2. 福建师范大学地理科学学院, 福州 350117
2. School of Geographical Sciences, Fujian Normal University, Fuzhou 350117, China
硝化作用是土壤氮循环的关键环节,传统上该过程通常由两组不同的微生物协同完成。首先,氨氧化古菌(AOA)或氨氧化细菌(AOB)通过氨氧化酶将氨(NH3)氧化为亚硝酸盐(NO2–);其次,亚硝酸盐氧化菌(NOB)将亚硝酸盐(NO2–)转化为硝酸盐(NO3–)[1]。然而,近年来新发现的完全氨氧化菌(Comammox Nitrospira)同时具备氨氧化和亚硝酸盐氧化的功能,可直接将氨氧化为硝酸盐[2-3]。该发现表明硝化作用可由单个细菌群体完成,从而为理解土壤氮素转化提供了新思路。Comammox Nitrospira属于亚硝化螺菌谱系Ⅱ,根据amoA(ammonia monooxygenase)基因的系统发育分析,其可分为分支A(Clade A)和分支B(Clade B)[4]。相关研究发现,对氨有着高亲和力的AOA更喜爱贫营养环境,而AOB对氨的亲和力偏低,更喜好富营养环境[5]。相比之下,尽管有研究证实完全氨氧化菌可同时存在于养分充足和贫瘠的土壤中[6],但有关其分支Clade A和Clade B在土壤生态系统中的分布状况及生理特征尚不清楚,仍需进一步研究探明。
水稻-紫云英轮作种植被广泛应用于农田管理中,因水稻与紫云英生长周期不同,两者轮作可有效减少土壤中的养分流失和水分蒸发[7]。紫云英(Astragalus sinicus L.)作为豆科绿肥,其根系可通过固氮作用或根系分泌物的方式增加土壤养分,促进植物与微生物的生长发育,进而增强农田生产可持续性[8-9]。水稻-紫云英轮作可显著影响稻田土壤氨氧化微生物,并通过微生物-植物间的互作对土壤氨氧化微生物群落进行调控[10-11]。先前研究表明,紫云英还田主要是通过植物和根瘤的共生过程,缓慢而持续地释放氮素,进而影响土壤氮素利用效率[12];而化肥中以高浓度的硝酸盐或铵盐为主,施用后较易溶解并释放氮素养分,可在短时间内提升土壤氮素供给[13]。因紫云英和化肥中氮素供应状况的差异,氨氧化微生物对二者的响应也有所不同。Gao等[11]发现紫云英还田后水稻土AOA和AOB丰度显著提高;Xiang等[14]研究发现尿素施用后,土壤AOA丰度下降,但AOB丰度显著提升;而Zhang等[15]发现尿素施用后,Clade A丰度显著增加,Clade B丰度显著下降。因此,当前水稻-紫云英轮作模式下土壤氨氧化微生物功能基因丰度的研究仍相对较少,且结果尚存争议,该模式如何影响红壤水稻土氨氧化微生物功能基因丰度,尤其是完全氨氧化菌功能基因丰度仍有待探索。
江西省水稻种植区多以红壤黄泥田为主,因其土壤酸化贫瘠,水稻产量普遍较低[16-17]。为改善该状况,江西省农业科学院于高安基地建立了水稻-紫云英轮作种植模式的试验田,以不施肥处理(CK)作为对照,分别设置紫云英还田(G)、施用100%化肥(C)、紫云英还田+100%化肥(GC)和紫云英还田+化肥减量20%(GCT20)处理。本研究依托于该试验样地,通过实时荧光定量PCR的方法,研究紫云英还田对土壤氨氧化微生物功能基因丰度的影响,以期探明红壤水稻土氨氧化微生物对绿肥氮源和化肥氮源的响应规律,进而为稻田养分管理提供理论支撑和基础数据。
1 材料与方法 1.1 试验地概况试验于2016年在江西省高安市试验基地(28°15′22.03′′N,115°07′36.83′′E)进行,该地为亚热带季风气候,年均气温17.5℃,年均降水量1 530 mm。试验地土壤为第四纪红黏土母质发育的红黄泥。试验前,0~20 cm土层的理化性质为:pH 5.82、有机质23.49 g·kg–1、全氮0.99 g·kg–1、全磷0.43 g·kg–1、全钾19.71 g·kg–1、碱解氮71.88 mg·kg–1、有效磷12.51 mg·kg–1、速效钾49.78 mg·kg–1。
1.2 试验设计采用田间小区试验,各小区面积为21 m2,小区之间用田埂覆膜隔离,并设置单独排水沟与灌排水口。种植制度为紫云英-早稻-晚稻,供试紫云英品种为“赣紫1号”,早稻品种为“中嘉早17”,晚稻品种为“五丰优T025”。试验设置5个处理,各处理3重复:1)不施肥(CK);2)紫云英还田(G);3)施用100%化肥(C);4)紫云英还田+100%化肥(GC);5)紫云英还田+化肥减量20%(GCT20)。当地早稻N、P2O5、K2O常规施用量分别为150、75、120 kg·hm–2,晚稻N、P2O5、K2O常规施用量分别为180、75、150 kg·hm–2,紫云英翻压量为22 500 kg·hm–2。其中,100%化肥为当地常规施肥量,减肥处理较早稻常规施肥量减少20%(GCT20),晚稻均按当地常规用量施肥。早晚稻的磷、钾肥全部做基肥一次施用,氮肥按基肥:分蘖肥= 6:4分次施用。氮、磷、钾肥分别使用尿素(含N 40%)、钙镁磷肥(含P2O5 12%)和氯化钾(含K2O 60%)。
1.3 土壤样品采集分别于2023年5月19日、6月30日、7月18日采集早稻分蘖期、孕穗期和成熟期的土壤样品,取耕层(0~20 cm)土样,按照五点取样法在每小区随机取五钻混合为1个复合土样,混匀过2 mm筛,并去除石块和根茬等杂物。将样品分为两份,一份风干用于土壤基础理化性质测定,一份保存于- 80℃用于土壤DNA提取。
