近年来,全球变暖一直是人们首要关注的气候问题之一。根据联合国政府间气候变化专门委员会(IPCC)第六次评估报告显示,即使实现全球温室气体排放量在预计时间达到峰值、减少排放的目标,全球升温超过1.5℃的阈值也已不可避免[1]。气候变暖已经给农业生产带来了巨大的压力。水稻作为喜温作物,温度是水稻生长发育最重要的气象要素之一。杨松等[2]研究发现,60℃处理下的水稻种子发芽率较对照下降了5%,但升温处理使得壮苗率有所上升,明显降低弱苗比例。叶世青[3]的研究同样表明温度超过一定范围,水稻种子发芽率随温度升高呈极显著下降趋势,不同品种水稻种子发芽率存在明显的差异。在营养生长期温度变化对水稻地上部分和地下部分生长均有明显影响,温度上升导致水稻生长速率减缓,地上部物质累积减少[4]。已有研究表明,升温会导致水稻叶绿素合成速率降低,从而导致叶绿素含量降低,叶片功能期缩短使得光合产物的累积量减少,从而导致水稻植株株高差异明显,进而影响水稻后期生长[5]。徐鹏等[6]研究指出,温度变化由于影响水稻的生长,从而影响水稻的结实率和籽粒重,且对温度变化的敏感性因品种而异。张继双等[7]研究也指出,年际环境温度的升高特别是增温处理降低了水稻有效穗数和穗粒数,从而降低了水稻产量。温度对于水稻生长的直接影响已有大量研究,而对于温度影响外源砷的环境行为从而间接影响水稻生长的问题也逐渐显现。
砷作为一种公认的致癌物,对植物具有很强的毒性,而水稻的生理结构及生长环境使其对砷具有较强的富集能力,严重影响水稻的生长发育[8]。Williams等[9]研究发现,水稻对砷的富集能力远高于小麦和大麦。通过对水稻种子和水稻幼苗进行不同砷浓度的短期毒性实验,结果表明低浓度的砷促进了水稻种子的发芽和根芽的生长,随着砷浓度增加,发芽率显著降低,水稻幼苗的根系耐受指数和相对地上部高度也有明显降低,不同品种对于砷胁迫的响应也存在差异[10-11]。在土壤中添加砷能显著降低植株高度,水稻植株不同部位的砷含量随生长阶段而变化,且组织中根系的砷含量高于其他部位 [12-14]。邓丹[15]的研究表明,由于根系结构差异,不同品种水稻对于砷的吸收和转运表现出显著差异,粳稻根系对砷的吸收和转运能力低于籼稻。
已有研究大多从单一因素考虑温度和外源砷对水稻生长发育产生的影响,然而在气候变暖的背景下,砷污染稻田的水稻通常受到温度和外源砷两因素的共同作用,从而低估了单因素对水稻生长发育的影响。而且有关温度和外源砷两因素共同作用对水稻生长及砷吸收的影响研究不多,尚处于探索阶段。基于此,本文筛选江苏省常用的8个水稻品种,在不同温度和砷浓度下进行发芽和苗期试验,研究水稻发芽、生长以及砷吸收的状况,从而为全球变暖条件下砷污染稻田水稻生长管理及安全生产提供理论基础。
1 材料与方法 1.1 试验材料筛选了江苏省常用的8个水稻品种作为本研究的试验材料,其中粳稻品种3个,分别为武运粳31(WYG)、南粳9108(NG1)和南粳8055(NG2);杂交稻品种5个,分别为Y两优5867(YLY)、新两优6(XLY)、盐两优888(YLY1)、盐两优1618(YLY2)和内5优8015(N5Y)。
1.2 试验设计通过前期研究结果可知,当添加系列浓度砷时,水稻种子的发芽率降低,但当添加砷浓度大于1 mg·L–1时,水稻种子的发芽率显著降低甚至种子死亡。为使水稻种子正常萌发且能显著受到添加砷的影响,选择0、0.5 mg·L–1和1 mg·L–1作为本研究的砷处理浓度[11]。选取饱满优质的水稻种子,用30%过氧化氢浸泡15 min,用去离子水洗净后浸泡于蒸馏水中,在30℃培养箱中过夜。将种子置于培养皿中,每皿30粒,培养皿中分别加入浓度为0、0.5 mg·L–1和1 mg·L–1的砷溶液(用As0、As0.5、As1表示),用保鲜膜覆盖并留出孔隙,培养箱温度设置为白天/夜晚分别为30℃/25℃和35℃/30℃(分别用T0、T1表示),每个处理设置3个重复,湿度设置为70%,培养10 d后,记录种子的发芽数和芽长。
选取长势相似的水稻幼苗每皿6株移至1/2强度的木村B(Kimura B)水稻专用营养液中,营养液中砷浓度设置与上述一致,每3天更换一次营养液,培养箱温度和湿度设置与上述一致,培养20 d后收获。
1.3 样品采集和测定在发芽试验中每日记录种子发芽数、芽长。水稻收获后测定秧苗根长、苗高及根系活力。根系活力测定采用氯化三苯基四氮唑(TTC)法[16]。水稻地上部分用水洗净装入信封置于烘箱烘至恒重,用高速粉碎机粉碎后采用HCl-HNO3法消煮,用原子荧光光谱仪(AF610D2,北京瑞利分析仪器厂)测定消煮液中的砷含量[17]。
