信息详见表 1。
|
|
表 1 样点基本信息 Table 1 Sampling sites information |
土壤理化性质采用常规方法测定[20]:pH采用1︰2.5土水比混合浸提,电极法测定;土粒密度采用比重瓶法测定;土壤机械组成采用超声波分散吸管法测定,质地划分根据美国农业部制(USDA);有机碳采用重铬酸钾外加热法测定;土壤容重及孔隙采用环刀法测定(100 cm3)[21];阳离子交换量(CEC)釆用乙酸铵交换法,交换性盐基离子分别采用原子吸收光谱(Ca2+、Mg2+)和火焰光度计(K+、Na+)测定;土壤游离态铁铝锰氧化物(Fed,Ald,Mnd)采用DCB法浸提,非晶形铁铝锰氧化物(Feo、Alo、Mno)采用草酸铵缓冲液浸提,ICP(VISTA-MPX,Varian,America)测定;黏土矿物类型和相对含量采用X射线衍射仪(XRD)测定。
1.3 团聚体前期含水率的控制团聚体前期含水率的控制参考马仁明等[14]。将3~5 mm团聚体置于烘箱内低温烘干以确定相同的含水量,称取50 g 3~5 mm团聚体平置于上层垫滤纸的沙盘,向沙盘内多次少量缓慢加入蒸馏水,以对团聚体进行慢速湿润,防止湿润速率过快而引起的团聚体消散作用破碎[22]。湿润过程中保证团聚体水分均匀分布,待团聚体充分湿润后称重计算含水率,此时含水率即为团聚体充分湿润的最高含水率。将团聚体转移至筛盘上均匀铺平,于恒温(20℃)无风条件下静置,通过静置不同时间获得不同质量含水率团聚体。文中设定5个前期含水率,分别为风干含水率(约3%)、5%、10%、15%和充分湿润(约20%)。
1.4 团聚体水稳性分析团聚体水稳性采用湿筛法测定,并采用LB法中快速湿润法(Fast Wetting,FW)测定不同前期含水率条件下3~5 mm团聚体破碎后粒径分布特征。首先采用干筛法在无水的环境下用筛网直接测定不同粒径土壤团聚体的含量,文中将土壤团聚体分为>5 mm、3~5 mm、2~3 mm、1~2 mm、0.5~1 mm、0.25~0.5 mm、0.1~0.25 mm及<0.1 mm共8个粒级。将干筛分取的风干样品按比例配成50 g土样供湿筛用。将筛孔粒径为5 mm、2 mm、1 mm、0.5 mm、0.25 mm的套筛固定在振荡架上,放入水桶,桶内加水至筛组上缘部分。将土样轻轻放入套筛内,开动马达,使筛子上缘任何时候均不要浸没于水中。团粒分析仪振荡30 min,振荡频率为30 r·min–1。振荡停止后,缓慢将套筛提出水面,将各级筛子上团聚体轻轻冲洗至已知重量的铝盒中烘干称重,将水桶内<0.25 mm的团聚体依次过0.1 mm和0.05 mm孔径筛子,并将筛上保留的团聚体转移至铝盒中烘干称重,对含<0.05 mm团聚体水样静置,待颗粒沉降后抽出上层清水,将沉降颗粒转移至铝盒中烘干称重。每个样品重复4次。
采用如下指标衡量团聚体稳定性:平均质量直径(MWD,Mean Weight Diameter)、几何平均直径(GMD,Geometric Means Diameter)、水稳性团聚体含量(WSA,the percentage of Water Stable Aggregate)。
| $ {\text{MWD}} = \sum\nolimits_1^{i + 1} {\frac{{{r_{i - 1}} + {r_i}}}{2}} \times {m_i} $ | (1) |
| $ {\text{GMD}} = {\text{EXP}}\left( {\sum\nolimits_1^{i + 1} {\ln \boxed?\left( {\frac{{{r_{i - 1}} + {r_i}}}{2}} \right)} \times {m_i}} \right) $ | (2) |
| $ {\text{WSA}} = \frac{{\sum\nolimits_l^i {{w_i}} }}{w} \times 100 $ | (3) |
MWD越大,表示团聚体稳定性越好,反之,团聚体稳定性越差。WSA越大,表示破碎后水稳性大团聚体(>0.25 mm)含量越高,水稳性越强。
式中,ri(mm)表示筛组中第i个筛的孔径,r0=r1,ri=ri+1;mi表示第i个筛上的破碎团聚体质量;wi表示水力作用破碎后>0.25孔径筛团聚体质量,w表示团聚体总质量。
