土壤有机碳的固持机制包括团聚体的包被(物理保护)、矿物的吸附(化学结合)和生物的利用(生物转化)[1-4]。由于不同粒径团聚体对有机碳保护机制的差别,导致不同有机碳及其组分的分配存在差异。大团聚体较微团聚体稳定性弱,对外界干扰因素(施肥、耕作等)的响应更加敏感,内部的粗颗粒有机碳易被矿化[5]。微团聚体中有机碳的稳定性相对更强,尤其是大团聚体包被的闭蓄态微团聚体,其内部有机碳受到的保护作用更强[6-7]。
为了深入探讨团聚体稳定性变化的机制,越来越多的学者研究团聚体内的颗粒态有机碳(Particulate organic carbon,POC)和矿物结合态有机碳(Mineral- bound organic carbon,MOC)[8]。POC和MOC与土壤结构发育和土壤有机碳稳定性密切相关,其主要是由相对未分解的植物残体组成[9]。相比之下,吸附在土壤矿物表面的MOC在土壤中停留时间较长,是稳定土壤有机碳的核心[9]。目前国内对团聚体稳定性变化的机制的研究多为旱地农田系统,Zhou等[10]在探究保护性耕作如何提高黑土团聚体稳定性过程中发现,保护性耕作措施提高了大团聚体的比例,MOC在大团聚体中含量最多,未被保护的粉黏粒中MOC含量最少。刘思佳等[11]在探究秸秆还田对黑土团聚体的影响中发现,闭蓄态微团聚体中有机碳储量高于游离微团聚体,大团聚体内粗颗粒有机质均远高于其他粒径的POC。
稻田的厌氧条件减缓了有机质的分解,平均滞留时间为19~50年,有利于土壤有机碳的积累[12]。与旱田相比,稻田土壤具有较高的有机碳储量,稻田土壤表层较相应的旱地土壤多储存约20%的有机碳,因此稻田土壤碳库的变化会强烈影响大气中CO2浓度[13]。有研究表明,稻田土壤具有较高的固碳潜力,随着水稻种植时间延长,土壤有机碳可持续积累[3, 14]。长期秸秆还田和不同施肥措施下,稻田土壤大团聚体中有机碳含量显著高于微团聚体,且秸秆还田配施化肥可以提高大团聚体碳的周转速率[15]。近年来虽然对于稻田土壤有机碳的团聚体物理保护取得诸多认识,对于长期植稻过程中,团聚体内有机碳组分分配的变化及其稳定机制仍不明晰。因此,借助浙江省慈溪市滩涂围垦形成的1 000年水稻土年限序列,采用团聚体干筛和物理密度分组相结合,研究长期植稻下土壤团聚体内闭蓄态/游离态和颗粒态/矿物结合态有机碳的分布特征及演变规律,将为稻田土壤固碳机制以及我国农业的可持续发展提供理论依据。
1 材料与方法 1.1 研究区域概况研究区域位于浙江省慈溪市杭州湾南岸由滨海沉积物形成的半岛,属于典型的亚热带季风气候,年平均气温16.3 ℃,年平均降水量1 325 mm。根据《慈溪县志》的记载,从公元25年起,当地人民开始筑堤建塘种植水稻,一直延续至今。此外,根据《慈溪水利志》和《慈溪海堤志》中关于各海塘围垦和修建年代的记载,可估算出相应海塘种植水稻的年代,从而为构建水稻土年代序列提供了依据。由此,本研究选取植稻年限约为50、100、300、700、1 000年的稻田土壤(P50-P1 000)[3]。
1.2 土壤样品采集2021年11月初水稻收获前采集土壤样品。在对应植稻年限的取样区域内,随机选择3个面积约600~800 m2的小区,每个小区内按照“Z”字形随机选择6个采样点,采集表层0~20 cm原状土壤样品,置于直径18 cm高度20 cm的塑料桶中运回实验室。供试土壤有机碳含量15.6~21.8 g·kg–1,全氮1.6~2.3 g·kg–1,pH 5.2~7.7,详见本组最近的研究[3]。
1.3 土壤团聚体分级及其有机碳密度分组原状土壤样品经过自然风干,清除砾石和可见的植物碎屑后,利用自动振荡筛(Endecotts Minor 200,英国)结合最佳含水量法进行力稳性团聚体分级[16],最终分为三级:> 250 μm(大团聚体)、250~53 μm(微团聚体)和 < 53 μm(黏粉粒级微团聚体)。
筛分得到的大团聚体和微团聚体继续按照O'Brien和Jastrow[17]、Guan等[18]改进后的方法进行密度分组。具体操作流程为,将大团聚体在蒸馏水中浸泡10 min,然后倒入安装在往复式摇床(150 r·min–1)上的一组孔径为250 μm和53 μm的筛子顶部。水流量恒定通过250 μm筛,震荡1 h。250 μm和53 μm筛上滞留的物质分别为大团聚体内部的粗颗粒有机碳组分(Mc-POC)和大团聚体内部的闭蓄态微团聚体(Mm)。冲洗水中的物质为大团聚体内矿物结合态有机碳组分M-MOC。将前两部得到的微团聚体分别加入1.79 g·cm–3 NaI溶液,水土比5:1,通过3 000 r·min–1离心5 min后得到轻组有机碳组分和重组有机碳组分。重组有机碳组分加入5 g·L–1六偏磷酸钠分散剂进一步筛分,过筛得到 > 53 μm颗粒视为重组颗粒态有机碳,< 53 μm组分为重组矿物结合态有机碳(图 1)。土壤团聚体以及经物理密度分组得到的有机碳组分利用元素分析仪(Elementar Vario MAX, 德国)测定。