1.4 发芽率等指标的计算| $ 发芽率/\%=第七日发芽数/种子总数×100 $ |
| $ 发芽指数=Σ每日发芽数/发芽日数 $ |
| $ 活力指数=种子发芽指数×种子芽长 $ |
用Microsoft Excel 2007和SPSS 19对数据作单因素方差分析和多因素交互作用分析,并采用最小显著差异法(LSD)比较不同处理间的差异性,用Origin9作图。
2 结果 2.1 温度和砷处理下的水稻种子萌发由表 1可知,水稻发芽率在温度和外源砷单一因素及交互作用下无显著性差异,但不同品种间差异显著。温度、外源砷及品种均显著影响水稻芽长,其中,温度和外源砷的交互作用也显著影响芽长,但未受品种、温度和品种三因素交互作用的影响。活力指数受品种和外源砷影响显著,但未受到温度的显著影响。
|
|
表 1 温度和砷对不同品种水稻发芽影响的方差分析 Table 1 ANOVA of the effects of temperature and arsenic on germination of different rice varieties |
由于温度和砷处理未显著影响水稻发芽率,而水稻品种则显著影响水稻发芽率(表 1),因此,本研究计算了同一水稻品种不同温度和砷处理的水稻发芽率平均值(n=18),结果列于图 1。由图 1可知,南粳8055和盐两优1618的发芽率较高,分别为89.1%和90.16%,新两优6的发芽率最低,为59.45%。盐两优1618、南粳8055和南粳9108的发芽率显著高于其他水稻品种。杂交稻之间的发芽率均有显著差异。除盐两优1618外,粳稻的发芽率均大于杂交稻。
|
注:不同小写字母表示水稻发芽率在不同品种间差异显著(P < 0.05)。武运粳31、南粳9108、南粳8055、Y两优5867、新两优6、盐两优888、盐两优1618和内5优8015分别缩写为WYG、NG1、NG2、YLY、XLY、YLY1、YLY2和N5Y。下同。 Note: Different lowercase letters indicate rice germination rate is significantly different among rice varieties. Wuyungeng31, Nangeng9108, Nangeng8055, Yliangyou5867, Xinliangyou6, Yanliangyou 888, Yanliangyou1618 and nei5you 8015 are abbreviated to WYG, NG1, NG2, YLY, XLY, YLY1, YLY2 and N5Y, respectively. The same as below. 图 1 不同品种水稻发芽率 Fig. 1 Germination rate of different rice varieties |
由表 2可知,除T0As1外,盐两优1618的芽长在同一温度和外源砷处理中均大于其他水稻品种。在相同温度处理下,不同品种水稻芽长随外源砷浓度增加呈降低趋势,在高砷(As1)处理达到最小值。在同一外源砷浓度下,大部分的增温处理不同程度地降低了水稻芽长,对于大部分温度和外源砷处理,杂交稻的芽长高于粳稻。
|
|
表 2 不同处理下不同品种水稻芽长 Table 2 Sprout length of different rice varieties under different treatments/cm |
由于温度未显著影响活力指数,而品种和砷处理则显著影响活力指数(表 1),因此,本研究计算了同一水稻品种和同一砷处理不同温度活力指数的平均值(n=6),结果列于图 2。由图 2可知,不同品种水稻在相同外源砷处理下的活力指数具有一定差异,其中盐两优1618的活力指数在相同外源砷浓度中均处于较高水平,南粳9108和新两优6处于较低水平。各个品种的活力指数均随着外源砷浓度增加而显著下降。在相同外源砷浓度处理下,除新两优6外,杂交稻品种活力指数均高于粳稻。在As1处理中,盐两优1618和盐两优888的活力指数较大,显著高于供试的其他大部分水稻品种。
|
注:同一砷处理不同小写字母表示水稻活力指数在不同品种间显著差异(P < 0.05)。 Note: Different lowercase letters for the same As treatment indicate vigor index is significantly different among rice varieties. 图 2 不同砷浓度下不同品种水稻活力指数 Fig. 2 Vigor indices of different rice varieties under different arsenic concentrations |
