2. 安徽省生态环境科学研究院, 合肥 230071;
3. 生态环境部南京环境科学研究所, 南京 210042;
4. 土壤与农业可持续发展国家重点实验室(中国科学院南京土壤研究所), 南京 210008
2. Anhui Academy of Environmental Science Research, Hefei 230071, China;
3. Nanjing Institute of Environmental Sciences, Ministry of Environment, Nanjing 210042, China;
4. State Key Laboratory of Soil and Sustainable Agriculture, Institute of Soil Science, Chinese Academy of Sciences, Nanjing 210008, China
土壤碳库占陆地生态系统碳库的绝大部分,其包含的碳含量分别为陆地植被和大气碳库的3倍和2倍[1],极小的土壤碳变化会引起大气CO2浓度的剧烈变化[2-3],从而导致全球气候变化。土壤有机碳(Soil organic carbon,SOC),是全球碳循环中重要的碳库之一[4],据估计仅上部1 m土体的SOC储量就约为1500 Pg C(1 Pg C=1015 g C)[5]。此外,在区域尺度下,SOC也是土壤肥力、环境质量和健康的重要指标之一。因此,针对区域尺度进行SOC分布特征及其影响因素分析讨论,对研究区域土壤质量管理、提高管理碳输入能力具有重要意义。
关于区域SOC空间分布特征已有大量研究[6-8],但以往研究多聚集在按照固定深度划分土壤剖面层次[9-10],关于不同发生层SOC的分布特征及影响因素的研究相对较少[11]。王邵强等[12]指出依照等间隔测度方法计算SOC含量会忽略土壤发生学的影响;郑琳等[13]通过按固定深度取样和按土壤自然发生层取样两种方法发现所得SOC密度存在显著差异,按固定深度取样时,表层(0~30 cm)SOC占主体地位,而按自然发生层取样时,淀积层因厚度大导致SOC密度最大。此外,影响SOC含量空间分布特征的驱动因素较为复杂,近年来国内外学者发现导致SOC含量空间异质性的主控因素在不同研究区域和研究尺度下不同[14-15]。如陈颖洁等[16]发现气候和矿物是造成内蒙古温带草地SOC组分含量空间变异的主要因素,而Yang等[17]通过三维连续分布的数字制图方法得出植被相关协变量对青藏高原东北部高寒草地表层SOC分布的影响最为显著。因此,掌握不同研究尺度下不同区域土壤剖面SOC含量的分布特征,明确控制SOC含量的关键因素,有利于最大限度地提高碳封存的气候效益,开发更有效的固碳途径。
安徽省作为我国南北方过渡带,省内自然地理条件存在明显差异,南北地貌类型、土壤类型复杂多样,而且作为我国华东地区的农业大省和粮食主产省,其土壤固碳潜力的研究有利于促进我国农业可持续发展和实现双碳目标。已有学者针对该区域SOC含量的空间分布格局及影响因素开展了研究,但这些研究大多集中在小区域尺度上,且或是按等间距覆土厚度(如20~40、40~80、80~100 cm)采样[18],或是仅采集0~20 cm表层土样[19],这会掩盖剖面发生学特性,无法真实反映土壤发生层的SOC储量、分布特征及其影响因子。因此,本研究通过覆盖安徽全省的土样采集和室内测定,运用地统计学方法从土壤剖面发生层的角度探讨SOC含量的空间分布格局,并分析量化影响因素,以期为制定改善土壤健康的策略、准确估算SOC储量提供参考依据。
1 材料与方法 1.1 研究区概况安徽省(29°41~34°38′N、114°54~119°37′E)地处长江三角洲腹地,地跨长江、淮河中下游,总面积约13.99 万km2。全省地貌南北迥异、复杂多样,可分为淮北平原区、江淮丘陵区、皖西大别山区、沿江平原区和皖南山地丘陵区。气候上属暖温带与亚热带的过渡地区,年平均气温14~16 ℃,年均降水量750~1 800 mm,其中40%~60%集中于夏季,年均蒸发量1 100~2 000 mm。该地区土壤类型主要为水稻土、砂姜黑土、红壤、潮土与黄褐土等[20],面积均在10 000 km2以上。
1.2 点位布设与土壤样品采集2021年11月—2022年5月,在确保样点具有代表性和均匀性的前提下,充分考虑土壤类型和母质类型等因素,采用系统布点方法结合判断布点方法进行点位的布设。系统布点中网格的数量等于布点数量,将采样单元按照不同土壤类型划分成面积相等网格(如水稻土,4.6 km×4.6 km;砂姜黑土,5.1 km×5.1 km;红壤,3.7 km×3.7 km;潮土,4.8 km×4.8 km;黄褐土,4.5 km×4.5 km;粗骨土,4.2 km×4.2 km),每网格内布设1个采样点,共布设451个点位(图 1)。
|
图 1 安徽省典型土壤剖面点分布图 Fig. 1 Sites of sampled typical soil profiles in Anhui Province |
野外实际调查采样时,到达每个网格预设点位后,通过实地观察,确定最具代表性剖面位置,利用GPS定位,再挖掘标准土壤剖面(图 2,宽1.2 m×高1.2 m),针对每个剖面,依据形态特征,划分表土层(A层,耕地和园地的耕作层、林草地的腐殖质层,平均厚度为15.17 cm)、心土层(B层,物质淋溶淀积层,平均厚度为29.10 cm)和母质层(C层,发育弱,保留成土母质特征,平均厚度为43.37 cm),并每层采集农化分析样(1.5 kg)和三个环刀容重样(100 cm3)。记录剖面点位的经纬度坐标、成土因素和土壤类型等基本信息。
