2. 中国科学院地理科学与资源研究所现代农业工程重点实验室, 北京 100101;
3. 中国科学院生态环境研究中心城市与区域生态国家重点实验室, 北京 100085;
4. 中国科学院大学资源与环境学院, 北京 100049;
5. 西北农林科技大学资源环境学院, 陕西杨凌 712100
2. Modern Agricultural Engineering Laboratory, Institute of Geographic Sciences and Natural Resources Research, Chinese Academy of Sciences, Beijing 100101, China;
3. State Key Laboratory of Urban and Regional Ecology, Research Center for Eco-Environmental Sciences of Chinese Academy of Sciences, Beijing 100085, China;
4. College of Resources and Environment, University of Chinese Academy of Sciences, Beijing 100049, China;
5. College of Natural Resources and Environment, Northwest A & F University, Yangling, Shaanxi 712100, China
植物蒸腾是陆地生态水文过程中的重要环节[1],也是植物响应外界环境变化最为敏感的指标之一[2]。随着气候变暖和全球降水分配格局不断发生变化,干旱半干旱地区水资源短缺现象将持续加剧[3],严重威胁区域生态安全与可持续发展。因此,明晰水资源日益短缺背景下人工恢复植物蒸腾耗水特征及驱动机制,对于深入理解植物–水分关系及其相互作用机理具有重要意义。
热扩散探针法操作简单、相对便宜,且稳定性高,被认为是准确估算树木蒸腾耗水量最为实用的方法之一[4-6]。利用热扩散式液流计测定的树干液流密度(Js)能够反映植物瞬时蒸腾量,其大小受植物本身特性(如植物类型、生长阶段和抗逆性等)、气象因子(如饱和水气压差(VPD)、光合有效辐射(PAR)、风速(Ws)、气温(Ta)、降水量(P)、相对湿度(RH)等)以及土壤供水能力、地下水位等的共同影响[4,6-7]。Bovard等[8]指出PAR一方面直接影响植物光合作用和蒸腾速率,另一方面通过影响Ta和VPD间接影响植物蒸腾动态。Deng等[9]对不同林龄樟子松人工林的蒸腾速率进行了估算和比较,结果表明VPD是影响樟子松人工林蒸腾速率的主要驱动因素。Song等[6,10]研究表明人工引种区樟子松蒸腾速率显著高于自然樟子松林,且VPD对不同地区樟子松蒸腾速率变化的影响高于PAR。陈彪等[11]研究了城市樟子松液流动态及影响因素,结果表明PAR和VPD是影响樟子松液流密度的主控因子,而树干胸径、Ws和土壤湿度对液流密度的影响相对较小。此外,影响树干液流密度的主导因素随着水分条件的不同而发生变化。张晓等[12]研究发现,当地下水位较浅时,樟子松人工林对干旱的抵抗力随林龄增加而增加。高林龄樟子松人工林能够通过利用地下水维持较高的抵抗力;而随着地下水位降低,高林龄樟子松人工林由于无法继续利用地下水,其对干旱的抵抗力将下降。有研究表明,在类似沙地生态系统中常绿树种通常具有依赖深层根系获取地下水的能力,对季节性干旱具有较高的恢复力[13-14]。目前,国内外学者对不同地区植物蒸腾耗水进行了大量研究,但对榆林沙区水资源短缺、地下水位季节变化下樟子松蒸腾耗水及其影响因素研究较少。回答上述问题有助于优化沙区水资源配置,改善区域生态环境,提升防护林的稳定性和抵御能力。基于此,本研究采用热扩散式液流计、土壤水分传感器、小型气象站和地下水位自动监测仪对陕北榆林沙区樟子松树干液流密度、土壤含水量、气象因子和地下水位动态进行连续监测。研究的主要目的包括:(1)量化樟子松人工林蒸腾速率季节变化;(2)探讨浅层地下水位变化下樟子松人工林蒸腾耗水的主控因素。研究结果可为沙区有限水资源高效利用、人工林可持续管理和三北防护林建设提供科学依据。
