2. 广西大学林学院, 南宁 530004
2. Forestry College of Guangxi University, Nanning 530004, China
崩岗侵蚀是我国南方热带、亚热带地区侵蚀强度最大且危害最严重的一种土壤侵蚀类型,被称为“生态溃疡”[1]。崩岗主要分布在南方花岗岩红壤区,根据2005年水利部调查,粤、赣、桂、闽、湘、鄂、皖7省(区)共有大、中、小型崩岗23.91万个,崩岗总面积1 220 km2,年平均侵蚀量为5.90万t·km–2·a–1,严重制约地区农业生产和经济发展[2-4]。在南方花岗岩红壤区,独特的地质构造和气候特征为崩岗的发生和发育提供了条件,特别是疏松深厚的风化壳为崩岗侵蚀提供了良好的物质基础[5]。由于崩岗土体粗颗粒较多,结构疏松,裂隙发育,相应的结构特性使山坡土体易在水力-重力共同作用下引发土壤结构破坏、养分流失加剧等系列问题,加速崩岗侵蚀的发育和扩张[6]。
团聚体是土壤结构的基本单元,由土壤颗粒通过有机-无机复合体等胶结物质黏结而成,其稳定性对土壤水分保持、养分循环等方面具有重要影响[7]。土壤团聚体的数量、形态和稳定性在某种程度上可以反映土壤结构的质量[8]。已有研究表明,土壤质地、有机质含量等因素对团聚体稳定性具有显著影响[9-11],稳定的团聚体能够提高土壤抗侵蚀能力,减少水土流失,维护地表形态稳定[12]。土壤颗粒组成影响土壤质地,粒径较小的土壤颗粒通过胶结物质相互连接易形成稳定的团聚体[13],有机质作为胶结物质增强黏结力,分解产生有机酸、腐殖质等物质进一步促进团聚体的形成和稳定[14]。团聚体稳定性影响土壤结构,易导致土体被冲刷、坍塌,进而发生崩岗侵蚀。
近年来,国内外学者对崩岗侵蚀进行了广泛研究,侧重探究崩岗的发育阶段、形态特征、驱动因素及防治措施等方面[1]。然而,现有研究对崩岗侵蚀区土壤结构及其团聚体稳定性的探讨尚显不足。土壤结构和团聚体稳定性可能会通过改变土壤理化性质,影响土壤抗侵蚀能力,进而加剧崩岗侵蚀的发生。此外,由于花岗岩土壤中粗颗粒较多,常规的湿筛法可能高估了土壤团聚体的稳定性。因此,拟采用去砂校正处理,可更准确地评估土壤团聚体的稳定性。本研究旨在分析花岗岩崩岗区土壤结构和团聚体稳定性特征,探讨影响团聚体稳定性的关键因素,阐明团聚体稳定性与崩岗侵蚀之间的关系,为崩岗侵蚀防治提供科学依据,为区域生态安全和农业可持续发展提供理论支持。
1 材料与方法 1.1 研究区概况研究区位于广西壮族自治区梧州市龙圩区(图 1),地处浔江南岸(23°26′-24°10′N,111°25′-111°40′E),属南亚热带季风气候,气候温和、雨热同季。年均气温21.2 ℃,年无霜期323 d,年均降雨量1 520 mm,年均相对湿度达到80%,年均日照时数1 815 h。研究区是典型的花岗岩发育区,主要土壤类型为红壤。由于雨量充沛以及花岗岩的残积母质特征,土层深厚、疏松的红壤极易被雨水冲刷造成水土流失,土壤侵蚀严重,是崩岗发育的集中区域,产生大面积侵蚀劣地。该区农业种植主要以柑橘、蔬菜和水稻为主,其中柑橘为主要经济作物之一。优势植被为松科(Pinaceae)、樟科(Lauraceae)等乔木,桃金娘(Rhod-omyrtus tomentosa)、盐肤木(Rhus chinensis)、柃木(Eurya japonica)等灌木,以及铁芒萁(Dicranopteris dichotoma)、野古草(Arundinella an om ala)等草本植物[15]。
|
图 1 研究区域及采样点位置 Fig. 1 Location of the study area and sampling site |
为探究花岗岩崩岗区土壤团聚体的分布特征和稳定性,选择典型的崩岗为研究对象。采样点位于广西梧州市龙圩区大木山村,采样过程中为避免对土壤剖面结构的扰动,铲除土壤表层枯枝落叶后沿着剖面自下而上逐层采样。由于花岗岩崩岗区土壤的空间异质性,上层土壤(前两层)的采样间隔为15 cm,其余土层的采样间隔为30 cm,每层重复取样3次,以保证样本的代表性和均匀性。将采集的原状土样装入硬质塑料盒,带回实验室进行风干处理,用于团聚体稳定性的测定。同时,采集环刀土样测定容重、孔隙度和自然含水量,采集散土样用于土壤机械组成、pH、有机质等理化性质的测定。
1.3 基本理化性质测定土壤基本理化性质按照常规方法测定[16]。土壤机械组成采用吸管法测定;土壤pH采用电位计法测定;土壤有机质采用重铬酸钾外加热法测定;容重、孔隙度和自然含水量采用烘干称重法测定;土壤游离氧化铁采用连二亚硫酸钠-柠檬酸钠-重碳酸钠(DCB)提取,等离子发射光谱仪(ICP)测定。
1.4 团聚体稳定性测定(1)干筛法:取200 g风干处理后的土样,放在孔径为2 mm、1 mm、0.5 mm和0.25 mm的套筛上,保持相同的频率和力度筛分。充分振荡后,分别对各筛上的团聚体进行称重,得到各粒级团聚体的质量百分比。每个土壤样品重复处理3次。