|
注:a)、b)、c)和d)依次为红壤、黄褐土、粗骨土和水稻土剖面。 Note: a), b), c), and d)stand for red soil, yellow cinnamon soil, skeletal soil, and paddy soil profiles. 图 2 安徽省典型土壤剖面采样照片 Fig. 2 Typical sampled soil profiles in Anhui Province |
典型剖面涉及10种土壤类型,主要是水稻土(107个)、红壤(88个)、粗骨土(40个)、黄褐土(34个)、潮土(33个)、砂姜黑土(33个),合计占总点位数的74.28%;土地利用方式主要为园地(25个)、林地(217个)、耕地(189个),合计占全部点位数的95.57%。
1.3 测定指标与方法土壤样品经室内自然风干后,过2 mm筛,同时剔除根系、枯枝落叶、砾石等杂质,再分别研磨过0.25 mm和0.15 mm筛用于测定分析。容重采用环刀法[21]测定;pH采用玻璃电极法[21]测定;颗粒组成采用吸管法(USDA制,砂粒2.0~0.05 mm、粉粒0.05~0.002 mm、黏粒<0.002 mm)测定;有机碳采用重铬酸钾容量法[22]测定;阳离子交换量(CEC)采用pH7.0 NH4OAc交换法[21]测定。
1.4 环境变量依据相关性和可获得性原则选取环境变量,在本次研究中,选取的环境变量主要分为三大类:气候因子、地形因子以及归一化植被指数(NDVI)。其中气候因子包括年平均气温、年平均降水量和干燥度,前两者来源于中国生态环境背景层面营造项目获取的全国1 km范围内的气温和降雨数据,干燥度根据公式K=W0 / R计算得出(式中K为干燥度;W0水面可能蒸发量;R为同期降水量);地形因子涵盖了坡向、坡度、高程、平面曲率、剖面曲率及地形湿度指数,来自地理空间数据云官网(https://www.gscloud.cn/)下载空间分辨率90 m的SRTM DEM数据;NDVI来自NASA官网(https://modis.gsfc.nasa.gov/)下载的近10年MOD13 Q1数据产品(时间和空间分辨率为16 d和250 m),时段选取植物生长处于旺季的7—10月,以更好地揭示植被覆盖度时空变化特征。
1.5 数据处理与分析普通克里格法是一种在土壤属性空间预测中广泛使用的方法,其核心思想在于利用土壤属性的空间连续性,通过邻近的相关观测点的权重均值来预测采样点位置的土壤属性值。
随机森林回归模型是一种基于决策树的集成学习算法,它通过Bootstrap重采样技术从原始数据集中抽取多个样本子集,并利用这些子集构建多个决策树,进而形成随机森林[23]。在进行回归预测时,该模型通过计算所有决策树预测结果的平均值,得出最终的预测值。此外,随机森林回归模型具有对所有协变量进行建模的能力,并能够评估每个协变量在预测中的重要性。
基于以上优点,且参照前人[19]研究结果,综合考虑后本研究利用ArcGIS10.7软件的Geostatistical Analyst模块中的普通克里格空间插值获得SOC空间分布特征图,运用Python的Scikit-learn扩展包中的随机森林模型回归模块对影响因素进行重要性排序,发挥各方法所长。
运用地统计学方法对SOC含量的空间结构进行分析,首先运用GS+9.0进行半方差函数的计算和最佳模型拟合,之后利用ArcGIS10.7绘制SOC空间分布图。采用Pearson相关性分析(Pearson Correlation Analysis)对SOC含量和各个影响因素进行相关性分析,再基于随机森林模型得到的影响因素重要性排序结果进一步利用Origin绘图。
2 结果 2.1 土壤有机碳的垂直分布特征 2.1.1 不同土壤发生层有机碳分布差异土壤各层次的SOC描述性统计结果见表 1,该统计能直接反映SOC的基本特征。各土层SOC平均含量变化范围为3.74~15.86 g·kg–1,整个土层的SOC均值为8.47 g·kg–1。由A到B,SOC急剧降低,降幅为63.43%;由B到C,SOC略为降低,降低幅度为35.52%。A层SOC平均含量占整个土层SOC的62.44%,表聚现象明显。不同土层SOC变异系数介于41.42%~56.21%,均为中等变异。各层SOC偏度介于0.33~1.13,均为正偏态分布(图 3a、图 3b、图 3c),说明各层土壤内出现不少极值,这与研究区各层SOC的分布范围相距较大的情况相一致。A层SOC通过了K-S统计检验,数据符合正态分布,B、C层SOC经对数转换后呈正态分布(图 3d、图 3e)。
|
|
表 1 安徽省SOC含量分层统计特征 Table 1 Statistical characteristics of SOC contents in different horizons in Anhui Province |
|
图 3 安徽省不同土层SOC含量频率分布 Fig. 3 Frequency distribution of SOC contents in different horizons in Anhui province |