1.5 数据处理数据分析采用Microsoft Excel 2010进行前处理,采用SPSS 16.0对数据进行方差分析和回归分析等,采用Cacono 5进行冗余分析(RDA),采用originpro2021进行做图。
2 结果与讨论 2.1 土壤基本理化性质土壤基本理化性质如表 2所示。由方差分析可知,不同利用方式土壤间的大部分基本性质存在显著差异(P<0.05),不同层次土壤间的部分理化性质也存在显著差异P<0.05)。供试土壤母质为玄武岩,且土壤长期处于温暖湿润气候条件,均为酸性土壤。不同利用方式下的土粒密度(Gs)未表现出明显差异,但受耕作及植物根系等的影响,土壤孔隙(NP,CP)存在一定差异,导致HA容重(BD)略高于其他土壤。表层土壤能受到外界碳源(枯枝落叶、鸟畜粪便等)的补给,表层土壤有机碳(SOC)一般高于下层;而GA受长期耕作影响,表层土壤有机碳存在一定的耗失,因此HA和LA有机碳高于GA。土壤机械组成存在一定差异,但质地均为粉壤土(USDA制)。土壤阳离子交换能力随土地利用方式有显著差异,GA显著小于HA和LA。受强烈风化作用的影响,土壤黏土矿物以高岭石为主,其次为1.4 nm过渡矿物,未发现蛭石与水云母。整体而言土壤各形态氧化物间差异不显著。
|
|
表 2 供试土壤基本理化性质 Table 2 Basic physical and chemical properties of tested soil |
图 1为不同土地利用方式下土壤干筛、湿筛后粒径分布。由图 1a可知,风干土壤大团聚体(>0.25 mm)占土壤总质量的83.16%~90.03%。不同土地利用方式下,风干土壤各粒径团聚体含量均存在显著差异。由图 1b可知,湿筛后,大团聚体含量均有不同程度的下降,且>5 mm粒径团聚体被完全破碎,水稳性大团聚体占总团聚体质量的73.49%~77.62%,而微团聚体(<0.25 mm)含量均显著增长,占总质量的22.38%~26.51%,这是由湿筛过程中团聚体的消散作用破碎引起的,大团聚体经消散作用破碎后形成小粒径的团聚体甚至微团聚体。与邢瑶丽等[9]及吴新亮[23]的研究结果类似,水稳性团聚体组成总体呈现“单峰”或“双峰”分布,峰值主要出现在2~1 mm和0.5~0.25 mm处。邢瑶丽等[9]研究认为,2~1 mm峰值是由于土壤大团聚的存在,而0.5~0.25 mm峰值是由于植物根系及土壤微生物活动影响土壤团聚作用,根系分泌的黏合物因较强的吸附能力促进了团聚体的形成。
|
注:HA、GA、LA、LB分别表示荒地表层、耕地表层、林地表层、林地表下层土壤;小写字母表示不同利用方式土样间差异,P<0.05。 Note: HA, GA, LA, and LB mean the surface layer of wasteland, the surface layer of cultivated land, the surface layer of forest land, and the subsoil layer of forest land respectively; Different small letters indicate the difference of significance at P<0.05 among soils with different land use. 图 1 不同利用方式土壤干筛、湿筛后土壤团聚体分布 Fig. 1 Size distribution of soil aggregates of different land use soils after dry sieve, wet sieve |
不同利用方式土壤干筛团聚体MWD为1.51~2.64 mm,其中LA最高为2.64 mm,GA最低为1.51 mm;湿筛团聚体MWD显著下降(0.86~1.56 mm),其中LA最高为1.56 mm,GA最低为0.86 mm,团聚体经过湿筛后,土壤的孔隙结构被破坏,微团聚体增多,土壤结构稳定性下降。LA和HA因地表有机质来源丰富,土壤有机质含量高,有利于大团聚体的稳定。下层土壤很少有外界碳源补充,因此LB土壤的有机碳含量相对较低(表 2),其土壤大团聚体含量也相对较低(图 1)。GA土壤受长期耕作影响,耕地土壤结构被破坏,大团聚体及水稳性团聚体含量均显著小于其他土壤,团聚体稳定性最差,这与胡尧等[7]及刘恩科等[24]的研究结果相同。
