2. 杭州市临安区农林技术推广中心, 杭州 311300
2. Agroforestry Technology Extension Centre of Lin'an District, Hangzhou, Hangzhou 311300, China
我国南方红壤区水热资源丰富,耕地面积超过2 000万hm2,粮食产量占全国粮食总产量的1/3,是重要的农业生产基地[1]。然而,由于气候因素和人为干扰加剧,旱地红壤面临着酸化、有机碳贫乏和土壤侵蚀等严峻形势[2],威胁土壤生产力、粮食安全及农业绿色发展。土壤团聚体稳定性是红壤结构可塑性的主要影响因素,良好的土壤团粒结构可减少土壤侵蚀,提高土壤肥力和作物产量[3]。土壤有机碳既是土壤生产力的核心载体,也是土壤团聚体形成和稳定的驱动力,直接影响团聚体的数量和分布。土壤团聚体则是土壤有机碳的重要储藏场所,在土壤有机碳周转中起着至关重要的作用[4]。土壤团聚体一方面通过物理保护作用将土壤易分解有机碳在空间上与微生物隔离,从而保护其免受微生物的分解;另一方面,通过将微生物的分泌物、残体等有机物与土壤矿物粘结,形成稳定的有机-矿物复合体,进而促进有机碳的化学稳定性[5]。除土壤有机碳外,土壤微生物和生物胶结物质的分布对土壤团聚体的形成和稳定起着重要作用[6]。已有研究[7]表明,大团聚体和微团聚体主要通过生物作用(包括多糖、蛋白质、根和菌丝等)结合在一起。例如,真菌通过其菌丝和多糖等结合剂对土壤颗粒进行缠绕,增加土壤颗粒之间的黏附从而使土壤团聚[8-9];细菌群落可通过产生黏液参与土壤团聚[9]。球囊霉素相关土壤蛋白(Glomalin-related soil protein,GRSP)是一种由丛枝菌根真菌菌丝所产生的氮-连接糖蛋白,是影响土壤结构长期稳定的重要因素[10]。它对土壤颗粒有较强的胶结作用,其胶结能力为其他胶结物质的3倍~10倍,也是土壤有机碳库的重要组成部分[11-12]。因此,分析土壤团聚体中胶结物质的含量和分布规律对阐明土壤团聚体稳定性具有重要指示作用。
作物秸秆或畜禽粪便等有机物料还田是提升土壤有机碳库、维持土壤养分及稳定土壤结构的重要手段之一[2]。研究表明,作物秸秆和畜禽粪便具有较高的易分解组分,可刺激微生物的生长,增加土壤易分解碳组分,提高土壤颗粒间的黏附作用,从而促进团聚体的稳定性[13]。生物质炭具有丰富的芳香性碳组分、官能团和较大的比表面积,施用后可降低土壤容重,增加土壤总孔隙度和稳定性碳库[14]。然而,目前生物质炭施用对土壤团聚体分布及其稳定性的影响仍存在较大争议,这与生物质炭原料、施用量和土壤类型差异有密切关系。蒋雪洋等[15]研究表明,生物质炭施用增加了2~0.25 mm粒径的团聚体比例以及土壤有机碳和全磷含量,从而提高土壤团聚体稳定性。Blanco-Canqui等[16]研究发现免耕土壤中生物质炭施用增加了土壤有机碳含量,降低了有机碳矿化速率,但对土壤团聚体稳定性无影响。此外,以往的研究多集中在生物质炭单独施用对土壤团聚体稳定性的短期影响,缺乏在秸秆和畜禽粪便等有机物料还田条件下施用生物质炭的互作效应研究。因此,在有机物料还田背景下,探明生物质炭施用及与有机物料的交互作用如何影响土壤团聚体稳定性,对于提高红壤结构稳定和固碳培肥具有重要的实践意义。
为此,本试验通过粉砂岩母质发育形成的旱地红壤田间试验,结合湿筛法团聚体分级,分析了连续6年有机物料(玉米秸秆和羊粪)单施以及与生物质炭配施对土壤团聚体稳定性的影响及与土壤团聚体中微生物生物量、球囊霉素和多糖含量等生物胶结物质的关系,旨在为改善旱地红壤结构和开发适宜的固碳培肥技术提供科学依据。
