2. 重庆市巴南区农业技术推广站, 重庆 401320;
3. 重庆市农业技术推广总站, 重庆 401121
2. Agricultural Technology Extension Station of Banan District, Chongqing 401320, China;
3. Chongqing General Agricultural Technology Extension Station, Chongqing 401121, China
在我国土壤发生学分类中,紫色土属于初育土纲,石质初育土亚纲中的一个土类,具有成土速度快,发育进程慢的特点。依据成土母质的基本类型和土壤的理化性质,以土壤pH和碳酸钙含量为主要分异指标,将紫色土划分为酸性紫色土、中性紫色土、石灰性紫色土三个亚类。土壤pH小于6.5,划分为酸性紫色土;土壤pH为6.5~7.5,划分为中性紫色土;土壤pH大于7.5,划分为石灰性紫色土[1]。酸性紫色土主要源于酸性紫色母岩直接发育形成和盐基饱和紫色母岩在成土过程中因游离钙质和盐基物质大量淋失而形成的土壤。在四川省第二次土壤普查时已发现川渝地区酸性紫色土面积达3124万亩(1公顷=15亩),占紫色土总面积的22.86%[1]。2010年,Science上发表的论文称中国的耕地在20世纪80年代至2000年左右土壤pH显著降低,其中西南地区的紫色土等(粗骨土、石质土)土壤的pH均值在20世纪80年代为6.42(范围为4.50~8.30),而到2000年后,粮棉油等农作物用地的土壤pH均值为5.66,降幅达0.76个单位;果菜茶等经济作物种植用地的土壤pH均值为5.62,降幅达0.80。相比于红壤、水稻土、黑土、潮土、风积土等其他类型土壤,紫色土的土壤pH降幅最大,酸化速度最快[2]。所以,大范围的紫色土存在酸化问题。
目前已有采用生物质炭、石灰[3]、有机肥[4]、锯木灰渣[5]等碱性物料改良酸性紫色土的研究报道,但均未见大规模的田间应用。施用石灰是改良酸性土壤的传统措施,但长期施用石灰易造成土壤板结和土壤盐基离子含量不平衡。粉煤灰、碱渣、磷石膏和造纸废渣等碱性工业废弃物也可用于改良酸性土壤,但工业废弃物中的重金属又使土壤存在一定的环境风险。将农作物秸秆等有机物废物经过厌氧高温裂解制成的生物质炭富含碱性物质,也可用于酸性土壤改良。但生物质炭的加工制备耗能耗时,使用成本较高。此外,市场上也存在许多商品化的酸性土壤调理剂,但价格均不菲且效果不一。因此,急需寻找一种高效、廉价、便捷和环保的土壤改良剂用于酸性紫色土的改良。
紫色母岩主要是指三叠系至第三系的河湖相和浅海相的沉积岩,以砂岩、泥岩或两者互层组合为主。在跨度达2.5亿年的成岩过程中,不同地质时期、不同地域紫色母岩的物源、沉积环境、沉积方式不同,可能导致相距数十米范围内的紫色母岩及其发育土壤的性质差异较大。如在川渝地区,侏罗系遂宁组(J3sn)和蓬莱镇组(J3p)地层相邻,但侏罗系遂宁组紫色母岩以富含钙质的红棕紫色泥岩为主,物理风化快,发育的土壤大多为石灰性紫色土。而侏罗系蓬莱镇组紫色母岩大多以棕紫色砂岩为主,钙质含量低、透水性强、盐基淋失快,发育的土壤大多为酸性紫色土。因此,可以采用富含钙质的紫色母岩碎屑直接就近改良附近的酸性紫色土,达到廉价、便捷和环保的目的。这种“以岩改土”的方式在紫色土广泛分布的地区已被人们用于实践,但对于这种经验性的行为缺乏深入的科学研究。为此,本研究选用不同钙质含量的侏罗系遂宁组(J3sn)和侏罗系沙溪庙组(J2s)紫色泥岩改良酸性紫色土,定量分析钙质紫色泥岩对酸性紫色土酸度、肥力(钾素)和重金属含量的改良效果和影响情况,以期为紫色土酸化改良工作提供新的方法与思路。
1 材料与方法 1.1 样品采集与制备用于改良试验的酸性紫色土为白垩系夹关组(K2j)紫红色砂岩发育的红紫泥,样品采自四川省宜宾市叙州区(28° 51′ 24.9″ N,104° 25′ 53.9″ E),采集0~20 cm的耕层土样在室内自然风干过筛后用于培养试验和理化性质分析(图 1a)。用于改良酸性紫色土的钙质紫色泥岩为侏罗系遂宁组(J3sn)和侏罗系沙溪庙组(J2s)的红棕紫色和灰棕紫色泥岩。J3sn紫色泥岩采自重庆市潼南区柏梓镇(30° 8′ 17.5″ N,105° 43′ 0.7″ E),J2s紫色泥岩采自重庆市北碚区天生街道(29° 48′ 57.4″ N,106° 25′ 14.0″ E),所采集的钙质紫色泥岩均为因工程施工开挖而暴露出来的新鲜岩石,钙质紫色泥岩采回后风干过筛备用(图 1b和图 1c)。
|
图 1 本研究中所采集的酸性紫色土和两种钙质紫色泥岩照片 Fig. 1 The photos of tested acidic purple soils and two kinds of purple mudstones |