1.4 土壤基础理化性质测定土壤基础理化性质测定参照文献[18]的方法进行。土壤pH测定:取5 g风干土,以水土比5︰1加入去离子水,振荡30 min后用pH计测定。有机碳(SOC)、全氮(TN)测定:取过筛后的风干土研磨,用锡纸包好并称重,随后利用碳氮元素分析仪(Various MAX,Elementar,德国)测定。土壤可溶性有机碳(DOC)测定:取10 g鲜土,以水土比5︰1加入去离子水,振荡、过滤后用岛津碳氮分析仪(TOC Vcph,Shimadzu,日本)测定。土壤硝态氮(NO3–)和铵态氮(NH4+)测定:取相当于5 g干土的鲜土,以水土比2.5:1加入2 mol·L–1的氯化钾(KCl)溶液浸提,过滤后用连续流动分析仪(San++ System,Skalar,荷兰)测定。土壤有效磷(AP)含量测定:取5 g风干土,加入50 mL 0.05 mol·L–1 HCl和0.025 mol·L–1 H2SO4的混合液振荡30 min后,用钼蓝比色法测定。
1.5 土壤总DNA提取和实时荧光定量PCR使用FastDNA® SPIN Kit for soil试剂盒从0.5g新鲜土壤中提取总DNA,提取后的DNA保存于–80 ℃备用。土壤中的氨氧化微生物基因丰度通过CFX96实时检测系统来测定。引物序列和反应条件详见表 1。标准曲线制备步骤如下[19]:1)扩增并克隆目标基因,获取含该基因的质粒;2)将质粒导入大肠杆菌,恒温培养并提取质粒DNA;3)使用NanoDrop ND-200检测DNA浓度,计算质粒的基因拷贝数;4)对质粒进行10倍梯度稀释,制备标准品,并据此绘制标准曲线以准确计算样本中的基因拷贝数。定量PCR反应均采用20 μL的反应体系,包括10 μL SYBR Premix,0.2 μL前引物,0.2 μL后引物,8.6 μL灭菌水和1 μL DNA模版。实验中各反应的溶解曲线均呈单峰,扩增效率为85%至100%,R2为0.992~0.999。
|
|
表 1 定量PCR引物和热循环条件 Table 1 PCR primers and thermal cycling conditions |
所有试验数据用Excel 2010进行处理。用SPSS 20.0软件对数据进行方差分析,生育期及处理间的差异显著性用邓肯(Duncan)多重比较进行检验,采用双因素方差分析检验生育期与处理的交互作用对土壤基础理化性质的影响以及化肥与绿肥的交互作用对氨氧化基因丰度的影响。利用成对样本t检验(Paired samples t-test)研究不同时期之间氨氧化微生物基因丰度的差异显著性。利用R语言“vegan”和“dplyr”包进行皮尔森(Pearson)相关性分析,利用“randomForest”和“rfPermute”进行随机森林分析,研究土壤基础理化性质和氨氧化微生物基因丰度间的相关性。利用Origin 2021作图。
2 结果 2.1 紫云英还田对不同生育期土壤基础理化性质的影响由表 2可知,水稻分蘖期各处理中pH较CK均显著提升(P < 0.05),其中,GC处理pH最高为6.57;各处理中SOC和NO3–含量均以GCT20处理最高,分别为13.88 g·kg–1和0.55 mg·kg–1。与CK处理相比,G处理中TN含量显著增加,而NO3–含量显著降低;C处理中NH4+和AP含量显著增加;GC处理中DOC、NH4+和AP含量均为最高,分别为26.48 mg·kg–1、31.77 mg·kg–1和20.60 mg·kg–1,显著高于CK;与C处理相比,GC和GCT20处理中各土壤理化指标无显著变化。水稻孕穗期,各处理中pH较CK无明显变化;与CK处理相比,G处理中SOC、TN和NH4+含量显著增加,增幅分别为37.92%、110.57%和61.12%;C和GC处理中SOC、TN和AP含量显著增加,NH4+含量显著降低;C处理中NO3–含量为0.52 mg·kg–1,较CK显著增加了160.84%;与C处理相比,GC处理中TN含量显著增加,GCT20处理中SOC和TN含量均显著增加。水稻成熟期,各处理间pH无显著差异;与CK处理相比,G处理中SOC、NO3–和AP含量分别显著增加了19.21%、45.26%和91.43%;C处理中NO3–和AP含量分别显著增加了77.47%和257.71%;GC处理中SOC、NO3–和AP含量均为最高,分别为13.79 g·kg–1、7.19 mg·kg–1和17.33 mg·kg–1,显著高于CK;与C处理相比,GC处理中SOC含量显著增加,而GCT20处理中各土壤理化指标无显著变化。
|
|
表 2 水稻不同生育期土壤基础理化性质 Table 2 Soil physiochemical properties at different rice growth stages |
此外,不同生育期对土壤DOC、NH4+、NO3–含量的影响达到了极显著水平(P < 0.001)。其中,分蘖期的DOC含量显著高于孕穗期和成熟期;成熟期的NH4+含量显著低于分蘖期和孕穗期,但NO3–含量显著高于分蘖期和孕穗期。不同处理间SOC、TN、NO3–、AP含量的差异达到了极显著水平(P < 0.001),而不同处理间pH、NH4+含量也有显著差异。同时,不同生育期和处理的交互作用显著影响土壤TN、DOC、NH4+、NO3–含量。
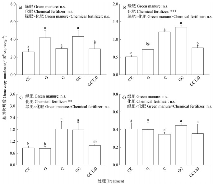
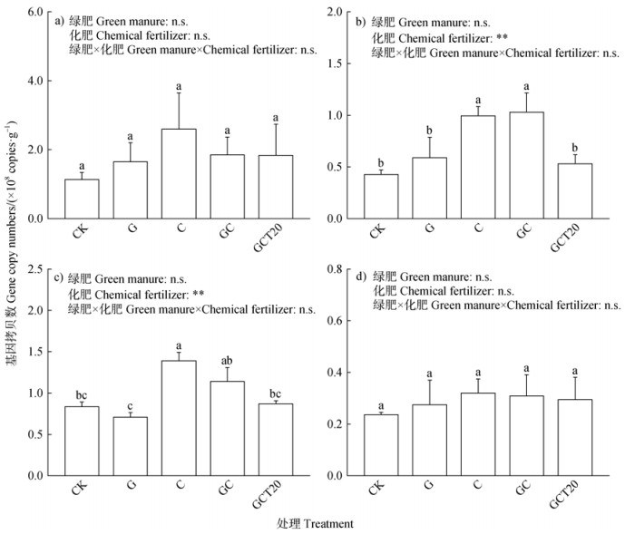
