2. 北京师范大学地表过程与资源生态国家重点实验室, 北京 100875;
3. 西北农林科技大学水土保持科学与工程学院, 陕西杨凌 712100
2. State Key Laboratory of Earth Surface Processes and Resource Ecology, Beijing Normal University, Beijing 100875, China;
3. College of Soil and Water Conservation Science and Engineering, Northwest A & F University, Yangling, Shaanxi 712100, China
东北黑土区是保障我国粮食安全的压舱石,亦是我国重要的生态安全屏障。据统计,总面积约为108.75万km2的东北黑土区,其水土流失面积为21.41万km2,占区域国土面积的19.68%,其中水蚀和风蚀面积分别为13.64和7.77万km2;平均侵蚀强度为2 000~3 000 t⋅km–2·a–1,黑土层正以年均0.3~1 cm的速度被剥蚀[1-3]。土壤侵蚀直接导致黑土土层变薄、有机质含量下降和土壤结构变差,是黑土耕地面临的主要威胁之一。研究该区土壤侵蚀对土壤质量和生产力的影响,对于土壤允许流失量的制定、退化土壤的修复及黑土地农业可持续发展等具有重要理论指导意义。
土壤侵蚀直接影响土壤理化和生物性质,进而影响作物生产力。关于土壤侵蚀对土壤质量或生产力的影响已有大量研究[4-5],如随侵蚀程度增加,热带湿润地区土壤质量指数和生产力指数逐渐下降[6];模拟侵蚀降低了加拿大南部土壤质量和小麦产量,有机肥改善土壤质量和生产力的效果依赖于土壤有机碳含量[7];模拟侵蚀下东北黑土土壤有机质、全氮、碱解氮、全磷、速效磷含量和田间持水率均随侵蚀厚度的增加而递减,土壤容重随侵蚀厚度的增加而递增[8];黑土层损失导致玉米和大豆产量降低,且玉米更敏感[9-11]。上述研究在一定程度上揭示了侵蚀对原位土壤性质和生产力的影响,但土壤侵蚀对土壤质量和生产力的影响因降雨、下垫面地形、土壤和作物等的不同而不同,大多数研究仅仅是定性描述,缺乏土壤侵蚀对土壤质量和生产力影响的定量评估。
由于土壤退化过程缓慢,评估土壤侵蚀对土壤质量和生产力的定量影响较为困难。目前国内外关于这方面的试验研究,大多采用直接削土法。但由于直接削土法对土壤性质的干扰程度远超过自然条件下缓慢发生的侵蚀过程,因而其高估了侵蚀对土壤质量和生产力的影响程度[12]。为解决此问题,王志强等[13]通过模拟耕作与土壤侵蚀对土壤剖面共同作用的影响过程,建立了土壤侵蚀与生产力关系长期试验,该试验避免了一次性削土法模拟土壤侵蚀造成的强烈扰动问题,从而使土壤侵蚀模拟更切合实际。初期3年(2005—2007年)研究结果发现:大豆产量随侵蚀深度的增加呈指数递减,其随侵蚀深度减产的主导因素是土壤有机质含量、土壤氮、磷养分含量的降低,其次为土壤容重增大,持水能力下降[13]。后续研究又发现土壤酶活性(过氧化氢酶、纤维素酶、β-葡萄糖苷酶、脲酶活性)随侵蚀程度增加呈指数降低[14]。该试验至2022年已持续18年(始于2005年),虽然试验小区建成后,再无明显侵蚀发生,但基于监测资料初步分析发现,不同侵蚀程度下土壤施肥与不施肥管理条件下的土壤性质和生产力随着时间的延长在不断发生变化,其变化趋势及其驱动机制需长时间序列的观测和深入研究。本文仅重点关注2022年这个时间节点侵蚀与施肥管理对土壤理化生性质、土壤质量和玉米产量的影响,研究结果对阐明黑土土壤质量演化过程及提高东北黑土土壤质量和生产力有一定的理论指导价值。
1 材料与方法 1.1 研究区概况研究区位于黑龙江省农垦总局九山管局鹤山农场六队,北京师范大学九三水土保持科学试验基地(8°59′55″N,125°17′35″E)。试验区属温带大陆性季风气候,全年平均气温0.4℃,无霜期约115 d,多年平均降水量约530 mm,且降水主要集中在6—9月。试验区地形属于松嫩平原北部丘陵漫岗区,地面坡度大都在5°以下,土壤侵蚀以水蚀为主。自然植被属于温带半湿润草甸草原,土壤属典型黑土,土层厚度一般为30~100 cm,主要作物为大豆、小麦和玉米。
1.2 试验处理与小区布设试验采用削土法与配置不同侵蚀程度耕层土壤相结合的方法,使所模拟不同侵蚀程度的土壤剖面特性与自然侵蚀和耕作条件下的土壤剖面特性接近。模拟配土的基本思想是,农地耕层土壤被侵蚀剥离一层后,耕作使犁底层的土壤被翻出与耕层土壤混合,侵蚀再剥离一层后,犁底层的土壤又被翻出一层与耕层土壤混合,这种过程反复进行,使原来表土不是一次性地被削去,而是一个逐渐被稀释的过程。本研究假设每年侵蚀厚度(d)与从犁底层翻至耕作层的厚度相同,经过n年侵蚀后,耕层物质组成(m')为:
| $ m' = {h_0}{\left( {1 - \frac{d}{m}} \right)^n} + \mathop \sum \limits_{i = n - 1}^0 d \times {\left( {1 - \frac{d}{m}} \right)^i} $ | (1) |
式中,h0为模拟侵蚀之前耕层土壤(假设为20 cm);m为耕作层厚度,cm;n为侵蚀年限,i=0,1,2,…,n。假设m和d分别为20 cm和0.5 cm/a,根据式(1)可推算出侵蚀不同年限的剖面土壤构成。具体野外配土方法参见王志强等[13]。