(2)Elliott湿筛法[17]:根据干筛得到的各粒级团聚体的质量百分比,按比例混合成50 g的风干土样。将土样放入2 mm、1 mm、0.5 mm和0.25 mm组成的套筛上,同时将套筛浸没于团粒分析仪的水桶内,并固定在振荡架上。缓慢加入清水,静置10 min后,然后开启团粒分析仪,以30次·min–1的频率和4 cm的振幅上下振动套筛30 min。振荡停止后,将各级筛上的团聚体移至已知质量铝盒中;将桶内 < 0.25 mm的部分手动过0.053 mm筛。0.25~0.053 mm部分从筛面转移至已知质量铝盒中,<0.053 mm部分充分静置后,弃去上清液并将土水悬移液转移至已知质量铝盒中。各粒径团聚体在60 ℃下烘干称重,每个土壤样品重复处理3次。
(3)去砂校正:由于研究区的土壤为花岗岩发育红壤,含砂砾较多,仅用湿筛的结果表示其团聚体稳定性易造成偏差,对含有较多粗颗粒的土壤,可采用分解值(disaggregate reduction,DR)来表示土壤的团聚体稳定性[18]。因此在湿筛过后,有必要对湿筛得到的各粒级水稳性团聚体的质量进行校正。用超声波振动破碎仪对各粒级团聚体进行超声分散(根据分散效果,确定超声分散时间,本试验为10 min),用尼龙网带筛分出砂砾、烘干并称重,用湿筛后各粒级团聚体质量分别减去对应粒级的砂砾质量,即为湿筛后的各粒级水稳性团聚体质量。筛分出各粒级团聚体后,计算团聚体稳定性的衡量指标。
1.5 数据处理团聚体稳定性参数,平均质量直径(MWD)、粒径 > 0.25 mm团聚体含量(R> 0.25)和DR的计算公式如下:
(1)MWD计算公式为:
| $ {\text{MWD}} = \sum\limits_{i = 1}^n {\frac{{{r_{i - 1}} + {r_i}}}{2}} \times {m_i} $ | (1) |
式中,(ri-1+ri)/2为相邻两级团聚体的平均粒径(mm);mi为第i粒级团聚体的质量百分比(%);n为筛子的个数。
(2)粒径 > 0.25 mm团聚体含量(R> 0.25)计算公式为:
| $ {R_{ > 0.25}} = \frac{{{C_W}}}{{{C_T}}} \times 100\% $ | (2) |
式中,R > 0.25包括DR>0.25和WR>0.25;DR>0.25为干筛后 > 0.25 mm大团聚体质量分数(%),即机械稳定性团聚体;WR>0.25为湿筛后 > 0.25 mm的大团聚体质量分数(%),即水稳性团聚体;CW为干筛或湿筛 > 0.25 mm土壤团聚体质量(g);CT为土壤团聚体总质量(g)。
(3)土样的DR计算公式为:
| $ {\text{DR}} = {\text{MW}}{{\text{D}}_{\text{W}}} - {\text{MW}}{{\text{D}}_{{\text{WS}}}} $ | (3) |
式中,MWDW为湿筛后团聚体的平均质量直径(mm);MWDWS为湿筛法去砂后土壤团聚体的平均质量直径(mm)。
基于MWDW,用团聚体稳定性等级与土壤团聚体对侵蚀的敏感程度两种指标来评价土壤结构稳定性[19-20]。
采用Excel 2016和IBM SPSS Statistics 26.0软件进行数据处理和分析,使用Pearson法对土壤团聚体特征与土壤理化性质进行相关性分析,采用冗余分析(RDA)探究土壤理化性质与土壤团聚体特征之间的关系,所有图形均使用OriginPro 2021软件绘制。
2 结果 2.1 土壤基本理化性质花岗岩崩岗不同深度土层土壤基本性质如图 2所示。由图 2可知,不同深度土壤的机械组成存在显著差异,各深度土层砂粒、黏粒含量差异较大。随着土层加深,土壤的砂粒含量由21.18%增加至61.17%,粉粒含量由35.19%减少至22.48%,黏粒含量由43.63%减少至14.47%。崩岗剖面土壤呈上层土壤黏粒含量多,下层土壤砂粒含量多的分布规律。土壤自然含水量随土层加深先增后减,最高值为23.39%,最低值为16.85%,整体偏低,平均值仅为19.45%,表明土壤的持水能力较弱。土壤的孔隙度相对较高,随土层深度的增加先减后增,在40.66%~62.84%范围内波动,平均值为50.08%,说明土壤具有较好的渗透性能。土壤容重随土层加深先增后减,在1.33~1.54 g·cm–3范围内波动,平均值为1.44 g·cm–³,土壤结构较为松散,难以形成稳定的土体结构。随着土层的加深,pH在4.2~4.9范围内增加,土壤酸化程度有所减小。土壤有机质含量随土层加深显著下降,游离氧化铁含量随土层加深先增后减,进一步表明深层土壤胶结物质较少,土体结构不稳定。总体而言,崩岗区土壤呈现明显的砂化现象,土体结构性差、保水保肥能力弱。
|
注:θv:自然含水量;p:孔隙度;Fed:游离氧化铁;SOM:有机质;BD:容重;pH:酸碱度。下同。 Note: θv: Natural water content; p: Porosity; Fed: Free iron oxide; SOM: Soil organic matter; BD: Bulk density; pH: Potential of hydrogen. The same as below. 图 2 土壤基本理化性质 Fig. 2 Basic physical and chemical properties of soil |