由表 3可知,不同水稻品种间根长差异不显著,但不同温度和外源砷处理下根长差异显著。而水稻苗高则显著受品种和砷处理的影响,但不同温度间差异不明显。温度、外源砷处理及水稻品种均显著影响水稻根系活力,但三者的交互作用未显著影响水稻根系活力。
|
|
表 3 温度和砷对水稻生长和砷含量影响的方差分析 Table 3 ANOVA of the effects of temperature and arsenic on the growth and arsenic content of rice |
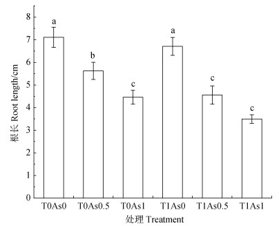
由于水稻品种未显著影响水稻根长,而温度和砷处理则显著影响水稻根长(表 3),因此,本研究计算了同一温度和砷处理不同水稻品种根长的平均值(n=24),结果列于图 3。由图 3可知,不同温度和不同外源砷浓度下,水稻根长差异显著。T0As0处理下,水稻根最长,为7.11 cm;而在T1As1处理下,水稻根最短,为3.49 cm。在同一温度处理下,根长随砷浓度增加而显著减小,在As1处理下达到最小值。在相同砷浓度下,T1处理降低了水稻的根长。
|
注:不同小写字母表示根长在不同处理间显著差异(P < 0.05)。 Note: Different lowercases indicates root length is significantly different among treatments. 图 3 不同处理对水稻根长的影响 Fig. 3 Effect of different treatments on rice root length |
通过图 4可知,不同品种水稻在相同砷浓度下的苗高差异显著。其中新两优6和盐两优888的苗高在不同砷浓度处理中均处于较高水平,武运粳31和南粳8055处于较低水平。杂交稻除Y两优5867外其余品种苗高均高于粳稻。不同品种水稻苗高对于外源砷处理的响应程度也有差异,其中南粳9108和Y两优5867的苗高在As0和As1处理下变化范围相对较大,内5优8015的苗高受外源砷浓度影响较小。
|
注:同一砷处理不同小写字母表示苗高在不同品种间差异显著(P < 0.05)。 Note: Different lowercase letters for the same As treatment indicate seedling height is significantly different among rice varieties. 图 4 不同处理下不同品种水稻苗高 Fig. 4 Seedling height of different rice varieties under different treatments |
由表 4可知,盐两优888根系活力在温度和外源砷处理中均处于较高水平,南粳9108和Y两优5867处于较低水平。在同一温度下,不同品种水稻根系活力随外源砷浓度增加呈降低趋势,在As1达到最小值。在同一砷浓度下,除南粳9018外T1均不同程度降低了其余品种水稻的根系活力。在所有处理中,除Y两优5867外,杂交稻的根系活力均高于粳稻。
|
|
表 4 不同处理下不同品种水稻根系活力 Table 4 Root vigor of different rice varieties under different treatments /(µg·g–1·h–1) |
通过表 3可知,温度和砷的单一因素显著影响了水稻幼苗茎叶的砷含量,但品种及各因子的交互作用影响不显著。T0As1处理下的水稻幼苗茎叶砷含量高于其他处理,为20.92 mg·kg–1。在同一温度下,茎叶砷含量随砷浓度增加呈增加趋势。在砷浓度相同时,增温降低了水稻茎叶砷含量(图 5)。
|
注:不同小写字母表示不同处理间显著差异(P < 0.05)。 Note: Different lowercases indicates significant difference among treatments. 图 5 不同处理对水稻茎叶砷含量的影响 Fig. 5 Effect of different treatments on rice arsenic content in stems and leaves |