在酸性紫色土中添加不同量的两种钙质紫色泥岩用于培养试验。将200 g过2 mm筛的酸性紫色土与4 g(2%)、10 g(5%)和20 g(10%)的J3sn和J2s泥岩混匀后装入500 mL塑料杯中,在每个塑料烧杯中加入40 mL去离子水,使土壤含水量接近田间持水量。塑料烧杯用有小孔的保鲜膜覆盖,以交换空气和减少水分流失。同时进行空白对照试验,每个试验处理设置3个重复。试验在恒温光照培养箱中进行,培养温度为25 ℃,每天光照12 h,黑暗12 h,光照强度为5000 Lx。培养期间,每隔8天称重并补充去离子水以保持含水量。在培养的第40天取少量土样(约20 g)用于土壤酸度指标的测定,剩余土样继续培养40天。80天的培养试验结束后,将土样风干过筛并进行土壤酸度指标、钾素和重金属含量的测定。
1.3 样品分析土壤和钙质紫色泥岩的基本理化性质采用常规方法进行测定[6]。测定指标包括pH、交换性酸(H+和Al3+)、交换性和水溶性盐基离子(K+、Na+、Ca2+、Mg2+)、钾素含量(全钾、速效钾、缓效钾)、有效和全量重金属(Cu、Zn、Ni、Pb、Cd)、矿物组分。土壤pH在1︰2.5土/水比条件下采用酸度计(pHS-3C,成都方舟)测定;交换性酸(H+和Al3+)采用KCl淋溶-中和滴定法;土壤全钾、速效钾、缓效钾测定的前处理分别采用NaOH熔融、NH4OAc交换和热HNO3浸提,然后采用火焰光度计(AP 1401,上海敖谱)测定各待测液中的K+含量;交换性和水溶性盐基离子分别采用NH4OAc和去离子水浸提,火焰原子吸收分光光度法(Z-5000,日立日本)测定浸提液中Ca2+、Mg2+含量,火焰光度法测定浸提液中K+、Na+含量;土壤有效重金属含量采用DTPA(二乙三胺五乙酸)浸提,全量重金属采用反王水消解,前处理溶液中的Cd采用石墨炉原子吸收分光光度计(ZA3000,日本日立)测定,Cu、Ni、Pb、Zn的含量采用电感耦合等离子体发射光谱仪(5110,美国安捷伦)测定。钙质紫色泥岩矿物组成采用X射线衍射法(XRD,XD-3,北京普析)测定。钙质紫色泥岩的碳酸盐含量采用量气法测定。
1.4 数据处理交换性盐基总量=交换性K++交换性Na++交换性Ca2++交换性Mg2+,有效阳离子交换量(ECEC)=交换性盐基总量+交换性酸,盐基饱和度(BS)=交换性盐基总量/ECEC。采用SPSS 26.0软件和Origin 2021软件对数据进行统计分析和作图,单因素方差分析(One-way ANOVA)用于检验处理之间的差异性。文中数据表示方式为均值±标准差。
2 结果与讨论 2.1 酸性紫色土和钙质紫色泥岩的基本性质本研究中用于改良的紫色土由白垩系夹关组红紫色砂岩发育而成,土壤发生学分类为酸性紫色土亚类、酸紫壤土土属、红紫砂泥土土种。土壤pH为5.0,交换性酸含量为2.09 cmol·kg–1,交换性盐基总量为7.62 cmol·kg–1,其中以交换性Ca2+为主,其次是交换性Mg2+,酸性紫色土的盐基饱和度为78.7%,土壤酸化程度较为严重(表 1)。用于土壤改良的紫色泥岩均含有一定量的碳酸盐,pH分别为8.1(J2s泥岩)和8.5(J3sn泥岩),J3sn泥岩的土壤碳酸盐含量明显高于J2s泥岩。除富含钙质外,两种紫色泥岩钾素含量较为丰富,全钾含量均在2%以上(表 2)。根据土壤环境质量标准(GB15618-2018)[7],两种紫色泥岩的Cu、Zn、Ni、Pb、Cd等5种重金属含量值均低于农用地土壤污染风险筛选值。重庆市的Cu、Zn、Ni、Pb、Cd等5种重金属的土壤背景值含量分别为24.6、81.9、31.6、28.1、0.28 mg·kg–1[8]。两种紫色泥岩均采自重庆,其全Ni和全Pb含量与重庆市的土壤重金属背景值相近,全Cu、Zn和Cd含量低于重庆市的土壤重金属背景值。因此,将两种紫色泥岩用于土壤改良无重金属污染风险。XRD图谱中观察到两种紫色泥岩有明显的方解石的衍射峰,说明紫色泥岩的钙质含量丰富(图 2)。此外,紫色泥岩的矿物组成较为丰富,除石英和方解石外,还有蒙脱石、云母、长石等硅酸盐矿物。所以,紫色泥岩具有用于酸性土壤改良的潜力。
|
|
表 1 供试酸性紫色土的基本性质 Table 1 Basic properties of acidic purple soil |
|
|
表 2 两种钙质紫色泥岩的理化性质 Table 2 Basic properties of calcareous purple mudstones |
|
注:Mnt:蒙脱石;Mc:云母;Ab:钠长石;Qz:石英;Mi:微斜长石;Cal:方解石;Hm:赤铁矿。 Note: Mnt: Montmorillonite; Mc: Mica; Ab: Albite; Qz: Quartz; Mi: Microcline; Cal: Calcite; Hm: Hematite. 图 2 两种钙质紫色泥岩的XRD图谱 Fig. 2 XRD spectrum of two kinds of calcareous purple mudstones |