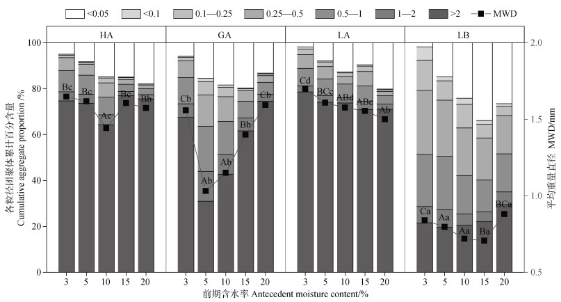
水稳性团聚体的数量和组成对土壤结构具有重要作用,影响土壤的透气性、抗蚀性等,是土壤肥力的重要指标[14,25],也是土壤抗侵蚀能力的重要指标。而土壤侵蚀与粒径3~5 mm的团聚体联系最为紧密[26],因此实验中采取LB法中快速湿润的方法模拟测定3~5 mm团聚体灌溉或降雨后水稳性团聚体分布状况(图 2)。供试土样大团聚体(>2 mm)含量均表现为LB显著低于其他土样,LB土壤团聚体在前期含水率为5%时,快速湿润破碎后大团聚体含量低至19.58%,含水率为20 %时达29.47 %。LA及HA土样大团聚体含量要显著高于GA和LB。总体而言,表层土壤团聚体水稳性整体表现为林地>荒地>耕地,表层土壤明显高于表下层土壤。林地表层土壤团聚体水稳性对前期含水率变化的响应相对较弱,随着前期含水率的减小,大团聚体(>2 mm)含量有不同程度的变化,但未达到显著性差异(P>0.05)。林地表下层土壤水稳性大团聚体含量显著低于其他供试土样,这与其较低的土壤有机质含量有关[27-28]。除林地表层外,其他土壤团聚体快速湿润过程中水稳性大团聚体含量随前期含水率的变化表现为随含水率的降低,水稳性大团聚体含量整体呈降低趋势。可见,在本研究条件范围内,提高团聚体前期含水率可增加大粒径水稳性团聚体含量。
|
注:HA、GA、LA、LB分别表示荒地表层、耕地表层、林地表层、林地表下层土壤;大写字母表示相同土样在不同含水率条件下平均质量直径差异,小写字母表示相同含水率条件下不同利用方式土样间平均质量直径差异,P<0.05;图中含水率0%为风干含水率。 Note: HA, GA, LA, and LB mean the surface layer of wasteland, the surface layer of cultivated land, the surface layer of forest land, and the subsoil layer of forest land respectively; different capital letters indicate the difference of significance at P<0.05 in mean weight diameter for the same soil at different antecedent moisture content and different small letters indicate the difference of significance at P<0.05 in mean weight diameter among soils at the same antecedent moisture content; Antecedent moisture content of 0% in the graph refers to air-drying moisture content. 图 2 LB法团聚体快速湿润破碎后粒径分布及团聚体平均重量直径 Fig. 2 Mean weight diameter of water-stable aggregate at different antecedent moisture content of different Land use Soils |
由图 2和图 3可知,林地表层土壤各团聚体稳定性指标(MWD、WSA、GMD)均表现为随含水率降低而增加的趋势,而其他利用方式土壤团聚体则表现为先降低后增加,且风干条件下,供试土样团聚体水稳性普遍较高。这与红壤中不同,红壤团聚体破碎机制以消散作用为主[29],因此,红壤团聚体随前期含水率升高,团聚体破碎程度逐渐降低[14]。而砖红壤团聚体快速湿润过程中,团聚体破碎程度随前期含水率降低整体呈先增大后减小的趋势。这可能与砖红壤较红壤而言具有更高含量的SOC和exNa有关(红壤有机碳及交换性纳离子含量数据参考马仁明等[14]、余洁等[30])。SOC是土壤中最主要的胶结物质,而钠离子因其水合半径较大,可减弱胶粒间引力,破坏团聚体结构,团聚体的稳定由SOC与exNa共同作用,且SOC的团聚作用较exNa的分散作用更强[30]。这二者复杂的相互作用导致了砖红壤对消散作用的响应更弱。高前期含水率条件下,大团聚(>2 mm)及微团聚体(<0.25 mm)含量均较高。相较而言,土地利用方式是影响砖红壤团聚体稳定性的主要因素(F>56,P<0.01)(表 3)。
