2. 中国科学院大学, 北京 100049;
3. 中国科学院大学南京学院, 南京 211135
2. University of Chinese Academy of Sciences, Beijing 100049, China;
3. University of Chinese Academy of Sciences, Nanjing, Nanjing 211135, China
小麦是我国最主要的粮食作物之一,在粮食生产中发挥着重要作用,近几十年来,随着人口增长和农业用地面积减少,促进粮食增产已成为一个重要目标[1]。集约化农业中无机肥的施用保证了粮食产量,但由于缺乏施肥建议,普遍存在化肥施用过量的情况。据报道[2],我国小麦生产中氮、磷和钾肥的当季利用率范围分别仅为26%~31%、10%~20%和30%~40%。低肥料利用率不仅导致资源浪费,还产生了严重的环境问题,如土壤退化、温室气体排放增加和水体富营养化等[2-3],不利于农业可持续发展。
我国拥有丰富秸秆资源,诸多研究[4-7]表明,秸秆还田是提高土壤有机质、生物活性和养分有效性的有效措施。粪肥含有丰富的营养元素、有机质和有益微生物,可以提高土壤肥力和酶活性、改善土壤结构和促进养分转化等[8]。但单独施用粪肥可能存在营养物质释放速度较慢且释放期较长的问题[9],为此,一些研究[9-10]使用了粪肥部分替代化肥以减少化肥投入的解决方案,例如Liu等[9]研究表明使用猪粪部分替代化肥提高了土壤养分含量,增加了有益微生物。因此,化肥与秸秆配施及粪肥部分替代化肥可以减少长期过量施用化肥等对土壤质量造成的不利影响,然而其对土壤养分状况的改善程度以及是否能够保持或提升作物产量还有待进一步明确[4]。
不同质地土壤由于黏粒比例和孔隙大小等方面的差异,而对土壤养分状况、有机碳储存和持水能力等具有重要影响,从而影响作物生产力[11-12]。例如Islam等[5]发现在小麦–玉米轮作系统中,秸秆还田措施在砂质和壤质土壤中较黏质土壤对作物产量具有更大的提升,这可能是由于黏质土壤中被黏粒压实的秸秆沉积物不能正常分解,从而影响了作物根系生长和作物产量。砂质、壤质和黏质潮土在黄淮海平原普遍存在,但不同农业施肥模式对土壤养分状况和作物产量的影响是否因土壤质地不同而存在差异还需要进一步对比研究。
土壤质量反映了土壤提供生态系统功能的能力,在维持环境质量和农业生产可持续发展方面发挥着重要作用[10]。不同土壤指标对施肥措施的反应可能不同,从而使评估施肥措施产生的影响变得复杂[13-14],因此将反映土壤功能的多项土壤指标整合到土壤质量指数中,将土壤质量评价程序标准化,有利于评估施肥模式等农业实践对土壤肥力和生产力是否具有预期的效果,从而优化农业管理[8,15]。当前已有研究[10,16]通过总数据集法和最小数据集法等方法计算了土壤质量指数,评估了不同农业施肥模式对土壤质量的影响,然而,将土壤质量指数与作物生产力之间的关系进行定量评价的研究还较少[17],因此,有必要建立路径模型,以评估施肥模式、土壤质量指数和作物产量之间的关系。
黄淮海平原是我国重要的粮食主产区,而长期以来集约化种植中不合理施肥增加了土壤质量降低的风险,本研究以设置在河南封丘的长期定位试验为研究平台,选取砂质、壤质和黏质潮土,研究了5种施肥模式在不同质地潮土中的土壤质量及小麦产量,主要目的包括:(1)明确不同施肥模式在不同质地潮土中对土壤质量的影响,(2)探究秸秆配施化肥和粪肥在不同质地潮土中影响小麦产量的潜在机制。
1 材料与方法 1.1 研究区概况本试验位于河南省新乡市封丘县的中国科学院封丘农业生态实验站(35°01′N,114°24′E),该区域为半干旱半湿润的暖温带季风气候,年均气温13.9℃,年均降水量615 mm,蒸发量约1 875 mm,全年日照时数2 300~2 500 h。该区域土壤类型为黄河冲积物发育形成的典型潮土。试验期间(2018年10月1日至2019年6月30日)日降水量和平均气温(图 1)由站内自动气象站监测和记录。
|
图 1 试验期间日降水量和平均气温 Fig. 1 Daily precipitation and average temperature during the experimental period |
本试验始于2012年10月,包含砂质、壤质和黏质三种质地潮土,每种土壤质地潮土均设置5个处理:不施化肥+秸秆离田(N0S0)、不施化肥+秸秆还田(N0S)、常规施化肥+秸秆离田(NS0)、常规施化肥+秸秆还田(NS)和施化肥+秸秆还田+鸡粪替代20%氮肥(NSM),每个处理设置3个重复,每个小区面积为3 m2(2 m×1.5 m)。试验开始前,土壤(0~20 cm)基本性质见表 1。
|
|
表 1 试验开始前土壤基本性质 Table 1 Basic soil properties before the experiment |
作物种植制度为夏玉米和冬小麦轮作,玉米品种为郑单958,小麦品种为百农矮抗58。N0S、NS和NSM处理在播种前将该处理上一季作物收获的全部秸秆经晒干和粉碎后,通过人工翻地均匀还田,还田深度为20 cm。N0S0和NS0处理在作物收获后将作物的地上部分全部移除。
NS0、NS和NSM处理在小麦季的施肥标准为:氮肥(N)250.0 kg·hm–2,磷肥(P2O5)160.0 kg·hm–2,钾肥(K2O)105.0 kg·hm–2;在玉米季的施肥标准为:氮肥(N)210.0 kg·hm–2,磷肥(P2O5)134.4 kg·hm–2,钾肥(K2O)88.2 kg·hm–2。氮肥在小麦季60%为基施,其余40%于返青期作为追肥施用;在玉米季40%为基施,其余60%于大喇叭口期作为追肥施用。磷肥和钾肥在两季施肥中均为基施。小麦季和玉米季所施化肥均为尿素(含N 46.0%)、磷酸二铵(含P2O5 42.0%)和硫酸钾(含K2O 52.0%)。小麦季和玉米季施肥中,NSM处理施用的尿素含氮量占氮肥施用标准80%,其余20%使用鸡粪有机肥(含N 24.16 g·kg–1;P2O5 8.04 g·kg–1;K2O 10.40 g·kg–1)替代,并将磷肥和钾肥施用标准减去所施鸡粪有机肥中的P2O5和K2O含量后,使用磷酸二铵和硫酸钾补充以达到施用标准,鸡粪有机肥作为基肥施用。