试验采用小区试验,布设于2005年。试验设侵蚀程度(侵蚀深度)和施肥两个因素,其中侵蚀深度分别为0、10、20、30、40、50、60和70 cm共8个水平,分别对应侵蚀年限为0、20、40、60、80、100、120和140年;施肥设当地推荐的田间施肥和未施肥两个水平,共16个处理,每个处理3个重复,田间试验按照完全随机区组试验方案排列,共48个小区。每小区面积为16 m2(4 m×4 m),小区之间间隔2 m,四周插有高20 cm的铁皮,以防小区内土壤与四周土壤混合。
试验小区作物种植采取大豆与小麦或玉米轮作的方式(2005—2014年,连续4年大豆与1年春小麦轮作;2014—2018年,连续2年大豆和连续2年玉米轮作;2018—2022年,1年大豆1年玉米),大豆、小麦和玉米的播种和收获等均与当地大田生产进程保持同步。大豆每年5月中旬播种,9月末收获;春小麦于每年4月初至4月中旬播种,8月末收获;玉米每年5月中上旬播种,10月初收割。播种和收获均由人工操作。小麦的种植密度为每公顷600万株,大豆的种植密度为每公顷40万粒,玉米种植密度每公顷9~10万株,施肥小区的施肥量按当地大田推荐量施肥,均在播种时搅拌均匀一次性施入。所有小区均不灌溉。2022年种植作物为玉米,品种为益农14,玉米5月7日播种,9月28日收获。施肥小区的施肥量(尿素100 kg·hm–2,磷酸二铵200 kg·hm–2,硫酸钾150 kg·hm–2)折合为N、P2O5、K2O的施用量分别为82.6、92、75 kg·hm–2。
1.3 土壤样品采集及测定方法2022年8月采集0~20 cm土壤样品进行理化性质和土壤酶活性分析。采样时用土钻取试验小区内均匀分布的9个采样点的土样进行充分混合,取部分土用烘干法测定土壤含水量,剩余土壤用镊子剔除植物残体、石块后,先取约200 g装入灭菌袋内,置于4 ℃便携式冰箱中冷藏,用于测定土壤酶活性和微生物生物量碳及微生物生物量氮;再取一部分风干、磨碎并过筛,用于土壤理化性质的测定。
土壤容重测定用环刀取样,烘干法测定土壤含水量;土壤颗粒组成采用吸管法;pH采用电极电位法,水土比为2.5︰1。土壤有机质测定采用重铬酸钾容量—外加热法;碱解氮采用碱解扩散—硼酸滴定法测定;速效磷采用NaHCO3浸提—钼锑抗比色法测定;速效钾采用NH4OAc浸提—火焰光度法测定;土壤酶活性的测定内容包括过氧化氢酶、脲酶、β-葡萄糖苷酶、纤维素酶活性。过氧化氢酶活性测定采用高锰酸钾滴定法[15],脲酶活性测定采用苯酚钠-次氯酸钠比色法[16],β-葡萄糖苷酶活性测定采用对硝基苯酚比色法[17],纤维素酶活性测定采用3,5-二硝基水杨酸比色法[18]。为尽可能消除误差,每样品进行3次重复,以保证试验精度。
1.4 数据处理与统计分析 1.4.1 土壤质量指数(SQI)计算由于不同土壤质量指数计算方法得到的结果可能并不相同,本研究选择两种土壤质量指数计算方法。第一种方法为等权重加和方法,简称加和法。将所有土壤理化生性质用如下公式归一化来获得每一土壤指标的得分[19]:
| $ {S_{\text{i}}} = {x_i}/{x_{max}} $ | (2) |
| $ {S_{\text{j}}} = {x_{min}}/{x_j} $ | (3) |
式中,S介于0~1之间,为每一指标的线性得分;
土壤质量指数(SQI-M1)按以下公式计算[20]:
| $ {\text{SQI}} - {\text{M}}1 = 0.5 \times \sum S_i^2 \times \sin \left( {\frac{{2{{\rm{\mathsf{π}}}}}}{n}} \right) $ | (4) |
式中,Si为第i个指标的线性得分,n为土壤指标数。
第二种方法考虑不同因子的权重,简称为权重法[21]。利用模糊数学中的隶属度函数进行标准化,土壤容重和pH选取抛物线型公式进行标准化(式(5)),而其他指标选取S型公式进行标准化(式(6))[22]。各指标的隶属度值F(x)计算公式如下:
| $ {\text{F}}{x_i} = \left\{ \begin{array}{l} 0.1\;\;\;\;\;\;\;\;\;\;\;\;\;\;\;\;\;\;\;\;\;\;\;\;\;\;\;\;\;\;\;x{\text{ < }}{x_{min}}\;or\;x > {x_{max}} \hfill \\ 0.9 \times \frac{{x - {x_{min}}}}{{{x_{max}} - {x_{min}}}} + 0.1\;\;\;\;\;\;\;\;\;\;\;{x_{min}} \leqslant x \leqslant {x_{01}} \hfill \\ 1.0\;\;\;\;\;\;\;\;\;\;\;\;\;\;\;\;\;\;\;\;\;\;\;\;\;\;\;\;\;\;\;\;\;\;\;\;\;\;{x_{01}} \leqslant x \leqslant {x_{02}} \hfill \\ 0.9 \times \frac{{{x_{max}} - x}}{{{x_{max}} - {x_{02}}}} + 0.1\;\;\;\;\;\;\;\;\;\;\;{x_{02}} \leqslant x \leqslant {x_{max}} \hfill \\ \end{array} \right. $ | (5) |