1 材料与方法 1.1 研究区概况研究区位于陕西省榆林市毛乌素沙地东南缘圪丑沟小流域(38°48'–38°54'N,109°11'–109°29'E),流域面积约45 km2,海拔1 250~1 280 m。该区域属于温带半干旱大陆性季风气候,年均温度9.1 ℃,最低和最高气温分别为−21 ℃和24 ℃。该区域70%的降水集中在7–9月份,多年平均(2010–2021年)降水量约为375 mm。流域内地貌以半固定沙丘和固定沙丘为主,土壤类型主要为干旱砂质新成土[15]。研究区地下水位介于0.5~3 m[16]。流域内自然植被稀少,人工植被类型主要为樟子松( Pinus sylvestris L. var. mongholica)、长柄扁桃(A. pcdunculata.)、沙柳(S. psammophila.)、紫穗槐(A. fruticosa.)和沙蒿(A. desterorum.)等。其中,樟子松具有耐寒、耐旱和耐瘠薄的特点,是中国北方防沙治沙的典型造林树种。截至目前,圪丑沟流域樟子松人工林面积已超过70万hm2,显著改善了区域生态环境。
1.2 样地选择植物蒸腾速率测定方法因观测尺度不同而存在差异[17]。本研究选取毛乌素沙地圪丑沟小流域树龄为18年、以每公顷种植1.3~1.8万棵的引种樟子松为研究对象,随机选取20 m×10 m样地作为观测点开展试验。所选样地位于沙丘底部,样地内樟子松长势基本一致,植株胸径和株高分别为8.7~12.0 cm和4.3~6.2 m,边材面积为42.3~70.6 cm2。在样地内随机选取8株长势一致的樟子松进行观测(2021年5月–2021年10月),观测样本基本信息见表 1。
|
|
表 1 样木基本信息 Table 1 Basic information of sample wood |
在样木距离地面1.5 m处安装液流探针(长度2 cm,直径2 mm,Dynamax Inc.,Houston,TX,USA)。由于树干液流密度在不同方位上存在变化,且探针数量有限,本研究统一将探针安装于树干南侧以代表整株樟子松液流密度。用防辐射塑料泡沫包裹探针尾部,减少外界温度变化对测定结果的影响。探针与CR1000数据采集器连接,液流探针10 s扫描一次,每30 min记录一次平均值。根据Granier[17]提出的樟子松液流密度计算方法,本研究樟子松液流密度(Js)计算公式为:
| $ {J_s}{\text{ = 0}}{\text{.0119}}{\left( {\frac{{\Delta {{\text{T}}_{\text{m}}}}}{{\Delta {\text{T}}}} - {\text{1}}} \right)^{{\text{1}}{\text{.231}}}} $ | (1) |
式中,Js(g·cm–2·s−1)为液流密度,∆Tm为零流量时的温差,∆T为两个探头之间的温差。
1.4 蒸腾耗水量估算樟子松单株蒸腾耗水量Td采用以下公式来计算:
| $ {\text{Td}} = \mathop \sum \limits_{i = 1}^{48} {J_{si}} \times As \times 1\;800 $ | (2) |
式中,Td为单株样木单位时间内的蒸腾量(kg·d–1),本试验数据采集器每10 s对瞬时数据进行采集,每30 min对所采集数据求一次平均值。时间换算系数为1 800,一天共获得48个数据;i为样木数量;Jsi为样木i的液流密度;As为样木边材面积(cm2)。
单位面积樟子松总耗水量(TWC,kg·d−1)可计算如下:
| $ {\text{TWC}} = \mathop \sum \limits_{i = 1}^n {J_s} \times {A_s} \times 3600 \times {10^{ - 3}} $ | (3) |
式中,i为样木数量;Js为液流密度;As为樟子松的边材面积(cm2)。每棵樟子松的As基于As和胸径(DBH)之间的指数回归公式As =0.36 DBH2.18计算得出[18]。
环境因子通过CR800数据采集器(Campbell公司,USA)采集,每30 min记录一次。其中,环境因子包括PAR(µm·m–2·s–1)、Ta(℃)、RH(%)、Ws(m·s–1)和P(mm)。VPD(kPa)由Ta和RH通过以下公式得出:
| $ {\text{VPD}} = 0.611{e^{\frac{{177.502Ta}}{{Ta + 240.97}}}}\left( {1 - {\text{RH}}} \right) $ | (4) |
式中,VPD为饱和水汽压差(kPa);Ta为气温(℃),RH为空气相对湿度(%)。
土壤含水量采用Hydros-10土壤水分传感器测定,测定深度分别为20、40、60、100、140、180、220和260 cm。土壤水分探针每30 min记录一次土壤含水量。
地下水位埋深(GWL)采用地下水位仪(HOBO probes,U20–001–04,Onset,Bourne,USA)进行自动监测。
土壤有效储水量(AWS)通过以下公式计算:
| $ {\mathtt{ω}}_{ijk}=\left({\mathtt{θ}}_{ijk}-{w}_{ik}\right){d}_{k} $ | (5) |