1.3 样品采集与测定土壤样品和小麦植株样品于2019年6月小麦收获后采集。根据S型采样法使用土钻采集每个小区0~20 cm土样,混合后分成两部分,一部分风干后用于土壤基本理化性质测定,一部分保存于–20℃用于土壤可溶性有机碳(DOC)、可溶性有机氮(DON)、微生物生物量碳(MBC)和微生物生物量氮(MBN)测定。小麦植株样品分为籽粒和秸秆两部分,分别烘干和粉碎后用于全氮(TN)、全磷(TP)和全钾(TK)含量的测定。
土壤pH、有机碳(SOC)、碱解氮(AHN)、有效磷(AP)和速效钾(AK)含量以及小麦籽粒和秸秆的N、P和K含量采用常规方法[18]测定;DOC和DON采用Multi C/N分析仪(Analytik Jena,Multi3100,德国)测定;MBC和MBN采用氯仿熏蒸法[18]测定。
1.4 土壤质量指数计算本研究采用总数据集法[19],基于Duncan多重比较选取在不同施肥处理间具有显著性差异(P < 0.05)的土壤指标,即pH、SOC、AHN、AP、AK、DOC、MBC、DON和MBN等9个土壤指标,用以评价不同施肥模式对土壤质量的影响。土壤质量指数(Soil quality index,SQI)计算方法[10,19]如下:
首先,将每个土壤指标转换为0~1.0之间的得分(si),各土壤指标中,SOC、AHN、AP、AK、DOC、MBC、DON和MBN的得分通过公式
| $ {s'_i} = \frac{{{x_i} - {x_{{\text{min}}}}}}{{{x_{{\text{max}}}} - {x_{{\text{min}}}}}} $ | (1) |
| $ {s''_i} = \frac{{{x_{{\text{max}}}} - {x_i}}}{{{x_{{\text{max}}}} - {x_{{\text{min}}}}}} $ | (2) |
式中,si为第i个指标的得分,xi、
其次,通过主成分分析,根据第i个指标的综合得分与所有指标综合得分之和的比率计算第i个指标的权重(wi)。最后,将得分值(si)乘以其权重(wi),计算SQI:
| $ \text{SQI} = \sum\nolimits_{i = 1}^n {{w_i}} \times {s_i} $ | (3) |
式中,n为指标的数量,
使用SPSS 26.0软件的单因素方差分析(ANOVA)和Duncan多重比较分析不同处理间小麦籽粒产量、产量构成因素、籽粒和秸秆养分含量、土壤理化性质和SQI的差异。使用R4.2.2软件的randomForest包和rfPermute包进行随机森林分析,以评估影响籽粒产量的土壤理化性质的重要性和显著性。使用一元线性回归模型分析SQI与小麦籽粒产量的关系。使用R4.2.2软件的plspm包构建偏最小二乘路径模型(Partial least squares path model,PLS-PM),以分析影响小麦产量的机制。其余统计分析采用Microsoft Excel2019、R4.2.2和Origin 2021软件进行数据处理和绘图。
2 结果 2.1 不同施肥处理的小麦产量及产量构成因素各处理的小麦籽粒产量范围在砂土中为1.18~9.84 t·hm–2,在壤土中为1.37~9.38 t·hm–2,在黏土中为1.15~7.21 t·hm–2(表 2)。与N0S0处理相比,N0S处理在砂土、壤土和黏土中籽粒产量均无显著变化。与N0S0处理相比,NS0处理在砂土、壤土和黏土中籽粒产量均显著提高,增幅分别为539.20%、410.12%和328.21%;NS处理在砂土和黏土中籽粒产量进一步提升,增幅分别提高至611.56%和403.55%,但在壤土中的增幅为440.00%,与NS0处理相比未表现出显著差异。NSM处理在砂土、壤土和黏土中籽粒产量均为各处理中最高,分别达到9.84、9.38和7.21 t·hm–2,与N0S0处理相比分别增加676.56%、546.67%和492.86%。
|
|
表 2 不同施肥处理小麦产量及产量构成因素 Table 2 Yield and yield components of wheat relative to treatments |
与N0S0处理相比,N0S处理在砂土、壤土和黏土中穗数、千粒重和穗粒数均无显著变化(表 2)。与N0S0处理相比,NS0、NS和NSM处理在砂土和壤土中穗数均显著提高,平均分别增加40.71%和27.15%;而在黏土中,各处理间的穗数差异不显著。与N0S0处理相比,NS0、NS和NSM处理在壤土和黏土中千粒重均显著提高,平均分别增加16.82%和22.60%,而在砂土中只有NS处理的千粒重相较N0S0处理显著提高,为49.36 g,增加了16.33%。与N0S0处理相比,NS0、NS和NSM处理在砂土、壤土和黏土中穗粒数均显著提高,平均分别增加87.17%、68.79%和95.67%。
2.2 不同施肥处理的小麦籽粒和秸秆养分含量N0S处理在砂土中籽粒N、籽粒P和籽粒K含量分别为17.12、4.31和3.00 g·kg–1,与N0S0处理相比均显著提高,增幅分别为7.79%、17.87%和8.71%,而在壤土和黏土中籽粒N、籽粒P和籽粒K含量均无显著变化(表 3)。与N0S0处理相比,NS0、NS和NSM处理在砂土、壤土和黏土中籽粒N含量均表现为显著升高,平均分别增加42.04%、18.89%和29.02%。与N0S0处理相比,NS0、NS和NSM处理在砂土和黏土中籽粒P含量显著降低,平均分别降低14.34%和24.59%,籽粒K含量平均分别降低6.01%和12.98%,而在壤土中籽粒P和籽粒K含量均无显著变化。