|
注:HA、GA、LA、LB分别表示荒地表层、耕地表层、林地表层、林地表下层土壤;图中前期含水率0%指风干含水率。 Note: HA, GA, LA, and LB mean the surface layer of wasteland, the surface layer of cultivated land, the surface layer of forest land, and the subsoil layer of forest land respectively; Antecedent moisture content of 0% in the graph refers to air-drying moisture content. 图 3 团聚体稳定性指标分布 Fig. 3 Distribution of aggregate stability indexes |
|
|
表 3 土地利用方式及前期含水率对团聚体稳定性影响方差分析 Table 3 ANOVA results of the effects of land use(LU), Antecedent moisture content(M), and their interactions on aggregate stability |
通过冗余分析,研究了土壤性质和前期含水率对团聚体稳定性的相对贡献(图 4)。在土壤性质中,土壤有机碳对团聚体稳定性变异的解释率最高(R2=80.6%,P<0.01)并且与之呈正相关关系;其次为非毛管孔隙度(R2=66.0%,P<0.01),而毛管孔隙则表现为显著负相关关系;土壤氧化物中,铝氧化物(Ald、Alo)对团聚体稳定性的影响显著高于其他氧化物,这与Barthès等[31]对热带土壤中的研究结果一致;土壤交换性能中,仅CEC表现出显著正相关(R2=15.3%~30.8%,P<0.01),交换性盐基离子均未表现出显著相关性(R2=1.0%~5.5%,P>0.01)。土粒密度、1.4 nm过渡矿物和土壤黏粒含量表现出显著负相关(R2=12.6%~44.1%,P<0.01),土壤粉粒和砂粒则表现出显著正相关(R2=11.2%∼26.8%,P<0.01)。与土壤性质相比,土壤前期含水率对团聚体稳定性的影响相对较小,并表现显著负相关(R2=24.0%,P<0.01)。
|
注:BD,容重;Gs,土粒密度;1.4 nm,1.4 nm过渡矿物;SOC,土壤有机碳;Sand,Silt,Clay,砂粒、粉粒和黏粒;CP和NP,毛管和非毛管孔隙度;CEC,阳离子交换量;exCa、exMg、exNa和exK,交换性钙、镁、钠和钾离子;Fed、Ald和Mnd,游离态铁、铝、锰氧化物;Feo、Alo和Mno,非晶形态铁、铝、锰氧化物;Moisture,前期含水率。 Note: BD, bulk density; GS, Soil grain density; 1.4 nm, 1.4 nm intergrade mineral; SOC, soil organic carbon; CP and NP, capillary and non-capillary porosity; CEC, cation exchange capacity; Fed, Ald, and Mnd, free iron, aluminum, and manganese oxides; exCa, exMg, exNa and exK exchangeable calcium, magnesium, sodium, and potassium ions; Fed, Ald and Mnd, Free iron, aluminum, manganese oxides; Feo, Alo, and Mno, amorphous iron, aluminum, and manganese oxides; Moisture, soil antecedent moisture content. 图 4 冗余分析中土壤性质与前期含水率对团聚体稳定性的贡献率 Fig. 4 The relative contribution of soil properties and antecedent moisture to aggregate stability by redundancy analysis |