温度是影响水稻生长发育的重要因素之一,增温降低了水稻种子的发芽率[18]。张克勤等[20]的研究也表明,增温降低了水稻种子的发芽率,且发芽率降低的程度与温度升高的幅度有关。莫旭等[21]研究表明,影响中嘉早17号水稻种子萌发特性的临界温度为32℃,不同水稻品种种子萌发的临界温度具有一定差异。砷作为公认的致癌物质,也影响水稻的生长发育。据研究,无机砷对水稻种子发芽率的影响取决于其浓度,当砷浓度大于0.8 mg·L–1,才显著降低水稻种子的发芽率[11]。方清等[22]和马琼芳等[23]研究表明砷显著抑制水稻种子萌发,随着砷浓度增加,抑制程度加剧。本研究结果显示,温度和砷的单一处理未显著影响水稻种子的发芽率(表 1),其原因可能是由于高温和砷浓度设置未达到抑制水稻种子萌发的标准。然而温度和砷的单一处理均显著降低了水稻芽长,两者的共同作用加剧了芽长降低的程度(表 2),这与刘书锦等[24]的研究结果一致。砷胁迫破坏水稻幼芽中的抗氧化系统,降低幼芽中的过氧化物酶(POD)、超氧化物歧化酶(SOD)和过氧化氢酶(CAT)等抗氧化酶活性,增加丙二醛(MDA)含量,从而影响水稻幼芽的生长[25]。温度和砷对水稻发芽率、芽长和活力指数的影响具有品种间差异(表 1)。活力指数可综合反映种子发芽速率和生长量,能够准确评价种子的萌发质量。本研究中,杂交稻的芽长及活力指数大于粳稻,其中杂交稻新两优6和盐两优1618的芽长及盐两优1618活力指数高于其他大部分水稻品种(表 2和图 2)。该结果表明,杂交稻种子萌发对温度和砷的耐受能力大于粳稻,该结果也被林小兵等[26]和刘志彦等[27]所证实。
3.2 温度和砷对水稻幼苗生长的影响根长和苗高是评价水稻幼苗生长状况较为直观的指标。通过本研究结果可知,增温和外源砷显著降低了水稻根长(表 3和图 3),表明增温和外源砷对水稻根的生长具有抑制作用。这是由于主根生长点细胞容易受到伤害,细胞分裂增殖被抑制[28]。另一方面,植物根最先与砷接触,根将砷元素固定在根细胞壁的交换位点上,从而影响根的生长[29]。而砷对苗高的影响则与砷的浓度有关,0.5 mg·L–1的砷处理对苗高无影响,1 mg·L–1的砷处理则降低水稻苗高。根系活力是植物生长的重要生理指标之一,直接影响地上部分的营养吸收,进而影响根长和苗高。砷胁迫显著抑制根系活力,并通过对根长、根体积等的影响,降低根系对水分和养分的吸收能力[27]。本研究中增温和外源砷显著降低了根系活力(表 3和表 4),这可能是增温和外源砷降低水稻根长和苗高的原因之一。增温对水稻生长和产量的影响也被常少燕等[30]所证实。苗高和根系活力在不同品种间具有显著性差异(表 3),其中新两优6和盐两优888的苗高、盐两优888根系活力在不同砷浓度处理中均处于较高水平;杂交稻除Y两优5867外,其余品种的苗高均高于粳稻(图 4和表 4)。在所有处理中,除Y两优5867外的杂交稻的根系活力高于粳稻[31-32]。
3.3 温度和砷对水稻幼苗茎叶砷含量的影响增温和外源砷显著影响水稻幼苗茎叶的砷含量。在相同温度条件下,茎叶砷含量随外源砷浓度增加而显著上升(图 5)。结合上述根长、苗高和根系活力在高砷环境显著降低的结果(图 3,图 4和表 4),说明水稻植株易于吸收砷,从而影响水稻的生长。然而在本研究中,在外源砷浓度相同的环境中,茎叶砷含量随温度升高略有下降(图 5),这可能是由于升温导致根长和根系活力下降(图 3和表 4),根系对砷的吸收和转运受到限制,从而导致温度升高后茎叶砷含量降低。与单一的砷处理相比,本研究中温度和外源砷的交互作用降低了水稻茎叶中的砷含量(图 5)。然而,Muehe等[33]研究表明在污染土壤上,增温使水稻籽粒中的无机砷浓度增加了2倍多。Arao等[34]研究认为高温增加了水稻籽粒砷含量,但温度对水稻砷含量的影响与高温出现的时间有关,在水稻成熟后期高温对水稻籽粒砷的影响大于水稻成熟早期或水稻成熟阶段之前。造成研究结果差异的原因可能与以下两个方面有关:(1)生长介质不同。本研究的水稻用营养液进行培养,而以上两研究均为基于土壤栽培的结果。在土壤栽培的过程中,增温增加了水稻根际孔隙水中三价砷含量,从而增大了土壤砷的生物有效性,导致水稻对砷的吸收增加[33]。(2)水稻所处的生长阶段不同。本研究所用的水稻处于幼苗期,而以上两研究均为水稻整个生长期。幼苗期易于受到砷的毒害作用,导致水稻吸收能力较弱,减弱了温度对水稻砷吸收的影响。
