2. 福建省农业科学院资源环境与土壤肥料研究所, 福州 350013;
3. 襄阳市农业科学院, 湖北襄阳 441057
2. Institute of Resources, Environment and Soil Fertilizer, Fujian Academy of Agricultural Sciences, Fuzhou 350013, China;
3. Xiangyang Academy of Agricultural Sciences, Xiangyang, Hubei 441057, China
油菜作为我国重要的油料作物,对镁缺乏十分敏感[1-3]。长江流域是我国油菜主要种植区[4],该区域雨热同期,且多采用一年两季或三季的高强度种植方式,导致镁养分淋失量和作物收获带走量高。而作物推荐施肥仍以氮磷钾肥为主,尤其是高浓度复合肥的大量、长期施用,加剧了土壤镁耗竭,缺镁成为限制油菜产量和品质提高的重要因子[5-6]。合理施用镁肥是实现作物产量和品质协同提高的有效途径。镁肥的种类繁多,水溶性镁肥因作物吸收快,基施和喷施均具有较好的增产效果而备受青睐[7]。其中,以硫酸镁和氯化镁的应用最为广泛,两者的差异在于硫酸镁和氯化镁肥料带入的硫养分和氯养分的差异。油菜对硫养分的需求量较高,但是硫元素的应用同时伴随着硫甙含量增加的风险,因此两种镁肥对油菜产量和品质的影响可能存在差异[8-9]。明确我国冬油菜主产区硫酸镁和氯化镁的施用效果,有助于优化镁肥管理,实现籽粒产量和品质的协同提升。
已有研究表明,施镁能显著提高大多数作物的产量,且不同镁肥在不同作物中的作用和不同类型作物对镁的敏感程度存在显著差异[3]。前人研究指出,施用硫酸镁和氧化镁提高烤烟产量和品质的效果明显优于其他镁肥[10-11],在柑橘园中施用硫酸镁的增产效果则相对较小[12];增施镁肥在提高小麦和玉米产量的同时,增加了籽粒中粗蛋白和面筋含量[13]。叶晓磊等[2]研究表明,施用氯化镁可提高油菜籽含油率1.3%~9.5%,降低蛋白质含量6.2%~8.9%,而田贵生等[14]的研究发现,施用硫酸镁对蛋白质含量的影响较小或有增加的趋势。目前关于硫酸镁和氯化镁在油菜种植中的施用效果多基于单点或小范围的研究[6,8],对其增产提质的作用缺乏系统的比较,外源添加硫是否会对油菜籽油或者饼粕蛋白质的品质造成影响尚无统一定论[8-9]。通过比较硫酸镁和氯化镁在提高油菜产量和品质上的作用及差异,有利于精准镁肥种类,完善冬油菜镁肥管理策略,助力油菜产业的绿色丰产与高质高效发展。基于此,本研究在冬油菜主产区13个省市共布置了56个硫酸镁和氯化镁对比的田间试验,拟明确我国冬油菜主产区不同镁肥的增产提质效果,为优化镁肥管理从而提高油菜籽产量和品质提供理论依据。
1 材料与方法 1.1 试验点概况2019-2020年在我国冬油菜主产区13个省(市、区)设置56个田间试验,各试验点在全国的分布情况如表 1所示(精确至县级)。研究区大多属亚热带季风气候,种植模式多为油菜-水稻轮作,熟制为一年两熟制。各试验点所选用的油菜品种均为当地农技推广部门推荐品种(多为双低油菜品种,仅绵油61为高芥酸品种),油菜种植方式采用直播,播种时间集中在2019年9月下旬至10月中上旬,收获时间集中在2020年4月下旬至5月中上旬。试验点的土壤理化性质见表 2。其中,乙酸铵(1 mol·L–1 NH4OAc)法测定的土壤交换性镁含量范围为20.7~ 534.2 mg·kg–1,平均194.6 mg·kg–1。
|
|
表 1 各省(市、区)试验点分布情况 Table 1 Distribution of pilot sites by province(municipalities, autonomous region) |
|
|
表 2 56个试验点耕层土壤(0~20 cm)基础理化性质 Table 2 Base physical and chemical properties of tillage soil(0-20 cm)at 56 trials |
各试验点设置3个施肥处理,分别为不施镁处理(CK)、施用硫酸镁处理(一水硫酸镁,表示为MgSO4)、施用氯化镁处理(无水氯化镁,表示为MgCl2)。试验采用完全随机区组设计,每个处理3次重复。小区面积20 m2(10 m×2 m),并在试验田周围设置1 m宽的保护行。
各处理氮、磷、钾和硼肥用量均相同,分别为180 kg·hm–2(以N计)、75 kg·hm–2(以P2O5计)、120 kg·hm–2(以K2O计)和1.24 kg·hm–2(以B计),施镁处理镁肥用量均为45 kg·hm–2(以MgO计)。氮肥采用尿素和磷酸二铵,磷肥为磷酸二铵(52% P2O5),钾肥为氯化钾(60% K2O),硼肥为硼砂(11% B),镁肥为无水氯化镁(用量以MgO计,MgO含量42%)和一水硫酸镁(用量以MgO计,MgO含量25%)。其中氮肥分3次施用,60%作为基肥(磷酸二铵全部作基肥),20%为越冬肥,20%为薹肥,磷、钾、硼和镁肥均做基肥施用。采用直播的种植方式,播种量为4.5 kg·hm–2,整个生育期不间苗和补苗。在试验过程中,所有的田间管理,包括除草剂的施用、病虫害的防治,均根据当地农技推广部门推荐方法进行。