式中,ωijk为第i个监测点在第j次第k个土层的AWS(mm),θijk为第i个监测点在第j次第k个土层的土壤体积含水量(%),wik为第 i个监测点第 k个土层的体积含水量,dk为土层深度(mm)。
Pei等[19]采用同位素质量守恒原理,量化了樟子松对不同水源的吸收利用比例。本文使用樟子松根系吸水来源比例与樟子松总耗水量(TWC)相乘得出不同深度樟子松根系耗水量(RWU)。
2 结果 2.1 生长季内气象因子与樟子松液流密度变化特征观测期内Ws、PAR、Ta和VPD日变化总体均呈现先波动上升后下降的趋势(图 1)。生长季(5–10月)内平均Ws为1.1 m·s–1,其中5月和10月Ws较低,最低日均Ws为0.5 m·s–1;7–8月较高,最高日均Ws为2.4 m·s–1。观测期内总降雨量为178 mm,其中7–9月降水事件相对集中(共161 mm),占生长季内降雨量的90%,单次最大降雨量为49 mm。PAR生长季内波动明显,其中5、6月整体偏高(介于100~380 μm·m–2·s–1之间),7月之后呈波动下降趋势。生长季内VPD变化范围介于0~2.5 kPa之间(图 1c),其中5–6月和9–10月VPD均值(1.3 kPa和0.7 kPa)显著低于7–8月(1.4 kPa)(P < 0.05)。观测期间平均气温为18.5 ℃,最高温出现在7月(29.7 ℃)(图 1e)。樟子松Js季节变化显著,其中最高值出现在8月,且该月Js变化幅度明显高于其他月份(图 1f)。地下水位埋深变化范围为2.47~2.56 m,其中最深地下水位出现在10月(图 1g)。
|
图 1 生长季内环境因子及液流密度动态变化 Fig. 1 Dynamic changes in environmental factors and sap flow density during the growing season |
观测期间晴天Js呈单峰曲线变化(图 2),日出后6:00开始上升,于11:00–12:00达到最大值,而后快速下降,至18:00后液流逐渐消失。连续5日晴天(9月3日–9月7日)樟子松Js变化趋势基本一致,峰值均出现在中午12点左右。PAR和VPD日变化规律与Js一致,变化范围分别为130~890 μm·m–2·s–1和0.1~3.6 kPa。然而,VPD峰值出现时间相对滞后,与Js峰值相比约滞后2 h。阴天(7月26日)Js以双峰曲线形式变化,且Js开始上升时间较晴天滞后1 h,峰值也较晴天低。雨天(7月25日)Js、VPD和PAR均未呈规律性变化。
|
图 2 不同天气条件下液流密度动态变化 Fig. 2 Dynamic changes of sap flow density in different climatic conditions |
观测期无降雨事件时,地下水位埋深与樟子松Js变化明显(图 3)。5–6月樟子松Js呈波动上升趋势,而样地地下水位埋深则缓慢下降(图 3a)。7–10月樟子松Js和样地地下水位均呈下降趋势(图 3a)。地下水位日变化和樟子松Js显著相关(P < 0.05)(图 3c)。地下水位的峰值和谷值分别出现在清晨05:00– 07:00和午时11:00–13:00,分别对应樟子松液流密度的谷值和峰值(图 3b)。
|
图 3 不同地下水位埋深下液流密度动态变化 Fig. 3 Dynamic changes of sap flow density under different groundwater levels (GWL) |
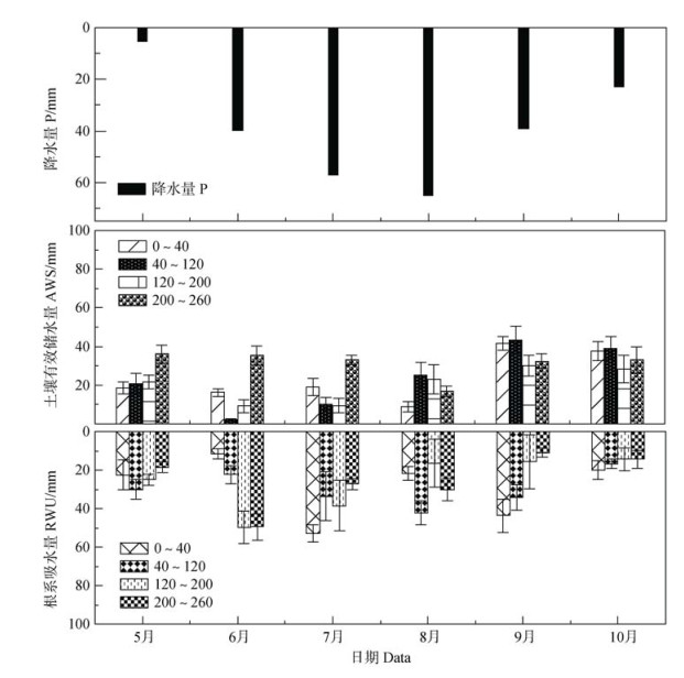
5–10月各土层土壤有效储水量季节波动较大。5–6月0~40、40~120和120~200 cm土层土壤有效储水量呈下降趋势;8–10月不同深度土层土壤有效储水量呈增加趋势。相比之下,受地下水补给影响的200~260 cm土层土壤有效储水量在生长季内未表现出明显变化。樟子松根系耗水量季节变化明显,5月和10月樟子松根系耗水量相对较低,而6–9月则维持较高水平。从根系吸水分配上看,5和8月樟子松吸水活跃土层为40~120 cm,7、9和10月则为0~40 cm土层;而6月樟子松根系吸水活跃土层转变为120~200和200~260 cm土层。综上所述,樟子松根系吸水活跃层与不同深度土层土壤有效储水量密切相关(图 4)。
|
图 4 降水量、不同土层土壤有效储水量和根系吸水量动态变化 Fig. 4 Dynamic changes in precipitation, available water storage in different soil layers and root water uptake |