通过本研究可知,虽然水稻芽长等水稻萌发及生长指标受到温度和砷交互作用的影响,但未受到温度、砷浓度及水稻品种三者交互作用的影响(表 1和表 3)。比较不同的水稻品种可知,盐两优888和盐两优1618的种子萌发和生长状况优于其他品种,杂交稻生长发育优于粳稻,这可能是由于杂交稻的基因优势,对于温度变化和外源砷有较强的适应性和抗逆性。另一方面,水稻的根表铁膜对砷的吸收有显著影响,不同品种间铁膜的生成量有显著差异[35-36],这可能也是导致品种间生长发育状况差异的原因之一。但温度和砷对于水稻产量以及砷在稻米中富集的影响需进一步的研究,从而为不同气候环境下,砷污染农田筛选高产优质的水稻品种提供理论基础。
4 结论外源砷显著降低了水稻的芽长、活力指数、根长和根系活力。增温显著影响水稻的芽长、根长和根系活力。与对照相比,温度和外源砷(T1As1处理)的共同作用抑制了水稻芽长、根长和根系活力,但未显著影响其他生长指标。不同品种间的发芽率、芽长、活力指数、苗高及根系活力具有差异,杂交稻芽长、苗高及根系活力优于粳稻。在外源砷和温度处理下,盐两优1618的发芽率、芽长和活力指数均优于其他品种,而盐两优888的苗高和根系活力均处于较高水平。外源砷显著增加了水稻茎叶砷含量而增温降低了水稻茎叶砷含量。上述结果表明外源砷和温度影响了水稻种子萌发、生长及砷吸收,且不同品种间具有一定差异,其中盐两优888和盐两优1618在外源砷和增温作用下,生长状况优于其他水稻品种。
| [1] |
IPCC. Global warming of 1.5 ℃: An IPCC special report on the impacts of global warming of 1.5℃ above pre-industrial levels and related global greenhouse gas emission pathways, in the context of strengthening the global response to the threat of climate change, sustainable development, and efforts to eradicate poverty[M]. Cambridge: Cambridge University Press, 2018.
( 0) |
| [2] |
Yang S, Jia Y L, Shen J S, et al. Effects of high-temperature hastening germination on rice seed germination and seedling quality (In Chinese)[J]. Barley and Cereal Sciences, 2021, 38(3): 23-27. [杨松, 贾一磊, 沈进松, 等. 高温催芽技术对水稻种子发芽及秧苗素质的影响[J]. 大麦与谷类科学, 2021, 38(3): 23-27.]
( 0) |
| [3] |
Ye S Q. Effects of high-temperature on germination rate of rice seed (In Chinese)[J]. China Rice, 2017, 23(6): 47-52. [叶世青. 高温处理对不同状态水稻种子发芽率的影响[J]. 中国稻米, 2017, 23(6): 47-52.]
( 0) |
| [4] |
Zhang X J, Zhang S Y, Li C Q, et al. Effects of high temperature stress on growth of stress-tolerant rice seedlings with resistibility[J]. Agricultural Science & Technology, 2014, 15(4): 576—578, 584.
( 0) |
| [5] |
Teng Z H, Zhi L, Zong X F, et al. Effects of high temperature on chlorophyll fluorescence, active oxygen resistance activity, and grain quality in grain-filling periods in rice plants (In Chinese)[J]. Acta Agronomica Sinica, 2008, 34(9): 1662-1666. DOI:10.3321/j.issn:0496-3490.2008.09.025 [滕中华, 智丽, 宗学凤, 等. 高温胁迫对水稻灌浆结实期叶绿素荧光、抗活性氧活力和稻米品质的影响[J]. 作物学报, 2008, 34(9): 1662-1666.]