2.2 紫云英还田对不同生育期土壤氨氧化微生物功能基因丰度的影响由图 1可以看出,水稻分蘖期各处理间土壤AOA、完全氨氧化菌Clade A和Clade B丰度无显著差异。与CK处理相比,G处理中AOB丰度无显著变化,而C和GC处理中AOB丰度分别显著增加了160.26%和117.25%。与C处理相比,GC和GCT20处理中AOB丰度无显著变化(图 1b)。双因素方差分析表明,化肥显著影响AOB和Clade A丰度,而紫云英还田对其无显著影响,化肥和紫云英的交互作用显著影响AOB丰度,但对Clade A丰度无显著影响(图 1b,图 1c)。
|
注:AOA:氨氧化古菌;AOB:氨氧化细菌;Clade A:完全氨氧化古菌分支A;Clade B:完全氨氧化古菌分支B。图表左上角为双因素方差分析结果。不同小写字母表示差异显著(P < 0.05)。下同。 Note: AOA: ammonia-oxidizing archaea; AOB: ammonia-oxidizing bacteria; Clade A: Comammox Nitrospira Clade A; Clade B: Comammox Nitrospira Clade B. The top left of the figures are two-way ANOVA results. Different lowercase letters represent significant differences at 0.05 level. The same as below. 图 1 水稻分蘖期不同处理土壤氨氧化微生物功能基因丰度(a. AOA;b. AOB;c. Clade A;d. Clade B) Fig. 1 Soil amoA gene abundance of ammonia-oxidizers under different treatments during the rice tillering stage(a. AOA; b. AOB; c. Clade A; d. Clade B) |
水稻孕穗期各处理的氨氧化微生物功能基因丰度如图 2所示。各处理间土壤AOA和完全氨氧化菌Clade B丰度均无显著差异(图 2a,图 2d)。CK处理中AOB丰度为0.43 × 108 copies g–1,与CK相比,G处理中AOB丰度无显著变化,而C和GC处理则显著增加,增幅分别为133.6%和141.52%。与C处理相比,GC处理中AOB丰度无明显变化,而GCT20中AOB丰度显著下降了46.88%(图 2b)。与CK处理相比,G处理中完全氨氧化菌Clade A丰度无明显变化,但C和GC处理中分别增加了66.57%和36.59%。与C处理相比,GC处理完全氨氧化菌Clade A丰度无明显变化,但GCT20处理显著下降37.49%(图 2c)。双因素方差分析表明,化肥显著影响AOB和Clade A丰度,而紫云英还田及其与化肥的交互作用对其无显著影响(图 2b,图 2c)。
|
图 2 水稻孕穗期不同处理土壤氨氧化微生物功能基因丰度(a. AOA;b. AOB;c. Clade A;d. Clade B) Fig. 2 Soil amoA gene abundance of ammonia-oxidizers under different treatments during the rice booting stage(a. AOA; b. AOB; c. Clade A; d. Clade B) |
如图 3所示,水稻成熟期不同处理间土壤AOA和完全氨氧化菌Clade B丰度无显著差异。与CK处理相比,G处理中AOB丰度无显著变化,而C、GC和GCT20处理中AOB丰度分别显著增加了138.7%、164.7%和49.78%。与C处理相比,GC处理中AOB丰度无明显变化,但GCT20中AOB丰度显著下降了37.26%(图 3b)。CK处理中完全氨氧化菌Clade A丰度为0.87 × 108 copies g–1,与CK相比,G处理中Clade A丰度无显著变化,而C和GC处理则显著增加,增幅分别为110.6%和105.8%。与C处理相比,GC处理中Clade A丰度无明显变化,但GCT20中Clade A丰度显著下降了45.84%(图 3c)。双因素方差分析表明,化肥显著影响AOB和Clade A丰度,而紫云英还田及其与化肥的交互作用对其无显著影响(图 3b,图 3c)。
|
图 3 水稻成熟期不同处理土壤氨氧化微生物功能基因丰度(a. AOA;b. AOB;c. Clade A;d. Clade B) Fig. 3 Soil amoA gene abundance of ammonia-oxidizers under different treatments during the rice mature stage(a. AOA; b. AOB; c. Clade A; d. Clade B) |
所有氨氧化微生物功能基因丰度在水稻不同生育期两两之间的差异基本均达到了显著水平(图 4)。所有氨氧化微生物功能基因丰度均表现为成熟期、孕穗期、分蘖期依次下降的趋势。
|
注Note:*,P < 0.05;**,P < 0.01;***,P < 0.001. 图 4 水稻不同生育期土壤氨氧化微生物功能基因丰度(a. AOA;b. AOB;c. Clade A;d. Clade B) Fig. 4 Soil amoA gene abundance of ammonia-oxidizers under different rice growth stages(a. AOA; b. AOB; c. Clade A; d. Clade B |