土壤pH和交换性酸含量是衡量土壤活性酸和潜性酸大小的指标。随着土壤变酸,土壤吸附的羟基铝或土壤中的矿质态铝逐渐转化成活性Al3+,可能对作物产生铝毒害风险[9]。图 3中所示的是添加两种钙质紫色泥岩培养后,酸性紫色土的pH和交换性酸含量。可以看出,添加钙质紫色泥岩对紫色土的酸度均有一定程度的改良效果。随着两种紫色泥岩用量的增加,紫色土的酸度逐渐降低。培养80天后,J2s泥岩在2%、5%和10%的添加量下,酸性紫色土的pH由空白处理的4.73分别提高至4.93、5.30、6.27,土壤交换性酸由空白处理的2.84 cmol·kg–1分别降低至2.79、1.40、0.70 cmol·kg–1。相对于J2s泥岩,J3sn泥岩对紫色土酸度的改良效果更加显著。J3sn泥岩在2%、5%和10%的添加量下,酸性紫色土的pH由对照处理的4.73分别提高至7.20、7.87、8.00,土壤pH已提高至中性至碱性范围,土壤中已无交换性H+和Al3+。
|
注:CK为空白对照处理,J3sn 2%为添加2%的J3sn泥岩处理,J3sn 5%为添加5%的J3sn泥岩处理,J3sn 10%为添加10%的J3sn泥岩处理,J2s 2%为添加2%的J2s泥岩处理,J2s 5%为添加5%的J2s泥岩处理,J2s 10%为添加10%的J2s泥岩处理。图中不同字母表示不同处理之间差异显著(P < 0.05)。b中的方差分析为交换性酸的差异性分析。 Note: CK was the control treatment. J3sn 2%, J3sn 5%, and J3sn 10% were the treatments with the addition of J3sn mudstones to acidic purple soil at rates of 2%, 5%, and 10%. J2s 2%, J2s 5%, and J2s 10% were the treatments with the addition of J2s mudstones to acidic purple soil at rates of 2%, 5%, and 10%. Different letters in this figure indicate significant differences at P < 0.05. In Fig. 3b, the letters indicate the variance analysis of exchangeable acidity. 图 3 施入两种紫色泥岩改良后酸性紫色土的pH和交换性酸含量 Fig. 3 The pH and exchangeable acidity of acidic purple soil after incubation with purple mudstones |
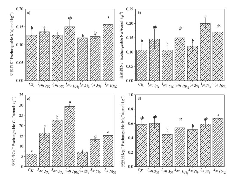
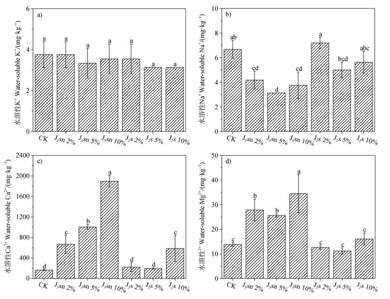
施入两种钙质紫色泥岩后,除降低土壤活性和潜性酸度外,还提高了土壤的交换性盐基离子含量,其中以交换性Ca2+的增加最为显著(图 4)。与空白处理相比,施入不同量的J3sn泥岩培养80 d后,紫色土的交换性盐基总量提高了9.64~23.27 cmol·kg–1,其中交换性Ca2+的增幅达10.24~23.26 cmol·kg–1。而添加2%、5%和10%的J2s泥岩培养后,紫色土的交换性盐基总量从空白处理的6.92 cmol·kg–1分别提高至7.99、14.13和16.11 cmol·kg–1,增幅为1.07~9.19 cmol·kg–1,其中交换性Ca2+增加了1.10~9.03 cmol·kg–1。由于土壤中盐基离子占阳离子交换量的绝大部分,施入钙质紫色泥岩后土壤交换性酸降低明显,但交换性Ca2+的含量随钙质泥岩用量的增加有极显著的提高,最终测得的土壤有效阳离子交换量(ECEC)随紫色泥岩用量的增加而增加(图 5)。两种紫色泥岩在相同用量条件下,J3sn泥岩对酸性紫色土交换性Ca2+、交换性盐基总量和ECEC的提高程度均明显优于J2s泥岩。尽管水溶性盐基离子含量远低于交换性盐基离子的含量,但两者处于一种动态的平衡关系,因此添加紫色泥岩对紫色土水溶性盐基离子的含量也有一定程度的改变(图 6)。其中,施用J3sn泥岩改良后紫色土的水溶性Ca2+提升效果最为明显,2%、5%和10%添加量处理下的土壤水溶性Ca2+含量分别为空白处理的4.07倍、6.16倍及10.43倍。
|