从研究区主要土地利用方式来看(表 2),3种土地利用方式的SOC含量均随土壤深度的加深而减小,A层SOC含量显著高于B、C层。不同土地利用方式的SOC含量在各发生层存在一定差异,其中在A层中,耕地>林地>园地;B、C层中,林地SOC含量均最高,为园地的1.21倍、1.03倍和耕地的1.34倍、1.22倍。各土地利用方式下的土壤其A层与B、C层SOC含量也存在一定差异,其中林地土壤,从A层向下,SOC含量从16.01 g·kg–1下降至4.07 g·kg–1,而耕地土壤,SOC含量从A层的16.30 g·kg–1下降至C层的3.34 g·kg–1,下降幅度高于其他土地利用方式;园地土壤,随着剖面层次加深,从A层的14.89 g·kg–1下降至C层的3.96 g·kg–1,整体下降幅度相对最小。
|
|
表 2 不同土地利用方式SOC含量分层统计特征 Table 2 Statistical characteristics of SOC contents in different horizons under different land use patterns |
从研究区主要土壤类型来看(表 3),不同土壤类型各发生层SOC含量存在一定差异。A层中6种土壤类型SOC含量排序为:水稻土 > 红壤 > 砂姜黑土 > 潮土 > 黄褐土 > 粗骨土,水稻土SOC平均含量最高,为17.87 g·kg–1,B层6种土壤类型SOC含量具体排序如下:粗骨土 > 红壤 > 砂姜黑土 > 水稻土 > 潮土 > 黄褐土,其中粗骨土相对最高,为7.16 g·kg–1;C层中,各土壤类型SOC含量大小为:粗骨土 > 红壤 > 水稻土 > 潮土 > 黄褐土 > 砂姜黑土,其中砂姜黑土相对最低,为2.95 g·kg–1。大体上,各发生层次中水稻土SOC含量相对较高。
|
|
表 3 不同土壤类型SOC含量分层统计特征 Table 3 Statistical characteristics of SOC contents in different horizons in different soil types |
土壤属性的空间变异受结构性和随机性因素的共同调控。半方差函数模型是地统计学中研究土壤变异性的关键函数,可用于分析土壤属性的空间变异结构,为精确克里格插值提供基础。在模型选择时,应特别注重半方差函数的决定系数R2和残差平方和RSS,其中R²值的增大和RSS值的减小均为优选指标。块基比代表变量的空间自相关性,若块基比 < 0.25表示变量具有显著的空间自相关,0.25~0.75表示变量具有中等自相关,> 0.75表示变量自相关程度较弱。
在研究区内,A、B、C三层SOC数据均选择指数模型进行拟合。这些模型的决定系数R2分别为0.35、0.57和0.38。尽管这些数值并不高,但这些模型的残差平方和较小,故选其作为最优模型。如表 4所示,A、B、C三层SOC的块基比均小于0.25,为显著的空间相关,说明安徽省SOC含量受结构性(气候、地形、生物和土壤类型等)影响为主。
|
|
表 4 安徽省SOC含量半方差理论模型及其参数 Table 4 Semi-variance theoretical models of SOC content in Anhui Province and its parameters |
为直观地展示安徽省SOC的空间分布情况,在最优半方差模型的基础上利用普通克里格空间插值方法,绘制SOC的空间分布图(图 4)。依据全国第二次土壤普查有机碳分级标准和图 4可知A层,SOC含量介于11.60~17.40 g·kg–1(3级)的区域分布最广;B层,SOC介于3.50~5.80 g·kg–1(5级)的区域分布最广;C层,SOC含量 < 3.50 g·kg–1(6级)的区域分布最广。纵观整个研究区,不同土层的SOC含量在空间上北部低于南部,尤其是B、C土层中呈现明显的自北向南逐渐升高的趋势。
|
图 4 安徽省不同土层SOC含量空间分布 Fig. 4 Spatial distribution of SOC contents in different horizons in Anhui Province |
相关性分析结果(图 5)表明,A、B、C三层SOC含量均与黏粒、NDVI存在极显著(P≤0.01)的正相关关系,而各层SOC与容重之间则呈极显著(P≤0.01)的负相关。同时,A、B层SOC均与CEC呈极显著(P≤0.01)正相关,但C层关系复杂。A层SOC除受黏粒含量的影响外,还与粉粒、砂粒含量具有极显著(P≤0.01)相关关系。B、C层SOC均与地形因子(剖面曲率、坡度、高程)、气候因素(年平均温度、年平均降水量、干燥度)呈相关关系,此外,B层SOC与粉粒含量呈负相关,C层SOC与砂粒含量和pH呈负相关。
|
注1:左下角中的数字表示各变量之间的Pearson相关系数,与右上角的颜色变化呈正比。*表示在0.05级别相关性显著(P≤0.05),**表示在0.01级别相关性显著(P≤0.01)。注2:SOC,有机碳含量;BD,容重;CEC,阳离子交换量;Silt,粉粒含量;Sand,砂粒含量;Clay,黏粒含量;Ele,高程;Asp,坡向;Slope,坡度;Pr_c,剖面曲率;Pl_c,平面曲率;TWI,地形湿度指数;NDVI,归一化植被指数;AAT,年平均温度;MAP,年平均降水量;K,干燥度指数。下同。 