1 材料与方法 1.1 试验区概况试验地位于浙江省杭州市临安区锦北街道(30°15′ N,119°43′ E)。该地属于亚热带季风气候,年均降水量1 420 mm,年均气温15.9℃。试验地土壤类型为粉砂岩母质发育形成的红壤,土壤基础性质为:pH 4.74,有机碳4.55 g·kg–1,全氮0.45 g·kg–1,碱解氮63.10 mg·kg–1,有效磷1.58 mg·kg–1,速效钾89.00 mg·kg–1。土壤机械组成为:砂粒104.0 g·kg–1,粉粒435.0 g·kg–1,黏粒461.0 g·kg–1[17]。
1.2 供试材料玉米秸秆于当地收集,自然风干后切碎至1 cm左右备用。玉米秸秆性质如下:含总碳352.6 g·kg–1,总氮9.2 g·kg–1,碳氮比38.32,总磷1.2 g·kg–1,总钾2.3 g·kg–1。羊粪购于当地饲养场,主要性质为pH 8.2,总碳294.3 g·kg–1,总氮21.7g·kg–1,总磷10.6 g·kg–1,总钾11.2 g·kg–1[17]。生物质炭由玉米秸秆在炭化炉450~500℃厌氧环境下热解2 h制备而成,并过2 mm筛,备用。生物质炭基本理化性质为:pH 9.3,总碳424.2 g·kg–1,总氮10.2 g·kg–1,总磷1.6 g·kg–1,总钾2.6 g·kg–1,碳氮比41.74,可溶性有机碳0.6 g·kg–1,灰分156.8 g·kg–1,比表面积8.53 m2·g–1。
1.3 试验设计田间试验始于2017年4月,试验设置6个处理:对照(CK,不施有机物料)、单施玉米秸秆(S)、单施羊粪(M)及在此基础上分别与生物质炭配施处理(记为+B,前3者无生物质炭处理记为-B)[2]。本研究玉米秸秆采用全量还田,还田量为10.2 t·hm–2。羊粪和生物质炭的用量与玉米秸秆处理保持等碳量(3.6 t·hm–2,以C计,下同)输入,其中羊粪用量为33.5 t·hm–2,生物质炭添加量为8.5 t·hm–2。各处理按随机区组设计,每个处理设置3个重复,小区面积为6.6 m2。每年4月根据上述用量将玉米秸秆、羊粪、生物质炭分别撒施至各小区,并用锄头将物料充分混匀至0~15 cm。试验期间每年种植一季玉米,期间不额外施用化肥,以避免化肥施用可能对有机物料与生物质炭的交互作用产生干扰。
1.4 土壤样品采集及团聚体分级于2022年11月在各小区按照五点法采集0~15 cm原状土壤,充分混匀形成一个混合样,置于保鲜盒带回实验室。土壤样品剔除根系、植物残体和石砾等杂物后,将大土块沿土壤自然裂隙轻轻掰开,过8 mm筛,用于土壤团聚体分级。
土壤团聚体分级采用湿筛法[18]结合团聚体分析仪进行。将25 g新鲜土壤在蒸馏水中浸泡5 min,然后转移至由2 mm、1 mm、0.25 mm和0.053 mm粒径筛子依次组成的套筛上。将套筛浸入去离子水中,按每分钟30次上下振荡5 min。收集不同孔径上残留的土壤团聚体,最后通过离心法获得小于0.053 mm的粉黏粒。上述部分土壤经自然风干后用于分析不同粒径团聚体的分布。本研究中进一步将大于0.25 mm粒径合并,并将3个粒级(> 0.25 mm、0.25~0.053 mm、< 0.053 mm)团聚体分成三份用于后续理化和生物学分析。其中,一份存储于4℃冰箱用于土壤微生物生物量等指标测定,一份风干后用于化学性质测定,剩余土壤经冷冻干燥保存于–70℃。
平均重量直径(MWD)作为水稳性团聚体稳定性指标[18],其计算公式如下:
| $ \text{MWD} = \sum\nolimits_{i = 1}^n {X{Y_i}} $ | (1) |
式中,X指该粒径土壤团聚体的平均直径,mm;Yi为该粒径团聚体所占的质量百分比。