1.3 测定项目与方法土壤样品的采集与测定:油菜种植前1~2 d采用“S”型取样的方式采集0~20 cm耕作层土壤。测定pH、有机质、全氮、有效磷、速效钾、交换性钙、交换性镁、有效硫和有效硼,各指标均采用常规方法[15]测定。其中,交换性镁采用乙酸铵溶液(1 mol·L–1)浸提,原子吸收光谱仪(AAS,Agilent 204Duo,Santa Clara,CA,美国)测定;有效硫采用磷酸二氢钙溶液(用于酸性土壤)或氯化钙溶液(用于石灰性土壤)浸提,等离子发射光谱仪(ICP-OES,Agilent 5110VDV,Santa Clara,CA,美国)测定。
油菜收获期样品采集与测定:油菜收获前1~2 d在各小区划定有代表性的样方0.36 m2(0.6 m× 0.6 m)[14],调查各小区划定样方中的产量构成因子,包括收获密度、单株角果数、每角粒数和千粒重,并采集了38个试验点样方中所有油菜地上部植株样品,放置于网袋中风干。油菜植株分为籽粒、角壳和茎秆,测定各部位生物量。各小区籽粒产量单打单收,以风干质量计产,籽粒生物量按含水率8%计算得出[16]。茎秆和角壳生物量用籽粒生物量及样方内茎秆、角壳和籽粒三部分的干物质量比例进行换算得出。各部位样品经105 ℃杀青后,60 ℃恒温烘干磨细过筛,采用HNO3-HClO4(HNO3︰HClO4=4︰1,优级纯)消煮-原子吸收光谱仪测定各部位全镁含量。
成熟期油菜籽品质指标和脂肪酸组分的测定:收集了27个不同试验点收获后的油菜籽(考虑到人力、物力和时间的限制,随机选取了27个试验点,占总试验点的48.2%),将各处理的种子用近红外反射光谱仪(NYDL-3 000,中国农业科学院油料作物研究所,武汉)测定其品质,包括含油率、蛋白质含量、硫甙含量等品质指标和油酸、亚油酸、亚麻酸、硬脂酸、棕榈酸、芥酸等脂肪酸含量[16-17]。将40 g风干油菜籽放入仪器样品室,调整仪器测定波长范围至1 100~2 300 nm,光谱分辨率为2 nm,开始自动测定。每个样品扫描3次,数据在本仪器软件系统(NYDL-3 000)中处理,获得每个品质指标的含量。
1.4 数据处理各部位镁累积量/(kg·hm–2)=各部位生物量/(kg·hm–2)×各部位镁含量/%÷100[18]
施镁增产率/%=(施镁产量/(kg·hm–2)–不施镁产量/(kg·hm–2))÷不施镁产量/(kg·hm–2)×100
施镁增幅/%=(施镁处理指标-不施镁处理指标)÷不施镁处理指标×100
平均增产率/%=不同分级下各试验点增产率之和/%÷对应分级试验点个数×100
试验数据利用Excel 2021软件进行处理,采用SPSS 26.0数据处理软件进行数据的统计分析,采用Origin 2021软件作图。
2 结果 2.1 硫酸镁和氯化镁对油菜籽产量的影响施用MgSO4和MgCl2均显著提高油菜籽产量(图 1)。两种镁肥处理间油菜籽产量差异不显著,就增产率而言,MgSO4和MgCl2处理的平均增产率分别为14.1%和11.8%。对比CK处理和施镁处理的产量(表 3),结果表明施镁增产率大于5%的试验点平均占61.6%,其中施用MgSO4处理的占比为67.9%,平均增产率为23.2%;施用MgCl2处理的占比为55.4%,平均增产率为22.9%。施用MgSO4和MgCl2增产率大于20%的试验点占比分别为25.0%和21.4%。增产率在–5%和5%之间的试验点占比平均为26.8%,MgSO4处理占17.9%,而MgCl2处理占35.7%。施镁增产率小于–5%的占比仅为11.6%。
|
注:CK、MgSO4和MgCl2分别表示不施镁处理、MgSO4处理和MgCl2处理。试验点个数n=56,不同小写字母表示处理间差异显著(P < 0.05),箱图顶部表示95%的置信区间,底部表示5%的置信区间,箱体中的横线表示中位数,方块表示平均值,数据点右侧曲线描述了产量的正态分布。下同。 