冗余分析筛选出4个性质对团聚体稳定性变异的解释率为77.62%,其中,SOC对团聚体稳定性的影响较其他性质更显著(图 5)。一方面,SOC与其他离子形成有机无机复合体,与土壤颗粒结合形成稳定的团聚体[32];另一方面,SOC通过疏水基团在团聚体周围形成疏水表面层,减缓润湿速率,从而提高团聚体的水稳定性[33]。供试土壤黏土矿物中,高岭石占绝大部分,而研究表明,高岭石为非膨胀性黏土矿物,具有较小的比表面积,其阳离子交换量也小,导致其团聚作用相对较弱;1.4 nm过渡矿物由2︰1型黏土矿物发育而来,2︰1型膨胀性黏土矿物较非膨胀性黏土矿物而言,其团聚作用更强[11]。但本文中,1.4 nm过渡矿物与团聚体稳定性呈负相关关系,这与其含量及发育2︰1型黏土矿物的类型有关[34]。Regelink等[35]研究认为,尽管非晶质氧化物含量较低,但其对于团聚体稳定效果更好,这与本文研究结果类似。不同利用方式下的土壤团聚体稳定性对土壤前期含水率的响应不同,这可能受到有机质的类型与数量的影响较大。
|
注:SOC,Alo,1.4 nm,M分别为土壤有机碳,非晶形氧化铝,1.4 nm过渡矿物和团聚体前期含水率;MWD,GMD,WSA分别为快速湿润后团聚体平均重量直径,几何平均直径和>0.25 mm团聚体百分含量。 Note: SOC, Alo, 1.4 nm, and M mean soil organic carbon, free aluminum oxides, 1.4 nm intergrade mineral, and antecedent moisture; MWD, GMD, WSA, mean weight diameter of aggregates, geometric mean diameter, and>0.25 mm aggregates content under fast wetting by LB method, respectively. 图 5 土壤性质与团聚体水稳性指标冗余分析 Fig. 5 Redundancy analysis of soil properties and aggregate water stability indexes |
玄武岩母质发育的砖红壤中,团聚体稳定性表现为林地表层>荒地表层>耕地表层>林地表下层,表明土地利用方式及土壤层次会显著影响玄武岩母质砖红壤团聚体的稳定性。整体而言,团聚体水稳性随着前期含水量的增加呈现先增加后降低趋势,与红壤不同,砖红壤团聚体对于消散作用反应不敏感。土壤有机碳是影响团聚体稳定性的最主要因素,不同土地利用方式下,土壤团聚体稳定性的变化主要是土壤有机碳的变化导致的。本文结果可为该区域的土地合理利用及科学灌溉提供一定的参考。
| [1] |
Ye L P, Tan W F, Fang L C, et al. Spatial analysis of soil aggregate stability in a small catchment of the Loess Plateau, China: Ⅰ. Spatial variability[J]. Soil and Tillage Research, 2018, 179: 71-81. DOI:10.1016/j.still.2018.01.012
( 0) |
| [2] |
Li Y J, Zhang R, Wang Q, et al. Effects of slope aspect and position on soil aggregates stability of shrub communities in Jiajin Mountains (In Chinese)[J]. Journal of Yunnan University(Natural Sciences Edition), 2022, 44(3): 522-532. [李禹江, 张荣, 王琴, 等. 坡向和坡位对夹金山灌丛土壤团聚体稳定性的影响[J]. 云南大学学报(自然科学版), 2022, 44(3): 522-532.]