( 0) |
| [6] |
Xu P, He Y Z, Huang Y R, et al. Effects of short-term high temperature on spikelet opening dynamics and yield of different rice varieties during flowering period (In Chinese)[J]. Chinese Journal of Agrometeorology, 2023, 44(1): 25-35. [徐鹏, 贺一哲, 黄亚茹, 等. 花期短时高温对不同品种水稻颖花开放动态及产量的影响[J]. 中国农业气象, 2023, 44(1): 25-35.]
( 0) |
| [7] |
Zhang J S, Tao Y, Song L, et al. Interannual ambient temperature shift caused varied responses of rice yield and its components to elevated CO2 and temperature (In Chinese)[J]. Soils, 2022, 54(2): 262-269. [张继双, 陶冶, 宋练, 等. 年际环境温度变化驱动水稻产量及其构成对CO2浓度和温度升高的响应差异[J]. 土壤, 2022, 54(2): 262-269.]
( 0) |
| [8] |
Zhong S X, He H F, Chen Z L, et al. Advancement in study on biochemical behavior of arsenic in flooded paddy soil (In Chinese)[J]. Acta Pedologica Sinica, 2018, 55(1): 1-17. DOI:10.11766/trxb201704250028 [钟松雄, 何宏飞, 陈志良, 等. 水淹条件下水稻土中砷的生物化学行为研究进展[J]. 土壤学报, 2018, 55(1): 1-17.]
( 0) |
| [9] |
Williams P N, Villada A, Deacon C, et al. Greatly enhanced arsenic shoot assimilation in rice leads to elevated grain levels compared to wheat and barley[J]. Environmental Science and Technology, 2007, 41(19): 6854-6859. DOI:10.1021/es070627i
( 0) |
| [10] |
Abedin M J, Meharg A A. Relative toxicity of arsenite and arsenate on germination and early seedling growth of rice(Oryza sativa L.)[J]. Plant and Soil, 2002, 243: 57-66. DOI:10.1023/A:1019918100451
( 0) |
| [11] |
Li R Y, Shen X H, Zhang Y H, et al. Effects of inorganic arsenic on seed germination and photosynthetic characteristics of various rice cultivars (In Chinese)[J]. Journal of Agro-Environment Science, 2014, 33(6): 1067-1074. [李仁英, 沈孝辉, 张耀鸿, 等. 无机砷对不同水稻品种种子萌发和幼苗光合生理的影响[J]. 农业环境科学学报, 2014, 33(6): 1067-1074.]
( 0) |
| [12] |
Lian W M, Xu W, Meng Z L, et al. Effects of supplementation of epibrassinolide on alleviation of arsenic stress in rice (In Chinese)[J]. Jiangsu Journal of Agricultural Sciences, 2018, 34(6): 1267-1275. DOI:10.3969/j.issn.1000-4440.2018.06.010 [练旺民, 徐薇, 孟卓玲, 等. 表油菜素内酯在缓解水稻砷毒害中的作用[J]. 江苏农业学报, 2018, 34(6): 1267-1275.]
( 0) |
| [13] |
Wang F M, Chen Z L, Zhang L, et al. Arsenic uptake and accumulation in rice(Oryza sativa L.)at different growth stages following soil incorporation of roxarsone and arsanilic acid[J]. Plant and Soil, 2006, 285(1/2): 359-367.
( 0) |
| [14] |
Feng X M. The key parts, important growth stages and related elements in Cd/As accumulation of rice[D]. Beijing: Chinese Academy of Agricultural Sciences, 2017: 15—16.[冯雪敏. 水稻富集镉砷的关键部位、生育时期及相关元素的研究[D]. 北京: 中国农业科学院, 2017: 15—16.]
( 0) |
| [15] |
Deng D. Effects of root structure on arsenic uptake by paddy rice[D]. Shanghai: East China Normal University, 2009: 25—26.[邓丹. 根系结构对水稻吸收砷的影响[D]. 上海: 华东师范大学, 2009: 25—26.]
( 0) |
| [16] |
Zhang Z L. Experimental guidance of plant physiology (In Chinese). 4th Ed[M]. Beijing: Higher Education Press, 2009: 32-33. [张志良. 植物生理学实验指导[M]. 4版. 北京: 高等教育出版社, 2009: 32-33.]