图 4 施入两种紫色泥岩培养80 d后酸性紫色土的交换性盐基离子含量 Fig. 4 The exchangeable base cations of acidic purple soil after incubation with purple mudstones |
|
图 5 施入两种紫色泥岩改良后酸性紫色土的有效阳离子交换量 Fig. 5 Effective cation exchange capacity of acidic purple soil after incubation with purple mudstones |
|
图 6 施入两种紫色泥岩培养80 d后酸性紫色土的水溶性盐基离子含量 Fig. 6 The water-soluble base cations of acidic purple soil after incubation with purple mudstones |
所以两种钙质紫色泥岩对紫色土的酸度有明显的改良效果,能够提高土壤pH,降低土壤交换性酸含量,提高土壤盐基离子含量、盐基饱和度和有效阳离子交换量。两种紫色泥岩相比,J3sn泥岩对紫色土酸度的改良效果优于J2s泥岩。两种紫色泥岩能对酸性紫色土酸度起到不同改良效果的首要原因在于泥岩中的碱性物质碳酸盐含量。J2s泥岩和J3sn泥岩的碳酸盐含量分别为56.2 g·kg–1和140.2 g·kg–1。其碳酸盐含量大部分源于岩石中的方解石,XRD图谱显示J3sn泥岩的方解石衍射峰明显强于J2s泥岩(图 2)。施入土壤后,紫色泥岩的钙质成分会逐渐与土壤中的致酸离子发生中和反应,降低土壤酸度。如果碳酸钙在中和土壤酸度后仍有剩余,由于大气CO2与碳酸盐的平衡关系,会使土壤pH维持在碱性范围[10]。这就是为何较高碳酸盐含量的J3sn泥岩在高投入量时,酸性紫色土已无交换性酸,土壤pH可提高至8.0左右。
其次,紫色泥岩矿物风化过程及其释放的盐基离子能缓解紫色土的酸化过程。土壤酸缓冲体系包括碳酸盐、硅酸盐、阳离子交换、以及铁铝氧化物体系[11]。酸性紫色土一般处在硅酸盐和阳离子交换缓冲阶段[12]。除方解石外,紫色泥岩中还含有较为丰富的钠长石、微斜长石等原生矿物(图 2)。这些架状硅酸盐矿物极易发生化学风化,并能消耗质子[12]。被改良的酸性紫色土尽管pH较低,但土壤的盐基饱和度仍较高,土壤以阳离子交换缓冲为主。方解石、长石分解后释放出的钙、钾、钠等盐基离子可与致酸离子竞争吸附土壤的表面负电荷位点,将土壤表面吸附的致酸离子交换下来后被碱性物质中和或随水流失,起到降低土壤酸度和提高土壤盐基离子含量的目的。这一结果与前人的研究结果相同,如Litvinovich[13]认为大剂量工业岩屑可以为土壤提供长期的碳酸盐,逐渐溶解给土壤提供植物所必需的钙镁离子,补充土壤的盐基数量。所以,以J3sn泥岩为例,更充足的方解石含量不仅能更好地增加土壤碱度,而且使土壤的交换性和水溶性Ca2+得到较好补充。
此外,特定条件下增加土壤的阳离子交换量也可缓解土壤酸化。采用两种紫色泥岩培养后,紫色土的交换性Ca2+和ECEC均有显著提高,其实质是酸性紫色土在施用改良剂后提高了表面负电荷量,其阳离子交换性能增强。这可能是由于紫色泥岩黏土矿物含量丰富,尤其是还有一定量的2︰1型层状硅酸盐矿物蒙脱石(图 2)。在pH近中性的溶液环境条件下,蒙脱石的CEC高达70~100 cmol·kg–1[14]。因此,紫色泥岩的添加可提高土壤的阳离子交换量。当土壤的交换性酸含量一定时,为了保持电荷平衡,更高阳离子交换量的酸性紫色土只能吸附更多的盐基离子,而这些交换性盐基离子对缓解土壤进一步酸化有重要作用。综上所述,两种钙质紫色泥岩,尤其是J3sn泥岩,具有改良酸性紫色土的应用潜力。
2.3 土壤的钾素含量变化紫色泥岩的矿质养分元素含量丰富,这也是为何在紫色土丘陵区,尽管部分紫色土的土层浅薄、粗骨性强,但仍被开发利用,成为重要的农耕土壤。两种紫色泥岩的全钾含量均在2%以上的丰富水平,添加钙质泥岩培养80 d后酸性紫色土的速效钾、缓效钾和全钾含量如图 7所示。尽管各处理间的土壤水溶性钾含量并无显著变化(图 6),但土壤的速效钾、缓效钾和全钾含量整体表现出随着两种钙质泥岩用量的增加而增加(图 7)。施入紫色泥岩后,紫色土的速效钾和缓效钾含量均显著高于空白处理。在10%用量条件下,施用J3sn泥岩和J2s泥岩后紫色土的速效钾含量从空白处理的23.5 mg·kg–1分别提高至32.2和32.7 mg·kg–1。空白处理的土壤缓效钾含量为107.7 mg·kg–1,添加2%、5%和10%的J3sn泥岩培养后分别提高了22.0%、36.5%和56.2%,添加2%、5%和10%的J2s泥岩培养后分别提高了15.0%、28.2%和62.0%。当J3sn泥岩的用量大于5%,J2s泥岩的用量大于10%,被改良紫色土的全钾含量显著高于空白处理。土壤速效钾和缓效钾之和为土壤有效钾,是土壤在一定时期内能被植物吸收利用的钾素。土壤中的钾素主要以无机形态存在,其中绝大部分是以植物难以吸收利用的矿质态钾存在,所以土壤有效钾占全钾的比例一般较低。培养80 d后,空白处理土壤有效钾占全钾的百分比为1.58%,添加2%、5%和10%的J3sn泥岩培养后的土壤有效钾占比分别为1.91%、2.01%和2.24%,添加2%、5%和10%的J2s泥岩培养后的土壤有效钾占比分别为1.76%、1.88%和2.08%。所以,施入钙质泥岩能提高土壤中各形态钾素的含量及其生物有效性,其中J3sn泥岩对紫色土钾素有效性的提升效果优于J2s泥岩。