由图 3a可知,花岗岩崩岗区土壤机械稳定性团聚体以 > 2 mm为主,其平均占比为60.31%;0.5~0.25 mm团聚体占比最小,均值为6.71%,各粒径团聚体含量随粒径减小呈现先降后增的趋势。随着土层深度的增加,> 2 mm粒级团聚体逐渐减少,2~1 mm粒级团聚体在各土层中无明显变化,而1~0.5 mm、0.5~0.25 mm和 < 0.25 mm粒级的团聚体含量均随着土层加深而增加。土壤经过湿筛后团聚体以 < 0.25 mm为主,其平均占比为46.59%;> 2 mm团聚体含量最低,平均占比为11.69%,各粒径水稳性团聚体含量随粒径减小而总体增加(图 3b)。> 2 mm粒级团聚体含量随着土层深度的增加而减少,说明深层土体的大团聚体较少,团聚体结构不稳定,易被冲刷破坏。在不同土层中,2~1 mm、1~0.5 mm、0.5~0.25 mm以及 < 0.25 mm粒级团聚体累积含量变化范围较小,且 < 0.25 mm粒级团聚体含量在各土层中占比最大。结果表明,在径流冲刷作用下,土壤易分解形成微小团聚体,进而产生细小颗粒。相较于同粒级的机械稳定性团聚体,> 2 mm粒级的水稳性团聚体占比减少80.62%,而 < 0.25 mm粒级的水稳性团聚体占比增加了79.72%。与机械稳定性团聚体在粒径分布上的显著差异表明水稳性团聚体在小粒径范围内更稳定,可能是由于小粒径团聚体具有更大的比表面积和更多的胶结物质,在抵抗水力冲刷时表现出更好的稳定性。因此,水稳性团聚体在维持土壤结构稳定性方面发挥着重要作用,尤其是在表层土壤中,有助于减少径流冲刷下的土壤侵蚀。总体上,花岗岩崩岗区土壤机械稳定性团聚体以 > 2 mm为主,各粒级团聚体含量随粒径减小先降后增;湿筛后,以 < 0.25 mm水稳性团聚体为主,且相较于同粒级机械稳定性团聚体占比显著增加。> 0.25 mm团聚体被称为土壤团粒结构,是最重要的土壤结构,其数量与土壤肥力密切相关[21]。根据各土层干、湿筛后团聚体粒径分布对比可知,花岗岩崩岗区上层土壤结构较下层稳定,抗侵蚀性较强,土壤肥力较好。
|
图 3 土壤团聚体的粒级分布特征 Fig. 3 Grain size distribution characteristics of soil aggregates |
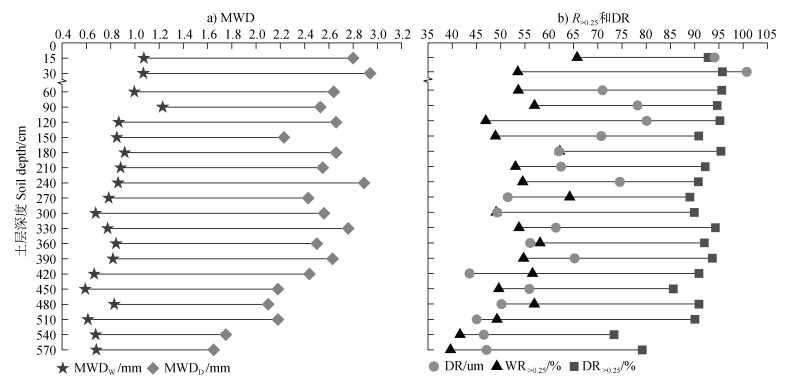
由图 4a可知,随着土层深度的增加,花岗岩崩岗区土壤MWDD值和MWDW值均呈现先减小后增大再减小的变化规律,其中MWDD变化范围为1.65~2.94 mm,平均值为2.45 mm;MWDW变化范围为0.59~1.23 mm,平均值为0.84 mm,变化趋势不显著。MWD值越大,表明大粒级团聚体含量越高,团聚体的稳定性越强。上层土壤的MWD值大于下层土壤,说明上层土壤团聚体较稳定;同一土层中MWDD值均大于MWDW,说明湿筛后花岗岩土壤团聚体稳定性降低。根据Le Bissonnais[19]和Parsakhoo等[20]对土壤结构稳定性的评价标准确定,研究区的稳定性等级表现为上层土壤处于“中等”状态,下层土壤处于“不稳定状态”;对土壤侵蚀的敏感程度表现为上层土壤表现为“中等”,下层土壤表现为“高”。结果表明花岗岩崩岗区上层土壤的抗侵蚀能力强于下层土壤。
|
注:MWDD:干筛平均质量直径;MWDW:湿筛平均质量直径;DR>0.25:机械稳定性团聚体;WR>0.25:水稳性团聚体;DR:分解值。 Note: MWDD: Dry sieve average mass diameter; MWDW: Wet sieve average mass diameter; DR>0.25: Mechanically stable aggregates; WR>0.25: Water-stable aggregates; DR: Decomposition value. 图 4 团聚体稳定性特征 Fig. 4 Stability characteristics of aggregates |
花岗岩崩岗区土壤在垂直剖面上呈现出从上到下的异质性,下层土壤粗颗粒较多,仅用湿筛结果MWDW值表征土壤团聚体稳定性易造成误差。由此,本研究进行去砂校正,DR介于43.57~100.72 um之间(图 4b),结果显示崩岗上层土壤团聚体稳定性较好,土壤结构较好,而下层土壤结构稳定性差,土体结构不稳定,易被冲刷破坏,养分易流失。进一步分析发现,随着土层加深,机械稳定性团聚体DR>0.25、水稳性团聚体WR>0.25均呈现波动下降的规律,且水稳性团聚体的降幅较大,二者均值分别为90.56%、53.41%。结果表明下层土壤的团聚体更容易受到湿筛过程的影响。由于下层土壤湿筛后大团聚体的含量减少,小团聚体占主导地位,这可能导致下层土壤团聚体稳定性下降和土体结构不稳定。总体而言,花岗岩崩岗区土壤在上层表现出较好的团聚体稳定性和良好的土壤结构,但下层土壤稳定性较差,易被雨水冲刷,土体被破坏后加速崩岗侵蚀的发生。