Note 1:The number in the lower left corner indicates the Pearson correlation coefficient between the variables, proportional to the color change in the upper right corner. * represents a significant correlation at the 0.05 level(P≤0.05)and ** represents a significant correlation at the 0.01 level(P≤0.01). Note 2:SOC, soil organic carbon content; BD, bulk density; CEC, cation exchange capacity; Silt, silt content; Sand, sand content; Clay, clay content; Ele, elevation; Asp, aspect; Slope, slope gradient; Pr_c, profile curvature; Pl_c, planar curvature; TWI, topographic wetness index; NDVI, normalized difference vegetation index; AAT, average annual temperature; MAP, mean annual precipitation; K, aridity index. The same as below. 图 5 影响因素与各发生层SOC含量相关性分析热图 Fig. 5 Heat map of correlation between influencing factors and SOC content in different horizons |
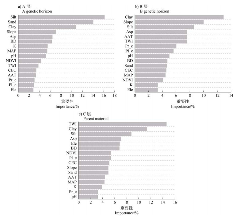
利用随机森林回归法进一步分析各影响因素对各层次SOC含量的影响,结果如图 6所示。不同土层SOC含量影响因子存在一定差异:在A层中,粉粒对SOC含量的影响最大,其次是砂粒、黏粒、地形因子(坡度、坡向)、容重;黏粒含量对B层SOC含量的影响最大,其次是坡度、粉粒、坡向、年平均温度和地形湿度指数;在C层中,地形湿度指数和质地(黏粒、粉粒)是对SOC含量影响最大的因素,地形因子(坡向、高程)次之,容重也是影响该层次SOC含量的重要因素。
|
图 6 影响因素对SOC含量的重要性排序 Fig. 6 Importance ranking of influencing factors on SOC content |
精确了解安徽省SOC含量的空间分布及其影响因素,有助于制定更为科学合理的土地利用规划,进而提升安徽省土壤碳汇水平,有效指导土地资源的可持续管理与利用。依照全国第二次土壤普查SOC分级标准,安徽省地区整个剖面深度SOC含量水平处于4级(较缺乏),且在垂直剖面上,SOC含量自上向下逐渐降低,且呈现出明显的表聚现象,A层SOC分别是B层和C层的2.73倍和4.24倍。这与孟国欣等[24]对晋西黄土区蔡家川流域4种退耕地的SOC含量在剖面上分布研究结论较为一致。主要是因为在土壤中,植被根系以及土壤外源有机物(如秸秆还田(2 090 kg·hm–2)[25]、农用化肥施用(328.8 kg·hm–2)等)主要聚集于表层,随着土层深度增加,有机物和植被根系越来越少,导致SOC更易在表层积累。安徽省A层SOC平均含量(15.86 g·kg–1)低于全国A层SOC含量(22.28 g·kg–1)[26],与2017年杨帆等[27]计算的安徽省耕层SOC平均含量(11.60~17.40 g·kg–1)较为一致。而整个剖面SOC平均含量(3.74~15.86 g·kg–1),略高于2010年石玲和戴万宏[18]计算的安徽省不同土壤类型的SOC含量(3.31~13.77 g·kg–1),可能是与其样点太少有关(砂姜黑土、潮土、水稻土和红壤4种土壤的各1个典型剖面)。
3.2 土壤有机碳空间分异的成因安徽省SOC含量具有明显的空间异质性,各发生层SOC含量在水平分布上大体呈现北部低于南部的格局,这与赵明松等[20]对安徽省SOC密度的空间分布格局研究一致。A层SOC含量高值主要出现在皖北的宿州市(平均值16.75 g·kg–1)及皖南的池州市、宣城市、黄山市和芜湖市(平均值17.84 g·kg–1),并有大面积低值区域聚集在安庆市与六安市的交界处(平均值12.76 g·kg–1);B层SOC高值集中于皖北的淮北市(平均值8.87 g·kg–1)与皖南的池州市、黄山市、宣城市、芜湖市和马鞍山市(平均值6.29 g·kg–1);C层SOC高值积聚在皖南的黄山市、宣城市和马鞍山市(平均值5.02 g·kg–1)。出现这种分布格局,一部分原因是受安徽省地势东南部高西北部低(皖南山区最高,淮北平原最低)的影响,皖南山区植被生长茂盛,高海拔和亚热带湿润季风气候使微生物分解和腐殖质转化速度降低,提高了SOC含量的储存;而淮北平原地处暖温带半湿润季风气候,植被覆盖率相对较低,年均降雨量小于900 mm,导致SOC含量相对较低。另一部分原因与选取样点处的土地利用方式相关,皖南山区的土壤多为林地(占采样点位67.42%),其土壤结构相对稳定SOC不易流失,这与本研究对不同土地利用方式SOC含量的研究结果相吻合。此外,宿州市出现部分高值可能是与肥料使用相关,皖北地区地处淮北平原,土壤初始SOC含量较低,人们投入更多的肥料(约29.70万t,省内第3)用来提高生产产量,同时导致作物秸秆和根系有机物含量增高,有利于SOC含量的积累。安庆市与六安市交界处SOC含量值较低可能是由于采样点表层土壤砂粒含量较高(砂质壤土和砂土占采样点位的48.00%),不利于有机碳的累积。