相关性分析(图 5)表明,水稻分蘖期、孕穗期和成熟期,土壤AOA、Clade B丰度与土壤基础理化性质均无显著相关。分蘖期,AOB丰度与pH、NH4+、AP含量显著正相关;Clade A丰度与AP含量显著正相关。孕穗期,AOB丰度与AP含量显著正相关;而Clade A丰度与pH显著正相关,与SOC和NH4+含量显著负相关。成熟期,AOB和Clade A丰度与NO3–、AP含量均呈显著正相关。水稻三个生育期中,AOA和Clade B丰度与NO3–含量显著正相关,与DOC和NH4+含量显著负相关。AOB丰度与NO3–和AP显著正相关;而Clade A丰度与NO3–含量显著正相关,与NH4+含量显著负相关。此外,随机森林分析表明,NO3–是预测AOA和Clade B丰度最关键的环境因子(图 6a,图 6d)。AP和NH4+分别是预测AOB和Clade A丰度最关键的环境因子(图 6b,图 6c)。
|
注:皮尔森相关性系数用不同颜色表示,红色代表负相关,蓝色代表正相关(*,P < 0.05;**,P < 0.01;***,P < 0.001)。 Note: Pearson's coefficients are shown in different colors, red denotes negative correlation and blue denotes positive correlation(*, P < 0.05;**, P < 0.01;***, P < 0.001). 图 5 水稻不同生育期土壤氨氧化微生物功能基因丰度与土壤理化性质间的相关性 Fig. 5 Correlation analysis between soil amoA gene abundance of ammonia-oxidizers and soil physiochemical properties at different rice growth stages |
|
注:MSE代表均方误差,黑色图柱代表有显著性,灰色图柱代表无显著性。 Note: MSE represents mean square error. The black column represents a significant correlation, and the grey column represents no significant correlation. 图 6 氨氧化微生物功能基因丰度与土壤理化性质的随机森林分析(a. AOA;b. AOB;c. Clade A;d. Clade B) Fig. 6 Random forest analysis between soil amoA gene abundance of ammonia-oxidizers and soil physiochemical properties(a. AOA; b. AOB; c. Clade A; d. Clade B) |
紫云英作为豆科绿肥,能够改善土壤酸碱性,增加土壤肥力和养分供应,为水稻生长提供良好的土壤环境[8,22-23]。本研究发现,水稻分蘖期紫云英还田后红壤水稻土的pH和TN含量显著提升;孕穗期与成熟期紫云英还田处理的SOC含量较CK也显著提高,增幅分别为37.92%和19.21%(表 2)。这可能是因为紫云英残体分解释放的盐基离子一定程度上缓解了土壤酸化,同时紫云英腐解及其根系的固氮作用为土壤提供外源碳氮供给,从而提升了土壤碳氮养分含量[24-25]。先前研究表明,紫云英还田可减施化肥20%~40%,紫云英与化肥配施可减少养分流失,其中化肥快速释放养分供水稻前期生长,而紫云英腐解相对较慢,可持续释放养分,两者配施可进一步提高养分利用率[12,22,26]。此外,与水稻分蘖期和孕穗期相比,水稻成熟期的土壤NH4+含量显著下降,而NO3–含量显著增加(表 2)。一方面,稻田土壤铵态氮主要来源于有机肥分解和化肥施用,本试验水稻生长前期40%的化肥作为分蘖肥使用,化肥氮易快速水解为NH4+,同时紫云英还田腐解也会释放NH4+,但随着水稻生长,NH4+淋溶损失、挥发、被植物吸收利用而显著下降,因而水稻分蘖期和孕穗期土壤NH4+含量显著高于成熟期[27-28]。另一方面,水稻分蘖期和孕穗期土壤处于淹水低氧条件,微生物将NO3–异化还原为NH4+,硝化作用则受到抑制;而水稻成熟期土壤透气性较好,NH4+易被微生物氧化为NO3–,稻田土壤NO3–含量得以提升[29-30]。