|
图 7 施入两种紫色泥岩改良后酸性紫色土的钾素含量 Fig. 7 The contents of soil rapidly available potassium, slowly available potassium, and total potassium of acidic purple soil after incubation with purple mudstones |
两种钙质泥岩富含钾素,因此添加两种泥岩作为改良剂后可直接提高酸性紫色土的全钾含量。土壤速效钾主要是指土壤中水溶态和交换态的钾离子。土壤缓效钾又称非交换态钾,通常指存在于层状硅酸盐矿物层间的钾。也有将缓效钾定义为易风化含钾矿物晶格内含有的钾和土壤内固钾矿物所固定的钾,土壤缓效钾是速效钾的后备来源[15]。紫色泥岩富含黏土矿物,易受水热影响发生物理崩解破碎[16]。紫色泥岩中含钾矿物以云母和微斜长石为主(图 2),这些矿物的风化崩解会提高钾素的释放速率,增加土壤中有效钾的含量[17]。此外,土壤中钾的有效性还受到土壤pH等环境条件的影响[18]。高pH可以增加土壤对K+的吸收量,从而增加速效钾的含量[19]。其机理在于土壤pH升高后,会减少酸性土壤中H+、Al3+两种致酸离子的含量,降低其在土壤表面的吸附量。此外,提高pH还会增加土壤中可变电荷的表面负电荷量,增加土壤的CEC,这样更多的K+可被土壤胶体表面所吸附,使速效钾的含量提高。本研究中所有处理的pH与各钾素指标间均呈正相关性,其主要原因在于钙质泥岩的添加同时提高了土壤pH和钾素含量,所以二者有统计学上的相关性。其中pH分别与速效钾、缓效钾和有效钾占比(速效钾与缓效钾之和占全钾的比例)间的相关性均达到了极显著水平,相关系数分别为0.747、0.621和0.781,说明提高pH增加了土壤中钾素的有效性。综上所述,紫色泥岩在改良紫色土酸度的同时还能提高土壤中的钾素养分含量。
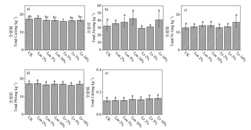
2.4 土壤的重金属含量的变化图 8所示的是施入两种紫色泥岩培养80 d后紫色土的全量重金属含量。空白处理土壤的Cu、Zn、Ni、Pb、Cd等5种重金属含量分别为17.5、32.6、12.6、17.3、0.12 mg·kg–1,其中土壤的全Zn、Ni含量低于两种紫色泥岩,全Cd含量略高于两种紫色泥岩,全Cu和全Pb含量与J2s泥岩接近,但高于J3sn泥岩。受紫色泥岩和酸性紫色土全量重金属含量差异的影响,土壤全Zn和全Ni含量随泥岩用量的增加而略有升高,土壤全Cd和全Pb含量无明显变化规律,土壤全Cu含量随J3sn泥岩用量的增加而降低,土壤全Cu含量随J2s泥岩的添加有所上升。但除土壤全Cu含量的部分处理间存在显著性差异外,土壤中其余重金属含量的处理间差异不显著。各处理土壤中的重金属含量均未超过农用地土壤污染风险筛选值。所以,添加紫色泥岩对酸性紫色土重金属的含量无明显影响。
|
图 8 施入两种紫色泥岩改良后酸性紫色土的重金属全量含量 Fig. 8 The contents of total Cu, Zn, Ni, Pb and Cd of acidic purple soil after incubation with purple mudstones |
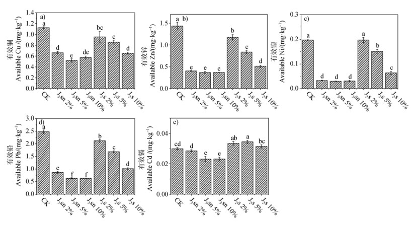
值得注意的是,添加紫色泥岩显著地降低了有效态重金属的含量。随着两种紫色泥岩用量的增加,土壤中5种重金属的有效态含量呈现出明显的降低趋势(图 9)。添加J3sn泥岩对土壤重金属有效态的降低程度明显优于J2s泥岩,在较低用量时便可使土壤有效重金属含量大幅降低。如J3sn泥岩在2%添加量时,土壤中有效Zn和Ni的含量较空白处理降幅达72%和83%,后续随着J3sn泥岩用量的增加不再显著降低。进一步计算得到改良后土壤中有效态重金属占全量重金属的比例(表 3)。可以看出,随着两种紫色泥岩用量的增加,土壤中5种重金属的有效态占全量的比例均逐渐降低。在相同用量条件下,J3sn泥岩处理土壤的重金属有效态占其全量的比例均低于J2s泥岩处理,J3sn泥岩降低酸性紫色土重金属活性的效果更好。
|