1.5 土壤样品测定土壤有机碳(SOC)采用重铬酸钾-浓硫酸外加热法测定[19]。微生物生物量碳(MBC)采用氯仿熏蒸浸提法测定[20]。易提取态球囊霉素相关土壤蛋白(EE-GRSP)和总球囊霉素相关土壤蛋白(T-GRSP)采用柠檬酸钠溶液提取和分光光度计比色测定[18],其中EE-GRSP在高温高压下提取1次,T-GRSP多次提取直至浸提液无色透明,之后以牛血清蛋白为标线,采用考马斯亮蓝法显色测定。土壤多糖含量采用稀酸提取,经苯酚-硫酸比色法测定[21]。
1.6 数据处理运用SPSS Statistics 25对有机物料(OA)与生物质炭(B)处理及两者互作效应进行双因素方差分析(Two-way ANOVA)检验,采用单因素方差分析(One-way ANOVA)邓肯(Duncan)多重比较法比较不同处理间的显著性(显著性水平设置为P=0.05)。通过R语言randomForest包进行随机森林的回归分析,评估不同胶结物质对团聚体稳定性的重要性。
2 结果 2.1 土壤团聚体的粒径分布和稳定性特征与对照相比,单施秸秆和羊粪显著(P < 0.05)提高了大于2 mm和2~1 mm粒径团聚体含量,而降低了0.25~0.053 mm粒径团聚体含量(图 1a)。与对照相比,单施秸秆使平均重量直径(MWD)和大于0.25 mm的团聚体(R0.25 mm)占比分别显著(P < 0.05)提高了50%和27.66%,而单施羊粪使其分别提高了103.13%和36.17%(图 1b,图 1c)。双因素方差分析表明,有机物料施用对所有粒径团聚体含量(表 1)和MWD有显著影响。施用生物质炭对土壤团聚体粒径分布、MWD和大于0.25 mm团聚体占比的影响并不显著,两者也无显著的交互作用。
|
注:-B:不添加生物质炭处理;+B:添加生物质炭处理;CK:对照;S:秸秆;M:羊粪;FOA:有机物料因子的F值;FB:生物质炭因子的F值;FOA×B:有机物料和生物质炭交互效应的F值。不同小写字母表示不同处理间存在显著性差异(P < 0.05),*表示P < 0.05,**表示P < 0.01,***表示P < 0.001,ns表示无显著性,下同。 Note: -B: without biochar addition; +B: with biochar addition; CK: control; S: straw; M: manure; FOA: F value of organic matter factor; FB: F value of biochar factor; FOA×B: F value of organic matter and biochar interaction. Different letters indicate significant differences between different treatments(P < 0.05), * P < 0.05, ** P < 0.01, *** P < 0.001, ns means no significance. The same as below. 图 1 不同处理对团聚体粒径分布(a)、平均重量直径(MWD)(b)和大于0.25 mm的团聚体含量(R0.25 mm)(c)的影响 Fig. 1 Effects of different treatments on aggregate size distribution(a), mean weight diameter(b), and the proportion of aggregates > 0.25 mm(R0.25 mm)(c) |
|
|
表 1 有机物料(OA)、生物质炭(B)及其相互作用(OA×B)对团聚体粒径分布影响的双因素方差分析 Table 1 Two-way ANOVA for the effects of the organic amendment(OA), biochar(B), and their interactions(OA×B)on the particle size distribution of aggregates |