2.3 土壤团聚体稳定性特征与土壤理化性质相关性据图 5相关性分析可知,团聚体稳定性指标MWDD、MWDW与有机质、游离氧化铁含量、黏粒、粉粒含量呈极显著正相关性(**P<0.01),与pH、砂粒含量呈极显著负相关性。其中,MWDD与游离氧化铁含量的相关系数为0.832,MWDW与有机质含量的相关系数为0.842。DR>0.25与有机质、游离氧化铁含量、黏粒含量呈极显著正相关性,与粉粒含量呈显著正相关性(*P<0.05),与pH、砂粒含量呈极显著负相关性;WR>0.25与游离氧化铁含量呈显著正相关性。DR>0.25、WR>0.25与游离氧化铁含量的相关系数分别为0.705和0.548。DR与有机质、黏粒、粉粒含量呈极显著正相关性,相关系数分别为0.899、0.872、0.788,与游离氧化铁含量呈显著正相关性,与pH、砂粒含量呈极显著负相关性。
|
注:线条的粗细代表Mantel相关r值,线条颜色代表Mantel相关P值,热图颜色代表Spearman相关系数,并用数值进行表示;Spearman显著性的差异在P<0.05和P<0.01的水平上分别用*和**标注。 Note: The thickness of the line represents the related r value of Mantel, the line color represents the Mantel correlation P value, and the heat map color represents the Spearman correlation coefficient, which is expressed by numerical values; The significant differences of Spearman are marked with *and** at the levels of P<0.05 and P<0.01, respectively. 图 5 土壤团聚体指标与土壤理化性质的相关性分析 Fig. 5 Correlation analysis of soil aggregate index and soil physical and chemical properties |
进一步采用RDA研究土壤基本理化性质与土壤团聚体稳定性之间的关系,获得对土壤团聚体特征影响的排序图(图 6)。结果显示,前两个排序轴分别解释了土壤团聚体指标变化的89.82%和7.64%,共解释总变异的97.46%。这一结果表明,土壤理化性质对土壤团聚体稳定性指标具有显著的解释能力,其中有机质含量和黏粒含量是驱动土壤团聚体变化的关键因素,对崩岗侵蚀的发生和发育具有重要影响。
|
注:图中绿点代表不同的土层样本;蓝色箭头是土壤基本理化性质因子,为解释变量;橙色箭头是团聚体稳定性参数,为响应变量。 Note: In the figure, the green dots represent different soil layer samples; the blue arrows represent the basic physicochemical properties of the soil, which are the explanatory variables; the orange arrows represent the aggregate stability parameters, which are the response variables. 图 6 土壤基本理化性质影响土壤团聚体稳定性的RDA分析 Fig. 6 RDA analysis of the effect of soil basic physical and chemical properties on the stability of soil aggregates |
土壤团聚体组成、分布以及稳定性特征对形成良好的土壤结构起重要作用,进而有利于土壤抵抗侵蚀和保持养分[22]。本研究发现,机械稳定性团聚体均以 > 2 mm粒级为主,0.5~0.25mm粒级的团聚体分布最少,团聚体含量随粒径减小呈现先降后增的趋势。在粒径分布方面,花岗岩崩岗区团聚体呈现明显的分形分布特征。这一特点的形成与花岗岩土壤中的碎屑颗粒和石英、长石等原生矿物紧密相关,其为团聚体的形成提供物质基础。不同粒径的团聚体在形成过程中受到多种环境因素的综合作用,温度和水分是崩岗发生和发展的主要驱动因素[23]。在高温湿润的气候条件下,花岗岩土壤中的微生物活动和酶活性得到显著增强,对团聚体的形成和稳定起到关键作用[24]。而在低温或干燥条件下,团聚体的形成可能受限,进而影响其粒径分布。团聚体的粒径组成对土壤的物理性质、化学性质和生物性质均有显著影响。干筛时,大团聚体含量较高,土壤通气性、保水性和养分有效性通常较好,有利于作物生长和土壤生物活动。湿筛后,土壤的孔隙结构被破坏,微团聚体增多,土壤结构稳定性下降[25],在花岗岩土壤中易发生侵蚀。由于花岗岩崩岗区土壤结构的垂直异质性,上层土壤具有较好的通气性和保水性,有利于作物生长和土壤生物活动,而下层土壤则容易受到雨水冲刷,导致崩岗侵蚀。