图 9 施入两种紫色泥岩改良后酸性紫色土的有效态重金属含量 Fig. 9 The contents of available Cu, Zn, Ni, Pb and Cd of acidic purple soil after incubation with purple mudstones |
|
|
表 3 施入两种紫色泥岩改良后酸性紫色土中有效态与全量重金属的比值 Table 3 The proportion of available heavy metals on total heavy metals of acidic purple soil after incubation with purple mudstones |
由于紫色泥岩的重金属含量较低,所以采用钙质泥岩改良酸性紫色土并不会造成重金属污染风险。相反,紫色泥岩改良酸性紫色土后可显著降低土壤中各种重金属的生物有效性,减少其环境风险。这主要是由于本研究中所测定5种重金属的有效态以阳离子形式存在于土壤溶液中或吸附在土壤胶体表面,其重金属活性主要受pH的影响。高pH土壤可通过吸附、离子交换、沉淀等方式固化或稳定重金属,使其活性降低[20-21]。紫色泥岩内含有大量的碳酸盐,施入后可以缓解土壤酸化情况,有利于通过共沉淀和表面络合作用固化重金属[22]。添加紫色泥岩后,土壤pH的升高和黏粒矿物含量的增加均可提高酸性紫色土的表面负电荷量(图 5),其中土壤胶体表面的可变电荷位点(-OH等)易与高价阳离子发生专性吸附,降低金属离子的生物有效性[23]。相比于J2s泥岩,J3sn泥岩对紫色土酸度的提升效果更为明显,对土壤重金属的钝化作用更突出。所以,钙质泥岩在改善土壤酸化环境的同时降低土壤中重金属的有效性,这为农田改土培肥和重金属污染防治提供了新的思路。
2.5 钙质紫色泥岩改良酸性紫色土的优势与施用策略我国目前有大量的酸性土壤调理剂产品销售。通过检索其产品登记信息可以发现。我国已登记的酸性土壤调理剂产品物料来源较为单一,同质化较严重,主要以石灰石、白云石等矿物和牡蛎壳等渔业副产品为原料[24]。这些原材料具有来源广泛、碱度高、酸中和能力强等优点。但这些调理剂产品的成分较为单一,大多数为含钙镁的碳酸盐、氢氧化物和氧化物。施入土壤后可以快速调节土壤酸度,但可能难以“稳、匀、足、实”地协调土壤中各种肥力因子的平衡关系[25]。最重要的是,尽管市售调理剂产品的原料成本较低,但受生产和运输成本等因素的影响,目前市售酸性土壤调理剂价格大多在2 000~4 000元·吨–1,其价格甚至超过化肥[24]。但土壤调理剂主要用于改良土壤酸度,防止土壤退化,其短期内对作物增产增收的效果不如化学肥料,农户自主购买商品土壤调理剂的意愿较低。加上市售土壤调理剂碱性过强,施用不当还可能造成作物烧苗、肥料养分损失等负面后果,农户接受度较低,推广应用受限。而钙质紫色泥岩亦含有一定量的碱性物质,同时具有较为丰富的矿质养分元素。本研究已定量证明了施用钙质紫色泥岩可有效调节土壤酸度、培肥土壤和降低重金属活性。钙质紫色泥岩在紫色土分布区域广泛出露,具有就近改良酸性紫色土的先天优势。此外,紫色泥岩岩性较松软,构造裂缝、成岩裂缝和风化裂缝较发育,在冷热和干湿变化条件下,泥岩物理风化强烈,极易成土。紫色泥岩平均年风化厚度可以达到2.46 mm[26]。因此,无需器械设备对紫色泥岩进行破碎处理,将其暴露于空气中一段时间后即可将风化的岩石碎屑施入土壤,生产成本极低。本研究中,J3sn泥岩在2%的用量下使酸性紫色土的pH从4.73提高至7.20。按此用量,农业生产实践中可按每亩地施用J3sn泥岩1~3吨对酸性紫色土进行改良。对于钙质含量稍低的J2s泥岩则需加大用量,综合考虑人工成本,建议每亩施用量5~8吨为宜。
3 结论紫色泥岩具有富含钙质、钾素含量丰富和低重金背景含量的特征,可用于改良土壤酸度和培肥土壤。添加两种紫色泥岩改良酸性紫色土后,均能提高酸性土壤pH、降低交换性酸含量,增加土壤交换性Ca2+含量、有效阳离子交换量和盐基饱和度,增加土壤钾素含量和提高钾素的生物有效性,钝化土壤中的重金属。相比于J2s泥岩,J3sn泥岩由于钙质含量更为丰富等原因,对酸性紫色土的整体改良效果更佳。在紫色母岩出露区域,钙质紫色泥岩的取用方便、破碎容易,可以低成本和高用量地就近改良酸化紫色土。建议在田间条件下,高钙质含量的J3sn泥岩每亩施用量1~3吨,钙质含量稍低的J2s泥岩每亩施用量5~8吨。
| [1] |
Sichuan Provincial Department of Agriculture and Animal Husbandry, Sichuan Provincial Soil Census Office. Soil of Sichuan (In Chinese). Chengdu: Sichuan Science and Technology Press, 1997. [四川省农牧厅, 四川省土壤普查办公室. 四川土壤[M]. 成都: 四川科学技术出版社, 1997.]