|
图 1 团聚体有机碳分组流程图 Fig. 1 Fractionation scheme to soil organic carbon in aggregates |
团聚体的质量百分比=某粒径团聚体质量/土壤样品总质量×100%
团聚体的有机碳含量(g·kg–1 soil)=某粒径团聚体有机碳浓度(g·kg–1 aggregate)×该粒径所占土壤的质量百分数
团聚体对土壤有机碳的贡献率=某粒径团聚体有机碳含量/全土有机碳含量×100%
大团聚体内总颗粒态有机碳含量=大团聚体内粗颗粒态有机碳含量(Mc-POC)+闭蓄态微团聚体轻组颗粒态有机碳含量(Mmf-POC)+闭蓄态微团聚体重组颗粒态有机碳含量(Mmh-POC)
大团聚体内总矿物结合碳含量=大团聚体内矿物结合态有机碳含量(M-MOC)+闭蓄态微团聚体矿物结合态有机碳含量(Mmh-MOC)
闭蓄态微团聚体颗粒态有机碳含量=闭蓄态微团聚体轻组颗粒态有机碳含量(Mmf-POC)+闭蓄态微团聚体重组颗粒态有机碳含量(Mmh-POC)
游离微团聚体颗粒态有机碳含量=游离微团聚体轻组颗粒态有机碳含量(Fmf-POC)+游离微团聚体重组颗粒态有机碳含量(Fmf-POC)
利用Microsoft Excel 2016进行初步的数据整理和分析;利用SPSS 20.0进行方差分析并完成显著性水平检验(P < 0.05);利用Orign 2021进行绘图。
2 结果 2.1 不同植稻年限土壤有机碳含量及其组分变化长期植稻下土壤有机碳显著积累,在最初的100年间有机碳快速提高,100年后积累速度放缓并在1 000年时达到最大值(18.4 g·kg–1)(图 2a)。虽然POC和MOC的含量随植稻年限均表现出不同程度的增加趋势,但两者在土壤有机碳中占比的变化趋势却截然相反。土壤颗粒有机碳(POC)含量由最初的2.0 g·kg–1增长至1 000年时的7.1 g·kg–1,占有机碳的比例由20.7%增加至38.6%(图 2b,图 2d)。矿物结合态有机碳(MOC)含量虽在700年时有所降低,但仍在植稻1 000年升至14.4 g·kg–1;其占有机碳的比例随时间呈现波动式下降,由植稻50年的87.9%下降至1 000年的78.1%(图 2c,图 2e)。随植稻年限的增长,POC/MOC整体呈上升趋势,但在700年达到最大值0.7(图 2f)。
|
注:图中误差线为标准差;不同小写字母表示不同植稻年限之间差异显著(P < 0.05)。下同。 Note: Error bars indicate standard deviation. Different lowercase letters represent significant differences among paddy cultivation ages(P < 0.05). The same below. 图 2 不同植稻年限土壤有机碳、颗粒态有机碳和矿物结合态有机碳含量的变化 Fig. 2 Changes of soil organic carbon, particulate organic carbon and mineral-bound organic carbon content among paddy cultivation ages |
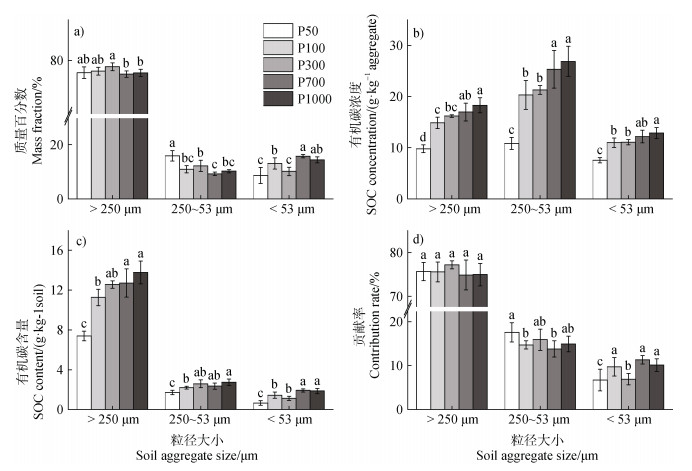
不同植稻年限土壤中的大团聚体均为优势粒径(74.0%~77.6%),其次为微团聚体(9.2%~15.9%)和黏粉粒级微团聚体(8.6%~15.7%)(图 3a)。大团聚体的占比随植稻年限增加先平缓上升300年后显著下降。微团聚体所占比例在植稻初期50年时最大(15.9%),之后随植稻年限呈显著下降趋势,1 000年时减少至10.2%。
|
图 3 不同植稻年限力稳性团聚体组成及其有机碳分布 Fig. 3 Composition of force-stable aggregates and aggregate-associated organic carbon among paddy cultivation ages |