Note: CK, MgSO4 and MgCl2 indicate treatment without Mg, MgSO4 treatment and MgCl2 treatment, respectively. The number of trials is 56. Different lowercase letters indicate significant differences(P < 0.05)among treatments. Both box plots and dot plots are shown in the figure. The top of each box in the boxplots indicates the 95% percentile, the bottom is the 5% percentile, the thick bar inside the box is the median, and the square indicates the mean. The curve describes the normal distribution of production. The same as below. 图 1 不同镁肥处理油菜籽产量 Fig. 1 Yield of rapeseed under different magnesium treatments |
|
|
表 3 硫酸镁和氯化镁对油菜籽产量变化分布的影响 Table 3 Effect of MgSO4 and MgCl2 on the distribution of yield increase rate in rapeseed |
施用MgSO4和MgCl2均显著提高了油菜的单株角果数和每角粒数(图 2),其中,单株角果数的增加幅度最大,MgSO4和MgCl2处理较CK处理平均增加11.0%和8.1%;其次是每角粒数,MgSO4和MgCl2处理较CK处理平均增加4.3%和2.8%。整体而言,施镁对油菜收获密度和千粒重的影响较小。MgSO4和MgCl2处理间各产量构成因子的差异均不显著。
|
图 2 不同镁肥处理油菜产量构成因子 Fig. 2 Yield components of rapeseed under different magnesium treatments |
施镁增产率均随土壤镁含量的增加呈下降趋势,MgSO4和MgCl2处理的变化趋势相似(图 3a)。当土壤镁含量小于221 mg·kg–1时,MgSO4处理的增产率高于MgCl2处理,而当土壤镁含量高于221 mg·kg–1时,MgCl2处理则表现出更高的增产率。两种镁肥的增产率与土壤硫含量均无显著相关关系(图 3b),说明土壤硫含量对硫酸镁的整体增产效果影响较小。就土壤镁、硫含量与施镁增产率的关系而言,镁元素在两种镁肥提高油菜籽产量方面发挥了主要贡献。
|
注:***表示显著性水平P < 0.001。 Note: *** indicates the significant differences at the P < 0.001 level. 图 3 土壤交换性镁含量(a)和有效硫含量(b)与施镁增产率的关系 Fig. 3 Relationship between soil exchangeable Mg concentration(a)and available sulfur(b)concentration with the yield increase rate with Mg application |
油菜各部位镁含量呈现籽粒、角壳、茎秆依次下降的趋势,镁累积量呈现籽粒大于茎秆和角壳,施镁显著提高了油菜各部位镁含量和镁累积量(表 4)。施镁增加角壳镁含量的幅度最大,MgSO4和MgCl2处理较CK处理的增幅分别为19.3%和20.8%,而籽粒中镁含量的增加幅度相对较小,MgSO4和MgCl2处理的增幅分别为11.8%和8.7%。镁累积量的变化趋势与镁含量相似,施镁提高角壳镁累积量的幅度最高,MgSO4和MgCl2处理分别为24.1%和23.8%,镁肥提高茎秆和籽粒镁累积量的幅度相近,约为20%,总累积量平均增幅为20.9%。两种镁肥处理之间油菜各部位镁含量和镁累积量的差异均不显著。
|
|
表 4 硫酸镁和氯化镁对油菜不同部位镁含量和镁累积量的影响 Table 4 Effects of MgSO4 and MgCl2 on Mg content and accumulation in different parts of rapeseed |
施用MgSO4和MgCl2显著影响油菜籽品质指标(图 4)。MgSO4和MgCl2处理较CK处理油菜籽含油率均显著增加,增幅分别为5.51%和4.83%。施镁处理油菜籽蛋白质含量有降低的趋势,MgCl2处理的降幅为4.2%,高于MgSO4处理的2.7%。若将产量考虑在内计算得到产油量和蛋白质产量,MgSO4处理提高两者的效果(较CK处理分别提高了18.3%和8.2%)明显优于MgCl2处理(较CK处理分别提高了13.9%和2.8%)。MgSO4处理的硫甙含量显著高于CK处理和MgCl2处理,与CK处理相比,MgSO4处理的增加率高达37.9%,而MgCl2处理对硫甙含量的影响不显著。
|