|
|
表 3 不同施肥处理小麦籽粒和秸秆养分含量 Table 3 Nutrient concentrations of wheat grain and wheat straw relative to treatments |
与N0S0处理相比,N0S处理在砂土、壤土和黏土中秸秆N含量、秸秆P含量和秸秆K含量均无显著变化。与N0S0处理相比,NS0、NS和NSM处理在砂土、壤土和黏土中秸秆K含量均显著升高,平均分别增加124.80%、94.13%和47.45%。与N0S0处理相比,NS0、NS和NSM处理在砂土和壤土中秸秆N含量均显著提高,平均分别增加54.92%和43.26%,而在黏土中只有NS0处理秸秆N含量显著提高,为5.18 g·kg–1,增加了50.44%。
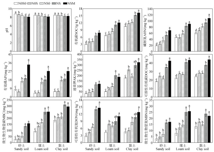
2.3 不同施肥处理的土壤理化性质和土壤质量指数各处理的土壤pH范围在砂土中为8.09~8.79,在壤土中为8.13~8.51,在黏土中为8.26~8.52(图 2)。与N0S0处理相比,N0S处理在砂土中pH降低0.98%,但在壤土和黏土中无显著变化;NS0处理在砂土、壤土和黏土中pH均显著降低,降幅分别为4.13%、2.39%和1.49%;NS和NSM处理在三种质地土壤中pH均进一步降低,平均降幅分别增加至7.69%、4.11%和2.99%,但NS和NSM处理之间的pH在三种质地土壤中均无显著差异。与N0S0处理相比,N0S处理在砂土和黏土中均显著提高了SOC和AK含量,在砂土中分别增加35.32%和39.68%,在黏土中分别增加11.08%和42.14%,而AHN、AP、MBC和DON含量无显著变化;在壤土中显著提高了DON含量,增加了81.09%,而SOC、AK、AHN、AP和MBC含量无显著变化。与N0S处理相比,NS0处理在砂土中AHN和AP含量显著提高,分别增加49.15% 198.14%,而SOC、AK、MBC和DON含量无显著变化;在壤土中SOC、AHN和AP含量显著提高,分别增加16.10%、25.84%和239.40%,而AK、MBC和DON含量无显著变化;在黏土中AHN、AP和DON含量显著提高,分别增加18.78%、185.49%和66.69%,而SOC和MBC含量无显著变化。与N0S和NS0处理相比,NS处理在砂土中显著提高了SOC、AHN、AK、MBC和DON含量,平均分别增加57.46%、80.14%、140.80%、219.37%和155.36%,分别达到6.60 g·kg–1、53.25 mg·kg–1、115.89 mg·kg–1、134.44 mg·kg–1和14.01 mg·kg–1;在壤土中显著提高了SOC、AHN、AK和MBC含量,平均分别增加41.16%、60.66%、139.04%和66.43%,分别达到11.18 g·kg–1、83.21 mg·kg–1、202.37 mg·kg–1和251.28 mg·kg–1;在黏土中显著提高了SOC、AHN和MBC含量,平均分别增加26.40%、25.58%和48.28%,分别达到15.25 g·kg–1、94.26 mg·kg–1和310.76 mg·kg–1。与NS处理相比,NSM处理在砂土和黏土中进一步显著提高了SOC、AHN和AP含量,在砂土中分别增加18.85%、29.49%和73.42%,分别达到7.84 g·kg–1、68.96 mg·kg–1和34.12 mg·kg–1,在黏土中分别增加6.69%、15.33%和42.32%,分别达到16.27 g·kg–1、108.71 mg·kg–1和27.24 mg·kg–1;在壤土中进一步显著提高了AP含量,增加了49.82%,达到27.33 mg·kg–1。
|
注:SOC:土壤有机碳;AHN:碱解氮;AP:有效磷;AK:速效钾;DOC:可溶性有机碳;MBC:微生物生物量碳;DON:可溶性有机氮;MBN:微生物生物量氮。柱状图上的误差线为标准误,不同小写字母表示该质地土壤中不同处理间差异显著(P < 0.05)。下同。 Note: SOC: Soil organic carbon; AHN: Alkali-hydrolyzable nitrogen; AP: Available phosphorus; AK: Available potassium; DOC: Dissolved organic carbon; MBC: Microbial biomass carbon; DON: Dissolved organic nitrogen; MBN: Microbial biomass nitrogen. The error lines in the bar chart are standard errors. Different letters indicate a significant difference between treatments in this soil texture(P < 0.05). The same as below. 图 2 不同施肥处理土壤理化性质 Fig. 2 Soil physicochemical properties relative to treatments |