3.3 土壤有机碳空间分布影响因素SOC空间分布特征受多种因素共同控制,本研究利用SOC含量与气候因子、地形因子、归一化植被指数、土壤理化性质(容重、砂粒、黏粒、粉粒、pH、CEC)的相关系数矩阵图(图 5)和重要性排序结果(图 6)综合分析安徽省SOC空间分异的影响因素。结果表明,土壤颗粒组成(黏、粉、砂粒含量)是驱动研究区土壤有机碳空间分布特征的主要因子,以往的研究发现,SOC含量增加趋势与黏粒含量变化趋势相同,黏粒含量有利于提高土壤水分的蓄持能力和减缓SOC的分解速度[28]。同样,贾海霞等[29]以新疆焉耆盆地绿洲区丝路重镇土样为研究对象,发现粉砂质壤土中碳含量增加大于壤土和砂质壤土。这主要是由于砂粒含量会增大土壤孔隙度、增强土壤通气性、使有机碳更易矿化,而黏粒含量增加则有利于土壤团聚体的形成,对土壤SOC起到保护作用[30],这与本研究结果一致。但在较小的尺度上,马渝欣等[19]发现蒙城县内SOC空间变异的主要影响因素为粉粒和砂粒含量,与黏粒无关,原因可能在于当地以黏质砂姜黑土为主,黏粒含量空间变异低于粉粒和砂粒。地形通过控制降水、水流路径和侵蚀影响土壤SOC的空间分布[31],研究区内地形因子(地形湿度指数、坡度、坡向)对土壤剖面各土层SOC含量空间分异解释程度较高,与已有大尺度研究结果具有一定的相似性[26]。土壤容重与各发生层SOC含量之间呈极显著的负相关,有机碳含量高的土壤,一般有利于团聚体的形成,土壤更为疏松多孔。通常情况下,容重随土层深度的加深而增大,而SOC含量随土壤深度的增加而减少。秦岭太白山[32]、东北地区[33]、川西高原[34]等各地研究均发现土壤容重与SOC含量密切相关。此外,依据表 2和表 3可知,不同土地利用方式和土壤类型之间SOC含量也存在一定差异,可能是因为土壤有机质和理化性质随土地利用方式的变化而变化,林地土壤结构相对稳定且受人为扰动少导致SOC不易流失;成土母质和植被类型通过影响土壤类型进而致使SOC含量存在差异[35-36]。
3.4 土壤有机碳含量变化由于研究区内土壤剖面发生层的SOC含量主要赋存于A层,故针对A层SOC含量进行变化分析。A层SOC平均含量(15.86 g·kg–1)与全国第二次土壤普查(1980s)期间安徽省耕层SOC的平均含量9.34 g·kg–1相比,呈现出显著的增加趋势,增长率高达69.81%。同时,与杨帆等[27]基于2005—2014年测土配方施肥数据获得的安徽省耕层SOC平均含量12.55 g·kg–1相比,提高了26.37%。综上来看,自第二次土壤普查以来,安徽省表层SOC含量表现出持续增加的趋势,可能是因为安徽省积极推行秸秆还田政策,据统计2016—2018年安徽省三大粮食作物秸秆总量超过4 000万t[37],政府严禁焚烧秸秆,大部分作物的留茬在机械收割过程中被打碎并直接还田[20],从而有效地提升了土壤有机质含量;另一方面,化肥的大量使用也为土壤提供了丰富的碳源,据《安徽统计年鉴》,1980—2021年,安徽省农用化肥施用量(氮肥、磷肥等)呈现出显著的上升趋势,由原先的70.97 kg·hm–2攀升至328.76 kg·hm–2;还可能与机械耕种和收割面积的扩大有关,随着农业机械化进程的推进,全省机械耕作面积从1.04×104 km2增加至7.65×104 km2,机械收割面积亦从0.06×104 km2跃升至7.31×104 km2,在一定程度上改善了土壤的通气性和水分状况,进而有利于SOC的积累和保存。
需要指出的是:一是SOC含量与影响因子之间的关系错综复杂,本研究揭示了气候、地形和土壤属性对SOC的影响,表明各个影响因子之间相互影响、共同作用导致了SOC空间的变异性。但翻耕、灌溉、施肥、机械压实等人为因素也深刻影响着SOC空间变异性;二是SOC研究的另外一个重要指标是1 m土体有机碳储量的估算,上述两个方面将是今后研究中关注的内容。
4 结论对安徽省451个典型土壤剖面分层SOC含量分析表明,剖面SOC平均含量为8.47 g·kg–1,SOC含量随土壤剖面层次的加深而下降(A层>B层>C层),且表现出明显的表聚现象,均具有中等空间变异。不同土层SOC含量在空间分布上均大体呈现由北向南递增的特征,影响SOC空间变异A层为土壤粉、砂、黏粒含量和容重,B层为地形因子(坡度、坡向)和土壤颗粒组成,C层为土壤黏粒、粉粒含量、地形因子(地形湿度指数、坡向)和容重。土壤颗粒组成是驱动SOC空间分布特征的主要因子,但地形因子和土壤容重也有一定影响。
| [1] |
Diffenbaugh N S, Field C B. Changes in ecologically critical terrestrial climate conditions[J]. Science, 2013, 341(6145): 486-492. DOI:10.1126/science.1237123
( 0) |
| [2] |
Lin Z B, Zhang R D. Dynamics of soil organic carbon under uncertain climate change and elevated atmospheric CO2[J]. Pedosphere, 2012, 22(4): 489-496. DOI:10.1016/S1002-0160(12)60033-2
( 0) |
| [3] |
Soil carbon unearthed[J]. Nature Geoscience, 2020, 13(8): 523.