| $ {\text{F}}\left( {{x_i}} \right) = \left\{ {\begin{array}{*{20}{c}} {1.0\;\;\;\;{x_{max}} \leqslant x} \\ {0.9 \times \frac{{x - {x_{min}}}}{{{x_{max}} - {x_{min}}}}} \\ {0.1\;\;\;\;\;\;x \leqslant {x_{min}}} \end{array}} \right. + 0.1\;\;\;\;\;{x_{min}} \leqslant x \leqslant {x_{max}} $ | (6) |
式中,x为某一指标的测定值,容重的
各指标的权重(
| $ {W_i} = {\text{C}}{{\text{C}}_i}/\mathop \sum \limits_{i = 1}^n {\text{C}}{{\text{C}}_i} $ | (7) |
CCi为第i项土壤质量评价指标的因子载荷。
土壤质量指数(SQI-M2)的计算如下:
| $ {\text{SQIM}}2 = \mathop \sum \limits_{i = 1}^n \left[ {F\left( {{x_i}} \right) \times {W_i}} \right] $ | (8) |
利用双因素方差分析评价侵蚀程度和施肥对土壤理化生性质、土壤质量指数和玉米产量的影响,利用皮尔森(Pearson)相关分析研究土壤理化性质间相互关系,利用两段线性函数对土壤质量指数和玉米产量进行模拟,求得土壤质量和玉米产量骤降的阈值深度。利用多元线性回归中的进入法和逐步分析法寻求影响施肥和不施肥条件下土壤质量与产量的关键因素。两段线性函数模拟用Sigmaplot 10.0软件外,其他均用SPSS14.0软件进行。图中土壤性质、土壤质量指数和产量数据均为平均值±标准误。
2 结果 2.1 模拟侵蚀和施肥对土壤物理、化学和生物性质的影响土壤物理性质方面(图 1),侵蚀程度对土壤容重和黏粒含量有显著影响(容重:P < 0.001;黏粒含量:P < 0.05)。随侵蚀深度增加,土壤容重逐渐增大,黏粒含量逐渐降低,侵蚀深度70 cm时的土壤容重较未发生侵蚀时的土壤容重增加了17.4%,黏粒含量则降低了15.1%。施肥导致土壤容重显著下降(P < 0.05),黏粒含量显著增加(P < 0.001),变化程度分别为3.7% 和11.7%,侵蚀程度和施肥对土壤含水量影响不显著,其交互作用对土壤容重、黏粒含量和土壤含水量的影响均不显著。
|
注:ED和F分别代表侵蚀深度与施肥,+F和-F分别为施肥和不施肥处理;下同。 Note:ED and F indicate erosion depth and fertilization,respectively. +F and -F are fertilized and unfertilized treatments. ns P > 0.05,* P < 0.05,** P < 0.01,*** P < 0.001. The same as below. 图 1 模拟侵蚀和施肥对土壤理化性质的影响 Fig. 1 Effects of simulated erosion and fertilization on soil physical and chemical properties |
土壤化学性质方面(图 1),侵蚀程度对土壤pH无显著影响,但对土壤有机碳、碱解氮、速效磷和速效钾含量有极显著影响(有机碳、碱解氮和速效磷含量:P < 0.001;速效钾含量:P < 0.01)。随侵蚀深度增加,有机碳、碱解氮、速效磷含量显著下降,速效钾含量显著增加,且主要变化发生在侵蚀深度为40 cm前。与未发生侵蚀相比,侵蚀深度70 cm时的土壤有机碳、碱解氮、速效磷含量分别降低41.6%、44.0%、62.4%,速效钾含量增加20.4%。施肥显著降低土壤pH(P < 0.001)和速效钾含量(P < 0.01),增加有机碳(P < 0.01)、碱解氮(P < 0.01)、速效磷含量(P < 0.001)。施肥后土壤pH平均降低7.2 %,速效钾含量降低8.3%,有机碳、碱解氮、速效磷含量分别增加9.9%、11.7%、918.0%。侵蚀和施肥的交互作用仅对pH和速效磷含量的影响达到显著。
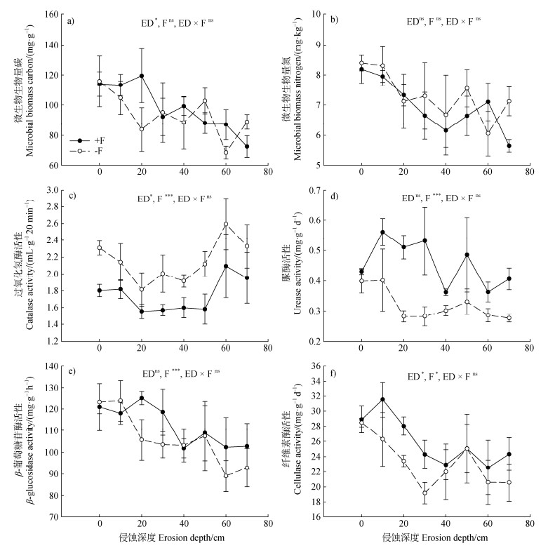
土壤生物性质方面(图 2),侵蚀程度显著影响微生物生物量碳含量、过氧化氢酶和纤维素酶活性(P < 0.05)。随侵蚀深度增加,微生物生物量碳含量和纤维素酶活性显著下降,但过氧化氢酶活性则呈现U型变化,过氧化酶活性在侵蚀深度小于20 cm时随侵蚀深度增加而下降,侵蚀深度20~50 cm间变化不明显,此后随侵蚀深度增加而增加。施肥对微生物生物量碳和微生物生物量氮含量影响不显著,但显著影响4种酶的活性(过氧化氢酶、脲酶和β-葡萄糖苷酶活性:P < 0.001;纤维素酶活性:P < 0.05)。施肥显著降低了过氧化氢酶活性,但增加了脲酶、β-葡萄糖苷酶、纤维素酶活性。侵蚀和施肥的交互作用对微生物生物量碳、微生物生物量氮含量和4种酶活性影响均不显著。