图 3所示,与N0S0处理相比,N0S和NS0处理在砂土、壤土和黏土中SQI均显著提升,平均分别提高200.00%、330.58%和263.78%;NS处理在砂土、壤土和黏土中SQI均进一步提升,增幅分别为923.86%、1 122.17%和795.91%,分别达到0.72、0.73和0.66。NSM处理在砂土中SQI优于NS处理,与N0S0处理相比增加1204.71%,达到0.91,但在壤土和黏土中与NS处理无显著差异。
|
图 3 不同施肥处理土壤质量指数 Fig. 3 Soil quality index relative to treatments |
随机森林分析(图 4)结果表明,砂土中,pH、AHN、DON、AP、SOC和AK是影响籽粒产量的关键土壤性质;壤土中,AP、pH、AK、AHN、MBC和SOC是影响籽粒产量的关键土壤性质;黏土中,AP、DON、AHN和pH是影响籽粒产量的关键土壤性质。
|
注:*和**分别表示显著相关(P < 0.05)和极显著相关(P < 0.01)。 Note: " * " indicates a significant correlation(P < 0.05), and " ** " indicates an extremely significant correlation(P < 0.01). 图 4 影响籽粒产量的关键土壤理化性质 Fig. 4 Key soil physicochemical properties affecting grain yield |
线性回归分析(图 5)结果表明,在砂土、壤土和黏土中,SQI与籽粒产量均呈显著正向线性关系。
|
图 5 土壤质量指数与籽粒产量的线性回归分析 Fig. 5 Linear regression analysis of soil quality index and grain yield |
为进一步明确和量化施肥模式、影响籽粒产量的关键土壤理化性质、土壤质量、小麦养分含量、产量构成因素与籽粒产量之间的关系,构建了偏最小二乘路径模型(图 6)。结果表明,砂土中影响籽粒产量的关键土壤性质(pH、AHN、DON、AP、SOC和AK)、壤土中影响籽粒产量的关键土壤性质(AP、pH、AK、AHN、MBC和SOC)和黏土中影响籽粒产量的关键土壤性质(AP、DON、AHN和pH)均受施肥模式显著调控,并显著影响SQI,其中除pH受施肥模式负调控且与SQI负相关外,其他土壤性质均受施肥模式正调控且与SQI正相关。
|
注:图a和图b为砂土,图c和图d为壤土,图e和图f为黏土。偏最小二乘路径模型中,实线表示有显著影响(P < 0.05),虚线表示无显著影响(P > 0.05),*表示P < 0.05,**表示P < 0.01,线条上的数字为回归系数,回归系数越高线条越粗。GOF(Goodness of fit):拟合优度。 Note: Figures a and b belong to sandy soil, figures c and d belong to loam soil, and figures e and f belong to clay soil. In the partial least squares path model, the solid line indicates a significant effect(P < 0.05)and the dashed line indicates no significant effect(P > 0.05). " * " indicates P < 0.05, and " ** " indicates P < 0.01. The number on the line is the regression coefficient, the higher the regression coefficient, the thicker the line. GOF: Goodness of fit. 图 6 小麦产量影响机制的偏最小二乘路径模型 Fig. 6 Partial least squares path model for influencing mechanism of wheat yield |
在砂土、壤土和黏土中,SQI均对籽粒产量具有显著的直接正效应。在砂土中,籽粒养分含量与SQI显著负相关,并与籽粒产量显著负相关。在壤土中,产量构成因素与SQI显著正相关,并与籽粒产量显著正相关。
影响籽粒产量的关键土壤性质中,在砂土中,SOC对籽粒产量具有最高的间接正效应;在壤土中,SOC和MBC对籽粒产量具有最高的间接正效应;在黏土中,AHN对籽粒产量具有最高的间接正效应。
3 讨论 3.1 不同施肥模式对土壤理化性质和土壤质量的影响本研究结果表明,AHN、pH和AP在砂土、壤土和黏土中均为影响籽粒产量的关键土壤指标(图 4),路径模型还表明,AHN、pH和AP对SQI具有显著影响(图 6)。氮是作物生长所需的最重要的矿质元素之一[1],特别是碱解氮等有效氮是农业生态系统中的重要限制性养分[17]。本研究结果表明,在砂土、壤土和黏土中,N0S处理的籽粒产量与N0S0处理相比均无显著性差异(表 2),即在不施化肥的情况下,秸秆的添加并未引起产量的变化。Islam等[5]发现,在小麦–玉米轮作系统中,在不施化肥的情况下,秸秆还田对产量没有显著影响,甚至降低了作物产量,这与本研究结果相似。这可能由于微生物驱动的秸秆分解高度基于土壤氮水平,施用化肥(特别是氮肥)可以供应足够的氮,从而刺激微生物活性,促进秸秆分解,有利于作物生长和提高籽粒产量[4]。Huang等[7]也指出无机氮肥的施用会加速高碳氮比秸秆的分解。本研究中,在砂土、壤土和黏土中,N0S处理的AHN含量与N0S0处理相比均无显著性差异(图 2),难以为微生物活动提供足够的氮源。土壤pH与土壤养分有效性和微生物活性密切相关[5,7,16],Giovannetti等[11]指出由于土壤养分以离子形式(如