注:试验点个数n=27,籽粒含油率和蛋白质含量是通过近红外反射光谱仪(NYDL-3 000)直接测得的百分含量。 Note: The number of trials is 27. The content of seed oil and protein was measured directly as a percentage by near-infrared reflectance spectroscopy(NYDL-3 000). 图 4 不同镁肥处理油菜籽含油率、蛋白质和硫甙含量 Fig. 4 Oil, protein, and sulfide content of rapeseed under different magnesium treatments |
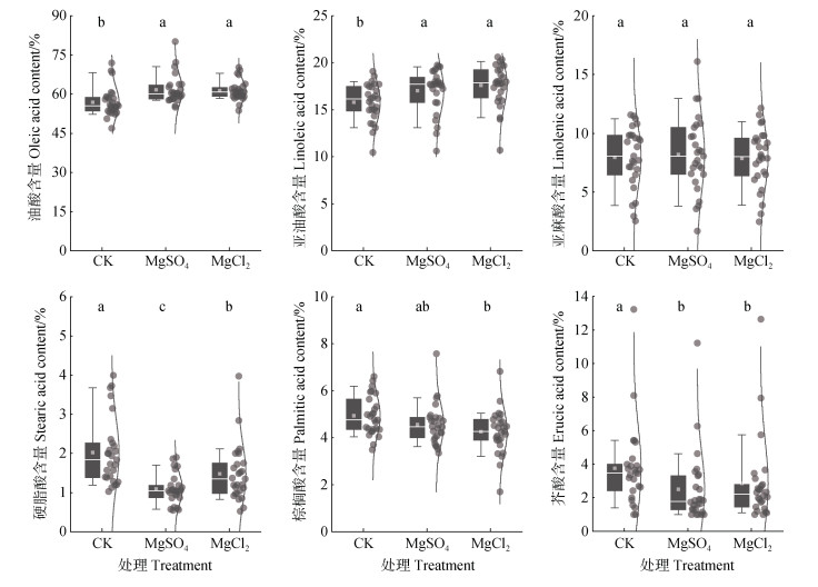
MgSO4和MgCl2处理肪酸含量的变化趋势基本一致,但两种镁肥对脂肪酸含量的增减幅度存在差异(图 5)。施用MgSO4和MgCl2均可显著提高菜籽油中油酸和亚油酸的含量,同时降低硬脂酸、棕榈酸和芥酸的含量。MgSO4处理提高油酸的效果(较CK处理高8.3%)与MgCl2处理(较CK处理高7.7%)相近。与CK处理相比,MgCl2处理亚油酸的增幅为11.4%,MgSO4处理的增幅为7.8%。施镁降低硬脂酸的效果最佳,且MgSO4的效果显著优于MgCl2,MgSO4处理和MgCl2处理较CK处理的降幅分别达46.0%和26.9%。施镁降低芥酸含量的效果次之,MgSO4处理和MgCl2处理较CK处理分别降低了33.2%和24.1%。两种镁肥对亚麻酸含量的影响较小,增减幅度均在3%以内。
|
注:试验点个数n=27,籽粒各脂肪酸组分含量是通过近红外反射光谱仪直接测得的百分含量(NYDL-3 000)。 Note: The number of trials is 27. The content of each fatty acid fraction of the seeds was measured directly as a percentage by near-infrared reflectance spectroscopy(NYDL-3 000). 图 5 不同镁肥处理油菜籽脂肪酸组分 Fig. 5 Fatty acid fractions of rapeseed under different magnesium treatments |
在本研究中,施用MgSO4和MgCl2均显著提高了油菜籽产量,增产幅度随土壤镁含量的增加而下降,且变化趋势相近(图 3)。单株角果数和每角粒数的增加(图 2)是施镁增产的主要因素,充足的镁养分供应有利于提高油菜的光合作用并促进同化物向角果转移,为更多角果和籽粒的形成奠定了物质基础[2,19]。两种镁肥的增产差异较小(图 1),且硫元素的投入和土壤硫含量之间、土壤镁含量和硫含量之间无相关性(表 2),加之土壤镁含量显著影响两种镁肥效果,因此可判断镁养分是提高油菜籽产量的主要贡献因素。当然,不能忽视硫养分的重要功能,因为硫能延长叶片寿命,增强植物光合能力,增加光合作用产物(可溶性糖),增加植株内可溶性硫和蛋氨酸等的含量,降低冰点,提高抗冻能力[20],从而利于稳定和提高油菜籽产量。氯被确定为植物所必需的营养元素后,人们逐渐增加了对氯养分的关注。胡小婉[21]通过水培试验证明了低氯环境可通过提高油菜叶片光合能力和氮利用效率等途径来促进油菜的生长发育。然而油菜对氯的敏感性相对较低,在田间试验中,目前有关油菜缺氯或氯中毒的现象鲜有报道[21]。本研究中,MgSO4处理的油菜籽增产率(14.1%)和增产率超过5%地区的占比(67.9%)均高于MgCl2处理(11.8%和55.3%)(表 3)。由于长江流域土壤硫含量近20年来呈下降趋势[22],加之油菜对硫的需求量较高[18],未来的油菜生产中应关注潜在缺硫问题,MgSO4在未来应有更广阔的应用前景。
MgSO4和MgCl2均属于水溶性镁肥,易被作物吸收[19],这是两种镁肥表现出相似增产效应的重要原因。然而研究表明,我国冬油菜种植区土壤普遍呈弱酸性,超过66%的土壤pH低于6.5(本研究中约33.9%的土壤pH低于5.5)[22],外源施用酸性肥料可能会加剧土壤酸化[23-24]。因此,需要针对不同土壤环境精准施用镁肥来减少类似问题的出现,本研究镁肥用量为45 kg·hm–2,虽然提高油菜籽产量和品质的效果较好,但针对不同土壤背景下的最佳镁肥用量及镁肥效果尚需更多的田间试验进行验证。