( 0) |
| [2] |
Guo J H, Liu X J, Zhang Y, et al. Significant acidification in major Chinese croplands[J]. Science, 2010, 327(5968): 1008-1010. DOI:10.1126/science.1182570
( 0) |
| [3] |
Liu L, Li Q, Huang C, et al. Ameliorating effects of biochar and lime on acidified purple soil (In Chinese)[J]. Environmental Science & Technology, 2019, 42(12): 173-179. [刘莉, 李倩, 黄成, 等. 生物质炭和石灰对酸化紫色土的改良效果[J]. 环境科学与技术, 2019, 42(12): 173-179.]
( 0) |
| [4] |
Chen J J, Yu J F, Li Z Y, et al. Ameliorating effects of biochar, sheep manure and chicken manure on acidified purple soil[J]. Agronomy, 2023, 13(4): 1142. DOI:10.3390/agronomy13041142
( 0) |
| [5] |
Huang R, Gao M, Lü S, et al. Effect of saw dust ash ameliorating degraded vegetable garden purple soil (In Chinese)[J]. Acta Pedologica Sinica, 2018, 55(3): 695-706. DOI:10.11766/trxb201710210350 [黄容, 高明, 吕盛, 等. 锯木灰渣改良退化菜园紫色土壤的效果研究[J]. 土壤学报, 2018, 55(3): 695-706.]
( 0) |
| [6] |
Lu R K. Analytical methods for soil and agrochemistry (In Chinese). Beijing: China Agricultural Science and Technology Press, 2000. [鲁如坤. 土壤农业化学分析方法[M]. 北京: 中国农业科技出版社, 2000.]
( 0) |
| [7] |
Ministry of Ecology and Environment of the People's Republic of China. GB 15618-2018. Soil environmental quality Risk control standard for soil contamination of agricultural land[S]. Beijing: China Environment Publishing Group, 2018.[中华人民共和国生态环境部. GB 15618-2018. 土壤环境质量农用地土壤污染风险管控标准[S]. 北京: 中国环境出版集团, 2018.]
( 0) |
| [8] |
Bao L R, Deng H, Jia Z M, et al. Ecological and health risk assessment of heavy metals in farmland soil of northwest Xiushan, Chongqing (In Chinese)[J]. Geology in China, 2020, 47(6): 1625-1636. [鲍丽然, 邓海, 贾中民, 等. 重庆秀山西北部农田土壤重金属生态健康风险评价[J]. 中国地质, 2020, 47(6): 1625-1636.]
( 0) |
| [9] |
Shi R Y, Li J Y, Jiang J, et al. Incorporation of corn straw biochar inhibited the re-acidification of four acidic soils derived from different parent materials[J]. Environmental Science and Pollution Research, 2018, 25(10): 9662-9672. DOI:10.1007/s11356-018-1289-7
( 0) |
| [10] |
Wang P S. Study on the acidification characteristics of purple soil by electrodialysis[D]. Chongqing: Southwest University, 2020.[王朋顺. 电渗析法研究紫色土的酸化特征[D]. 重庆: 西南大学, 2020.]
( 0) |
| [11] |
Ulrich B. Natural and anthropogenic components of soil acidification[J]. Zeitschrift für Pflanzenernä hrung und Bodenkunde, 1986, 149(6): 702-717. DOI:10.1002/jpln.19861490607
( 0) |
| [12] |
Liu L. Acidity characteristics and acid buffering performance of typical purple soil in Sichuan Basin[D]. Chongqing: Southwest University, 2022.[刘莉. 四川盆地典型紫色土的酸度特征和酸缓冲性能[D]. 重庆: 西南大学, 2022.]