土壤有机碳含量表现为随团聚体粒径增大而升高,而土壤微生物生物量碳含量与之相反(图 2)。与对照相比,单施秸秆显著(P < 0.05)增加了大团聚体(> 0.25 mm)和微团聚体(0.25~0.053 mm)中土壤有机碳的含量,极显著(P < 0.01)增加了微团聚体中微生物量碳的含量。单施羊粪极显著(P < 0.01)增加了大团聚体和微团聚体中土壤有机碳和微生物生物量碳的含量。与单施秸秆相比,生物质炭与秸秆配施使大团聚体和微团聚体土壤有机碳含量分别极显著(P < 0.01)增加了206.98% 和69.72%。与单施羊粪相比,生物质炭与羊粪配施使大团聚体和微团聚体有机碳含量分别极显著(P < 0.01)增加了151.09%和60.72%。与单施秸秆和羊粪相比,生物质炭配施分别使大团聚体微生物生物量碳极显著(P < 0.01)提高了78.21%和62.13%。双因素方差分析表明,有机物料施用对各粒级团聚体有机碳和微生物生物量碳含量均有极显著影响;生物质炭施用对大团聚体和微团聚体有机碳含量有极显著影响,对大团聚体微生物生物量碳含量也有极显著影响,而对微团聚体无显著影响;生物质炭与有机物料配施对大团聚体、粉黏粒(< 0.053 mm)的有机碳和微生物生物量碳含量有显著交互效应。
|
图 2 不同处理对土壤团聚体有机碳(SOC)和微生物生物量碳(MBC)的影响 Fig. 2 Effects of the treatments on soil organic carbon(SOC)and microbial biomass carbon(MBC)in soil aggregates |
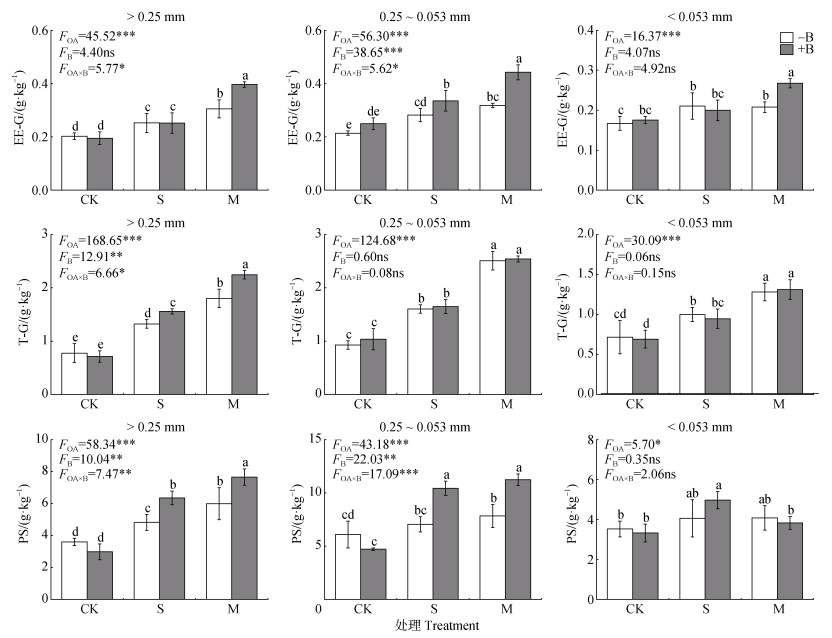
与对照相比,单施秸秆、羊粪显著(P < 0.05)提高了所有粒径团聚体中易提取态球囊霉素(EE-GRSP)、总球囊霉素(T-GRSP)和多糖(Polysaccharide)含量(除了粉黏粒中的多糖)(图 3)。与单施羊粪相比,生物质炭配施显著(P < 0.05)提高了大团聚体中易提取态球囊霉素、总球囊霉素和多糖含量,极显著(P < 0.01)提高了微团聚体中易提取态球囊霉素和多糖含量。与单施秸秆相比,生物质炭配施极显著(P < 0.01)提高了大团聚体和微团聚体的多糖含量。双因素方差分析表明,有机物料施用对各粒级团聚体球囊霉素和多糖含量均有显著影响;生物质炭施用对微团聚体中易提取态球囊霉素含量有极显著影响,对大团聚体中总球囊霉素、多糖以及微团聚体中多糖含量有显著影响;生物质炭与有机物料配施对大团聚体和微团聚体多糖含量有极显著交互效应。
|
注:EE-G:易提取态球囊霉素;T-G:总球囊霉素;PS:多糖,下同。 Note: EE-G: Easily extractable glomalin-related soil proteins; T-G: Total glomalin-related soil proteins; PS: Polysaccharide. The same as below. 图 3 不同处理对土壤团聚体生物胶结物质的影响 Fig. 3 Effects of different treatments on biological binding agents in soil aggregates |
随机森林分析结果(图 4)显示,在大团聚体和微团聚体中,团聚体平均重量直径(MWD)与EE-GRSP、T-GRSP含量显著相关(P < 0.01);在粉黏粒中,团聚体平均重量直径(MWD)与SOC(P < 0.01)、T-GRSP、MBC和EE-GRSP显著相关(P < 0.05,图 4c);且仅在大团聚体中,多糖(Polysaccharide)显著影响MWD(P < 0.01,图 4a)。