3.2 硫酸镁和氯化镁影响油菜籽含油率、蛋白质和硫甙含量的可能机制施用MgSO4和MgCl2均显著提高了油菜籽含油率,而蛋白质含量呈降低趋势,且MgCl2处理降幅较高(图 4)。这可能受到以下几个方面的综合影响,首先,MgSO4和MgCl2为油菜生长发育提供了充足的镁养分,这有助于提高叶片和角果皮叶绿素含量,提高光合器官同化物的合成并促进光合产物由源向库的转运[7,19,25],从而为脂肪酸合成提供充足的同化力和碳源。其次,镁是植物体内许多脂肪酸合成过程中的关键酶辅助因子,包括脂肪酸合成酶、ATP合酶、丙酮酸羧化酶等[26-27],油脂由脂肪酸和甘油分子缩合而成,镁养分可通过提高脂肪酸合成过程中各种酶的活性来直接或间接影响油脂合成过程。因此,镁肥的施用可能通过增加油脂生物合成的底物数量和促进油脂的合成来提高油菜籽的含油率。施镁导致蛋白质含量降低则可能是油脂合成与蛋白质合成的物质均始于糖代谢,两者的合成存在底物竞争所致[28]。除此之外,MgSO4和MgCl2对蛋白质含量的影响可能与硫和氯的功能差异有关。硫是半胱氨酸和蛋氨酸的重要组分,直接参与蛋白质的结构和功能的形成,并且硫氨酸形成的二硫化物键可稳定蛋白质的构象和结构。研究表明,植物体内蛋白质的合成和脂肪酸的转化受到土壤硫有效性和外源供硫量的影响[9]。充足的硫元素可通过增强含硫多酶复合体及含硫辅酶生物素的活性,促进氨基酸向脂肪酸的合成,从而促进蛋白质向脂肪的转化过程;当供硫不足时,有限的硫元素主要参与了植物基本代谢产物的合成,如氨基酸和蛋白质[9]。氯不直接参与蛋白质的形成,适量氯能够增强硝酸还原酶、谷氨酰胺合成酶、谷氨酸合酶的活性,从而间接提高植株的氮素利用效率,而高氯则抑制了这些酶的活性[21]。相对而言,硫在维持蛋白质合成和功能方面发挥更稳定的作用,是提高油菜籽产量和含油率的同时保证蛋白质含量相对稳定的重要原因。MgSO4处理中充足的硫元素供给为油菜籽向特有的二次代谢产物合成提供了丰富的原料,这也促进了硫代葡萄糖甙合成产物的前体物质如半胱氨酸、蛋氨酸的增加[29],为硫代葡萄糖甙的合成提供了充足的库源,导致油菜籽硫甙含量显著高于CK和MgCl2处理。试验中所使用的油菜品种大多是双低油菜品种(绵油61为高芥酸品种),即使在施用MgSO4的情况下,总硫甙的平均含量仍然低于国家规定标准35 μmol·g–1[17]。可见,虽然施肥可影响作物某些遗传特性的发挥,但仍主要取决于其品种的基因特性。
3.3 硫酸镁和氯化镁影响油菜籽脂肪酸组分的机制探讨脂肪酸组分是评价菜籽油品质的重要指标,一般认为,饱和脂肪酸越低、单不饱和脂肪酸含量越高,食用油越健康。并且,亚油酸和亚麻酸的最佳比例为1~6︰1[30-31]。本研究结果表明,施MgSO4和MgCl2可显著改变油菜籽脂肪酸的组成,表现为不饱和脂肪酸(主要是油酸和亚油酸)含量增加,以及饱和脂肪酸(主要是硬脂酸和棕榈酸)含量降低(图 5)。总体而言,施用MgSO4和MgCl2均有利于改善油菜籽脂肪酸组分。镁肥影响脂肪酸组分的原因除脂肪酸合成底物的不同外,还可能与镁提高脂肪酸去饱和酶活性有关[32],去饱和酶活性增强,从而促进硬脂酸向油酸等不饱和脂肪酸的转化,进而提高不饱和脂肪酸比例。此外,有研究表明,籽粒中脂肪酸组分变化所需要的能量主要是籽粒光合作用所提供[33],而充足的镁养分有利于提高籽粒叶绿素含量,从而增强籽粒的光合能力,为籽粒中脂肪酸的合成和转化提供底物和充足的能量。此外,MgSO4和MgCl2对脂肪酸组分的影响存在差异,如MgSO4处理硬脂酸含量显著低于MgCl2处理,而MgCl2处理降低棕榈酸的幅度高于MgSO4处理(图 5),这种差异除归因于脂肪酸合成底物的不同外,硫和氯可能在饱和脂肪酸向不饱和脂肪酸过程中发挥不同的功能,但目前关于硫和氯对脂肪酸组分影响以及硫和氯在脂肪酸组分转化过程中的作用尚无定论[34]。因此,关于镁和硫元素在脂肪酸组分转化过程中的具体作用机制仍需借助代谢组学和蛋白质组学等新技术方法来深入探讨。
本研究系统地分析了我国冬油菜主产区MgSO4和MgCl2对油菜籽产量和品质的影响。研究结果对油菜增产提质具有重要的理论和实践意义。值得注意的是,不同镁肥对油菜籽产量和品质的影响与土壤环境、气候条件、种植品种等因素均有关。在弱酸性或中性土壤中施用MgSO4的效果更好,酸性土壤不建议大量施用MgCl2[5],土壤中其他阳离子(K+和Ca2+等)与Mg2+发生拮抗作用,本研究平均K/Mg和Ca/Mg比分别为0.86和9.9,处于相对适宜范围[35-36],在高钾、高钙地区应当重视镁肥的施用,如用石灰改良酸性土壤导致钙含量过高等。考虑到过量的氯可能对植物造成不良影响,在无灌溉条件的旱地、排水不良的盐碱地和高温干旱季节以及缺水少雨地区建议不用或少用含氯镁肥[21]。对于硫甙含量较高的油菜品种,为了保证其蛋白质含量在国家规定的标准范围内(不高于35 μmol·g–1)[17],可改用其他不含硫的镁肥。此外,镁肥的施用量和施用方式也可能影响油菜籽产量和品质。不同作物对镁肥的需求量不同,镁肥不足或者过量均不利于产量和品质的协同提高[3,5],需要根据油菜的镁养分需求规律,结合土壤供镁能力制定适合油菜种植的土壤镁丰缺指标体系指导油菜生产。镁肥的施用方式主要分为土壤施肥和叶面喷施两种,在土壤施肥受限制时(如连续干旱),可采用叶片喷施镁肥的方式改善作物对镁的吸收[5]。镁肥施用方式的不同可能影响油菜籽的发育及品质的形成,本研究结果表明基施MgSO4和MgCl2主要通过提高油菜籽单株角果数和每角粒数来提高油菜籽产量(图 2),而在田贵生等[14]的研究中表明,终花期喷镁主要增加了油菜籽的千粒重。因此,在实际生产中,应根据当地实际情况选择适宜的镁肥种类和施用量,并辅以合适的施用方式以最大限度地提高油菜籽的品质和产量。