土壤团聚体稳定性常用MWD和土壤大团聚体质量分数(R> 0.25)作为衡量指标。在花岗岩崩岗区MWD值较高,说明土壤团聚体稳定性较好,有利于保持土壤结构;反之,土壤结构稳定性越差,土壤养分易流失[26]。此外,R> 0.25值较高时,表明土壤中大团聚体占主导地位,土壤质量越好,结构越稳定[27]。花岗岩区土壤粗颗粒较多,为减少MWDW表示团聚体稳定性造成的偏差,本研究采用DR对各粒级水稳性团聚体的质量进行校正。DR值越高表明土壤中有机质、黏粒等胶结物质的含量较多,团聚体稳定性越好,土壤的抗侵蚀能力越强。植物根系主要分布在上层土壤中,有助于团聚体的形成和稳定。随着土层深度的增加,植物根系对下层土壤的保护作用减弱,导致其团聚体稳定性降低。进一步分析表明,下层土壤中有机质和胶结物质的含量相对较低,土壤抗侵蚀能力较弱。因此,崩岗上层土壤团聚体稳定性较下层高,上层土壤结构较好,而下层土壤易被雨水冲刷诱发侵蚀[28]。
3.2 土壤性质对团聚体稳定性的影响土壤团聚体稳定性不仅受土壤理化性质的影响,而且与崩岗的发生、发育和侵蚀过程密切相关。土壤pH、有机质含量、黏粒含量、水分和氧化矿物等因素共同作用,影响土壤团聚体的形成和稳定[29]。土壤pH通过影响土壤微生物和植物根系的生长,间接影响土壤团聚体的形成[30]。在花岗岩崩岗区,酸性土壤环境不利于植物根系生长,遏制了微生物与根系的相互作用,导致酸性土壤中的大团聚体难以形成[31]。有机质是团聚体形成和稳定的关键因素,是促进土壤团聚的重要胶结剂,可以增强团聚体的水稳定性、降低容重、提高孔隙连通性,从而稳定团聚体结构[32]。花岗岩崩岗区土壤的有机质含量普遍较低,这可能是由于该区域植被覆盖度较低,导致有机质来源不足,土壤的通气性和保水性差,从而影响土壤肥力。黏粒作为重要的胶结剂对土壤团聚体稳定性起着重要作用,其含量与土壤稳定性显著相关,当土壤受到破坏时,高黏粒含量(> 30%)土壤稳定性高于中黏粒含量(20%~30%)和低黏粒含量(< 20%)土壤[33]。土壤由于质地差异形成的不同微环境诱导微生物群落分离,从而导致土壤的MWD值变化,影响团聚体稳定性[34],易引发崩岗溯源侵蚀。在南方温暖湿热的气候条件下,花岗岩的生物化学作用强烈,形成了深厚的风化壳,其中包含松散的石英颗粒。这些松散的颗粒在高温、暴雨径流作用下容易被冲刷剥离,加剧崩岗侵蚀过程。在花岗岩崩岗区,由于地形的陡峭和土壤结构的特殊性,降雨过程中水分渗透和团聚体稳定性变化极为明显。当土壤含水量增加到一定程度时,团聚体的稳定性急剧下降,可能进一步发生崩岗侵蚀。章智等[35]发现降雨是崩岗崩壁失稳发生崩塌的关键因素之一,韦江杏等[36]研究表明土壤水分状态对崩岗稳定性有显著影响,均与本研究结果一致。
花岗岩崩岗区矿物的种类和含量对土壤肥力和团聚体稳定性有重要影响[37]。铁、铝和硅的氢氧化物或水合氧化物,可能参与土壤中的化学反应,在许多土壤中可作为水稳性团聚体的良好胶结剂,与侵蚀量和水稳性团聚体有很好的相关性[38-39]。Arca和Weed[40]发现,在黏粒和游离氧化铁含量不等但黏土矿物类似的土壤中,游离氧化铁与水稳性团聚体间有极显著相关性,与本研究结果一致。随着崩岗侵蚀的加剧,土壤中的游离氧化物逐渐流失,导致团聚体稳定性下降,进一步加剧崩岗侵蚀过程。在花岗岩崩岗区,由于特殊的地质和气候条件,通过改善土壤结构、提高有机质含量等多种机制提高团聚体稳定性,提高土壤抗侵蚀能力,从而有效抑制崩岗侵蚀的发生和发展。
4 结论典型花岗岩崩岗区土壤机械稳定性团聚体以 > 2 mm为主,0.5~0.25 mm团聚体占比最小;水稳性团聚体以 < 0.25 mm为主,> 2 mm团聚体含量最低。土壤大团聚体含量较高,机械稳定性好;湿筛后土壤团聚体受破碎程度高,水稳性差,团聚体流失严重。分析不同土层土壤团聚体稳定性指标,结果表明花岗岩崩岗区上层土壤的抗侵蚀能力强于下层土壤。对团聚体稳定性指标和土壤理化性质进行相关性分析发现,MWDD、MWDW、DR>0.25与有机质、游离氧化铁含量、黏粒含量呈极显著正相关性,与pH、砂粒含量呈极显著负相关性。WR>0.25与游离氧化铁含量呈显著正相关性,DR与有机质、黏粒、粉粒含量呈极显著正相关性。进一步RDA结果显示,土壤有机质和黏粒是驱动土壤团聚体变化的关键环境因子。因此,建议在花岗岩崩岗区实施土壤管理策略,如植被恢复、增施生物炭和有机肥等措施,以增强土壤结构稳定性,有效预防和控制崩岗侵蚀的发生和发展。
| [1] |
Liao Y S, Tang C Y, Yuan Z J, et al. Research progress on Benggang erosion and its prevention measure in red soil region of Southern China (In Chinese)[J]. Acta Pedologica Sinica, 2018, 55(6): 1297-1312. DOI:10.11766/trxb201807030219 [廖义善, 唐常源, 袁再健, 等. 南方红壤区崩岗侵蚀及其防治研究进展[J]. 土壤学报, 2018, 55(6): 1297-1312.]