( 0) |
| [4] |
Wei Y, Córdoba P, Caramanna G, et al. Influence of a CO2 long term exposure on the mobilisation and speciation of metals in soils[J]. Geochemistry, 2015, 75(4): 475-482. DOI:10.1016/j.chemer.2015.10.003
( 0) |
| [5] |
Scharlemann J P, Tanner E V, Hiederer R, et al. Global soil carbon: Understanding and managing the largest terrestrial carbon pool[J]. Carbon Management, 2014, 5(1): 81-91. DOI:10.4155/cmt.13.77
( 0) |
| [6] |
Ma H H, Peng M, Yang Z, et al. Spatial distribution and driving factors of soil organic carbon in the Northeast China Plain: Insights from latest monitoring data[J]. Science of the Total Environment, 2024, 911: 168602. DOI:10.1016/j.scitotenv.2023.168602
( 0) |
| [7] |
Song W, Li J Y, Li X J, et al. Effects of land reclamation on soil organic carbon and its components in reclaimed coal mining subsidence areas[J]. Science of the Total Environment, 2024, 908: 168523. DOI:10.1016/j.scitotenv.2023.168523
( 0) |
| [8] |
Jing Y P, Gao R P, Chen Y H, et al. Distribution characteristics of organic carbon and microbial carbon in saline-alkali soil in the Hetao Plain (In Chinese)[J]. Soil and Fertilizer Sciences in China, 2022(10): 11-19. [景宇鹏, 高日平, 陈玉海, 等. 河套平原盐碱化土壤有机碳及微生物量碳剖面分布特征[J]. 中国土壤与肥料, 2022(10): 11-19.]
( 0) |
| [9] |
Qiu X X, Cao G C, Zhang Z, et al. Vertical distribution characteristics of soil organic carbon and total nitrogen density in alpine farmland and their relationships with altitude (In Chinese)[J]. Chinese Journal of Soil Science, 2022, 53(3): 623-630. [邱巡巡, 曹广超, 张卓, 等. 高寒农田土壤有机碳和全氮密度垂直分布特征及其与海拔的关系[J]. 土壤通报, 2022, 53(3): 623-630.]
( 0) |
| [10] |
Wang Y L, Zi H B, Cheng R X, et al. Forest soil organic carbon and nitrogen storage and characteristics of vertical distribution in Qinghai Province (In Chinese)[J]. Acta Ecologica Sinica, 2019, 39(11): 4096-4105. [王艳丽, 字洪标, 程瑞希, 等. 青海省森林土壤有机碳氮储量及其垂直分布特征[J]. 生态学报, 2019, 39(11): 4096-4105.]
( 0) |
| [11] |
Kölbl A, Schad P, Jahn R, et al. Accelerated soil formation due to paddy management on marshlands(Zhejiang Province, China)[J]. Geoderma, 2014, 228/229: 67-89. DOI:10.1016/j.geoderma.2013.09.005
( 0) |
| [12] |
Wang S Q, Liu J Y, Yu G R. Error analysis of estimating terrestrial soil organic carbon storage in China (In Chinese)[J]. Chinese Journal of Applied Ecology, 2003, 14(5): 797-802. [王绍强, 刘纪远, 于贵瑞. 中国陆地土壤有机碳蓄积量估算误差分析[J]. 应用生态学报, 2003, 14(5): 797-802.]
( 0) |
| [13] |
Zheng L, Han X Z, Hao X X, et al. Influences of methods of sampling and calculation on soil organic carbon density in soil profiles of Mollisols (In Chinese)[J]. Chinese Journal of Ecology, 2015, 34(9): 2583-2589. [郑琳, 韩晓增, 郝翔翔, 等. 取样和计算方法对黑土剖面土壤有机碳密度的影响[J]. 生态学杂志, 2015, 34(9): 2583-2589.]