不同粒径团聚体中的有机碳浓度及其碳含量随植稻年限均表现出显著上升的变化趋势(图 3b,图 3c)。微团聚体的有机碳浓度最大,为10.8~26.9 g·kg–1,但由于微团聚体在全土中占比较小,其碳含量仅为1.7~2.7 g·kg–1。作为优势粒径的大团聚体有机碳浓度并非最高(9.8~18.3 g·kg–1),但拥有最高的碳含量(7.4~13.8 g·kg–1),是微团聚体的4倍~5倍。黏粉粒级微团聚体拥有最低的有机碳浓度(7.5~12.2 g·kg–1)和含量(0.7~1.9 g·kg–1)(图 3c)。各粒径团聚体有机碳含量随粒径增大而增加,大团聚体有机碳含量最高,较黏粉粒级微团聚体高2.7倍~8倍。大团聚体对全土有机碳库的贡献率最大,且各粒径团聚体碳含量对全土的贡献率随粒径减小呈显著降低的变化趋势。大团聚体的贡献率不随植稻时间的变化而变化,而微团聚体的贡献率与黏粉粒级微团聚体呈相反趋势(图 3d)。
2.3 不同植稻年限土壤闭蓄态和游离态团聚体中有机碳的分配规律大团聚体中MOC含量呈整体上升的趋势,虽在700年有所下降,但仍在1 000年时达到最大值11.3 g·kg–1(图 4a)。MOC/SOC整体呈现下降趋势,由69.9%降至61.2%(图 4d)。大团聚体中POC在50~700年急剧上升,从1.8 g·kg–1增至6.8 g·kg–1,之后有一定程度的下降(6.2 g·kg–1)(图 4a),与POC/SOC的变化趋势大致相同(图 4d)。
|
图 4 不同植稻年限土壤团聚体中颗粒态与矿物结合态有机碳含量变化 Fig. 4 Changes of particulate and mineral-bound organic carbon content in soil aggregates among paddy cultivation ages |
闭蓄态微团聚体中POC含量变化趋势与大团聚体不同,植稻50~700年间缓慢上升,之后急剧上升至2.2 g·kg–1。占总有机碳的比例由4.7%增至11.7%(图 4e)。而MOC含量变化趋势与大团聚体的大致相同,在植稻700年时含量最低,为0.7 g·kg–1(图 4b)。MOC占有机碳的比值在700年降至最低点4.4%,而后上升至8.5%(图 4e)。游离微团聚体内POC与MOC含量在植稻50~300年间逐渐增加,之后有所下降,最终在1 000年时达到0.9 g·kg–1和1.2 g·kg–1(图 4c)。POC与MOC与有机碳的比值与大团聚体的变化趋势相似,随植稻年限呈现此消彼长的变化趋势(图 4f)。
2.4 不同植稻年限土壤团聚体中颗粒态有机碳组分分布特征经密度分组后所有的颗粒态有机碳组分中,大团聚体内粗颗粒态有机碳(Mc-POC)比例最高(4.5%~6.7%),其储量为1.3~5.9 g·kg–1,对土壤碳库的贡献率为13.4%~34.7%,均随时间呈增加趋势(图 5a,图 5c,图 5d)。
|
注:网格状表示闭蓄态微团聚体碳组分,斜线表示游离态微团聚体碳组分。下同。Mc-POC,大团聚体内粗颗粒态有机碳;Mmf-POC,闭蓄态微团聚体轻组颗粒态有机碳;Mmh-POC,闭蓄态微团聚体重组颗粒态有机碳;Fmf-POC,游离微团聚体轻组颗粒态有机碳;Fmh-POC,游离微团聚体重组颗粒态有机碳。 Note: Grid pattern represents carbon components of occluded microaggregates, oblique lines represents carbon components of free microaggregates. The same as below. Mc-POC, coarse particulate organic carbon inside macroaggregates; Mmf-POC, light fine particulate organic carbon inside occluded microaggregates; Mmh-POC, heavy particulate organic carbon inside occluded microaggregates; Fmf-POC, light fine particulate organic carbon inside free microaggregates; Fmh-POC, heavy particulate organic carbon inside free microaggregates. 图 5 颗粒态有机碳质量比例及其碳含量 Fig. 5 Mass proportion and content of particulate organic carbon |