( 0) |
| [17] |
Lu R K. Analytical methods for soil and agrochemistry (In Chinese). Beijing: China Agricultural Science and Technology Press, 1999. [鲁如坤. 土壤农业化学分析方法[M]. 北京: 中国农业科技出版社, 1999.]
( 0) |
| [18] |
Liu W L, Qian J Y, Xu Z M, et al. Effects of temperature and betaine on rice seed germination [J/OL]. Molecular Plant Breeding, 2022. https://kns.cnki.net/kcms/detail/46.1068.s.20220328.1016.003.html.[刘文露, 钱婧雅, 徐志明, 等. 温度和甜菜碱对水稻种子萌发的影响[J/OL]. 分子植物育种, 2022. https://kns.cnki.net/kcms/detail/46.1068.s.20220328.1016.003.html.]
( 0) |
| [19] |
Wei Q Q, Sun W X, Li T S, et al. Effect of sorbitol chelated calcium on seed germination of rapeseed under NaCl stress (In Chinese)[J]. Solis, 2022, 54(2): 285-290. [魏倩倩, 孙文轩, 李腾升, 等. 山梨醇螯合钙对NaCl胁迫下油菜种子萌发的影响[J]. 土壤, 2022, 54(2): 285-290.]
( 0) |
| [20] |
Zhang K Q, Feng Y Q, Wu R L, et al. Changes of germination rate of different rice varieties under high temperature and high humidity conditions (In Chinese)[J]. China Rice, 2011, 17(6): 49-52. [张克勤, 冯玉强, 吴荣梁, 等. 不同水稻品种种子在高温高湿条件下的发芽率变化[J]. 中国稻米, 2011, 17(6): 49-52.]
( 0) |
| [21] |
Mo X, Yue X L, Tang C B, et al. Effect of 2, 4-dichlorophenoxyacetic acid on the germination characteristics of rice seeds at different temperatures[J]. Molecular Plant Breeding, 2022. https://kns.cnki.net/kcms/detail/46.1068.s.20220420.2103.026.html.[莫旭, 岳晓磊, 唐才宝, 等. 2, 4-二氯苯氧乙酸和温度对水稻种子萌发特性的影响[J]. 分子植物育种, 2022. https://kns.cnki.net/kcms/detail/46.1068.s.20220420.2103.026.html.]
( 0) |
| [22] |
Fang Q, Yan S W, Cui C Y, et al. Effects of copper oxide nanoparticles on germination and growth of rice seeds exposed to arsenic stress (In Chinese)[J]. Journal of Anhui Agricultural University, 2020, 47(5): 826-831. [方清, 晏士玮, 崔彩云, 等. 纳米氧化铜对砷胁迫下水稻种子发芽及幼苗生长的影响[J]. 安徽农业大学学报, 2020, 47(5): 826-831.]
( 0) |
| [23] |
Ma Q F, Xiong J F, Li Z Q, et al. Effects of arsenic on seed germination and seedling growth in three green manure seeds (In Chinese)[J]. Guangxi Agricultural Sciences, 2009, 40(12): 1577-1581. [马琼芳, 熊俊芬, 李正强, 等. 砷对三种绿肥种子萌发和幼苗生长的影响研究[J]. 广西农业科学, 2009, 40(12): 1577-1581.]
( 0) |
| [24] |
Liu S J, Huang Y Z, Li Y, et al. The effects of exogenous spermidine on the cadmium and arsenic uptake and accumulation in rice (In Chinese)[J]. Journal of Agro-Environment Science, 2020, 39(10): 2172-2180. [刘书锦, 黄益宗, 李颜, 等. 外源亚精胺对水稻吸收积累镉砷的影响[J]. 农业环境科学学报, 2020, 39(10): 2172-2180.]
( 0) |
| [25] |
Liu S J, Huang Y Z, Bao Q L, et al. Effects of exogenous spermidine on seed germination and As uptake and accumulation of rice under As5+ stress (In Chinese)[J]. Environmental Science, 2020, 41(3): 1505-1512. [刘书锦, 黄益宗, 保琼莉, 等. 外源亚精胺对As5 +胁迫下水稻种子萌发和As吸收积累的影响[J]. 环境科学, 2020, 41(3): 1505-1512.]