樟子松单株蒸腾耗水量(Td)与Ws、Ta、PAR和VPD之间存在显著相关性(图 5)。当Ws < 1 m·s–1时,樟子松Td随着Ws的增加而显著增加,而当Ws > 1 m·s–1时,Td增速明显减缓。Td与Ws存在显著相关性(Td=8.16(1-e–1.7Ws)(R2=0.47,P < 0.05)(图 5b)。樟子松Td随Ta升高呈线性增加趋势,二者之间具有显著相关性(Td=2.82+0.21Ta)(R2= 0.70,P < 0.05。观测期间樟子松Td随VPD的增加呈指数饱和响应(Td=8.01(1-e–1.93 VPD)(R2=0.36,P < 0.05)(图 5a)。当VPD > 1.5 kPa时,樟子松Td趋于稳定,并维持在较高水平。对樟子松Td与环境因子之间关系进行相关性分析(图 6),结果表明,Td与Ws、Ta、VPD及PAR呈显著正相关性,与0~40、40~120及120~200 cm土层含水量呈显著负相关性。
|
图 5 樟子松单株蒸腾耗水量(Td)与气象因子关系 Fig. 5 Relationships between the transpiration water consumption of single P. sylvestris (Td) and meteorological factors |
|
注:**表示显著性水平P < 0.01;图中各土层土壤含水量为平均土壤含水量。 Note: ** indicates the significance level P < 0.01;The soil moisture content of each soil layer in the figure is the average soil moisture content. 图 6 樟子松单株蒸腾耗水量(Td)与环境因子关系 Fig. 6 Relationship between the transpiration water consumption (Td) of single P. sylvestris and environmental factors |
樟子松蒸腾耗水量日变化与气象条件密切相关。张友焱等[20]研究表明内蒙古乌审旗境内樟子松液流密度(Js)呈“双峰”曲线变化(峰值分别出现在10:00和14:00),即存在明显的“午休”现象。然而,陈彪等[11]在对城市绿化带樟子松蒸腾特征的研究中发现,樟子松Js呈“单峰”曲线变化。本研究表明晴天条件下樟子松Js呈“单峰”曲线变化,峰值出现在11:00~12:00时,并未出现“午休”现象;然而,阴天条件下Js则具有弱的“双峰”特征(图 3)。这主要归因于不同地区樟子松生理特征对气象因子响应的敏感度不同[21]。不同海拔樟子松生长速率也存在差异,海拔较高地区,华北落叶松(Larix principis-rupprechtii Mayr)的径向生长速率高于樟子松。然而,在低海拔地区,樟子松的生长速率高于华北落叶松[22]。Song等[6,10]研究表明晴天条件下樟子松气孔导度主要受VPD和PAR影响,而阴天条件下樟子松液流则主要受VPD和Ta控制。Deng等[9]研究表明樟子松存在干旱适应机制,即随着蒸发需求的增加,气孔导度逐渐降低,树木的水分损失也明显减少。半成熟樟子松林气孔对VPD敏感度较高,因此在土壤水分偏低情况下更具生长优势;而成熟和幼龄樟子松林气孔对VPD敏感度相对较低,因此在土壤含水量较低时存在衰退和枯死风险[9]。
研究区樟子松单株蒸腾耗水量(Td)对气象因子响应敏感。其中Ta和VPD对樟子松蒸腾的影响最为显著(图 6),而Ws和PAR较弱,这与张友焱等[20]和Song等[6]在类似沙地樟子松Td研究结果不同。这一差异的出现可能与两方面原因有关:(1)研究区地处西风带,生长季内平均Ws高达1.1 m·s–1(图 1)。高Ws改变了樟子松叶片周围微环境,进而影响Td日变化特征[23]。(2)研究区相对低的Ta(年均Ta仅为9.1℃)也是影响樟子松Td日变化的重要因素[24]。除Ta和Ws外,VPD和PAR同样显著影响研究区樟子松蒸腾耗水特征(图 5),这与前人研究结果一致[18,25]。太阳辐射能够刺激叶片气孔的开放,进而诱导植物蒸腾强度随PAR增强而升高。VPD主要通过增加蒸腾拉力提升植物蒸腾强度,当VPD低于1.4 kPa时,樟子松Td随VPD增加而快速增加;而当VPD高于1.5 kPa时,樟子松蒸腾速率Td逐渐趋于稳定。因此,樟子松蒸腾速率对VPD的响应存在阈值效应:当VPD过高时,植物叶片气孔部分关闭以避免木质部导管栓塞[10]。此外,树干液流密度与环境因子日变化趋势基本一致,但液流启动及达到峰值时间均提前于PAR和VPD(图 2)。这一现象的出现可能与植物内部储水以及所处位置差异有关[26]。陈彪等[11]在研究樟子松液流变化过程中发现:樟子松Js峰值出现时间滞后于PAR峰值,但提前于VPD峰值。