经过NaI悬浮得到的闭蓄态和游离微团聚体轻组颗粒态有机碳(Mmf-POC和Fmf-POC)质量占比极低,为0.03%~0.3%(图 5a)。但其有机碳浓度在所有组分中最高,达173~331 g·kg–1。Mmf-POC在植稻50~300年急剧升高,增幅为31.55%,之后趋于稳定;而Fmf-POC随植稻时间增加而显著下降,由50年的236 g·kg–1下降至1 000年的172 g·kg–1(图 5b)。因其质量占比极低,其对碳库的贡献也较低,但均随植稻年限呈增加的趋势(图 5c,图 5d)。
2.5 不同植稻年限团聚体中矿物结合态碳组分的分布特征所有矿物结合态碳组分中,大团聚体内黏粉粒级微团聚体(M-MOC)比例最高(50.3%~59.3%),有机碳浓度为10.9~19.3 g·kg–1。其有机碳含量及贡献率均为最大,分别为5.9~9.7 g·kg–1和41.7%~60.5%,是其他组分的5倍~11倍和3倍~18倍(图 6a–图 6d)。经过六偏磷酸钠分散筛分得到的闭蓄态和游离微团聚体黏粉粒级微团聚体(Mm-MOC和Fm-MOC)质量占比大致相同,分别为7.3%~15.5%和8.4%~15.2%,均随植稻年限的增加而降低(图 6a)。其有机碳浓度均在50年时最低(6.5 g·kg–1和7.7 g·kg–1),而后显著增加(图 6b)。
|
注:M-MOC,大团聚体内矿物结合态有机碳;Mmh-MOC,闭蓄态微团聚体矿物结合态有机碳;Fmh-MOC,游离微团聚体矿物结合态有机碳;Sm-MOC,黏粉粒级微团聚体矿物结合态有机碳。 Note: M-MOC, mineral-bound organic carbon inside macroaggregates; Mmh-MOC, mineral-bound organic carbon inside occluded microaggregates; Fmh-MOC, mineral-bound organic carbon inside free microaggregates; Sm-MOC, mineral-bound organic carbon inside silt-clay microaggregates. 图 6 矿物结合态有机碳质量比例及其碳含量 Fig. 6 Mass proportion and content of mineral-bound organic carbon |
我国东部沿海滩涂围垦后表层土壤有机碳含量随着植稻年限的延长而积累(图 2a)。这与长期植稻红壤有机碳积累趋势相似,积累过程同样分为快速增长期和趋于稳定期[16]。土壤中总POC和MOC含量随植稻时间大幅提高(图 2b,图 2c)。开垦初期土壤有机质含量低,随着植稻时间的延长,大量作物根系和凋落物进入土壤,形成向土壤腐殖质转化的中间产物POC和经微生物矿化后的MOC[19]。而且POC在土壤有机碳库的比例也在逐渐增加(图 2d),这主要是由于稻田土壤长期处于厌氧条件下,限制了好氧微生物的活性,土壤有机质的分解速率减慢,有利于更多POC的保留[20]。不同植稻年限土壤力稳性大团聚体(> 250 μm)占全土质量的74.9%~77.7%,显著高于其他粒径团聚体。作为优势粒径,大团聚体的有机碳含量及其对碳库的贡献亦最大(图 3a–图 3c)。通常认为,土壤有机碳含量高会促进大团聚体的形成[21]。然而随着长期植稻下全土以及不同粒径团聚体中有机碳的持续积累,力稳性大团聚体和微团聚体的比例并未增加。这再次证实有机质并非是促进土壤大/微团聚体形成的唯一胶结物质,团聚体的形成和稳定还需要土壤矿物和生物的作用。此外,长期人为管理扰动和环境变化等因素也是影响团聚体形成和稳定的潜在因素[1]。虽然大团聚体相对不稳定,但相对较多的大团聚体有利于其内部闭蓄态微团聚体的形成,进一步为有机碳的物理保护提供基础[22]。
3.2 长期植稻下土壤闭蓄态和游离态微团聚体中不同有机碳组分的固持特征不同状态团聚体中MOC含量在植稻300年时均有所下降,而POC含量持续增加(图 4a, 图 4b, 图 4c),可能是因为团聚体中的MOC含量趋于饱和状态[23]。700年后大团聚体内POC含量有下降趋势,POC/MOC随植稻时间呈先增加后降低的趋势。这主要是因为大团聚体稳定性差,容易被破坏而导致其内部保护的POC分解[24]。
在游离微团聚体内,植稻初期MOC固碳作用占主导地位,其碳储量是POC的5倍(图 4c, 图 4f)。随着长时间的水稻种植,大量的植物残体输入土壤,POC的积累速度大于MOC,在700年时二者的碳储量接近。MOC是以微生物残体碳为主的有机碳组分,但MOC形成过程复杂,Sokol等[25]提出低分子量碳底物是MOC形成的物质基础。一般情况下,游离微团聚体表面微生物的定殖密度越高,微生物越容易将植物残体进行体外同化和合成[26],因此在植稻初期MOC的含量显著高于POC。但随着植稻时间的延长,游离微团聚体中的MOC可能趋于饱和,不能继续固持,因此在植稻300年后,游离微团聚体中的MOC保持相对稳定。