( 0) |
| [26] |
Lin X B, Zhou L J, Wang H M, et al. Accumulation of heavy metals in different varieties (In Chinese)[J]. Environmental Science, 2018, 39(11): 5198-5206. [林小兵, 周利军, 王惠明, 等. 不同水稻品种对重金属的积累特性[J]. 环境科学, 2018, 39(11): 5198-5206.]
( 0) |
| [27] |
Liu Z Y, Yang J X, Chen G Z, et al. Influence of arsenic in soil on the growth of different rice(Oryza sativa L.)varieties (In Chinese)[J]. Ecology and Environment, 2007, 16(6): 1700-1704. [刘志彦, 杨俊兴, 陈桂珠, 等. 砷污染土壤对不同品种水稻生长的影响[J]. 生态环境, 2007, 16(6): 1700-1704.]
( 0) |
| [28] |
Xiao L, Liang Q S, Wang Q H. Investigation on the effect of arsenic on wheat seed germination (In Chinese)[J]. Journal of Northwest A & F University(Natural Science Edition), 1998, 26(6): 59-63. [肖玲, 梁圈社, 王清华. 砷对小麦种子萌发影响的探讨[J]. 西北农林科技大学学报(自然科学版), 1998, 26(6): 59-63.]
( 0) |
| [29] |
Wu C, An W H, Xue S G, et al. Arsenic biogeochemical processing in the soil-rice system (In Chinese)[J]. Journal of Agro-Environment Science, 2019, 38(7): 1429-1439. [吴川, 安文慧, 薛生国, 等. 土壤-水稻系统砷的生物地球化学过程研究进展[J]. 农业环境科学学报, 2019, 38(7): 1429-1439.]
( 0) |
| [30] |
Chang S Y, Li R Y, Xie X J, et al. Effects of warming at different growth stages on rice yield and nitrogen and phosphorus contents (In Chinese)[J]. Acta Pedologica Sinica, 2018, 55(3): 754-763. DOI:10.11766/trxb201711240476 [常少燕, 李仁英, 谢晓金, 等. 不同生育期增温对水稻产量及氮、磷含量的影响[J]. 土壤学报, 2018, 55(3): 754-763.]
( 0) |
| [31] |
Li J, Zhou Z Y, Liu C, et al. Effects of elevated atmospheric CO2 concentration and warming on root morphology of different rice varieties (In Chinese)[J]. Journal of Nanjing Agricultural University, 2023, 46(1): 71-82. [李婕, 周泽源, 刘成, 等. 大气CO2浓度增加和升温对不同品种水稻根系形态的影响[J]. 南京农业大学学报, 2023, 46(1): 71-82.]
( 0) |
| [32] |
Liu Q J, Sun X C, Tan Q L, et al. Effect of As on the concentration of nutrient elements and root growth of winter wheat(Triticum aestivum L.) (In Chinese)[J]. Journal of Anhui Agricultural Sciences, 2011, 39(32): 19695-19697. [刘全吉, 孙学成, 谭启玲, 等. 砷对冬小麦根系生长和养分吸收的影响[J]. 安徽农业科学, 2011, 39(32): 19695-19697.]
( 0) |
| [33] |
Muehe E M, Wang T M, Kerl C F, et al. Rice production threatened by coupled stresses of climate and soil arsenic[J]. Nature Communications, 2019, 10(1): 4985.
( 0) |
| [34] |
Arao T, Makino T, Kawasaki A, et al. Effect of air temperature after heading of rice on the arsenic concentration of grain[J]. Soil Science and Plant Nutrition, 2018, 64(3): 433-437.
( 0) |
| [35] |
Hu Y, Huang Y Z, Liu Y X. Genotypic differences in iron plaque formation on root surface and their effect on arsenic uptake and translocation in rice(Oryza sativa L.)grown in arsenic contaminated soil (In Chinese)[J]. Asian Journal of Ecotoxicology, 2013, 8(6): 923-930. [胡莹, 黄益宗, 刘云霞. 砷污染土壤中不同基因型水稻根表铁膜的形成及其对砷吸收和转运影响[J]. 生态毒理学报, 2013, 8(6): 923-930.]
( 0) |
| [36] |
Li R Y, Zhou Z G, Xu X H, et al. Effects of silicon application on uptake of arsenic and phosphorus and formation of iron plaque in rice seedlings grown in an arsenic-contaminated soil[J]. Bulletin of Environmental Contamination and Toxicology, 2019, 103: 133-139.
( 0) |
2024, Vol. 61



0)