|
图 2 模拟侵蚀和施肥对土壤生物性质的影响 Fig. 2 Effects of simulated erosion and fertilization on soil biological properties |
利用皮尔森相关分析研究了土壤理化生性质间的相关性(表 1)。总体而言,土壤有机碳含量与黏粒含量、碱解氮、速效磷、微生物生物量碳、微生物生物量氮、β-葡萄糖苷酶活性、纤维素酶活性之间呈显著正相关,碱解氮含量亦与上述土壤性质(黏粒含量、速效磷、微生物生物量碳、微生物生物量氮、β-葡萄糖苷酶活性、纤维素酶活性)之间呈显著正相关,但速效钾和容重与这些土壤性质间大多呈现显著负相关。无论施肥与不施肥处理,pH、过氧化氢酶与其他土壤性质之间均无显著相关性。不施肥处理的脲酶活性与7个土壤性质(土壤有机碳、碱解氮、速效磷、微生物生物量碳、微生物生物量氮、β-葡萄糖苷酶、纤维素酶活性)之间呈显著正相关,但施肥处理脲酶活性仅与β-葡萄糖苷酶、纤维素酶活性之间呈显著正相关;不施肥处理容重与8个土壤性质(土壤含水量、有机碳、碱解氮、微生物生物量碳、微生物生物量氮、脲酶活性、β-葡萄糖苷酶活性、纤维素酶活性)间呈显著负相关,施肥处理容重与5个土壤性质(有机碳、碱解氮、速效钾、微生物生物量碳、β-葡萄糖苷酶活性、纤维素酶活性)间呈显著负相关,表明施肥削弱了土壤脲酶、容重与其他土壤性质之间的相关关系。
|
|
表 1 土壤理化生性质间的皮尔森相关性(n=8) Table 1 Pearson correlation between soil physical, chemical and biological properties(n=8) |
两种方法计算的土壤质量指数呈显著正相关(R2=0.943,P < 0.001,n=16)。模拟侵蚀程度对土壤质量指数均有极显著影响(P < 0.001),但施肥仅对加和法计算的土壤质量指数有极显著影响(P < 0.01),而对加权法法计算的土壤质量指数无显著影响(P > 0.05),侵蚀程度对土壤质量指数的影响大于施肥(图 3)。利用两段线性函数求得了土壤质量指数急剧下降的侵蚀深度阈值,发现对不施肥处理而言,侵蚀深度在20 cm以前,两种方法计算的土壤质量指数快速下降,此后随侵蚀深度增加,土壤质量指数下降缓慢;而对施肥处理而言,在侵蚀深度约40 cm前(加和法和加权法计算的侵蚀深度阈值分别为40.0和38.9 cm)土壤质量指数急剧下降,40 cm后变化不明显。施肥对土壤质量的改善主要发生在侵蚀深度小于40 cm,施肥减缓了土壤质量指数下降的幅度,推迟了土壤质量指数急剧下降的深度;使土壤质量指数平均增加7.0%。
|
注:图中连线表示两段线性函数的模拟结果。Note:Lines represent the modelling results by two-segmented linear functions. 图 3 模拟侵蚀和施肥对两种方法计算的土壤质量指数(a为加和法,b为加权法)的影响 Fig. 3 Effects of simulated erosion and fertilization on soil quality index calculated by the additive method(a)and weighting method(b) |
模拟侵蚀深度和施肥对玉米产量均有极显著影响(侵蚀深度:P < 0.01;施肥:P < 0.001),且施肥对产量的影响大于侵蚀深度(图 4a)。随侵蚀深度增加,玉米产量逐渐下降,且其下降主要发生在侵蚀深度为39.5 cm(不施肥处理)和35.6 cm(施肥处理)之前。侵蚀深度40 cm时,不施肥处理和施肥处理的产量分别下降45.8%和11.7 %。施肥显著提升玉米产量,与不施肥处理相比,在侵蚀深度为0、10、20、30、40、50、60、70 cm时,施肥处理的玉米产量较不施肥处理玉米产量分别增加2.0倍、2.7倍、3.0倍、2.9倍、3.9倍、3.5倍、2.7倍和3.5倍,平均增加3.0倍,且在侵蚀深度40~70 cm时的产量增加幅度要高于0~30 cm。侵蚀对千粒重无显著影响(图 4b),推测模拟侵蚀下产量的降低主要是穗粒数的减少(单位面积的穗数相对稳定),而施肥对产量的提升与千粒重的增加密切相关。
|
图 4 模拟侵蚀和施肥对玉米产量(a)和千粒重(b)的影响 Fig. 4 Effects of simulated erosion and fertilization on corn yields(a)and thousand-grain weight(b) |
玉米产量和两种方法计算的土壤质量指数均呈显著正相关(表 2),土壤质量指数可解释不施肥处理玉米产量变异的59.0%(加和法)和64.2%(加权法),施肥处理玉米产量变异的73.9%(加和法)和74.2%(加权法),表明土壤质量是影响玉米产量的主要因素,且加权法计算的土壤质量指数与玉米产量的相关性更强。
|
|
表 2 玉米产量(Y)与土壤质量指数(SQI)间的回归关系 Table 2 Regression relationship between soil quality index(SQI)and corn yield(Y) |