3.2 紫云英还田对土壤氨氧化微生物功能基因丰度的影响紫云英还田为土壤带来大量外源碳氮养分,可在一定程度上为氨氧化微生物的生长繁殖提供底物和能量。然而,目前有关紫云英还田后对氨氧化微生物功能基因丰度的影响研究仍较少。由于氨氧化微生物生态位偏好的差异,其基因丰度在不同土壤环境中存在明显的差异,从而对紫云英还田的响应也不同[11,14]。本研究发现,各处理中AOA和CladeB丰度均无显著变化(图 1,图 2,图 3),这可能是因为它们更喜欢底物浓度相对较低的贫瘠土壤环境,且具有较宽的生态位,紫云英还田或化肥施用对其影响较小[31-33]。值得注意的是,AOA和Clade B对于氨的亲和力并非保持不变,可能根据土壤环境中铵态氮含量进行适应性调节[34]。Gao等[35]研究发现,紫云英处理对AOB丰度无显著影响,但AOB丰度随化学氮肥施用量的增加而增加。Zhang等[15]研究发现化学氮肥显著增加了水稻土AOB和Clade A丰度,但对AOA和Clade B的影响较小。氨氧化微生物对各种形态氮源的适应能力和利用效率不同,一些微生物可能偏好于某种形态的氮源,对其他氮源则表现出较低的利用能力。本研究发现,化肥氮处理显著提高了稻田土壤AOB和Clade A丰度,而绿肥氮对其无显著影响(图 1,图 2,图 3)。可能的原因是:1)化肥可快速释放养分直接供氨氧化微生物利用,AOB和Clade A能够利用氨进行氨氧化反应,因而施用化肥氮可促进它们的生长和繁殖,进而增加其基因丰度[32]。2)绿肥氮源主要来自于植物残留物、根系分泌物及根瘤菌共生固氮,养分释放速率较慢[6];同时,紫云英腐解过程中,可能会释放硫化氢、氰化物、酚类化合物等有毒物质,这些物质会影响土壤微生物的结构和功能,抑制AOB和Clade A基因丰度,从而抵消其腐解过程中释放的铵态氮对AOB和Clade A的促进作用[15,35]。此外,虽然绿肥腐解释放铵态氮,但当尿素与铵态氮共存时,AOB和Clade A可能会优先利用尿素,对铵态氮的利用则一定程度上受到抑制[34]。
除水稻分蘖期外,化肥减量20%(GCT20)处理中AOB和Clade A基因丰度较单施化肥处理(C)均显著下降,降幅为37.26%~46.88%(图 2,图 3))。原因可能是水稻分蘖期补施化肥,土壤养分充足,减施20%的化肥并不会影响AOB和Clade A基因丰度;而孕穗期和成熟期,水稻生长消耗大量养分,此时减少化肥输入量,土壤养分不足以供给AOB和Clade A生长繁殖。因此,AOB和Clade A对化肥氮的投入更加敏感,绿肥氮对其影响相对微弱。水稻不同生育期,所有氨氧化微生物功能基因丰度均表现为成熟期、孕穗期、分蘖期依次降低的趋势(图 4)。这可能是由于氨氧化微生物是好氧微生物,随着水稻的生长,其根系泌氧能力逐渐增强,氧化还原电位随之增高,有利于氨氧化微生物生长[30,36]。在成熟期,由于稻田排水,氧气供应能力最好,氨氧化微生物的丰度最高,即便是对底物浓度更敏感的AOB和Clade A也呈现一致的规律,尽管成熟期NH4+浓度较分蘖期和孕穗期减少,高强度的氧气供应也能显著提高其丰度。因此,氧气供应能力是稻田土壤氨氧化微生物丰度变化的重要调控因子(表 2,图 4),但在同一氧气供应水平,底物浓度也会显著影响AOB和Clade A丰度。值得注意的是,由于不同氨氧化微生物qPCR所选引物不同,对AOA、AOB、Clade A和Clade B丰度之间进行比较仍存在一定局限性,未来可通过宏基因组测序等方法获得更精确的数据,进一步明确氨氧化微生物丰度之间的差异。
4 结论紫云英还田可显著提高红壤性水稻土有机碳和全氮含量,对土壤分蘖期pH也有一定程度提升。所有氨氧化微生物功能基因丰度均在成熟期最高,孕穗期次之,分蘖期最低。紫云英还田和化肥施用对土壤AOA和Clade B丰度均无显著影响。化肥施用显著提高稻田土壤AOB和Clade A丰度,而紫云英还田对AOB和Clade A丰度的影响较小。因此,与化肥氮相比,紫云英还田不会迅速提高氨氧化微生物丰度,可能更有利于土壤氮素的保留。
| [1] |
He Z Y, Sun A Q, Jiao X Y, et al. Fertilization has a greater effect than rhizosphere on community structures of comammox Nitrospira in an alkaline agricultural soil[J]. Applied Soil Ecology, 2022, 175: 104456. DOI:10.1016/j.apsoil.2022.104456
( 0) |
| [2] |
Daims H, Lebedeva E V, Pjevac P, et al. Complete nitrification by Nitrospira bacteria[J]. Nature, 2015, 528(7583): 504-509. DOI:10.1038/nature16461
( 0) |
| [3] |
van Kessel M A H J, Speth D R, Albertsen M, et al. Complete nitrification by a single microorganism[J]. Nature, 2015, 528(7583): 555-559. DOI:10.1038/nature16459
( 0) |
| [4] |
Lin Y X, Ye G P, Ding W X, et al. Niche differentiation of comammox Nitrospira and canonical ammonia oxidizers in soil aggregate fractions following 27-year fertilizations[J]. Agriculture, Ecosystems & Environment, 2020, 304: 107147.
( 0) |
| [5] |