( 0) |
| [13] |
Litvinovich A, Pavlova O, Lavrishchev A, et al. Dynamics of soil pH after utilization of by-products of industrial rock processing as a calcareous material in acid soils[J]. Communications in Soil Science and Plant Analysis, 2021, 52(2): 93-101. DOI:10.1080/00103624.2020.1849267
( 0) |
| [14] |
Carroll D. Ion exchange in clays and other minerals[J]. Geological Society of America Bulletin, 1959, 70(6): 749. DOI:10.1130/0016-7606(1959)70[749:IEICAO]2.0.CO;2
( 0) |
| [15] |
Wang H Y, Zhou J M. Progress on transformation mechanism of potassium forms and optimization of methods for measuring potassium in soil (In Chinese)[J]. Journal of Huazhong Agricultural University, 2023, 42(6): 35-42. [王火焰, 周健民. 土壤钾素形态转化机制与测定方法优化的研究进展[J]. 华中农业大学学报, 2023, 42(6): 35-42.]
( 0) |
| [16] |
Li Z M. On the genesis and classification of purple lithomorphic soils (In Chinese)[J]. Acta Pedologica Sinica, 1989, 26(2): 165-172. [李仲明. 论紫色岩性土的发生与分类[J]. 土壤学报, 1989, 26(2): 165-172.]
( 0) |
| [17] |
Xie Q, Zhang Y T, Jiang Q J, et al. Effect of long-term potassium unbalanced input on clay mineralogical property of purple soil (In Chinese)[J]. Spectroscopy and Spectral Analysis, 2016, 36(6): 1910. [谢青, 张宇亭, 江秋菊, 等. X射线衍射分析长期钾素盈亏对土壤含钾类矿物的影响[J]. 光谱学与光谱分析, 2016, 36(6): 1910.]
( 0) |
| [18] |
Nie X X. Effects of biochar on soil potassium availability and crop growth[D]. Beijing: University of Chinese Academy of Sciences, 2016.[聂新星. 生物炭对土壤钾素有效性及作物生长的影响[D]. 北京: 中国科学院大学, 2016.]
( 0) |
| [19] |
Wang D C, Jiang X, Bian Y Y, et al. K+ adsorption characteristics and reaction kinetics in red soil under acid deposition (In Chinese)[J]. China Environmental Science, 2003, 23(2): 171-175. [王代长, 蒋新, 卞永荣, 等. 酸沉降下红壤对K+吸附特征及反应动力学[J]. 中国环境科学, 2003, 23(2): 171-175.]
( 0) |
| [20] |
Garcı́a M A, Chimenos J M, Fernández A I, et al. Low-grade MgO used to stabilize heavy metals in highly contaminated soils[J]. Chemosphere, 2004, 56(5): 481-491. DOI:10.1016/j.chemosphere.2004.04.005
( 0) |
| [21] |
Gong Y Y, Zhao D Y, Wang Q L. An overview of field-scale studies on remediation of soil contaminated with heavy metals and metalloids: Technical progress over the last decade[J]. Water Research, 2018, 147: 440-460. DOI:10.1016/j.watres.2018.10.024
( 0) |
| [22] |
Igalavithana A D, Kwon E E, Vithanage M, et al. Soil lead immobilization by biochars in short-term laboratory incubation studies[J]. Environment International, 2019, 127: 190-198. DOI:10.1016/j.envint.2019.03.031
( 0) |
| [23] |
Xin Z J, Li L, Wang X Y, et al. Target localization modification of functional biochar in heavy metal remediation of soil (In Chinese)[J]. Environment and Development, 2020, 32(11): 46-47. [辛在军, 李亮, 王玺洋, 等. 土壤重金属污染修复中功能性生物炭的定向改性[J]. 环境与发展, 2020, 32(11): 46-47.]
( 0) |
| [24] |
Ren T Y, Wang P S, Yuan S H, et al. Bibliometric analysis of acid soil conditioners based on patents and products database (In Chinese)[J]. Soils, 2023, 55(4): 860-870. [任韬宇, 王朋顺, 袁水含, 等. 基于专利和产品登记的酸性土壤调理剂创新计量分析[J]. 土壤, 2023, 55(4): 860-870.]
( 0) |
| [25] |
Ming R T, Wan F, Na L P, et al. Effect of soil acid reduction and fertilizer cultivation under conditioner application: Meta-analysis based on acid soil improvement studies in China (In Chinese)[J]. Acta Pedologica Sinica, 2025, 62(2): 400-410. DOI:10.11766/trxb202311050456 [明润廷, 万方, 那立苹, 等. 改良剂施用下的土壤降酸培肥效果——基于中国酸性土壤改良研究的Meta分析[J]. 土壤学报, 2025, 62(2): 400-410.]
( 0) |
| [26] |
Zhang D, Chen A Q, Su Y B, et al. Effect of hydrothermal environment on disintegration of different purple parent rocks (In Chinese)[J]. Acta Pedologica Sinica, 2013, 50(4): 643-651. DOI:10.11766/trxb201203220085 [张丹, 陈安强, 苏友波, 等. 水热环境对不同紫色母岩崩解特性的影响[J]. 土壤学报, 2013, 50(4): 643-651.]
( 0) |
2025, Vol. 62



0)