( 0) |
| [2] |
Feng M H, Liao C Y, Li S X, et al. Investigation on status of hill collapsing and soil erosion in Southern China (In Chinese)[J]. Yangtze River, 2009, 40(8): 66—68, 75. DOI:10.3969/j.issn.1001-4179.2009.08.018 [冯明汉, 廖纯艳, 李双喜, 等. 我国南方崩岗侵蚀现状调查[J]. 人民长江, 2009, 40(8): 66—68, 75.]
( 0) |
| [3] |
Huang M Y, Sun S J, Feng K J, et al. Effects of Neyraudia reynaudiana roots on the soil shear strength of collapsing wall in Benggang, southeast China[J]. Catena, 2022, 210: 105883. DOI:10.1016/j.catena.2021.105883
( 0) |
| [4] |
Wen H, Ni S M, Wang Y T, et al. A study on silty soil shear strength and its influencing factors in different vegetation types in Benggang erosion area of southern Jiangxi (In Chinese)[J]. Acta Pedologica Sinica, 2022, 59(6): 1517-1526. DOI:10.11766/trxb202012240707 [文慧, 倪世民, 王艺彤, 等. 赣南崩岗区不同植被类型粉砂质土壤抗剪强度及其影响因素[J]. 土壤学报, 2022, 59(6): 1517-1526.]
( 0) |
| [5] |
Liu X L, Zhang D L, Jia Y Y. Soil physical properties of collapsing hill and gully and their indications for soil erosion: An example of Liantanggang collapsing hill and gully in Wuhua County of Guangdong (In Chinese)[J]. Advances in Earth Science, 2013, 28(7): 802-811. [刘希林, 张大林, 贾瑶瑶. 崩岗地貌发育的土体物理性质及其土壤侵蚀意义——以广东五华县莲塘岗崩岗为例[J]. 地球科学进展, 2013, 28(7): 802-811.]
( 0) |
| [6] |
Sun L L, Cha X, Huang S Y, et al. Experimental on soil anti-scouribility factors under different management modes in granite red soil region (In Chinese)[J]. Journal of Soil and Water Conservation, 2019, 33(5): 34—40, 49. [孙丽丽, 査轩, 黄少燕, 等. 花岗岩红壤区不同治理模式土壤抗冲性因素试验[J]. 水土保持学报, 2019, 33(5): 34—40, 49.]
( 0) |
| [7] |
Zhang Q, Fang H L, Shi Z H, et al. Advances in influence factors of aggregate stability under erosion (In Chinese)[J]. Scientia Silvae Sinicae, 2007, 43(S1): 77-82. [张琪, 方海兰, 史志华, 等. 侵蚀条件下土壤性质对团聚体稳定性影响的研究进展[J]. 林业科学, 2007, 43(S1): 77-82.]
( 0) |
| [8] |
Wei S C, Xie W J, Xia J B, et al. Research progress on soil aggregates and associated organic carbon in salinized soils (In Chinese)[J]. Chinese Journal of Applied Ecology, 2021, 32(1): 369-376. [魏守才, 谢文军, 夏江宝, 等. 盐渍化条件下土壤团聚体及其有机碳研究进展[J]. 应用生态学报, 2021, 32(1): 369-376.]
( 0) |
| [9] |
Zhang X, Ma R M, Jia Y F, et al. Effect of freeze-thaw cycles on aggregate breakdown of typical black soil during transportation (In Chinese)[J]. Chinese Journal of Applied Ecology, 2024, 35(5): 1275-1282. [张茜, 马仁明, 贾燕锋, 等. 冻融对典型黑土团聚体输移破碎特征的影响[J]. 应用生态学报, 2024, 35(5): 1275-1282.]
( 0) |
| [10] |
Sun X D, Li H P, Gao W J, et al. Effects of manures on carbon, nitrogen, phosphorus content and bacterial community in reclaimed soil aggregates (In Chinese)[J]. Journal of Plant Nutrition and Fertilizers, 2023, 29(12): 2193-2207. DOI:10.11674/zwyf.2023197 [孙晓东, 栗海鹏, 高文俊, 等. 有机肥对煤矿复垦土壤团聚体碳氮磷含量及细菌群落的影响[J]. 植物营养与肥料学报, 2023, 29(12): 2193-2207.]
( 0) |
| [11] |
Bai Y F, Cotrufo M F. Grassland soil carbon sequestration: Current understanding, challenges, and solutions[J]. Science, 2022, 377(6606): 603-608. DOI:10.1126/science.abo2380
( 0) |
| [12] |
Wei H, Deng Y S, Lin L W, et al. Comparative study on the stability of soil aggregates in typical microhabitats in Karst ecologically fragile areas (In Chinese)[J]. Acta Ecologica Sinica, 2022, 42(7): 2751-2762. [韦慧, 邓羽松, 林立文, 等. 喀斯特生态脆弱区典型小生境土壤团聚体稳定性比较研究[J]. 生态学报, 2022, 42(7): 2751-2762.]