此外,通过TDP探针测得樟子松树干液流密度可能低估了其真实值,存在需要校准的必要性[27]。然而,同一树种不同校准方法所得结果差异较大,且相关校准公式的应用效果也各不相同,表明现有的液流校正公式存在限制性[28]。因此,在未来的樟子松树干液流测定过程中,需设计一种更为科学的校准方法,以改进TDP估算樟子松耗水的精度。研究表明,采用间断加热法,结合校准公式计算樟子松蒸腾耗水量,能够获得更精确的测量结果[27]。
3.2 土壤含水量和地下水位波动对樟子松蒸腾耗水量的影响干旱半干旱地区土壤含水量是影响植物蒸腾耗水特征的重要环境因子之一[6,26]。本研究表明不同土层土壤含水量对樟子松蒸腾耗水的影响存在差异。深层(120~200 cm)土壤含水量对樟子松蒸腾耗水量影响更为显著,0~40和200~260 cm土壤含水量相对较弱(图 6)。这主要归因于:(1)200~260 cm土层接近地下水位,受地下水位季节性波动影响显著,水源供给相对稳定;(2)旱季樟子松主要吸收120~200和200~260 cm土层土壤水,而雨季则主要利用0~40 cm土壤水[19]。此外,樟子松根系功能二态性也为旱季和雨季吸收利用不同深度土壤水提供了有利条件[16]。樟子松单株蒸腾耗水量与Ws、Ta、VPD及PAR呈正相关性,与P、GWL及各土层含水量呈负相关性(图 7)。从日尺度上看,樟子松液流密度动态与地下水位变化趋势相反。白天樟子松蒸腾消耗地下水,导致地下水位短暂下降;夜间樟子松蒸腾作用较弱,地下水位回升(图 3b)。因此研究区地下水位变化可能受到地下水补给途径和植物蒸腾耗水的共同影响[29]。张晓等[12]研究了不同林龄樟子松人工林径向生长对气候及地下水位变化的响应。结果表明,樟子松蒸腾耗水总体上与降水主导的水文年际变化趋势一致,也与地下水位的年际变化规律基本吻合。因此,研究区地下水作为樟子松蒸腾耗水重要的水分来源之一,对维持人工林健康稳定具有至关重要的作用。
3.3 樟子松蒸腾耗水动态对林分管理的启示干旱半干旱地区土壤含水量是维持人工林生态系统稳定的关键因子[19]。同时,地下水作为另一重要潜在水源对于沙区生态系统植物生长也十分重要。当土壤含水量无法满足植物生长需求时,地下水为植物蒸腾提供了额外水源[29]。基于氢氧稳定同位素的研究结果表明,大多数荒漠植物在旱季能够吸收利用浅层地下水[30–32]。在干旱条件下,樟子松对深层土壤水和地下水的吸收比例高达85%[16]。本研究区地下水对不同类型固沙植物水分来源的贡献接近30%[19]。除气象因子外,地下水位和深层土壤含水量(200~260 cm)也是影响樟子松蒸腾耗水的重要因素。
樟子松生长季总蒸腾耗水量约为147 mm,占生长季降水量83%,土壤平均储水量占生长季总蒸腾耗水量64%。陕北榆林沙区是三北工程建设的重要区域。随着三北工程的开展,榆林沙区防沙治沙和植被恢复也在不断推进,该区樟子松蒸腾耗水量将继续增加,从而进一步降低土壤含水量并消耗地下水资源。在降雨量极低的年份,当地下水位突降时,樟子松人工林可能面临枯死风险。建议在加强研究区地下水资源观测力度的同时,对研究区樟子松人工林下层侧枝进行合理修剪,降低植株蒸腾耗水量。此外,应适时优化人工林的植被配置和种植密度。在榆林沙区,农田耕作需与三北防护林的建设与管理同步进行,形成科学且可持续的产业结构,发展科学治沙与节水农业,保证榆林沙区水资源合理利用与生态稳健发展。
4 结论本研究采用液流技术结合气象因子、土壤水分动态观测和地下水位波动数据,定量分析了榆林沙区樟子松冠层蒸腾动态变化,并揭示了影响樟子松人工林蒸腾耗水量的主控因子。生长季内樟子松液流密度呈现先增加后降低的趋势,且昼夜变化较大。晴天时液流密度呈“单峰”曲线,而在阴天和雨天时液流密度无显著变化规律。饱和水汽压差、风速、温度、光合有效辐射和地下水位季节波动及其引起的土壤含水量变化是影响樟子松蒸腾耗水动态的主控因子。未来需进一步结合其他观测技术分析不同植被恢复树种水分利用模式、耗水量动态及其影响因素,为榆林沙区水资源高效利用、人工林可持续管理和三北防护林建设提供数据支撑。
| [1] |
Kirschbaum M U F, McMillan A M S. Warming and elevated CO2 have opposing influences on transpiration. which is more important?[J]. Current Forestry Reports, 2018, 4(2): 51-71. DOI:10.1007/s40725-018-0073-8
( 0) |
| [2] |
Wang H L, Tetzlaff D, Dick J J, et al. Assessing the environmental controls on Scots pine transpiration and the implications for water partitioning in a boreal headwater catchment[J]. Agricultural and Forest Meteorology, 2017, 240: 58-66.