随植稻年限的延长,闭蓄态或游离态微团聚体中重组矿物结合态有机碳(Mmh-MOC和Fmh- MOC)土壤中的比例逐渐减少。一些环境因素可能会增加MOC的不稳定性,例如水稻土中氧化还原反应可引起低分子有机物与黏土矿物的脱附,引起团聚体的破碎[27]。而Mmh-MOC和Fmh-MOC含量在植稻300~700年间持续增加,但此后有所下降,说明在重组MOC并不会持续积累。这可能是因为随水稻种植时间的延长,酶活性呈上升趋势,加速土壤有机碳的矿化速率[28]。且有研究发现,微团聚体中有机碳含量容易出现饱和现象[29]。
3.3 长期植稻下不同粒径团聚体中颗粒态和矿物结合态有机碳组分的固持特征不同的POC或MOC组分在土壤中的分配有所差别。粗颗粒有机质Mc-POC来自于占比优势的大团聚体(74.9%~77.7%),因此拥有最高的碳含量(1.3~5.9 g·kg–1)以及贡献率(13.4%~34.7%)。Mc-POC随植稻年限的延长而增加,但在700年后其碳浓度、含量及贡献率均有所下降(图 5a,图 5c,图 5d)。这是因为Mc-POC是大团聚体中最不稳定的有机碳组分[30],容易被微生物所利用[31]。虽然大团聚体不能长久的保护Mc-POC不被分解,但粗颗粒有机质降解后形成的多糖物质可以促进大团聚体内闭蓄态微团聚体的形成[32]。这再次证明团聚体的物理保护是颗粒态有机碳保持稳定的主要机制[33]。
大多数存在于微团聚体和黏粉粒级团聚体中的POC组分(Mmf-POC、Mmh-POC和Fmh-POC)和MOC组分(Mmh-MOC、Fmh-MOC和Sm-MOC)均随着植稻时间逐渐积累。这是由于微/黏粉粒级团聚体的孔隙小,通气状况和微生物活性差[34],因此微团聚体保护的有机碳较大团聚体有更长的周转时间和更高的稳定性[30]。已有研究表明,虽然颗粒态有机质组分易被分解,但仍有部分会以稳定的形式储存在土壤中[35]。与此同时,越来越多的研究表明微生物残体碳的“蓄埋机理”是有机碳固存的关键,贡献率超过50%[36]。长期水稻种植下,土壤中各类MOC组分显著积累,其对全土有机碳的贡献率 > 50%,远远大于POC的贡献。再次印证团聚体的化学保护也是有机碳固持的主要机制[33]。Sm-MOC在土壤中含量随植稻时间持续增长,导致MOC富集于较小的粉黏粒团聚体中,其形成的有机-矿物复合体可能会降低粉粒与黏粒间的分散性而促进粉黏粒团聚体的稳定[1]。
4 结论滩涂围垦植稻后土壤有机碳显著积累,颗粒态和矿物结合态有机碳含量也随着植稻时间大幅提高。长期植稻下,作为优势粒径的大团聚体组分无明显变化,而微团聚体与黏粉粒级微团聚体呈现此消彼长的动态关系。其对土壤碳库的贡献由大到小依次为:大团聚体、微团聚体、黏粉粒级微团聚体。不同形态团聚体(闭蓄态和游离态)中的总颗粒态和矿物结合态有机碳的含量也随着植稻时间的延长整体呈逐渐增加的趋势,部分组分在300~700年后增速放缓或保持相对稳定。不同形态团聚体中矿物结合态有机碳对碳库的贡献远远大于颗粒态有机碳,说明矿物结合态有机碳是稻田土壤碳固持的主要形式。闭蓄态团聚体中颗粒态有机碳对碳库的贡献高于游离微团聚体,说明闭蓄态微团聚体对颗粒态有机碳的保护作用是稻田土壤碳固持的潜在机制。
| [1] |
Liu Y L, Wang P, Wang J K. Formation and stability mechanism of soil aggregates: Progress and prospect (In Chinese)[J]. Acta Pedologica Sinica, 2023, 60(3): 627-643. DOI:10.11766/trxb202112180686 [刘亚龙, 王萍, 汪景宽. 土壤团聚体的形成和稳定机制: 研究进展与展望[J]. 土壤学报, 2023, 60(3): 627-643.]
( 0) |
| [2] |
Wang G X, Wang P, Liu Y L, et al. Distribution characteristics and influencing factors of glomalin in soil aggregates: A meta-analysis (In Chinese)[J]. Acta Pedologica Sinica, 2024, 61(4): 1147-1155. DOI:10.11766/trxb202301170024 [王国禧, 王萍, 刘亚龙, 等. 球囊霉素在土壤团聚体中的分布特征及影响因素的Meta分析[J]. 土壤学报, 2024, 61(4): 1147-1155.]