Lin Y X, Fan J B, Hu H W, et al. Differentiation of individual clusters of comammox Nitrospira in an acidic Ultisol following long-term fertilization[J]. Applied Soil Ecology, 2022, 170: 104267. DOI:10.1016/j.apsoil.2021.104267
( 0) |
| [6] |
Li C Y, He Z Y, Hu H W, et al. Niche specialization of comammox Nitrospira in terrestrial ecosystems: Oligotrophic or copiotrophic?[J]. Critical Reviews in Environmental Science and Technology, 2023, 53(2): 161-176. DOI:10.1080/10643389.2022.2049578
( 0) |
| [7] |
He C M, Wang F, Huang Y B, et al. Effects of chemical fertilizer reduction on rice yield and soil fertility in yellow-mud paddy field under the continuous return of milk vetch (In Chinese)[J]. Journal of Plant Nutrition and Fertilizers, 2023, 29(6): 1070-1081. [何春梅, 王飞, 黄毅斌, 等. 紫云英翻压条件下化肥减施对黄泥田水稻产量与土壤肥力的影响[J]. 植物营养与肥料学报, 2023, 29(6): 1070-1081.]
( 0) |
| [8] |
Xie X, Lu Y H, Liao Y L, et al. Effects of returning Chinese milk vetch and rice straw to replace partial fertilizers on double season rice yield and soil labile organic carbon (In Chinese)[J]. Scientia Agricultura Sinica, 2023, 56(18): 3585-3598. [谢雪, 鲁艳红, 廖育林, 等. 紫云英与稻草还田替代部分化肥对双季稻产量和土壤活性有机碳的影响[J]. 中国农业科学, 2023, 56(18): 3585-3598.]
( 0) |
| [9] |
Wang H, Tang S, Han S, et al. Effects of long-term substitution of chemical fertilizer with Chinese milk vetch on soil phosphorus availability and leaching risk in the double rice systems of eastern China[J]. Field Crops Research, 2023, 302: 109047. DOI:10.1016/j.fcr.2023.109047
( 0) |
| [10] |
Zhang Z H, Wang Y, Gao S J, et al. Effects of returning Chinese milk vetch and rice straw to the field on the nitrification potential of paddy soil (In Chinese)[J]. Journal of Plant Nutrition and Fertilizers, 2021, 27(11): 1938-1948. [章子含, 王赟, 高嵩涓, 等. 紫云英与稻秸还田对稻田土壤硝化潜势的影响[J]. 植物营养与肥料学报, 2021, 27(11): 1938-1948.]
( 0) |
| [11] |
Gao S J, Cao W D, Zou C Q, et al. Ammonia-oxidizing archaea are more sensitive than ammonia-oxidizing bacteria to long-term application of green manure in red paddy soil[J]. Applied Soil Ecology, 2018, 124: 185-193. DOI:10.1016/j.apsoil.2017.09.041
( 0) |
| [12] |
Liu C Z, Chang D N, Li B Y, et al. Effects of planting and incorporation of Chinese milk vetch coupled with application of chemical fertilizer on active organic carbon and nitrogen in paddy soil (In Chinese)[J]. Acta Pedologica Sinica, 2017, 54(3): 657-669. [刘春增, 常单娜, 李本银, 等. 种植翻压紫云英配施化肥对稻田土壤活性有机碳氮的影响[J]. 土壤学报, 2017, 54(3): 657-669.]