( 0) |
| [3] |
Greve P, Orlowsky B, Mueller B, et al. Global assessment of trends in wetting and drying over land[J]. Nature Geoscience, 2014, 7: 716-721. DOI:10.1038/ngeo2247
( 0) |
| [4] |
Fuchs S, Leuschner C, Link R, et al. Calibration and comparison of thermal dissipation, heat ratio and heat field deformation sap flow probes for diffuse-porous trees[J]. Agricultural and Forest Meteorology, 2017, 244: 151-161.
( 0) |
| [5] |
Xu S Q, Yu Z B, Zhang K, et al. Simulating canopy conductance of the Haloxylon ammodendron shrubland in an arid inland river basin of Northwest China[J]. Agricultural and Forest Meteorology, 2018, 249: 22-34. DOI:10.1016/j.agrformet.2017.11.015
( 0) |
| [6] |
Song L N, Zhu J J, Zheng X, et al. Transpiration and canopy conductance dynamics of Pinus sylvestris var. mongolica in its natural range and in an introduced region in the sandy Plains of Northern China[J]. Agricultural and Forest Meteorology, 2020, 281: 107830. DOI:10.1016/j.agrformet.2019.107830
( 0) |
| [7] |
Li J M, Yu P T, Wan Y F, et al. The differential responses of tree transpiration to seasonal drought among competitive pressures in a larch plantation of Northwest China[J]. Agricultural and Forest Meteorology, 2023, 336: 109468. DOI:10.1016/j.agrformet.2023.109468
( 0) |
| [8] |
Bovard B D, Curtis P S, Vogel C S, et al. Environmental controls on sap flow in a northern hardwood forest[J]. Tree Physiology, 2005, 25(1): 31-38. DOI:10.1093/treephys/25.1.31
( 0) |
| [9] |
Deng J F, Yao J Q, Zheng X, et al. Transpiration and canopy stomatal conductance dynamics of Mongolian pine plantations in semiarid deserts, Northern China[J]. Agricultural Water Management, 2021, 249: 106806. DOI:10.1016/j.agwat.2021.106806
( 0) |
| [10] |
Song L N, Zhu J J, Li M C, et al. Canopy transpiration of Pinus sylvestris var. mongolica in a sparse wood grassland in the semiarid sandy region of Northeast China[J]. Agricultural and Forest Meteorology, 2018, 250: 192-201.