由于侵蚀程度和施肥对土壤含水量和微生物量生物量氮无显著影响(图 1,图 2),因而用剩余的12个变量进行多元线性分析,首先通过进入法进行粗筛,然后通过逐步回归确定影响土壤质量和产量的主要因素(表 3)。结果表明:影响加和法计算的土壤质量指数(SQI-M1)的主要因素不施肥处理为:微生物生物量碳、纤维素酶活性和碱解氮含量,施肥处理则为:速效磷含量、纤维素酶活性、微生物生物量碳和有机碳含量;影响加权法计算的土壤质量指数(SQI-M2)的主要因素不施肥处理为:碱解氮含量、纤维素酶活性、微生物生物量碳和β-葡萄糖苷酶活性,施肥处理为纤维素酶活性、微生物生物量碳、速效磷含量和黏粒含量。虽然由于计算土壤质量指数的方法不同,影响土壤质量指数的主要因素略有不同,但归结起来不施肥处理主要为:纤维素酶活性、微生物生物量碳和碱解氮含量,而施肥处理则为:纤维素酶活性、微生物生物量碳和速效磷含量。影响侵蚀条件下产量的主要因素不施肥处理为碱解氮含量,而施肥处理则为速效磷含量。
|
|
表 3 影响土壤质量指数、产量主要因素的多元线性逐步回归分析 Table 3 Multivariate linear stepwise regression-based major soil properties affecting soil quality index and corn yield |
试验小区建立初期3年(2005—2007年)研究表明,随侵蚀深度增加,土壤容重显著增加,土壤黏粒、有机质、速效氮、速效磷含量均显著下降,但pH和速效钾含量无显著变化[13]。本研究在18年后的模拟侵蚀和施肥条件下,土壤容重、pH、黏粒含量、有机碳、碱解氮、速效磷的变化与上述研究相同,但侵蚀导致速效钾含量显著上升(图 1)。这与前人研究发现的随开垦历史延长速效钾含量增加[23]一致。推测连年耕作及冻融交替导致底土中富含钾的矿物K+释放量增加,且严重侵蚀下作物携出量降低,从而导致严重侵蚀下土壤速效钾含量增加。施肥导致土壤容重、pH、速效钾含量显著下降,黏粒含量和有机碳、碱解氮、速效磷含量显著增加(图 1)。施肥处理高的根系生长可能降低了土壤容重,土壤酸化导致矿物中K+释放,经土壤淋溶作用造成土壤速效钾含量下降。
侵蚀影响土壤微生物及酶活性已有一些报道[10,14,24-25]。本研究主要涉及微生物生物量碳、微生物生物量氮及过氧化氢酶、脲酶、β-葡萄糖苷酶和纤维素酶活性,其中过氧化氢酶主要参与过氧化氢分解,因而其活性能够表征土壤的氧化还原反应和微生物的活动强度;脲酶主要参与尿素、氨基酸等的分解,与土壤氮素循环密切相关;β-葡萄糖苷酶主要参与纤维二糖等糖苷类有机物的降解,纤维素酶主要参与纤维素、木质素等大分子的降解,二者均为与碳循环密切相关的酶[14]。前期研究表明:微生物生物量碳、微生物生物量氮、过氧化氢酶、纤维素酶、β-葡萄糖苷酶和脲酶活性均随土壤侵蚀程度增加而降低[14]。本研究亦发现随侵蚀深度增加微生物生物量碳、纤维素酶活性显著下降(图 2),原因可能与侵蚀导致的土壤有机碳供应能力下降和植物来源的纤维素、木质素等底物减少有关;但过氧化氢酶则呈现先降低后增加的变化趋势,侵蚀程度对β-葡萄糖苷酶和脲酶活性影响不显著(图 2),其原因可能与侵蚀程度、耕种年限、作物和生长条件、采样时期等不同有关。本研究中,施肥对微生物生物量碳和微生物生物量氮无显著影响,显著增加了脲酶、β-葡萄糖苷酶、纤维素酶活性,但降低了过氧化氢酶活性(图 2)。施肥对微生物生物量碳和微生物生物量氮的影响在不同研究中表现并不相同,一些研究表明微生物生物量碳含量与氮肥用量间存在显著正相关关系[26],另一些研究表明:长期施用氮肥降低了高羊茅生长土壤的微生物生物量碳和微生物生物量氮[27]。本研究中施肥增加了与C和N代谢相关酶脲酶、β-葡萄糖苷酶、纤维素酶的活性(图 2)。Ajwa等[27]研究表明长期施肥增加β-葡萄糖苷酶活性,但降低了脲酶活性,但另一些研究表明,脲酶活性随氮肥用量的增加而增加[28-29]。施肥引起过氧化氢酶活性降低(图 2),这与前人[26]的报道相反,推测施肥导致的黑土土壤酸化会抑制过氧化氢酶活性[30]。总之,施肥对土壤酶活性的影响可能与施肥量、施肥年限、土壤条件和采样时间等密切相关,导致不同研究中结果并不一致。
3.2 模拟侵蚀和施肥对黑土土壤质量的影响及其驱动因素加和法和权重法两种方法计算的土壤质量指数呈高度一致性,但利用加权法计算的土壤质量指数与玉米产量的相关关系优于加和法(表 2),这与他人[31]的研究结果一致。原因可能与加权法更多地考虑了与产量密切相关的土壤因素有关。随侵蚀程度增加,土壤质量指数显著降低,不施肥处理在模拟侵蚀深度20 cm前、施肥处理在模拟侵蚀深度40 cm前土壤质量急剧下降,此后土壤质量变化不明显(图 3)。提示不施肥条件下表层20 cm若遭受土壤侵蚀,其土壤质量就会遭受很大程度下降,施肥可减缓土壤质量下降幅度,且延迟了土壤质量下降的阈值深度,表明黑土耕层20 cm对其土壤质量尤为重要,一旦遭受侵蚀,土壤质量将大幅下降,施肥是减缓侵蚀、维持黑土土壤质量和粮食安全的重要手段。
尽管两种方法计算的土壤质量指数的驱动因素有所不同,但对不施肥处理而言,纤维素酶活性、微生物生物量碳和碱解氮含量均是主要影响因素;对施肥处理而言,纤维素酶活性、微生物生物量碳、速效磷含量均是影响土壤质量的主要因素(表 3),表明纤维素酶活性和微生物生物量碳是影响侵蚀条件下土壤质量的主要因素,因而可作为衡量侵蚀条件下土壤质量评价的重要指标。本研究凸显了侵蚀引起的土壤微生物性质变化亦是导致土壤质量下降的重要原因。