( 0) |
| [13] |
Yu J, Miao S J, Qiao Y F. The stabilization mechanism of different types of soil aggregates (In Chinese)[J]. Chinese Agricultural Science Bulletin, 2022, 38(14): 89-95. DOI:10.11924/j.issn.1000-6850.casb2021-0504 [余洁, 苗淑杰, 乔云发. 不同类型土壤团聚体稳定机制的研究[J]. 中国农学通报, 2022, 38(14): 89-95.]
( 0) |
| [14] |
Feng H L, Han X Z, Lu X C, et al. Research progress on the formation and stability of soil aggregates by organic fertilization (In Chinese)[J]. Soils and Crops, 2023, 12(4): 393-400. [冯浩亮, 韩晓增, 陆欣春, 等. 有机培肥影响土壤团聚体形成与稳定的研究进展[J]. 土壤与作物, 2023, 12(4): 393-400.]
( 0) |
| [15] |
Huang J, Deng Y S, Ma Z L, et al. Characteristics of soil macropores in granite hilly region area with different land use types in southeast Guangxi (In Chinese)[J]. Journal of Soil and Water Conservation, 2021, 35(2): 80—86, 95. [黄娟, 邓羽松, 马占龙, 等. 桂东南花岗岩丘陵区不同土地利用方式土壤大孔隙特征[J]. 水土保持学报, 2021, 35(2): 80—86, 95.]
( 0) |
| [16] |
Lu R K. Soil and agricultural chemistry analysis[M]. Beijing: China Agricultural Science and Technology Press, 1999.[鲁如坤. 土壤农业化学分析方法[M]. 北京: 中国农业科技出版社, 1999.]
( 0) |
| [17] |
Elliott E T. Aggregate structure and carbon, nitrogen, and phosphorus in native and cultivated soils[J]. Soil Science Society of America Journal, 1986, 50(3): 627-633. DOI:10.2136/sssaj1986.03615995005000030017x
( 0) |
| [18] |
Rawlins B G, Wragg J, Lark R M. Application of a novel method for soil aggregate stability measurement by laser granulometry with sonication[J]. European Journal of Soil Science, 2013, 64(1): 92-103. DOI:10.1111/ejss.12017
( 0) |
| [19] |
Le Bissonnais Y. Aggregate stability and assessment of soil crustability and erodibility: I. Theory and methodology[J]. European Journal of Soil Science, 2016, 67(1): 11-21. DOI:10.1111/ejss.4_12311
( 0) |
| [20] |
Parsakhoo A, Lotfalian M, Kavian A, et al. Assessment of soil erodibility and aggregate stability for different parts of a forest road[J]. Journal of Forestry Research, 2014, 25(1): 193-200. DOI:10.1007/s11676-014-0445-2
( 0) |
| [21] |
Shang X X, Wang J H. Effects of long-term leaching on soil aggregate stability and changes in organic carbon content[J]. Journal of Jilin Agricultural University, https://link.cnki.net/urlid/22.1100.S.20240718.1328.002.[尚小萱, 王继红. 长期淋溶对土壤团聚体稳定性及有机碳含量变化的影响[J]. 吉林农业大学学报, https://link.cnki.net/urlid/22.1100.S.20240718.1328.002.]
( 0) |
| [22] |
Dou Y X, Yang Y, An S S, et al. Effects of different vegetation restoration measures on soil aggregate stability and erodibility on the Loess Plateau, China[J]. Catena, 2020, 185: 104294. DOI:10.1016/j.catena.2019.104294
( 0) |
| [23] |
Zhang Y, Zhao D F, Zheng Q M, et al. Effects of temperature on soil atterberg limit in soil of collapsing gully wall in the hilly granitic region of South China (In Chinese)[J]. Acta Pedologica Sinica, 2022, 59(1): 118-128. DOI:10.11766/trxb202007300287 [张越, 赵冬峰, 郑勤敏, 等. 花岗岩红壤丘陵区崩岗土体界限含水量的温度效应研究[J]. 土壤学报, 2022, 59(1): 118-128.]
( 0) |
| [24] |
Tan W F, Xu Y, Shi Z H, et al. The formation process and stabilization mechanism of soil aggregates driven by binding materials (In Chinese)[J]. Acta Pedologica Sinica, 2023, 60(5): 1297-1308. DOI:10.11766/trxb202308060312 [谭文峰, 许运, 史志华, 等. 胶结物质驱动的土壤团聚体形成过程与稳定机制[J]. 土壤学报, 2023, 60(5): 1297-1308.]
( 0) |
| [25] |
Wang J, Ren S C, Wei Y J, et al. Response of water stability of lateritic aggregates with different land use types under different antecedent moisture content (In Chinese)[J]. Acta Pedologica Sinica, 2024, 61(4): 978-988. DOI:10.11766/trxb202301060007 [王杰, 任少聪, 魏玉杰, 等. 不同土地利用方式砖红壤团聚体水稳性及其对前期含水率的响应[J]. 土壤学报, 2024, 61(4): 978-988.]