( 0) |
| [11] |
Chen B, Chen L X, Liu Q Q, et al. Transpiration of Pinus sylvestris var. mongolica and its response to urban environmental factors in semi-arid area (In Chinese)[J]. Acta Ecologica Sinica, 2015, 35(15): 5076-5084. [陈彪, 陈立欣, 刘清泉, 等. 半干旱地区城市环境下樟子松蒸腾特征及其对环境因子的响应[J]. 生态学报, 2015, 35(15): 5076-5084.]
( 0) |
| [12] |
Zhang X, Wu M W, Kwon S, et al. Radial growth responses of Mongolian pine (pinus sylvestris var. mongolica) plantations at different ages to climate and groundwater level changes (In Chinese)[J]. Acta Ecologica Sinica, 2022, 42(16): 6827-6837. [张晓, 吴梦婉, SeMyung Kwon, 等. 不同林龄樟子松人工林径向生长对气候及地下水位变化的响应[J]. 生态学报, 2022, 42(16): 6827-6837.]
( 0) |
| [13] |
David T S, Henriques M O, Kurz-Besson C, et al. Water-use strategies in two co-occurring Mediterranean evergreen oaks: Surviving the summer drought[J]. Tree Physiology, 2007, 27(6): 793-803. DOI:10.1093/treephys/27.6.793
( 0) |
| [14] |
Paço T A, David T S, Henriques M O, et al. Evapotranspiration from a Mediterranean evergreen oak savannah: The role of trees and pasture[J]. Journal of Hydrology, 2009, 369(1/2): 98-106.
( 0) |
| [15] |
Gong Z T, Zhang G L, Chen Z C. Pedogenesis and soil taxonomy[M]. Beijing: Science Press, 2007.[龚子同, 张甘霖, 陈志诚, 等. 土壤发生与系统分类[M]. 北京: 科学出版社, 2007.]
( 0) |
| [16] |
Pei Y W, Huang L M, Li R L, et al. Root water source of Pinus sylvestris L. var. mongholica and influencing factors in the southeastern part of Mu Us sandy land, China (In Chinese)[J]. Acta Pedologica Sinica, 2022, 59(5): 1336-1348. DOI:10.11766/trxb202011060608 [裴艳武, 黄来明, 李荣磊, 等. 毛乌素沙地东南缘人工林樟子松根系吸水来源与影响因素[J]. 土壤学报, 2022, 59(5): 1336-1348.]
( 0) |
| [17] |
Chen Y Y, Wang X K, Zhang H X, et al. Variations in sap flux density of three urban tree species and their main environmental influencing factors in different timescales in the Beijing metropolitan area[J]. Forests, 2022, 13(10): 1646. DOI:10.3390/f13101646
( 0) |
| [18] |
Wei Z S, Niu J S, Wu M W, et al. Study on the growth process of Pinus sylvestris var. mongolica plantation trees in Zhanggutai area (In Chinese)[J]. Protection Forest Science and Technology, 2023(6): 50—54, 65. [魏忠帅, 牛进松, 吴梦婉, 等. 章古台地区樟子松人工林树木生长过程研究[J]. 防护林科技, 2023(6): 50—54, 65.]
( 0) |
| [19] |
Pei Y W, Huang L M, Shao M A, et al. Water use pattern and transpiration of Mongolian pine plantations in relation to stand age on northern Loess Plateau of China[J]. Agricultural and Forest Meteorology, 2023, 330: 109320. DOI:10.1016/j.agrformet.2023.109320
( 0) |
| [20] |
Zhang Y Y, Zhou Z F, Dang H Z, et al. A study on the sap flow of Pinus sylvestris var. mongolica with thermal dissipation probe (In Chinese)[J]. Research of Soil and Water Conservation, 2006, 13(4): 78-80. [张友焱, 周泽福, 党宏忠, 等. 利用TDP茎流计研究沙地樟子松的树干液流[J]. 水土保持研究, 2006, 13(4): 78-80.]
( 0) |
| [21] |
Bian J X, Zhang Q L. Diameter growth characteristics of Pinus sylvestris var. mongolica at different sites in Daxinganling and its response to climate change (In Chinese)[J]. Xiandai Horticulture, 2016(10): 7-9. [卞建新, 张秋良. 大兴安岭不同立地樟子松径生长特征及其对气候变化的响应[J]. 现代园艺, 2016(10): 7-9.]