3.3 模拟侵蚀和施肥对玉米产量的影响及原因分析侵蚀程度和施肥对玉米产量均有显著影响,但施肥对产量的影响大于侵蚀程度(图 4)。侵蚀程度对玉米产量的影响也可分为两个阶段:侵蚀深度在0~40 cm间,玉米产量急剧下降,侵蚀深度40 cm时不施肥和施肥处理玉米产量分别下降了45.8%和11.7%,相当于每侵蚀10 c m,产量分别损失了11.4%和2.9%;当侵蚀深度超过40 cm,玉米产量变化不明显(图 4)。Bakker等[12]文献汇总后发现,人为削土法每侵蚀10 cm土壤的产量损失为26.6%;本研究初期3年,施肥与不施肥每侵蚀10 cm土壤,大豆的减产率分别为18.8%和21.2%(侵蚀深度以40 cm计)[13],而本研究的施肥处理和不施肥处理减产率则仅有2.9%和11.4%,远低于前人研究结果。其原因可能与以下因素有关,一是本研究的模拟侵蚀方法更接近真实状况,因而低于削土法的测定值;二是本研究是在模拟侵蚀试验布设后第18年进行的,试验初期(2006年)轻度侵蚀(侵蚀深度0~20 cm)下表层土壤有机质含量分别为40.82 g·kg–1(不施肥处理)和40.24 g·kg–1(施肥处理),中度侵蚀处理(侵蚀深度20~40 cm)的表层有机质含量分别为18.62 g·kg–1(不施肥处理)和22.56 g·kg–1(施肥处理)[13];18年耕作后(2022年),轻度侵蚀下表层有机质含量并未发生变化,但中度侵蚀下则分别为23.03 g·kg–1(不施肥处理)和29.68 g·kg–1(施肥处理),增加了23.7%和31.6%,意味着中度侵蚀下土壤质量有明显提升,因而导致土壤侵蚀与生产力定量关系较初期有一定改变;三是可能与黑土土壤肥力相对较高和试验年降水少有关。2022年降水量为420 mm,远低于多年平均降水量545 mm(2003—2022年),可能导致玉米相对减产率偏小。
施肥对不同侵蚀阶段的玉米产量均有显著的增产作用,平均增产3倍(图 4)。在重度侵蚀下(侵蚀深度40~70 cm)下施肥提高产量的效果更好,这与本研究前3年在大豆上的结果[13]一致。原因可能在于随着侵蚀深度的增加,土壤本身的供肥能力在减小,所以施肥的边际效率相对较高。在不施肥条件下,限制玉米产量的主要因素是碱解氮含量,而施肥条件下则变为速效磷含量,符合养分的“木桶效应”原理,因而对侵蚀造成的产量损失,在不同肥力地块应采取不同的施肥策略。
3.4 侵蚀条件下土壤质量和玉米产量的关系关于土壤质量和生产力的关系,一些研究认为二者呈正相关,如耕作和轮作下土壤质量指数与玉米产量呈正相关[32],保护性耕作下土壤质量指数与棉纤维产量呈正相关[21],但另一关于长期火烧、灌溉、耕作和施肥管理对土壤质量指数影响的研究中二者并无显著相关关系,在过多养分和低磷条件下土壤质量指数与玉米或大豆产量也无相关性[33]。本研究中,土壤质量指数和玉米产量间呈显著正相关,加和法和加权法计算的土壤质量指数可分别解释不施肥处理玉米产量变异的59.0%和64.2%,施肥处理玉米产量变异的73.9%和74.2%(表 2),说明耕层土壤质量是影响玉米产量的主要因素。施肥处理土壤质量指数解释产量的变异更高,可能与“趋肥性”导致过多的根系位于耕层,从而增加对水分和养分吸收有关。玉米产量未被土壤质量解释的变异可能主要归于:1)本研究仅考虑了耕层的土壤性质,耕层以下的土壤性质也可能影响产量;2)未考虑的其他性质如透气性、温度等也可能影响产量;3)耕层土壤性质间复杂的相互作用,使限制产量的主要因子发生改变;等等。值得注意的是本研究仅是该长期试验布设后第18年一年的结果,关于不同侵蚀程度、降雨年型和作物对土壤质量和产量的影响值得进一步研究。
4 结论模拟侵蚀18年后,随模拟侵蚀深度增加,土壤黏粒含量、有机碳、碱解氮、速效磷、微生物生物量碳、纤维素酶活性显著下降,土壤容重和速效钾含量显著增加;模拟侵蚀导致土壤质量和玉米产量显著降低,且主要发生在侵蚀深度为40 cm前。长期施肥导致黏粒含量、有机碳、碱解氮和速效磷含量及脲酶、β-葡萄糖苷酶、纤维素酶活性显著增加,土壤容重、pH、速效钾含量及过氧化氢酶活性显著下降,施肥对土壤质量有一定改善作用,可使产量平均增加3倍。影响侵蚀条件下土壤质量的主要因素不施肥处理下为纤维素酶活性、微生物生物量碳、碱解氮含量,施肥处理则为纤维素酶活性、微生物生物量碳和速效磷含量,纤维素酶活性和微生物生物量碳是反映侵蚀条件下土壤质量的良好指标;影响侵蚀条件下玉米产量的主要因素在不施肥处理下为碱解氮含量,施肥处理下则为速效磷含量,施肥使产量由氮限制转向磷限制。
| [1] |
Zhang X Y, Hu W, Li J Y, et al. Control of soil and water losses is the critical issue for black earth conservation (In Chinese)[J]. Chinese Science Bulletin, 2024, 69(11): 1401-1405. [张兴义, 胡伟, 李建业, 等. 水土流失防控是黑土地保护的重点[J]. 科学通报, 2024, 69(11): 1401-1405.]