( 0) |
| [13] |
Deng H Y, Liu Z K, Ma X Z, et al. Effect of long-term fertilization on black soil fungal community diversity and structure in Northeast China (In Chinese)[J]. Journal of Fujian Normal University(Natural Science Edition), 2024, 40(1): 69-75. [邓慧玉, 刘子恺, 马星竹, 等. 长期施肥处理对东北黑土真菌多样性和群落结构的影响[J]. 福建师范大学学报(自然科学版), 2024, 40(1): 69-75.]
( 0) |
| [14] |
Xiang X J, He D, He J S, et al. Ammonia-oxidizing bacteria rather than archaea respond to short-term urea amendment in an alpine grassland[J]. Soil Biology and Biochemistry, 2017, 107: 218-225. DOI:10.1016/j.soilbio.2017.01.012
( 0) |
| [15] |
Zhang K, Sun H F, Kang Y C, et al. Comammox plays a functionally important role in the nitrification of rice paddy soil with different nitrogen fertilization levels[J]. Applied Soil Ecology, 2024, 193: 105120. DOI:10.1016/j.apsoil.2023.105120
( 0) |
| [16] |
Chang D N, Wang H, Zhou G P, et al. Yield and nitrogen uptake of rice and soil nitrogen supply capacity under fertilizer reduction in a rice-rice-Chinese milk vetch rotation system, northern Jiangxi Province, China (In Chinese)[J]. Journal of Plant Nutrition and Fertilizers, 2023, 29(8): 1449-1460. [常单娜, 王慧, 周国朋, 等. 赣北地区稻-稻-紫云英轮作体系减施化肥对水稻产量、氮素吸收及土壤供氮能力的影响[J]. 植物营养与肥料学报, 2023, 29(8): 1449-1460.]
( 0) |
| [17] |
Gao S J, Cao W D, Zhou G P, et al. Bacterial communities in paddy soils changed by milk vetch as green manure: A study conducted across six provinces in South China[J]. Pedosphere, 2021, 31(4): 521-530. DOI:10.1016/S1002-0160(21)60002-4
( 0) |
| [18] |
Lu R K. Analytical methods for soil and agro-chemistry (In Chinese). Beijing: China Agricultural Science and Technology Press, 2000. [鲁如坤. 土壤农业化学分析方法[M]. 北京: 中国农业科技出版社, 2000.]
( 0) |
| [19] |
Duan C J, Wan S, Fan J B, et al. Effects of long-term pig manure applications on the abundance of comammox bacteria in an Ultisol (In Chinese)[J]. Acta Ecologica Sinica, 2023, 43(2): 849-857. [段春健, 宛颂, 樊剑波, 等. 长期施用猪粪对红壤完全氨氧化菌基因丰度的影响[J]. 生态学报, 2023, 43(2): 849-857.]
( 0) |
| [20] |
Tang X F, Qin H, Kuang L, et al. Metagenomics based study on community characteristics of ammonia oxidizing microorganisms in acid forest soil (In Chinese)[J]. Acta Pedologica Sinica, 2021, 58(5): 1311-1321. [唐修峰, 秦华, 匡璐, 等. 基于宏基因组学的酸性森林土壤氨氧化微生物群落特征研究[J]. 土壤学报, 2021, 58(5): 1311-1321.]
( 0) |
| [21] |
Jiang R, Wang J G, Zhu T, et al. Use of newly designed primers for quantification of complete ammonia-oxidizing(comammox)bacterial clades and strict nitrite oxidizers in the genus Nitrospira[J]. Applied and Environmental Microbiology, 2020, 86(20): e01775-e01720.
( 0) |
| [22] |
Gao S J, Zhou G P, Cao W D. Effects of milk vetch(Astragalus sinicus)as winter green manure on rice yield and rate of fertilizer application in rice paddies in South China (In Chinese)[J]. Journal of Plant Nutrition and Fertilizers, 2020, 26(12): 2115-2126. [高嵩涓, 周国朋, 曹卫东. 南方稻田紫云英作冬绿肥的增产节肥效应与机制[J]. 植物营养与肥料学报, 2020, 26(12): 2115-2126.]
( 0) |
| [23] |
Wang H, Zhang L, Chang D N, et al. Nutrient absorption and transport characteristics of rice under different nitrogen reduction ratios in a Chinese milk vetch and rice rotation system in southern Henan Province, China (In Chinese)[J]. Journal of Plant Nutrition and Fertilizers, 2022, 28(7): 1194-1207. [王慧, 张琳, 常单娜, 等. 豫南紫云英水稻轮作区减施不同比例氮肥对水稻养分吸收和转运的影响[J]. 植物营养与肥料学报, 2022, 28(7): 1194-1207.]