本研究结果表明,SOC和AK在砂土和壤土中为影响籽粒产量的关键土壤指标,DON在砂土和黏土中为影响籽粒产量的关键指标,MBC在壤土中为影响籽粒产量的关键指标(图 4),路径模型还表明,SOC、AK、DON和MBC均对SQI具有显著影响(图 6)。与单施化肥相比,化肥配施秸秆提供了额外的养分输入,导致SOC积累,较高的SOC含量可以改善土壤结构、持水能力和养分循环以及提供作物生长所需的大量营养元素和微量营养元素 [5],并且是微生物生长的重要能量来源[17],从而促进作物生长。Zhang等[4]发现化肥配施秸秆显著影响了SOC含量,并且作物产量与SOC含量呈显著正相关性。本研究发现,在砂土和黏土中,NSM处理的SOC含量较NS处理进一步提升(图 2),表明粪肥加速了有机质转化以增加SOC含量[10],这与前人[8]的研究结果一致。需要注意的是,作物产量和SOC含量通常是非线性相关的,即当SOC储量达到临界值时,作物产量不会正向线性增加[4]。有研究[5,23]表明,土壤AK是参与许多作物生理过程的重要营养物质,并且受秸秆还田显著影响。Duncan等[22]还指出,AK可以影响土壤N的有效性,因为K+可以占据土壤颗粒上的负电荷位点,从而移除残留在土壤溶液中的
本研究结果表明,壤土中NS和NSM处理具有最高的MBC含量,砂土和黏土中NS和NSM处理具有最高的DON含量(图 2),不稳定碳和不稳定氮是微生物获取能量的重要来源[24],土壤微生物参与土壤有机质的矿化和腐殖化以及养分循环,并且在土壤大团聚体形成中起着重要作用[25],有研究[17]表明,肥力较高的土壤通常具有更高的MBC含量。
土壤质量改善对作物增产和确保农业生产力非常关键[26]。本研究结果表明,NS和NSM处理在砂土、壤土和黏土中SQI均为各处理中最高,其中在砂土中,NSM处理相较NS处理进一步提升了SQI(图 3),即化肥配施秸秆或化肥配施秸秆和鸡粪通过改善土壤养分有效性以及pH和SOC等指标,提升了土壤质量。He等[10]指出,在小麦种植系统中,与常规施肥相比,使用有机肥替代20%氮肥显著提升了SQI,Li等[8]指出,配施猪粪、秸秆和农家肥等,通过改善pH、SOC、TN、AK、AP、
不同施肥模式影响作物植株中养分的积累,籽粒和秸秆中N、P和K等营养元素的含量可以反映小麦对土壤中养分的吸收和利用,对小麦生长和产量具有重要影响[27]。
施肥模式、籽粒养分含量和小麦产量之间具有复杂的关系[1,28]。本研究中,在砂土中,与单施化肥的NS0处理相比,NS和NSM处理显著提高了土壤质量指数(图 3)和籽粒产量(表 2),但3个处理间的籽粒N、P和K含量均无显著差异,分别恒定在22.29~23.07 g·kg–1、3.07~3.26 g·kg–1和2.54~2.65 g·kg–1范围内(表 3)。这可能是由于较高的小麦生物量水平下产生的养分稀释效应[22],Lollato等[28]通过在美国俄克拉荷马州进行长期试验(1966-2016年),发现当小麦籽粒产量在4.0 t·hm–2以内时,籽粒N含量与籽粒产量呈负相关性,当小麦籽粒产量超过6.0 t·hm–2时,籽粒N含量恒定在19.9 g·kg–1左右,与本研究结果相似。但是,在籽粒N、P和K浓度基本恒定的情况下,籽粒产量的增加意味着籽粒中积累了更多的N、P和K总量,即化肥配施秸秆及化肥配施秸秆和粪肥可能通过改善土壤中的养分状况和作物根系生长等[29],更有利于作物对土壤中养分的获取和吸收,或提高作物的养分利用率[29]。
本研究中,路径模型表明,在砂土、壤土和黏土中,土壤质量均与小麦秸秆养分含量显著正相关(图 6),即更优的土壤质量更有利于秸秆中养分浓度的提升,使促进小麦生长发育和将养分向籽粒输送,Duncan等[22]指出小麦秸秆中养分含量的增加反映了生态系统的生产力和养分供应能力的增强;Chen等[15]指出作物秸秆的P和K含量体现了土壤中有效磷和速效钾的供应情况。Ghafoor等[30]研究表明,小麦秸秆中的P和K含量的增加促进了小麦产量的增加,本研究发现,在砂土、壤土和黏土中,小麦秸秆养分含量对籽粒产量均表现出正效应(图 6),但是未达到显著性水平。
3.3 土壤质地对土壤养分和小麦产量的影响本研究中的潮土成土母质为黄河多次泛滥冲积后的产物,其在不同空间形成了砂土、壤土和黏土等不同土壤质地[31]。本研究中,同一施肥模式在不同质地土壤中的小麦产量存在差异,例如NS处理在砂土、壤土和黏土中的产量分别为9.01、7.83和6.13 t·hm–2,NSM处理在砂土、壤土和黏土中的产量分别为9.84、9.38和7.21 t·hm–2(表 2)。Islam等[5]通过meta分析评估了无机肥配施秸秆在砂土、壤土和黏土(根据美国农业部土壤分类系统划分)3种质地土壤下对作物产量的影响,发现在小麦或玉米单作种植系统中,壤土对作物产量提升最高,其次是砂土、黏土;而在小麦–玉米轮作种植系统中,砂土对作物产量具有最高的提升,其次是壤土、黏土,与本研究结果相似。这可能由于不同土壤质地中,颗粒聚集、土壤通气性和水分条件不同,微生物活性、酶活性、土壤养分循环和养分有效性也存在差异,进而对作物生长和作物产量产生不同的影响[11,31]。本研究中,各处理的SOC含量范围在砂土中为3.06~7.84 g·kg–1,在壤土中为6.82~12.09 g·kg–1,在黏土中为10.65~16.27 g·kg–1(图 2),即黏土具有最高的SOC积累,其次为壤土、砂土。Huang等[7]指出黏土通常透气性较差,需氧微生物受抑制,使有机物质分解相对缓慢,导致有机质积累较高,不利于其中营养物质的释放,此外,与砂土和壤土相比,黏土通常碳氮比更高,而碳氮比越高,有机物质的分解速率越慢[32],从而影响作物生长。黏土中被黏粒压实、不能正常分解的秸秆沉积物,还会影响作物根系的生长和根系分泌物生成[5],Ding等[31]指出,作物根系分泌物产生的不稳定碳和不稳定氮是土壤微生物所需能量的重要来源。