( 0) |
| [3] |
Algayer B, Le Bissonnais Y, Darboux F. Short-term dynamics of soil aggregate stability in the field[J]. Soil Science Society of America Journal, 2014, 78(4): 1168-1176. DOI:10.2136/sssaj2014.01.0009
( 0) |
| [4] |
Deng C, Teng X L, Peng X H, et al. Effects of simulated puddling intensity and pre-drying on shrinkage capacity of a paddy soil under long-term fertilization[J]. Soil and Tillage Research, 2014, 140: 135-143. DOI:10.1016/j.still.2014.02.012
( 0) |
| [5] |
O'Brien S L, Jastrow J D. Physical and chemical protection in hierarchical soil aggregates regulates soil carbon and nitrogen recovery in restored perennial grasslands[J]. Soil Biology and Biochemistry, 2013, 61: 1-13. DOI:10.1016/j.soilbio.2013.01.031
( 0) |
| [6] |
Yan F L, Shi Z H, Cai C F, et al. Effects of topsoil aggregate stability on soil erosion at hillslope on ultisoils (In Chinese)[J]. Acta Pedologica Sinica, 2007, 44(4): 577-583. [闫峰陵, 史志华, 蔡崇法, 等. 红壤表土团聚体稳定性对坡面侵蚀的影响[J]. 土壤学报, 2007, 44(4): 577-583.]
( 0) |
| [7] |
Hu Y, Li Y, Hou Y L. Effects of land use types on stability and organic carbon of soil aggregates in Minjiang River valley (In Chinese)[J]. Research of Soil and Water Conservation, 2018, 25(4): 22-29. [胡尧, 李懿, 侯雨乐. 不同土地利用方式对岷江流域土壤团聚体稳定性及有机碳的影响[J]. 水土保持研究, 2018, 25(4): 22-29.]
( 0) |
| [8] |
Wu X L, Wei Y J, Wang J G, et al. Effects of soil physicochemical properties on aggregate stability along a weathering gradient[J]. Catena, 2017, 156: 205-215. DOI:10.1016/j.catena.2017.04.017
( 0) |
| [9] |
Xing Y L, Zhao Z Z, Li Y, et al. Organiccarbon change and distribution of soil aggregates under different land use—Taking example of Dingan County, Hainan Province (In Chinese)[J]. Guangdong Agricultural Sciences, 2018, 45(10): 74-81. [邢瑶丽, 赵志忠, 李燕, 等. 不同土地利用方式土壤团聚体有机碳分布特征——以海南省定安县为例[J]. 广东农业科学, 2018, 45(10): 74-81.]
( 0) |
| [10] |
Bronick C J, Lal R. Soil structure and management: A review[J]. Geoderma, 2005, 124(1/2): 3-22.
( 0) |
| [11] |
Six J, Bossuyt H, Degryze S, et al. A history of research on the link between(micro)aggregates, soil biota, and soil organic matter dynamics[J]. Soil and Tillage Research, 2004, 79(1): 7-31. DOI:10.1016/j.still.2004.03.008
( 0) |
| [12] |
Lu J, Zheng F L, Li G F, et al. The effects of raindrop impact and runoff detachment on hillslope soil erosion and soil aggregate loss in the Mollisol region of Northeast China[J]. Soil and Tillage Research, 2016, 161: 79-85. DOI:10.1016/j.still.2016.04.002
( 0) |
| [13] |
Wang Y L, Wang Y, Li L Y, et al. Composition characteristic of soil aggregates and their stability in red soils as affected by the soil parent materials and land use types (In Chinese)[J]. Chinese Journal of Soil Science, 2013, 44(4): 776-785. [王艳玲, 王燕, 李凌宇, 等. 成土母质与利用方式双重影响下红壤团聚体的组成特征与稳定性研究[J]. 土壤通报, 2013, 44(4): 776-785.]
( 0) |
| [14] |
Ma R M, Cai C F, Li Z X, et al. Effect of antecedent soil moisture on aggregate stability and splash erosion of krasnozem (In Chinese)[J]. Transactions of the Chinese Society of Agricultural Engineering, 2014, 30(3): 95-103. [马仁明, 蔡崇法, 李朝霞, 等. 前期土壤含水率对红壤团聚体稳定性及溅蚀的影响[J]. 农业工程学报, 2014, 30(3): 95-103.]