4 结论在我国冬油菜主产区施用MgSO4和MgCl2均可显著提高油菜籽产量,且MgSO4的增产效果略优于MgCl2,主要体现在MgSO4处理拥有更高的单株角果数和每角粒数。施镁提高了油菜籽油脂、油酸和亚油酸含量,降低了硬脂酸和棕榈酸的含量,从而改善油菜籽的品质。综合产量和品质效应,施镁可实现油菜籽产量和品质的协同提升,并且MgSO4的增产提质效果优于MgCl2。
致谢 感谢国家油菜产业技术体系各综合试验站在试验过程中的支持和帮助,感谢福建省农业科学院资源环境与土壤肥料研究所章明清老师和李娟老师在文章写作上的宝贵建议。
| [1] |
Gan G Y, Zou J L, Chen X, et al. Research status of rape production pattern and fertilization in China (In Chinese)[J]. Hubei Agricultural Sciences, 2022, 61(1): 5-11. [甘国渝, 邹家龙, 陈曦, 等. 中国油菜生产格局与施肥研究现状[J]. 湖北农业科学, 2022, 61(1): 5-11.]
( 0) |
| [2] |
Ye X L, Geng G T, Xiao G B, et al. Effects of magnesium application rate on yield and quality in oilseed rape(Brassica napus L.) (In Chinese)[J]. Acta Agronomica Sinica, 2023, 49(11): 3063-3073. [叶晓磊, 耿国涛, 肖国滨, 等. 镁肥用量对油菜籽产量及品质的影响[J]. 作物学报, 2023, 49(11): 3063-3073.]
( 0) |
| [3] |
Wang Z, Hassan M U, Nadeem F, et al. Magnesium fertilization improves crop yield in most production systems: A meta-analysis[J]. Frontiers in Plant Science, 2020, 10: 1727. DOI:10.3389/fpls.2019.01727
( 0) |
| [4] |
Cong R H, Zhang Z, Zheng L, et al. Soil nutrients and pH in rapeseed planting areas in the middle reaches of the Yangtze River based on GIS (In Chinese)[J]. Acta Pedologica Sinica, 2016, 53(5): 1213-1224. DOI:10.11766/trxb201602170634 [丛日环, 张智, 郑磊, 等. 基于GIS的长江中游油菜种植区土壤养分及pH状况[J]. 土壤学报, 2016, 53(5): 1213-1224.]
( 0) |
| [5] |
Li C J, Wang Z, Zhang F S. The effect of magnesium fertilizer on the quality of main crops and nutrient use efficiency in China (In Chinese)[J]. Soil and Fertilizer Sciences in China, 2022(3): 1-6. [李春俭, 王正, 张福锁. 镁肥在我国主要作物上的提质增效作用[J]. 中国土壤与肥料, 2022(3): 1-6.]
( 0) |
| [6] |
Lu Z F, Ren T, Lu J W. Soil available magnesium status and effects of magnesium application on rapeseed yield in main producing area of China (In Chinese)[J]. Journal of Huazhong Agricultural University, 2021, 40(2): 17-23. [陆志峰, 任涛, 鲁剑巍. 我国冬油菜种植区土壤有效镁状况与油菜施镁效果[J]. 华中农业大学学报, 2021, 40(2): 17-23.]