( 0) |
| [3] |
Liu Y L, Wang P, Cai G, et al. Divergent accumulation of microbial and plant necromass along paddy soil development in a millennium scale[J]. Soil & Tillage Research, 2023, 232: 105769.
( 0) |
| [4] |
Liu Y L, Dong Y Q, Ge T D, et al. Impact of prolonged rice cultivation on coupling relationship among C, Fe, and Fe-reducing bacteria over a 1000-year paddy soil chronosequence[J]. Biology and Fertility of Soils, 2019, 55(6): 589-602. DOI:10.1007/s00374-019-01370-x
( 0) |
| [5] |
Bandyopadhyay P K, Saha S, Mani P K, et al. Effect of organic inputs on aggregate associated organic carbon concentration under long-term rice–wheat cropping system[J]. Geoderma, 2010, 154(3/4): 379-386.
( 0) |
| [6] |
Balesdent J, Chenu C, Balabane M. Relationship of soil organic matter dynamics to physical protection and tillage[J]. Soil & Tillage Research, 2000, 53(3/4): 215-230.
( 0) |
| [7] |
Six J, Elliott E T, Paustian K. Soil macroaggregate turnover and microaggregate formation: A mechanism for C sequestration under no-tillage agriculture[J]. Soil Biology & Biochemistry, 2000, 32(14): 2099-2103.
( 0) |
| [8] |
Six J, Callewaert P, Lenders S, et al. Measuring and understanding carbon storage in afforested soils by physical fractionation[J]. Soil Science Society of America Journal, 2002, 66(6): 1981-1987. DOI:10.2136/sssaj2002.1981
( 0) |
| [9] |
Cotrufo M F, Soong J L, Horton A J, et al. Formation of soil organic matter via biochemical and physical pathways of litter mass loss[J]. Nature Geoscience, 2015, 8: 776-779. DOI:10.1038/ngeo2520
( 0) |
| [10] |
Zhou M, Xiao Y, Zhang X Y, et al. Fifteen years of conservation tillage increases soil aggregate stability by altering the contents and chemical composition of organic carbon fractions in Mollisols[J]. Land Degradation & Development, 2022, 33(15): 2932-2944.