( 0) |
| [15] |
Truman C C, Bradford J M, Ferris J E. Antecedent water content and rainfall energy influence on soil aggregate breakdown[J]. Soil Science Society of America Journal, 1990, 54(5): 1385-1392. DOI:10.2136/sssaj1990.03615995005400050030x
( 0) |
| [16] |
Zhao Z Z, Li Y, Zhao Z Y, et al. Effects of land use patterns on soil organic carbon and easily oxidized organic carbon in the eastern part of Hainan Island (In Chinese)[J]. Tropical Geography, 2019, 39(1): 144-152. [赵志忠, 李燕, 赵泽阳, 等. 海南岛东部地区土地利用方式对土壤有机碳与易氧化有机碳的影响[J]. 热带地理, 2019, 39(1): 144-152.]
( 0) |
| [17] |
Li X. Analysis on the relationship between soil shear strength and influencing factors in different land use types[D]. Shenyang: Shenyang Agricultural University, 2017.[李想. 不同土地利用类型土壤抗剪强度与影响因素关系分析[D]. 沈阳: 沈阳农业大学, 2017.]
( 0) |
| [18] |
Dong H, Cha Z Z, Zhang X, et al. Effects of successive multi-generation planting of rubber trees on soil aggregates and soil organic carbon in rubber plantations (In Chinese)[J]. Chinese Journal of Tropical Crops, 2021, 42(12): 3664-3670. [董豪, 茶正早, 张翔, 等. 连续多代次种植橡胶树对土壤团聚体及土壤有机碳的影响[J]. 热带作物学报, 2021, 42(12): 3664-3670.]
( 0) |
| [19] |
Qi Z P, Wang D F, Wei Z Y. Soil Series of China(Volume of Hainan) (In Chinese). Beijing: Science Press, 2018: 146-156. [漆智平, 王登峰, 魏志远. 中国土系志(海南卷)[M]. 北京: 科学出版社, 2018: 146-156.]
( 0) |
| [20] |
Lu R K. Analytical methods for soil and agro-chemistry (In Chinese). Beijing: China Agricultural Science and Technology Press, 2000. [鲁如坤. 土壤农业化学分析方法[M]. 北京: 中国农业科技出版社, 2000.]
( 0) |
| [21] |
Department of Soil Physics, Nanjing Institute of Soil Science, Chinese Academy of Sciences. Determination of soil physical properties (In Chinese). Beijing: Science Press, 1978. [中国科学院南京土壤研究所物理研究室. 土壤物理性质测定法[M]. 北京: 科学出版社, 1978.]
( 0) |
| [22] |
Han X S, Ma F, Guo Y Z, et al. Effects of surface-layer soil water-stable aggregates under land use patterns (In Chinese)[J]. Journal of Arid Land Resources and Environment, 2018, 32(2): 114-120. [韩新生, 马璠, 郭永忠, 等. 土地利用方式对表层土壤水稳性团聚体的影响[J]. 干旱区资源与环境, 2018, 32(2): 114-120.]
( 0) |
| [23] |
Wu X L. Stability mechanism and slope erosion response of several typical zonal soil aggregates[D]. Wuhan: Huazhong Agricultural University, 2017.[吴新亮. 几种典型地带性土壤团聚体稳定机制及坡面侵蚀响应[D]. 武汉: 华中农业大学, 2017.]
( 0) |
| [24] |
Liu E K, Zhao B Q, Mei X R, et al. Distribution of water-stable aggregates and organic carbon of arable soils affected by different fertilizer application (In Chinese)[J]. Acta Ecologica Sinica, 2010, 30(4): 1035-1041. [刘恩科, 赵秉强, 梅旭荣, 等. 不同施肥处理对土壤水稳定性团聚体及有机碳分布的影响[J]. 生态学报, 2010, 30(4): 1035-1041.]