( 0) |
| [22] |
Li M Y, Leng Q N, Hao G Y. Contrasting patterns of radial growth rate between Larix principis-rupprechtii and Pinus sylvestris var. mongolica along an elevational gradient are mediated by differences in xylem hydraulics[J]. Forest Ecology and Management, 2021, 497: 119524. DOI:10.1016/j.foreco.2021.119524
( 0) |
| [23] |
Zhao H L, Li J, Zhou R L, et al. Effects of wind frequency on the rates of photosynthesis and transpiration in Pinus sylvestris var. mongolica seedlings (In Chinese)[J]. Acta Ecologica Sinica, 2017, 37(5): 1431-1437. [赵哈林, 李瑾, 周瑞莲, 等. 不同强度净风频繁吹袭对樟子松(Pinus sylvestris var. mongolica)幼苗光合蒸腾特征的影响[J]. 生态学报, 2017, 37(5): 1431-1437.]
( 0) |
| [24] |
Lu Z P, Wei Y W, Li Z Y, et al. Characteristics of sap flow and its influencing factors of Pinus sylvestris var. mongolica in sandy land of Northwest Liaoning (In Chinese)[J]. Chinese Journal of Ecology, 2017, 36(11): 3182-3189. [卢志朋, 魏亚伟, 李志远, 等. 辽西北沙地樟子松树干液流的变化特征及其影响因素[J]. 生态学杂志, 2017, 36(11): 3182-3189.]
( 0) |
| [25] |
Meng P, Li Y L, You G C, et al. Characteristics of photosynthetic productivity and water-consumption for transpiration in Pinus densiflora var. zhangwuensis and Pinus sylvestris var. mongolica (In Chinese)[J]. Acta Ecologica Sinica, 2012, 32(10): 3050-3060. [孟鹏, 李玉灵, 尤国春, 等. 彰武松、樟子松光合生产与蒸腾耗水特性[J]. 生态学报, 2012, 32(10): 3050-3060.]
( 0) |
| [26] |
Zhang H D, Wei W, Chen L D, et al. Effects of terracing on soil water and canopy transpiration of Pinus tabulaeformis in the Loess Plateau of China[J]. Ecological Engineering, 2017, 102: 557-564.
( 0) |
| [27] |
Ma Y J. Research on applicability of thermal dissipation probe method in sap flow measurement of diffuse-porous wood[D]. Baoding, Hebei: Hebei Agricultural University, 2020.[马玉洁. 热扩散式探针法在散孔材树种树干液流测定中的适用性研究[D]. 河北保定: 河北农业大学, 2020.]
( 0) |
| [28] |
Zhao X N, Tian X N, Li X, et al. Analysis of applicability of Granier's original equation for calculating the stem sap flux density: Take Populus tomentosa as an example (In Chinese)[J]. Chinese Journal of Plant Ecology, 2023, 47(3): 404-417. [赵小宁, 田晓楠, 李新, 等. Granier原始公式计算树干液流速率的适用性分析–以毛白杨为例[J]. 植物生态学报, 2023, 47(3): 404-417.]
( 0) |
| [29] |
Song L N, Zhu J J, Li M C, et al. Sources of water used by Pinus sylvestris var. mongolica trees based on stable isotope measurements in a semiarid sandy region of Northeast China[J]. Agricultural Water Management, 2016, 164: 281-290.
( 0) |
| [30] |
Liu S M, Bai J W, Jia Z, et al. Estimation of evapotranspiration in the Mu Us sandland of China[J]. Hydrology and Earth System Sciences, 2010, 14(3): 573-584.
( 0) |
| [31] |
Yu X W, Liu H M, Wang L X, et al. Analysis on water sources of riverbank vegetation in tributary of Yellow River based on stable isotope technique (In Chinese)[J]. Bulletin of Soil and Water Conservation, 2021, 41(5): 75—82, 91. [于晓雯, 刘华民, 王立新, 等. 基于稳定同位素技术的黄河支流河岸植被水分来源解析[J]. 水土保持通报, 2021, 41(5): 75—82, 91.]
( 0) |
| [32] |
Zhao P, Xu X Y, Jiang S X, et al. Water utilization pattern of Tamarix ramosissima Ledeb. Nebkhas with different decline degrees in the lower reaches of Shiyang River (In Chinese)[J]. Acta Ecologica Sinica, 2022, 42(17): 7187-7197. [赵鹏, 徐先英, 姜生秀, 等. 石羊河下游不同衰退程度多枝柽柳灌丛水分利用格局研究[J]. 生态学报, 2022, 42(17): 7187-7197.]
( 0) |
2025, Vol. 62



0)