( 0) |
| [14] |
Li A W, Ran M, Song L Y, et al. Spatial distribution characteristics and influencing factors of cropland topsoil organic carbon content in the Sichuan Basin (In Chinese)[J]. Resources and Environment in the Yangtze Basin, 2023, 32(5): 1102-1112. [李艾雯, 冉敏, 宋靓颖, 等. 四川盆地耕地表层土壤有机碳含量空间分布特征及其影响因素[J]. 长江流域资源与环境, 2023, 32(5): 1102-1112.]
( 0) |
| [15] |
Mishra U, Hugelius G, Shelef E, et al. Spatial heterogeneity and environmental predictors of permafrost region soil organic carbon stocks[J]. Science Advances, 2021, 7(9): eaaz5236. DOI:10.1126/sciadv.aaz5236
( 0) |
| [16] |
Chen Y J, Fang K, Qin S Q, et al. Spatial patterns and determinants of soil organic carbon component contents and decomposition rate in temperate grasslands of Nei Mongol, China (In Chinese)[J]. Chinese Journal of Plant Ecology, 2023, 47(9): 1245-1255. [陈颖洁, 房凯, 秦书琪, 等. 内蒙古温带草地土壤有机碳组分含量和分解速率的空间格局及其影响因素[J]. 植物生态学报, 2023, 47(9): 1245-1255.]
( 0) |
| [17] |
Yang R M, Zhang G L, Yang F, et al. Precise estimation of soil organic carbon stocks in the northeast Tibetan Plateau[J]. Scientific Reports, 2016, 6: 21842.
( 0) |
| [18] |
Shi L, Dai W H. Soil organic carbon and its fraction in Anhui Province (In Chinese)[J]. Bulletin of Soil and Water Conservation, 2010, 30(2): 145-149. [石玲, 戴万宏. 安徽省几种主要土壤有机碳含量及其组分研究[J]. 水土保持通报, 2010, 30(2): 145-149.]
( 0) |
| [19] |
Ma Y X, Li X S, Li D C, et al. Spatial variation of soil organic carbon content in farmland and its influencing factors in Mengcheng County, northern Anhui Plain (In Chinese)[J]. Acta Pedologica Sinica, 2014, 51(5): 1153-1159. DOI:10.11766/trxb201303120111 [马渝欣, 李徐生, 李德成, 等. 皖北平原蒙城县农田土壤有机碳空间变异及影响因素[J]. 土壤学报, 2014, 51(5): 1153-1159.]
( 0) |
| [20] |
Zhao M S, Li D C, Wang S H. Variation of soil organic carbon in farmland of Anhui and its influencing factors in the 30 years from 1980 to 2010 (In Chinese)[J]. Acta Pedologica Sinica, 2018, 55(3): 595-605. DOI:10.11766/trxb201708240323 [赵明松, 李德成, 王世航. 近30年安徽省耕地土壤有机碳变化及影响因素[J]. 土壤学报, 2018, 55(3): 595-605.]
( 0) |
| [21] |
Bao S D. Soil and agricultural chemistry analysis (In Chinese). 3rd ed[M]. Beijing: China Agriculture Press, 2000. [鲍士旦. 土壤农化分析[M]. 3版. 北京: 中国农业出版社, 2000.]
( 0) |
| [22] |
Zhang G L, Gong Z T. Soil survey laboratory methods (In Chinese). Beijing: Science Press, 2012. [张甘霖, 龚子同. 土壤调查实验室分析方法[M]. 北京: 科学出版社, 2012.]
( 0) |
| [23] |
Yuan Y Q, Chen H Y, Zhang L M, et al. Prediction of spatial distribution of soil organic carbon in farmland based on multi-variables and random forest algorithm—A case study of a subtropical complex geomorphic region in Fujian as an example (In Chinese)[J]. Acta Pedologica Sinica, 2021, 58(4): 887-899. DOI:10.11766/trxb202001140623 [袁玉琦, 陈瀚阅, 张黎明, 等. 基于多变量与RF算法的耕地土壤有机碳空间预测研究——以福建亚热带复杂地貌区为例[J]. 土壤学报, 2021, 58(4): 887-899.]
( 0) |
| [24] |
Meng G X, Zha T G, Zhang X X, et al. Effects of vegetation type and terrain on vertical distribution of soil organic carbon on abandoned farmlands in the Loess Plateau (In Chinese)[J]. Chinese Journal of Ecology, 2017, 36(9): 2447-2454. [孟国欣, 查同刚, 张晓霞, 等. 植被类型和地形对黄土区退耕地土壤有机碳垂直分布的影响[J]. 生态学杂志, 2017, 36(9): 2447-2454.]
( 0) |
| [25] |
Li L H, Chang Z Q. Application status and suggestions of mechanized straw returning technology in Anhui Province (In Chinese)[J]. Anhui Agricultural Science Bulletin, 2017, 23(S1): 76-79. [李林鹤, 常志强. 安徽省秸秆机械化还田技术应用现状及建议[J]. 安徽农学通报, 2017, 23(S1): 76-79.]