( 0) |
| [26] |
Zhao Y K, Wang H, Chen X W, et al. Effect of rainfall on soil aggregate breakdown and transportation on cultivated land in the black soil region of Northeast China[J]. Sustainability, 2022, 14(17): 11028. DOI:10.3390/su141711028
( 0) |
| [27] |
Cai L, Yang Y J, Chong Y J, et al. Effects of different restoration approaches of subtropical degraded forests on bonding materials and stability of soil aggregate (In Chinese)[J]. Acta Ecologica Sinica, 2023, 43(9): 3689-3698. [蔡琳, 杨予静, 种玉洁, 等. 亚热带退化森林不同恢复方式对土壤团聚体胶结物质及稳定性的影响[J]. 生态学报, 2023, 43(9): 3689-3698.]
( 0) |
| [28] |
Wei Y J, Cai C F, Guo Z L, et al. Linkage between aggregate stability of granitic soils and the permanent gully erosion in subtropical China[J]. Soil and Tillage Research, 2022, 221: 105411. DOI:10.1016/j.still.2022.105411
( 0) |
| [29] |
Tang F K, Cui M, Lu Q, et al. Effects of vegetation restoration on the aggregate stability and distribution of aggregate-associated organic carbon in a typical Karst gorge region[J]. Solid Earth, 2016, 7(1): 141-151. DOI:10.5194/se-7-141-2016
( 0) |
| [30] |
Han T F, Liu K L, Huang J, et al. Spatio-temporal evolution of soil pH and its driving factors in the main Chinese farmland during past 30 years (In Chinese)[J]. Journal of Plant Nutrition and Fertilizers, 2020, 26(12): 2137-2149. DOI:10.11674/zwyf.20399 [韩天富, 柳开楼, 黄晶, 等. 近30年中国主要农田土壤pH时空演变及其驱动因素[J]. 植物营养与肥料学报, 2020, 26(12): 2137-2149.]
( 0) |
| [31] |
Naz M, Dai Z C, Hussain S, et al. The soil pH and heavy metals revealed their impact on soil microbial community[J]. Journal of Environmental Management, 2022, 321: 115770. DOI:10.1016/j.jenvman.2022.115770
( 0) |
| [32] |
Ao H, Chen C, Zhou H. Effect and mechanism of food waste compost on the stability of paddy soil aggregates[J]. Acta Pedologica Sinica, 2024, DOI: 10.11766/trxb202402240077.[敖晖, 陈冲, 周虎. 餐厨垃圾堆肥对水稻土团聚体稳定性的影响及机制[J]. 土壤学报, 2024, DOI: 10.11766/trxb202402240077.]
( 0) |
| [33] |
Ge N N, Wei X R, Wang X, et al. Soil texture determines the distribution of aggregate-associated carbon, nitrogen and phosphorous under two contrasting land use types in the Loess Plateau[J]. Catena, 2019, 172: 148-157. DOI:10.1016/j.catena.2018.08.021
( 0) |
| [34] |
Zhang Y, Liu Q G, Zhang W D, et al. Linkage of aggregate formation, aggregate-associated C distribution, and microorganisms in two different-textured ultisols: A short-term incubation experiment[J]. Geoderma, 2021, 394: 114979. DOI:10.1016/j.geoderma.2021.114979
( 0) |
| [35] |
Zhang Z, Chen J, Lin J S, et al. Effect of water content on swell-shrink characteristics of collapsed granite soil in Anxi County (In Chinese)[J]. Acta Pedologica Sinica, 2020, 57(3): 600-609. DOI:10.11766/trxb201903230072 [章智, 陈洁, 林金石, 等. 含水率对安溪县花岗岩崩岗土体胀缩特性的影响[J]. 土壤学报, 2020, 57(3): 600-609.]
( 0) |
| [36] |
Wei J X, Deng Y S, Liao D L, et al. Spatial variation and influencing factors of soil limiting water content of granite collapsing gullies in southeast Guangxi (In Chinese)[J]. Acta Pedologica Sinica, 2023, 60(3): 749-761. DOI:10.11766/trxb202107120359 [韦江杏, 邓羽松, 廖达兰, 等. 桂东南花岗岩崩岗土壤界限含水率空间变异及影响因素[J]. 土壤学报, 2023, 60(3): 749-761.]
( 0) |
| [37] |
Liu Y, Ma M H, Wu S J, et al. Soil aggregates as affected by wetting-drying cycle: A review (In Chinese)[J]. Soils, 2018, 50(5): 853-865. [刘艳, 马茂华, 吴胜军, 等. 干湿交替下土壤团聚体稳定性研究进展与展望[J]. 土壤, 2018, 50(5): 853-865.]
( 0) |
| [38] |
Duiker S W, Rhoton F E, Torrent J, et al. Iron(hydr)oxide crystallinity effects on soil aggregation[J]. Soil Science Society of America Journal, 2003, 67(2): 606-611. DOI:10.2136/sssaj2003.6060
( 0) |
| [39] |
Markgraf W, Horn R. Scanning electron microscopy–Energy dispersive scan analyses and rheological investigations of south-Brazilian soils[J]. Soil Science Society of America Journal, 2007, 71(3): 851-859. DOI:10.2136/sssaj2006.0231
( 0) |
| [40] |
Arca M N, Weed S B. Soil aggreation and porosity in relation to contents of free iron oxide and clay[J]. Soil Science, 1966, 101(3): 164-170. DOI:10.1097/00010694-196603000-00002
( 0) |
2025, Vol. 62



0)