( 0) |
| [2] |
Wang H, Yang S L, Wang Y D, et al. Rates and causes of black soil erosion in Northeast China[J]. Catena, 2022, 14: 106250.
( 0) |
| [3] |
Zhang J B, Sun B, Zhu J J, et al. Black soil protection and utilization based on harmonization of mountain-river-forest-farmland-lake-grassland-sandy land ecosystems and strategic construction of ecological barrier (In Chinese)[J]. Bulletin of Chinese Academy of Sciences, 2021, 36(10): 1155-1164. [张佳宝, 孙波, 朱教君, 等. 黑土地保护利用与山水林田湖草沙系统的协调及生态屏障建设战略[J]. 中国科学院院刊, 2021, 36(10): 1155-1164.]
( 0) |
| [4] |
Lal R. Soil erosion impact on agronomic productivity and environment quality[J]. Critical Reviews in Plant Sciences, 1998, 17(4): 319-464. DOI:10.1080/07352689891304249
( 0) |
| [5] |
Biggelaar C D, Lal R, Wiebe K, et al. The global impact of soil erosion on productivity: 1 Absolute and relative erosion-induced yield losses[J]. Advance in Agronomy, 2003, 81: 1-8.
( 0) |
| [6] |
Mandal D, Chandrak M, Alam N M, et al. Assessment of soil quality and productivity in different phases of soil erosion with the focus on land degradation neutrality in tropical humid region of India[J]. Catena, 2021, 204: 105440. DOI:10.1016/j.catena.2021.105440
( 0) |
| [7] |
Larney F J, Janzen H H, Olson B M, et al. Soil quality and productivity responses to simulated erosion and restorative amendments[J]. Canadian Journal of Soil Science, 2000, 80(3): 515-522. DOI:10.4141/S99-100
( 0) |
| [8] |
Liu H, Wei Y X. Influence of soil erosion thickness on land productivity in black soil area and its evaluation (In Chinese)[J]. Transactions of the Chinese Society of Agricultural Engineering, 2014, 30(20): 288-296. [刘慧, 魏永霞. 黑土区土壤侵蚀厚度对土地生产力的影响及其评价[J]. 农业工程学报, 2014, 30(20): 288-296.]
( 0) |
| [9] |
Zhang X Y, Liu X B, Sui Y Y, et al. Effects of artificial topsoil removal on soybean dry matter accumulation and yield in Chinese Mollisols (In Chinese)[J]. Soybean Science, 2006, 25(2): 123-126. [张兴义, 刘晓冰, 隋跃宇, 等. 人为剥离黑土层对大豆干物质积累及产量的影响[J]. 大豆科学, 2006, 25(2): 123-126.]
( 0) |
| [10] |
Guo L L, Yang Y, Zhao Y, et al. Reducing topsoil depth decreases the yield and nutrient uptake of maize and soybean grown in a glacial till[J]. Land Degradation and Development, 2021, 32: 2849-2860. DOI:10.1002/ldr.3868
( 0) |
| [11] |
Zhang S S, Xie Y, Liu G, et al. Difference of crop's aboveground and underground growth between moderately and severely eroded black soil (In Chinese)[J]. Science of Soil and Water Conservation, 2016, 14(5): 29-36. [张珊珊, 谢云, 刘刚, 等. 中度和剧烈侵蚀黑土作物地上与地下生长发育的差异[J]. 中国水土保持科学, 2016, 14(5): 29-36.]
( 0) |
| [12] |
Bakker M M, Govers G, Rounsevell M D A. The crop productivity–erosion relationship: an analysis based on experimental work[J]. Catena, 2004, 57: 55-76. DOI:10.1016/j.catena.2003.07.002
( 0) |
| [13] |
Wang Z Q, Liu B Y, Wang X Y, et al. Erosion effect on the productivity of black soil in Northeast China (In Chinese)[J]. Science in China Series D-Earth Science, 2009, 39(10): 1397-1412. [王志强, 刘宝元, 王旭艳, 等. 东北黑土区土壤侵蚀对土地生产力影响试验研究[J]. 中国科学D辑, 2009, 39(10): 1397-1412.]
( 0) |
| [14] |
Hou S, Xin M X, Wang L, et al. The effects of erosion on the microbial populations and enzyme activity in black soil of northeastern China[J]. Acta Ecological Sinica, 2014, 34: 295-301. DOI:10.1016/j.chnaes.2014.10.001
( 0) |
| [15] |
Guan S Y. Soil enzyme and its research method (In Chinese). Beijing: China Agriculture Press, 1986: 274-320. [关松荫. 土壤酶及其研究法[M]. 北京: 农业出版社, 1986: 274-320.]
( 0) |
| [16] |
Li Z G, Luo Y M, Teng Y. Research method of soil and environmental microorganisms (In Chinese). Beijing: Science Press, 2008: 462-475. [李振高, 骆永明, 滕应. 土壤与环境微生物研究法[M]. 北京: 科学出版社, 2008: 462-475.]