( 0) |
| [25] |
Chen A Q, Zhang D, Xiong D H, et al. Effects of mechanical properties of surface soil on soil anti-scourability in Yuanmou dry-hot valley (In Chinese)[J]. Transactions of the Chinese Society of Agricultural Engineering, 2012, 28(5): 108-113. [陈安强, 张丹, 熊东红, 等. 元谋干热河谷坡面表层土壤力学特性对其抗冲性的影响[J]. 农业工程学报, 2012, 28(5): 108-113.]
( 0) |
| [26] |
Wu L L, Wang Y J, Wang B, et al. Influence of dry-wet cycles on aggregate stability of yellow soil in southwest China (In Chinese)[J]. Journal of Soil and Water Conservation, 2017, 31(3): 317—321, 329. [邬铃莉, 王玉杰, 王彬, 等. 干湿交替作用对西南地区黄壤团聚体稳定性的影响[J]. 水土保持学报, 2017, 31(3): 317—321, 329.]
( 0) |
| [27] |
Cheng L, Qin J H, Zhang L C, et al. Application of le bissonnais method to study soil aggregate stability in red soils under different types of vegetation (In Chinese)[J]. Acta Pedologica Sinica, 2020, 57(4): 855-866. [程谅, 秦嘉惠, 张利超, 等. 应用Le Bissonnais法研究不同植被类型下红壤团聚体稳定性[J]. 土壤学报, 2020, 57(4): 855-866.]
( 0) |
| [28] |
Wang D. Relationship between organic matter composition and structural stability of several zonal soils[D]. Wuhan: Huazhong Agricultural University, 2017.[王迪. 几种地带性土壤有机质组成与结构稳定性的关系[D]. 武汉: 华中农业大学, 2017.]
( 0) |
| [29] |
Wang J G, Li Z X, Cai C F, et al. Research of red soil aggregate abrasion degree of different layers in overland flow (In Chinese)[J]. Transactions of the Chinese Society of Agricultural Engineering, 2012, 28(19): 78-84. [王军光, 李朝霞, 蔡崇法, 等. 坡面水流中不同层次红壤团聚体剥蚀程度研究[J]. 农业工程学报, 2012, 28(19): 78-84.]
( 0) |
| [30] |
Yu J, Miao S J, Qiao Y F. The stabilization mechanism of different types of soil aggregates (In Chinese)[J]. Chinese Agricultural Science Bulletin, 2022, 38(14): 89-95. [余洁, 苗淑杰, 乔云发. 不同类型土壤团聚体稳定机制的研究[J]. 中国农学通报, 2022, 38(14): 89-95.]
( 0) |
| [31] |
Barthès B G, Kouakoua E T, Larré-Larrouy M C, et al. Texture and sesquioxide effects on water-stable aggregates and organic matter in some tropical soils[J]. Geoderma, 2008, 143(1/2): 14-25.
( 0) |
| [32] |
Chenu C, Le Bissonnais Y, Arrouays D. Organic matter influence on clay wettability and soil aggregate stability[J]. Soil Science Society of America Journal, 2000, 64(4): 1479-1486. DOI:10.2136/sssaj2000.6441479x
( 0) |
| [33] |
Goebel M O, Woche S K, Bachmann J. Quantitative analysis of liquid penetration kinetics and slaking of aggregates as related to solid–liquid interfacial properties[J]. Journal of Hydrology, 2012, 442/443: 63-74. DOI:10.1016/j.jhydrol.2012.03.039
( 0) |
| [34] |
He J Z, Li X Y, Xu F L, et al. 1.4 nm transition mineral formed by montmorillonite in soil (In Chinese)[J]. Cinese Science Bulletin, 1993, 38(22): 2096-2098. [贺纪正, 李学垣, 徐凤琳, 等. 土壤中蒙脱石形成的1.4 nm过渡矿物[J]. 科学通报, 1993, 38(22): 2096-2098.]
( 0) |
| [35] |
Regelink I C, Stoof C R, Rousseva S, et al. Linkages between aggregate formation, porosity and soil chemical properties[J]. Geoderma, 2015, 247/248: 24-37. DOI:10.1016/j.geoderma.2015.01.022
( 0) |
2024, Vol. 61



0)