4 结论与NS0处理相比,NS和NSM处理在砂土、壤土和黏土中均显著提高了SQI,NS处理在砂土和黏土中显著提高了籽粒产量,NSM处理在砂土、壤土和黏土中均显著提高了籽粒产量。砂土中,pH、AHN、DON、AP、SOC和AK是影响籽粒产量的关键土壤性质;壤土中,AP、pH、AK、AHN、MBC和SOC是影响籽粒产量的关键土壤性质;黏土中,AP、DON、AHN和pH是影响籽粒产量的关键土壤性质。在砂土、壤土和黏土中,影响小麦产量的关键土壤性质均对SQI具有显著影响,而SQI均对小麦籽粒产量具有直接显著影响,因此影响小麦产量的关键土壤性质可以作为监测土壤质量和小麦产量变化的指标以指导优化施肥。上述结果表示,常规施化肥+秸秆还田或施化肥+秸秆还田+鸡粪替代20%氮肥有利于改善土壤质量,其在不同质地土壤中通过不同作用方式影响了小麦籽粒产量。
| [1] |
Yan S C, Wu Y, Fan J L, et al. Dynamic change and accumulation of grain macronutrient(N, P and K)concentrations in winter wheat under different drip fertigation regimes[J]. Field Crops Research, 2020, 250: 107767. DOI:10.1016/j.fcr.2020.107767
( 0) |
| [2] |
Xu J L, Gao Z Y, Liu S, et al. A multienvironmental evaluation of the N, P and K use efficiency of a large wheat diversity panel[J]. Field Crops Research, 2022, 286: 108634. DOI:10.1016/j.fcr.2022.108634
( 0) |
| [3] |
Zhang J L, Nie J, Cao W D, et al. Long-term green manuring to substitute partial chemical fertilizer simultaneously improving crop productivity and soil quality in a double-rice cropping system[J]. European Journal of Agronomy, 2023, 142: 126641. DOI:10.1016/j.eja.2022.126641
( 0) |
| [4] |
Zhang H Y, Hobbie E A, Feng P Y, et al. Responses of soil organic carbon and crop yields to 33-year mineral fertilizer and straw additions under different tillage systems[J]. Soil and Tillage Research, 2021, 209: 104943. DOI:10.1016/j.still.2021.104943
( 0) |
| [5] |
Islam M U, Guo Z C, Jiang F H, et al. Does straw return increase crop yield in the wheat-maize cropping system in China? A meta-analysis[J]. Field Crops Research, 2022, 279: 108447. DOI:10.1016/j.fcr.2022.108447
( 0) |
| [6] |
Qiu L L, Li D D, Zhang J B, et al. Effects of key-stone microbe based on Co-occurrence networks on wheat yield in the soils with straw returning (In Chinese)[J]. Acta Pedologica Sinica, 2023, 60(2): 491-502. DOI:10.11766/trxb202107200372 [邱丽丽, 李丹丹, 张佳宝, 等. 基于共现网络的关键微生物对秸秆还田土壤小麦产量的影响[J]. 土壤学报, 2023, 60(2): 491-502.]
( 0) |
| [7] |
Huang T T, Yang N, Lu C, et al. Soil organic carbon, total nitrogen, available nutrients, and yield under different straw returning methods[J]. Soil and Tillage Research, 2021, 214: 105171. DOI:10.1016/j.still.2021.105171
( 0) |
| [8] |
Li P, Wu M C, Kang G D, et al. Soil quality response to organic amendments on dryland red soil in subtropical China[J]. Geoderma, 2020, 373: 114416. DOI:10.1016/j.geoderma.2020.114416
( 0) |
| [9] |