( 0) |
| [11] |
Liu S J, Guan S, Zhang J J, et al. Effects of corn straw return on aggregate-associated organic carbon content in black soil: Based on physical and chemical protection supplied by hierarchical aggregates (In Chinese)[J]. Journal of Jilin Agricultural University, 2019, 41(1): 61-70. [刘思佳, 关松, 张晋京, 等. 秸秆还田对黑土团聚体有机碳含量的影响——基于多级团聚体结构的物理和化学保护作用[J]. 吉林农业大学学报, 2019, 41(1): 61-70.]
( 0) |
| [12] |
Liu Y L, Ge T D, Wang P, et al. Residence time of carbon in paddy soils[J]. Journal of Cleaner Production, 2023, 400: 136707. DOI:10.1016/j.jclepro.2023.136707
( 0) |
| [13] |
Liu Y L, Ge T D, van Groenigen K J, et al. Rice paddy soils are a quantitatively important carbon store according to a global synthesis[J]. Communications Earth & Environment, 2021, 2: 154.
( 0) |
| [14] |
Zhang Y C, Wang P, Liu Y L, et al. Effects of long-term crop cultivation on soil organic carbon in China's farmland: A meta-analysis (In Chinese)[J]. Acta Pedologica Sinica, 2024, 61(6): 1628-1638. DOI:10.11766/trxb202308230339 [张迎春, 王萍, 刘亚龙, 等. 长期种植作物对中国农田土壤有机碳影响的Meta分析[J]. 土壤学报, 2024, 61(6): 1628-1638.]
( 0) |
| [15] |
Li X Y, Li B, Mo T X, et al. Effects of long-term straw returning on distribution of aggregates and nitrogen, phosphorus, and potassium in paddy (In Chinese)[J]. Chinese Journal of Applied Ecology, 2021, 32(9): 3257-3266. [李新悦, 李冰, 莫太相, 等. 长期秸秆还田对水稻土团聚体及氮磷钾分配的影响[J]. 应用生态学报, 2021, 32(9): 3257-3266.]
( 0) |
| [16] |
Kristiansen S M, Schjønning P, Thomsen I K, et al. Similarity of differently sized macro-aggregates in arable soils of different texture[J]. Geoderma, 2006, 137(1/2): 147-154.
( 0) |
| [17] |
O'Brien S L, Jastrow J D. Physical and chemical protection in hierarchical soil aggregates regulates soil carbon and nitrogen recovery in restored perennial grasslands[J]. Soil Biology & Biochemistry, 2013, 61: 1-13.
( 0) |
| [18] |
Guan S, An N, Zong N, et al. Climate warming impacts on soil organic carbon fractions and aggregate stability in a Tibetan alpine meadow[J]. Soil Biology & Biochemistry, 2018, 116: 224-236.
( 0) |
| [19] |
Li Z P, Zhang T L, Chen B Y, et al. Soil organic matter dynamics in a cultivation chronosequence of paddy fields in subtropical China (In Chinese)[J]. Acta Pedologica Sinica, 2003, 40(3): 344-352. DOI:10.3321/j.issn:0564-3929.2003.03.004 [李忠佩, 张桃林, 陈碧云, 等. 红壤稻田土壤有机质的积累过程特征分析[J]. 土壤学报, 2003, 40(3): 344-352.]
( 0) |
| [20] |
Liu Y L, Ge T D, Zhu Z K, et al. Carbon input and allocation by rice into paddy soils: A review[J]. Soil Biology & Biochemistry, 2019, 133: 97-107.
( 0) |
| [21] |
Wang L L, Han X R, Yang J F, et al. Effect of long-term fertilization on organic carbon fractions in a brown soil (In Chinese)[J]. Journal of Plant Nutrition and Fertilizers, 2008, 14(1): 79-83. DOI:10.3321/j.issn:1008-505X.2008.01.013 [王玲莉, 韩晓日, 杨劲峰, 等. 长期施肥对棕壤有机碳组分的影响[J]. 植物营养与肥料学报, 2008, 14(1): 79-83.]