( 0) |
| [7] |
Li J, Muneer M A, Sun A H, et al. Magnesium application improves the morphology, nutrients uptake, photosynthetic traits, and quality of tobacco(Nicotiana tabacum L.)under cold stress[J]. Frontiers in Plant Science, 2023, 14: 1078128. DOI:10.3389/fpls.2023.1078128
( 0) |
| [8] |
Wang Q R. Effect of sulfur application on yield and quality of double low oilseed rape(Brassica Napus CV. OSCAR) (In Chinese)[J]. Journal of Plant Nutrition and Fertilizers, 1996, 2(1): 57-67. [王庆仁. 硫肥对双低油菜产量与品质的影响[J]. 植物营养与肥料学报, 1996, 2(1): 57-67.]
( 0) |
| [9] |
Li P W, Xie L H, Li G M, et al. Quality standards and detection techniques of double low Brassica campestris (In Chinese)[J]. Food and Nutrition in China, 2003, 9(6): 21-24. [李培武, 谢立华, 李光明, 等. 双低油菜质量标准及其检测技术[J]. 中国食物与营养, 2003, 9(6): 21-24.]
( 0) |
| [10] |
Shen S. Effects of different magnesium fertilizer types on soil magnesium content, yield and quality of flue-cured tobacco[D]. Guangzhou: South China Agricultural University, 2017.[沈思. 不同镁肥种类对烟田镁含量及烤烟产质量的影响[D]. 广州: 华南农业大学, 2017.]
( 0) |
| [11] |
Hao S Y, Zhou R, Xu C, et al. Association between exchangeable calcium(Ca2+)and magnesium(Mg2+)with other soil properties in tobacco planting area of northeast Chongqing (In Chinese)[J]. Soils, 2023, 55(2): 288-294. [郝尚妍, 周嵘, 徐宸, 等. 重庆渝东北植烟区土壤交换性钙镁与土壤属性的关联特性研究[J]. 土壤, 2023, 55(2): 288-294.]
( 0) |
| [12] |
Liu Y. Effects of magnesium on yield and flesh color of citrus[D]. Wuhan: Huazhong Agricultural University, 2022.[刘闫. 镁对柑橘产量和果肉色泽的影响[D]. 武汉: 华中农业大学, 2022.]
( 0) |
| [13] |
Greffeuille V, Abecassis J, Catherine L, et al. Bran size distribution at milling and mechanical and biochemical characterization of common wheat grain outer layers: A relationship assessment[J]. Cereal Chemistry, 2006, 83(6): 641-646. DOI:10.1094/CC-83-0641
( 0) |
| [14] |
Tian G S, Lu Z F, Ren T, et al. Effects of spraying magnesium on the yield and quality of oilseed rape under different magnesium fertilizer application rates (In Chinese)[J]. Soil and Fertilizer Sciences in China, 2019(5): 85-90. [田贵生, 陆志峰, 任涛, 等. 镁肥基施及后期喷施对油菜产量与品质的影响[J]. 中国土壤与肥料, 2019(5): 85-90.]
( 0) |
| [15] |
Bao S D. Soil and agricultural chemistry analysis (In Chinese). 3rd ed[M]. Beijing: China Agriculture Press, 2000: 25-114. [鲍士旦. 土壤农化分析[M]. 3版. 北京: 中国农业出版社, 2000: 25-114.]
( 0) |
| [16] |
Geng G T, Lu Z F, Lu Y, et al. Effect of boron application on seed yield and quality of direct sown winter rapeseed(Brassica napus L.)in red soil region (In Chinese)[J]. Acta Pedologica Sinica, 2020, 57(4): 928-936. DOI:10.11766/trxb201905280207 [耿国涛, 陆志峰, 卢涌, 等. 红壤地区直播油菜施硼对籽粒产量和品质的影响[J]. 土壤学报, 2020, 57(4): 928-936.]
( 0) |
| [17] |
Zhi W L, Xin X Y, Cui J M, et al. Determination of three major quality parameters of rapeseed with near infrared analyzer NYDL-3000 (In Chinese)[J]. Chinese Journal of Oil Crop Sciences, 2012, 34(3): 305-310. [智文良, 信晓阳, 崔建民, 等. 一种国产近红外仪分析油菜籽三种品质参数[J]. 中国油料作物学报, 2012, 34(3): 305-310.]
( 0) |
| [18] |
Liu X W. Study on nutrient absorption of oilseed rape and characteristics compare in different nutrient efficiency types[D]. Wuhan: Huazhong Agricultural University, 2011.[刘晓伟. 冬油菜养分吸收规律及不同养分效率品种特征比较研究[D]. 武汉: 华中农业大学, 2011.]
( 0) |
| [19] |
Mikkelsen R. Soil and fertilizer magnesium[J]. Better Crops, 2010, 94: 26-28.
( 0) |
| [20] |
Bouranis D L, Malagoli M, Avice J C, et al. Advances in plant sulfur research[J]. Plants, 2020, 9(2): E256. DOI:10.3390/plants9020256
( 0) |
| [21] |
Hu X W. Effects and mechanisms of chloride on canola seedings' growth, nutrient absorption and utilization[D]. Nanjing: Nanjing Agricultural University, 2013.[胡小婉. 氯对油菜生长与营养吸收利用的效应及其机制[D]. 南京: 南京农业大学, 2013.]