( 0) |
| [17] |
Lin X G. Principles and methods of soil microbiology research (In Chinese). Beijing: Higher Education Press, 2010: 235-243. [林先贵. 土壤微生物研究原理与方法[M]. 北京: 高等教育出版社, 2010: 235-243.]
( 0) |
| [18] |
Ghost T K. Measurement of cellulase activities[J]. Pure and Applied Chemistry, 1987, 59(2): 257-268. DOI:10.1351/pac198759020257
( 0) |
| [19] |
Jia R, Zhou J, Chu J, et al. Insights into the associations between soil quality and ecosystem multifunctionality driven by fertilization management: A case study from the North China Plain[J]. Journal of Cleaner Production, 2022, 362: 132265. DOI:10.1016/j.jclepro.2022.132265
( 0) |
| [20] |
Kuzyakov Y, Gunina A, Zamanian K, et al. New approaches for evaluation of soil health, sensitivity and resistance to degradation[J]. Frontiers of Agricultural Science and Engineering, 2020, 7(3): 282-288. DOI:10.15302/J-FASE-2020338
( 0) |
| [21] |
Amorim H C S, Ashworth A J, Moore P A, et al. Soil quality indices following long-term conservation pasture management practices[J]. Agriculture Ecosystems and Environment, 2020, 301: 107060. DOI:10.1016/j.agee.2020.107060
( 0) |
| [22] |
Guo L L, Sun Z G, Ouyang Z, et al. A comparison of soil quality evaluation methods for Fluvisol along the lower Yellow River[J]. Catena, 2017, 152: 135-143. DOI:10.1016/j.catena.2017.01.015
( 0) |
| [23] |
Ding R X, Liu S T. A study on the fertility of black soil after reclamation (In Chinese)[J]. Acta Pedologica Sinica, 1980, 17(1): 20-32. [丁瑞兴, 刘树桐. 黑土开垦后肥力演变的研究[J]. 土壤学报, 1980, 17(1): 20-32.]
( 0) |
| [24] |
Xiao H B, Li Z W, Nie X D, et al. Effects of soil erosion and deposition on soil enzyme activity in hilly red soil regions of South China (In Chinese)[J]. Acta Pedologica Sinica, 2016, 53(4): 881-890. [肖海兵, 李忠武, 聂小东, 等. 南方红壤丘陵区土壤侵蚀-沉积作用对土壤酶活性的影响[J]. 土壤学报, 2016, 53(4): 881-890.]
( 0) |
| [25] |
Qiu L P, Zhang Q, Zhu H S, et al. Erosion reduces soil microbial diversity, network complexity and multifunctionality[J]. The ISME Journal, 2021, 15(8): 2474-2489. DOI:10.1038/s41396-021-00913-1
( 0) |
| [26] |
Zheng S Y, Chen L S, Xie D J. Effects of different nitrogen application rates on soil enzyme activities and microbial biomass carbon and nitrogen in maize field (In Chinese)[J]. Soil and Water Conservation in China, 2019(7): 58-60. [郑斯尹, 陈莉莎, 谢德晋. 不同氮肥用量对玉米田土壤酶活性及微生物量碳、氮的影响[J]. 中国水土保持, 2019(7): 58-60.]
( 0) |
| [27] |
Ajwa H A, Dell C J, Rice C W. Changes in enzyme activities and microbial biomass of tallgrass prairie soil as related to burning and nitrogen fertilization[J]. Soil Biology and Biochemistry, 1999, 31(5): 769-777. DOI:10.1016/S0038-0717(98)00177-1
( 0) |
| [28] |
Yuan X X, Lin X G, Chu H Y, et al. Effects of elevated atmospheric CO2 on soil enzyme activities at different nitrogen level (In Chinese)[J]. Acta Ecologica Sinica, 2006, 26(1): 48-53. [苑学霞, 林先贵, 褚海燕, 等. 大气CO2浓度升高对不同施氮土壤酶活性的影响[J]. 生态学报, 2006, 26(1): 48-53.]
( 0) |
| [29] |
Lv N, Yin F H, Chen Y, et al. Effects of elevated atmospheric CO2 and nitrogen application on cotton biomass, nitrogen utilization and soil urease activity (In Chinese)[J]. Chinese Journal of Applied Ecology, 2015, 26(11): 3337-3344. [吕宁, 尹飞虎, 陈云, 等. 大气CO2浓度增加与氮肥对棉花生物量、氮吸收量及土壤脲酶活性的影响[J]. 应用生态学报, 2015, 26(11): 3337-3344.]
( 0) |
| [30] |
Xu D M, Liu G S, Li K B, et al. Effects of organic/inorganic compounds on catalase in soil under acid rain stress (In Chinese)[J]. Journal of Agro-Environment Science, 2003, 22(1): 31-33. [徐冬梅, 刘广深, 李克斌, 等. 酸雨胁迫下有机-无机复合污染对土壤过氧化氢酶活性的影响[J]. 农业环境科学学报, 2003, 22(1): 31-33.]
( 0) |
| [31] |
Vasu D, Singh S K, Ray S K, et al. Soil quality index(SQI)as a tool to evaluate crop productivity in semi-arid Deccan plateau, India[J]. Geoderma, 2016, 282: 70-79.
( 0) |
| [32] |
Nakajima T, Shrestha R K, Lal R. On-farm assessments of soil quality in Ohio and Michigan[J]. Soil Science Society of America Journal, 2016, 80(4): 1020-1026.
( 0) |
| [33] |
Amorim H C S, Ashworth A J, Brye K R, et al. Soil quality indices as affected by long-term burning, irrigation, tillage, and fertility management[J]. Soil Science Society of America Journal, 2021, 85: 379-395.
( 0) |
2025, Vol. 62



0)