( 0) |
| [22] |
Tisdall J M, Oades J M. Organic matter and water-stable aggregates in soils[J]. Journal of Soil Science, 1982, 33(2): 141-163. DOI:10.1111/j.1365-2389.1982.tb01755.x
( 0) |
| [23] |
Gulde S, Chung H, Amelung W, et al. Soil carbon saturation controls labile and stable carbon pool dynamics[J]. Soil Science Society of America Journal, 2008, 72(3): 605-612. DOI:10.2136/sssaj2007.0251
( 0) |
| [24] |
Poeplau C, Begill N, Don A. Response to: "The robust concept of mineral-associated organic matter saturation: A letter to Begill et al. (2023)"[J]. Global Change Biology, 2023, 29(21): e4-e6.
( 0) |
| [25] |
Sokol N W, Sanderman J, Bradford M A. Pathways of mineral-associated soil organic matter formation: Integrating the role of plant carbon source, chemistry, and point of entry[J]. Global Change Biology, 2019, 25(1): 12-24. DOI:10.1111/gcb.14482
( 0) |
| [26] |
Xue Z J, Li X Y, Jiao L, et al. Advance in the formation and stabilization mechanisms of soil mineral-associated organic carbon (In Chinese)[J]. Journal of Soil and Water Conservation, 2023, 37(5): 12-23. [薛志婧, 李霄云, 焦磊, 等. 土壤矿质结合态有机碳形成及稳定机制的研究进展[J]. 水土保持学报, 2023, 37(5): 12-23.]
( 0) |
| [27] |
Lehmann J, Kleber M. The contentious nature of soil organic matter[J]. Nature, 2015, 528(7580): 60-68. DOI:10.1038/nature16069
( 0) |
| [28] |
Liu Y L, Wang P, Ding Y J, et al. Microbial activity promoted with organic carbon accumulation in macroaggregates of paddy soils under long-term rice cultivation[J]. Biogeosciences, 2016, 13(24): 6565-6586. DOI:10.5194/bg-13-6565-2016
( 0) |
| [29] |
Xiong S J, Zhu J L, Yang J L, et al. Straw return plus zinc fertilization increased the accumulations and changed the chemical compositions of mineral-associated soil organic carbon[J]. Agriculture, Ecosystems & Environment, 2023, 357: 108699.
( 0) |
| [30] |
Li S Y, Gu X, Zhuang J, et al. Distribution and storage of crop residue carbon in aggregates and its contribution to organic carbon of soil with low fertility[J]. Soil & Tillage Research, 2016, 155: 199-206.
( 0) |
| [31] |
Six J, Elliott E T, Paustian K. Aggregate and soil organic matter dynamics under conventional and no‐tillage systems[J]. Soil Science Society of America Journal, 1999, 63(5): 1350-1358. DOI:10.2136/sssaj1999.6351350x
( 0) |
| [32] |
Sarkhot D V, Comerford N B, Jokela E J, et al. Aggregation and aggregate carbon in a forested southeastern coastal plain spodosol[J]. Soil Science Society of America Journal, 2007, 71(6): 1779-1787.
( 0) |
| [33] |
Denef K, Zotarelli L, Boddey R M, et al. Microaggregate-associated carbon as a diagnostic fraction for management-induced changes in soil organic carbon in two Oxisols[J]. Soil Biology & Biochemistry, 2007, 39(5): 1165-1172.
( 0) |
| [34] |
Diba F, Shimizu M, Hatano R. Effects of soil aggregate size, moisture content and fertilizer management on nitrous oxide production in a volcanic ash soil[J]. Soil Science and Plant Nutrition, 2011, 57(5): 733-747.
( 0) |
| [35] |
Mitchell E, Scheer C, Rowlings D, et al. Amount and incorporation of plant residue inputs modify residue stabilisation dynamics in soil organic matter fractions[J]. Agriculture, Ecosystems & Environment, 2018, 256: 82-91.
( 0) |
| [36] |
Wu Y H, Wang H F, Zhang R, et al. Incorporation of carbon and nitrogen from rice straw into particulate organic matter in black soil with rice planting (In Chinese)[J]. Acta Pedologica Sinica, 2023, 60(5): 1430-1441. DOI:10.11766/trxb202203030009 [吴怡慧, 王鸿飞, 张瑞, 等. 稻秆碳氮在黑土种稻土壤颗粒有机质中的分配特征[J]. 土壤学报, 2023, 60(5): 1430-1441.]
( 0) |
2025, Vol. 62



0)