Liu J A, Shu A P, Song W F, et al. Long-term organic fertilizer substitution increases rice yield by improving soil properties and regulating soil bacteria[J]. Geoderma, 2021, 404: 115287. DOI:10.1016/j.geoderma.2021.115287
( 0) |
| [10] |
He H, Peng M W, Lu W D, et al. Commercial organic fertilizer substitution increases wheat yield by improving soil quality[J]. Science of the Total Environment, 2022, 851: 158132. DOI:10.1016/j.scitotenv.2022.158132
( 0) |
| [11] |
Giovannetti M, di Fossalunga A S, Stringlis I A, et al. Unearthing soil-plant-microbiota crosstalk: Looking back to move forward[J]. Frontiers in Plant Science, 2023, 13: 1082752. DOI:10.3389/fpls.2022.1082752
( 0) |
| [12] |
Peng M W, He H, Wang Z K, et al. Responses and comprehensive evaluation of growth characteristics of ephemeral plants in the desert–oasis ecotone to soil types[J]. Journal of Environmental Management, 2022, 316: 115288. DOI:10.1016/j.jenvman.2022.115288
( 0) |
| [13] |
Mi W H, Sun T, Ma Y Y, et al. Higher yield sustainability and soil quality by manure amendment than straw returning under a single-rice cropping system[J]. Field Crops Research, 2023, 292: 108805. DOI:10.1016/j.fcr.2022.108805
( 0) |
| [14] |
Gong D Q, Wang Z F, Zhang Y L, et al. Soil quality change and spatial differentiation characteristics of greenhouses land soil in Lhasa River Valley (In Chinese)[J]. Acta Pedologica Sinica, 2023, 60(6): 1582-1594. DOI:10.11766/trxb202109300537 [宫殿清, 王兆锋, 张镱锂, 等. 拉萨河谷设施农地土壤质量变化及空间分异特征[J]. 土壤学报, 2023, 60(6): 1582-1594.]
( 0) |
| [15] |
Chen Q Y, Liu Z J, Zhou J B, et al. Long-term straw mulching with nitrogen fertilization increases nutrient and microbial determinants of soil quality in a maize–wheat rotation on China's Loess Plateau[J]. Science of the Total Environment, 2021, 775: 145930. DOI:10.1016/j.scitotenv.2021.145930
( 0) |
| [16] |
Zhang X, Qu J S, Li H, et al. Biochar addition combined with daily fertigation improves overall soil quality and enhances water-fertilizer productivity of cucumber in alkaline soils of a semi-arid region[J]. Geoderma, 2020, 363: 114170. DOI:10.1016/j.geoderma.2019.114170
( 0) |
| [17] |
Li P, Shi K, Wang Y Y, et al. Soil quality assessment of wheat-maize cropping system with different productivities in China: Establishing a minimum data set[J]. Soil and Tillage Research, 2019, 190: 31-40. DOI:10.1016/j.still.2019.02.019
( 0) |
| [18] |
Lu R K. Analytical methods for soil and agro-chemistry, 2000. [鲁如坤. 土壤农业化学分析方法, 2000.]