( 0) |
| [26] |
Luo M, Guo L, Zhang H T, et al. Characterization of spatial distribution of soil organic carbon in China based on environmental variables (In Chinese)[J]. Acta Pedologica Sinica, 2020, 57(1): 48-59. DOI:10.11766/trxb201812110454 [罗梅, 郭龙, 张海涛, 等. 基于环境变量的中国土壤有机碳空间分布特征[J]. 土壤学报, 2020, 57(1): 48-59.]
( 0) |
| [27] |
Yang F, Xu Y, Cui Y, et al. Variation of soil organic matter content in croplands of China over the last three decades (In Chinese)[J]. Acta Pedologica Sinica, 2017, 54(5): 1047-1056. DOI:10.11766/trxb201703180633 [杨帆, 徐洋, 崔勇, 等. 近30年中国农田耕层土壤有机质含量变化[J]. 土壤学报, 2017, 54(5): 1047-1056.]
( 0) |
| [28] |
Xu L, He N P, Yu G R, et al. Differences in pedotransfer functions of bulk density lead to high uncertainty in soil organic carbon estimation at regional scales: Evidence from Chinese terrestrial ecosystems[J]. Journal of Geophysical Research: Biogeosciences, 2015, 120(8): 1567-1575.
( 0) |
| [29] |
Jia H X, Wang X, Li J, et al. Dynamic simulation of soil organic carbon storage in farmland of the Yanqi Basin Oasis area, in Xinjiang Province (In Chinese)[J]. Acta Ecologica Sinica, 2019, 39(14): 5106-5116. [贾海霞, 汪霞, 李佳, 等. 新疆焉耆盆地绿洲区农田土壤有机碳储量动态模拟[J]. 生态学报, 2019, 39(14): 5106-5116.]
( 0) |
| [30] |
Qiu S H, Lin S Y, Wang W Q. Characteristics of soil organic carbon pool at different altitude gradients in Eastern China and its influencing factors: A review (In Chinese)[J]. Science of Soil and Water Conservation, 2022, 20(3): 142-150. [邱思慧, 林少颖, 王维奇. 中国东部地区不同海拔梯度土壤有机碳库特征及其影响因素综述[J]. 中国水土保持科学, 2022, 20(3): 142-150.]
( 0) |
| [31] |
Wiesmeier M, Urbanski L, Hobley E, et al. Soil organic carbon storage as a key function of soils - A review of drivers and indicators at various scales[J]. Geoderma, 2019, 333: 149-162.
( 0) |
| [32] |
Chen X, Zhang Y J, Zou J L, et al. Distribution characteristics of forest surface soil organic carbon in Taibai Mountains of Qinling (In Chinese)[J]. Journal of Forest and Environment, 2022, 42(3): 244-252. [陈曦, 张彦军, 邹俊亮, 等. 秦岭太白山森林表层土壤有机碳分布特征[J]. 森林与环境学报, 2022, 42(3): 244-252.]
( 0) |
| [33] |
Li M, Han X Z, Du S L, et al. Profile stock of soil organic carbon and distribution in croplands of Northeast China[J]. Catena, 2019, 174: 285-292.
( 0) |
| [34] |
Chen L S, Huang X Y, Xue D, et al. Distribution characteristics of soil organic carbon and its influencing factors in the peatlands of Western Sichuan Plateau, China (In Chinese)[J]. Chinese Journal of Applied and Environmental Biology, 2022, 28(2): 267-275. [陈良帅, 黄新亚, 薛丹, 等. 川西高原泥炭沼泽土壤有机碳分布特征及其影响因素[J]. 应用与环境生物学报, 2022, 28(2): 267-275.]
( 0) |
| [35] |
Zhao M S, Zhang G L, Wang D C, et al. Spatial variability of soil organic matter and its dominating factors in Xu-Huai Alluvial Plain (In Chinese)[J]. Acta Pedologica Sinica, 2013, 50(1): 1-11. DOI:10.11766/trxb201111220461 [赵明松, 张甘霖, 王德彩, 等. 徐淮黄泛平原土壤有机质空间变异特征及主控因素分析[J]. 土壤学报, 2013, 50(1): 1-11.]
( 0) |
| [36] |
Xie X L, Sun B, Zhou H Z, et al. Soil carbon stocks and their influencing factors under native vegetations in China (In Chinese)[J]. Acta Pedologica Sinica, 2004, 41(5): 687-699. DOI:10.11766/trxb200312090505 [解宪丽, 孙波, 周慧珍, 等. 不同植被下中国土壤有机碳的储量与影响因子[J]. 土壤学报, 2004, 41(5): 687-699.]
( 0) |
| [37] |
Chai R S, Xu Y, Cheng Q P, et al. Nutrient resource quantity of main crop straw and utilization potential under straw returning in Anhui Province (In Chinese)[J]. Scientia Agricultura Sinica, 2021, 54(1): 95-109. [柴如山, 徐悦, 程启鹏, 等. 安徽省主要作物秸秆养分资源量及还田利用潜力[J]. 中国农业科学, 2021, 54(1): 95-109.]
( 0) |
2025, Vol. 62



0)