( 0) |
| [22] |
Ren T, Guo L X, Zhang L M, et al. Soil nutrient status of oilseed rape cultivated soil in typical winter oilseed rape production regions in China (In Chinese)[J]. Scientia Agricultura Sinica, 2020, 53(8): 1606-1616. [任涛, 郭丽璇, 张丽梅, 等. 我国冬油菜典型种植区域土壤养分现状分析[J]. 中国农业科学, 2020, 53(8): 1606-1616.]
( 0) |
| [23] |
Zeng M F, Mechanisms of cropland soil acidification induced by the long-term fertilization and mitigation strategy[D]. Beijing: China Agricultural University, 2017.[曾沐梵. 长期施肥导致农田土壤酸化的机制及缓解策略[D]. 北京: 中国农业大学, 2017.]
( 0) |
| [24] |
Li D P, Liu D Y, Zhang B G, et al. Movement and leaching of magnesium fertilizers in three types of magnesium-deficient soils in South China relative to fertilizer type (In Chinese)[J]. Acta Pedologica Sinica, 2018, 55(6): 1513-1524. DOI:10.11766/trxb201802130616 [李丹萍, 刘敦一, 张白鸽, 等. 不同镁肥在中国南方三种缺镁土壤中的迁移和淋洗特征[J]. 土壤学报, 2018, 55(6): 1513-1524.]
( 0) |
| [25] |
Zhang B G, Cakmak I, Feng J C, et al. Magnesium deficiency reduced the yield and seed germination in wax gourd by affecting the carbohydrate translocation[J]. Frontiers in Plant Science, 2020, 11: 797.
( 0) |
| [26] |
Lastras C, Revilla I, González-Martin M I, et al. Prediction of fatty acid and mineral composition of lentils using near infrared spectroscopy[J]. Journal of Food Composition and Analysis, 2021, 102: 104023.
( 0) |
| [27] |
Rondanelli M, Miccono A, Peroni G, et al. Rice germ macro- and micronutrients: A new opportunity for the nutraceutics[J]. Natural Product Research, 2021, 35(9): 1532-1536.
( 0) |
| [28] |
Schwender J, Ohlrogge J B. Probing in vivo metabolism by stable isotope labeling of storage lipids and proteins in developing Brassica napus embryos[J]. Plant Physiology, 2002, 130(1): 347-361.
( 0) |
| [29] |
Zhang Y W, Li D R. The sulfur nutrition and the relationship between sulfur nutrition and quality of rape oil (In Chinese)[J]. Soil and Fertilizer Sciences in China, 2002(5): 3-7. [张耀文, 李殿荣. 油菜硫营养及其与品质的关系[J]. 中国土壤肥料, 2002(5): 3-7.]
( 0) |
| [30] |
Jin Q Z, Wang X G, Li Q Y. Analysis on the cognitive misunderstandings in the nutrition of edible oil and promoting the development of health edible oil (In Chinese)[J]. China Oils and Fats, 2007, 32(2): 12-16. [金青哲, 王兴国, 厉秋岳. 直面油脂营养认识误区, 大力发展"健康" 食用油[J]. 中国油脂, 2007, 32(2): 12-16.]
( 0) |
| [31] |
Kwaśnica A, Pachura N, Masztalerz K, et al. Volatile composition and sensory properties as quality attributes of fresh and dried hemp flowers(Cannabis sativa L.)[J]. Foods, 2020, 9(8): E1118.
( 0) |
| [32] |
Gray D A, Kekwick R G O. Intracellular location of oleate desaturase and associated constituents in developing sunflower(Helianthus annuus)seeds[J]. Plant Science, 1996, 119(1/2): 11-21.
( 0) |
| [33] |
Bennett E J, Roberts J A, Wagstaff C. The role of the pod in seed development: Strategies for manipulating yield[J]. New Phytologist, 2011, 190(4): 838-853.
( 0) |
| [34] |
Liu L J, Sun C S, Dong S K, et al. Effects of sulfur on the components of amino acid and fatty acid in soybean seeds (In Chinese)[J]. Soybean Science, 2008, 27(6): 993-996, 1002. [刘丽君, 孙聪姝, 董守坤, 等. 硫对大豆籽粒蛋白质和脂肪组分的影响[J]. 大豆科学, 2008, 27(6): 993-996, 1002.]
( 0) |
| [35] |
Zhang Z Q, Zhu L, Wang M Y, et al. Application zoning of magnesium fertilizer in Bijie tobacco growing area based on soil calcium-magnesium ratio (In Chinese)[J]. Acta Pedologica Sinica, 2023, 60(6): 1739-1750. DOI:10.11766/trxb202201100014 [张忠启, 祝亮, 王美艳, 等. 基于土壤钙镁比的毕节植烟区镁肥施用分区研究[J]. 土壤学报, 2023, 60(6): 1739-1750.]
( 0) |
| [36] |
Xue X X, Wu X P, Wang W B, et al. Progress of potassium, magnesium and their interaction in plant-soil system (In Chinese)[J]. Soils, 2019, 51(1): 1-10. [薛欣欣, 吴小平, 王文斌, 等. 植物–土壤系统中钾镁营养及其交互作用研究进展[J]. 土壤, 2019, 51(1): 1-10.]
( 0) |
2025, Vol. 62



0)