( 0) |
| [19] |
Doran J W, Parkin T B. Defining and assessing soil quality, 1994.
( 0) |
| [20] |
Zhang T L, Li Z P, Wang X X. Soil degradation and its eco-environmental impact under highly-intensified agriculture (In Chinese)[J]. Acta Pedologica Sinica, 2006, 43(5): 843-850. DOI:10.3321/j.issn:0564-3929.2006.05.020 [张桃林, 李忠佩, 王兴祥. 高度集约农业利用导致的土壤退化及其生态环境效应[J]. 土壤学报, 2006, 43(5): 843-850.]
( 0) |
| [21] |
Kong P J, Zheng J, Luan L, et al. Effects of different types of straw returning on the bacterial community, organic carbon mineralization and maize yield in upland red soil (In Chinese)[J]. Environmental Science, 2021, 42(12): 6047-6057. [孔培君, 郑洁, 栾璐, 等. 不同秸秆还田方式对旱地红壤细菌群落、有机碳矿化及玉米产量的影响[J]. 环境科学, 2021, 42(12): 6047-6057.]
( 0) |
| [22] |
Duncan E G, O'Sullivan C A, Roper M M, et al. Influence of co-application of nitrogen with phosphorus, potassium and sulphur on the apparent efficiency of nitrogen fertiliser use, grain yield and protein content of wheat: Review[J]. Field Crops Research, 2018, 226: 56-65. DOI:10.1016/j.fcr.2018.07.010
( 0) |
| [23] |
Bai Y L, Wang L, Lu Y L, et al. Effects of long-term full straw return on yield and potassium response in wheat-maize rotation[J]. Journal of Integrative Agriculture, 2015, 14(12): 2467-2476. DOI:10.1016/S2095-3119(15)61216-3
( 0) |
| [24] |
Zhang Z M, Yan J, Han X Z, et al. Labile organic carbon fractions drive soil microbial communities after long-term fertilization[J]. Global Ecology and Conservation, 2021, 32: e01867. DOI:10.1016/j.gecco.2021.e01867
( 0) |
| [25] |
Guo Z C, Zhang Z B, Zhou H, et al. Long-term animal manure application promoted biological binding agents but not soil aggregation in a Vertisol[J]. Soil and Tillage Research, 2018, 180: 232-237. DOI:10.1016/j.still.2018.03.007
( 0) |
| [26] |
Oladele S O. Changes in physicochemical properties and quality index of an Alfisol after three years of rice husk biochar amendment in rainfed rice–Maize cropping sequence[J]. Geoderma, 2019, 353: 359-371. DOI:10.1016/j.geoderma.2019.06.038
( 0) |
| [27] |
Liang T, Liu M, Li S, et al. Effects of balanced fertilization on soil nutrients and growth and nutrient absorption of rice-wheat rotation system in saline-alkali farmland of tidal flat (In Chinese)[J]. Soils, 2021, 53(3): 503-510. [梁婷, 刘明, 李帅, 等. 均衡施肥对滩涂盐碱农田稻麦轮作系统土壤养分与作物生长和养分吸收的影响[J]. 土壤, 2021, 53(3): 503-510.]
( 0) |
| [28] |
Lollato R P, Figueiredo B M, Dhillon J S, et al. Wheat grain yield and grain-nitrogen relationships as affected by N, P, and K fertilization: A synthesis of long-term experiments[J]. Field Crops Research, 2019, 236: 42-57.
( 0) |
| [29] |
Duncan E G, O'Sullivan C A, Roper M M, et al. Yield and nitrogen use efficiency of wheat increased with root length and biomass due to nitrogen, phosphorus, and potassium interactions[J]. Journal of Plant Nutrition and Soil Science, 2018, 181(3): 364-373.
( 0) |
| [30] |
Ghafoor I, Habib-ur-Rahman M, Ali M, et al. Slow-release nitrogen fertilizers enhance growth, yield, NUE in wheat crop and reduce nitrogen losses under an arid environment[J]. Environmental Science and Pollution Research, 2021, 28(32): 43528-43543.
( 0) |
| [31] |
Ding S J, Xin X L, Yang W L, et al. Transformation of fertilizer nitrogen in fluvo-aquic soils with different textures and its influencing factors[J]. Plant and Soil, 2022, 471(1): 541-558.
( 0) |
| [32] |
Zhang D Q, Hui D F, Luo Y Q, et al. Rates of litter decomposition in terrestrial ecosystems: Global patterns and controlling factors[J]. Journal of Plant Ecology, 2008, 1(2): 85-93.
( 0) |
2024, Vol. 61



0)