( 0) |
| [24] |
Gao J S, Cao W D, Li D C, et al. Effects of long-term double-rice and green manure rotation on rice yield and soil organic matter in paddy field (In Chinese)[J]. Acta Ecologica Sinica, 2011, 31(16): 4542-4548. [高菊生, 曹卫东, 李冬初, 等. 长期双季稻绿肥轮作对水稻产量及稻田土壤有机质的影响[J]. 生态学报, 2011, 31(16): 4542-4548.]
( 0) |
| [25] |
Xu J M, Tang C, Chen Z L. The role of plant residues in pH change of acid soils differing in initial pH[J]. Soil Biology and Biochemistry, 2006, 38(4): 709-719. DOI:10.1016/j.soilbio.2005.06.022
( 0) |
| [26] |
Wang F, Lin C, Lin X J, et al. Effects of continuous turnover of Astragalus sinicus on rice yield and N absorption, distribution and residue in single-cropping rice regions of Fujian Province (In Chinese)[J]. Journal of Plant Nutrition and Fertilizer, 2014, 20(4): 896-904. [王飞, 林诚, 林新坚, 等. 连续翻压紫云英对福建单季稻产量与化肥氮素吸收、分配及残留的影响[J]. 植物营养与肥料学报, 2014, 20(4): 896-904.]
( 0) |
| [27] |
Zhang L, Huang J, Gao J S, et al. Effects of long-term green manure and reducing nitrogen applications on rice yield and soil nutrient content (In Chinese)[J]. Transactions of the Chinese Society of Agricultural Engineering, 2020, 36(5): 106-112. [张璐, 黄晶, 高菊生, 等. 长期绿肥与氮肥减量配施对水稻产量和土壤养分含量的影响[J]. 农业工程学报, 2020, 36(5): 106-112.]
( 0) |
| [28] |
Gao J S, Xu M G, Dong C H, et al. Effects of long-term rice-rice-green manure cropping rotation on rice yield and soil fertility (In Chinese)[J]. Acta Agronomica Sinica, 2013, 39(2): 343-349. [高菊生, 徐明岗, 董春华, 等. 长期稻-稻-绿肥轮作对水稻产量及土壤肥力的影响[J]. 作物学报, 2013, 39(2): 343-349.]
( 0) |
| [29] |
Vajrala N, Martens-Habbena W, Sayavedra-Soto L A, et al. Hydroxylamine as an intermediate in ammonia oxidation by globally abundant marine archaea[J]. Proceedings of the National Academy of Sciences of the United States of America, 2013, 110(3): 1006-1011.
( 0) |
| [30] |
Sun M, Nie S A, Long Z D, et al. Response of paddy soil anammox bacteria to rice straw returning and different tillage practices (In Chinese)[J]. Acta Pedologica Sinica, 2022, 59(6): 1695-1703. [孙梅, 聂三安, 龙泽东, 等. 水稻土厌氧氨氧化对不同耕作方式与秸秆还田的响应[J]. 土壤学报, 2022, 59(6): 1695-1703.]
( 0) |
| [31] |
Wang Z H, Cao Y Q, Zhu-Barker X, et al. Comammox Nitrospira clade B contributes to nitrification in soil[J]. Soil Biology and Biochemistry, 2019, 135: 392-395.
( 0) |
| [32] |
Ouyang Y, Evans S E, Friesen M L, et al. Effect of nitrogen fertilization on the abundance of nitrogen cycling genes in agricultural soils: A meta-analysis of field studies[J]. Soil Biology and Biochemistry, 2018, 127: 71-78.
( 0) |
| [33] |
Deng M L, Lin Y X, Ye G P, et al. Effects of forest types on the abundance of fungal denitrifiers in soil aggregates from a subtropical forest (In Chinese)[J]. Journal of Fujian Normal University(Natural Science Edition), 2024, 40(1): 45—51, 68. [邓米林, 林永新, 叶桂萍, 等. 林分类型对亚热带森林土壤团聚体中真菌反硝化微生物丰度的影响[J]. 福建师范大学学报(自然科学版), 2024, 40(1): 45—51, 68.]
( 0) |
| [34] |
Qin W, Wei S P, Zheng Y, et al. Ammonia-oxidizing bacteria and archaea exhibit differential nitrogen source preferences[J]. Nature Microbiology, 2024, 9(2): 524-536.
( 0) |
| [35] |
Gao S J, Zhou G P, Liao Y L, et al. Contributions of ammonia-oxidising bacteria and archaea to nitrification under long-term application of green manure in alkaline paddy soil[J]. Geoderma, 2020, 374: 114419.
( 0) |
| [36] |
Han Y Y, Wu Y H, Li D, et al. Advancements in research on microbe-mediated greenhouse gas emissions at the rice paddy soil-water interface and agricultural mitigation strategies (In Chinese)[J]. Research of Environmental Sciences, 2023, 36(12): 2369-2381. [韩燕云, 吴永红, 李丹, 等. 微生物介导的稻田水土界面温室气体排放及其农事减排措施研究进展[J]. 环境科学研究, 2023, 36(12): 2369-2381.]
( 0) |
2025, Vol. 62



0)