|
图 4 基于随机森林预测土壤团聚体平均重量直径(MWD)变异的主要影响因子 Fig. 4 Correlation factors of MWD variation of soil aggregates based on random forest prediction |
大于0.25 mm团聚体占比(R0.25 mm)和平均重量直径(MWD)是评估土壤结构和团聚体稳定性的关键指标,MWD越大表明团聚体的稳定性越好[18,21]。本研究发现,连续6年单施玉米秸秆和羊粪显著提高了R0.25 mm和MWD(图 1),表明连续多年单施秸秆促进了土壤粉黏粒(< 0.053 mm)向微团聚体和大团聚体(2~1 mm和大于2 mm粒径)胶结聚集,并提高了团聚体水稳性,这与先前报道的结果[22]较为一致。有机物料富含有机质和矿质养分,施入土壤后会逐步转化为土壤腐殖物质,一方面促使土壤矿物-有机复合物的形成,并将微团聚体进一步胶结形成大团聚体[23];另一方面促进微生物生长和繁殖,增加土壤中的生物黏结剂含量,从而促进大团聚体的形成。生物质炭本身具有极高的碳含量,含有活性的含氧官能团,如-OH和-COOH,可作为一种额外的结合剂,通过增强矿物质与微生物的联系来改善土壤聚集;其灰分中的大量营养元素、较大的比表面积和发达的孔隙结构,可为土壤微生物的生长与繁殖提供养分和良好的栖息环境[18]。生物质炭的添加有利于微生物参与有机物料的分解,提高土壤中胡敏酸的相对含量[24]。本研究中,生物质炭单施未对土壤团聚体的分布和平均重量直径产生显著影响(表 1)。这与Blanco-Canqui等[16]的研究结果一致,也有研究表明生物质炭施用对团聚体稳定性的影响是积极的[18,25]。这种不一致的结果可能与生物质炭类型、改良剂用量、土壤质地以及试验时间有关。王富华等[23]研究发现,生物质炭与秸秆配施显著提高了水稳性大团聚体含量和MWD,归因于生物质炭与有机物料促进土壤真菌菌丝生长和微生物分泌胶结物质,将小粒级团聚体胶结成大团聚体,从而有利于大团聚体的形成和稳定。本研究发现,生物质炭与秸秆、羊粪配施均未显著影响土壤团聚体的分布和MWD,且两者也无显著的交互作用(表 1,图 1),表明生物质炭与有机物料配施对土壤团聚体形成和稳定无显著影响。这可能是由有机物料施用量、施用时间和土壤类型等因素不同造成的。
3.2 有机物料单施及与生物质炭配施对土壤团聚体有机碳和微生物生物量碳的影响本研究中,与对照相比,连续6年单施秸秆和羊粪均显著提高了所有粒径的土壤有机碳含量,且羊粪处理的提升幅度高于秸秆处理(图 2),表明施用羊粪更能促进土壤有机碳积累[13]。与单施有机物料相比,生物质炭配施极显著提高了大团聚体和微团聚体中的有机碳含量,但对粉黏粒中有机碳无显著影响(图 2),表明生物质炭配施可显著促进土壤有机碳在大团聚体和微团聚体中的积累。这与王富华等[23]和蒋雪洋等[15]的研究结果一致。Situ等[18]在稻田施用生物质炭后发现,生物质炭可提高宏团聚体(> 2 mm)和大团聚体(2~0.25 mm)中的有机碳含量,有机碳含量的提高与两种团聚体中包裹的生物质炭含量有关。这意味着生物质炭本身参与了大团聚体的形成,并可能促进了外源有机物料在大团聚体中的分配和积累,且被包裹的生物质炭本身含有的有机碳一定程度上也提高了团聚体中的有机碳含量。此外,前期研究发现,生物质炭配施增加了土壤有机碳结构的芳香性,降低了外源基质的可降解性,抑制了土壤胞外酶的活性和微生物碳源底物利用速率[17,26],这可能抑制了植物残体分解并积累于大团聚体和微团聚体中。本研究也发现,在等碳量输入下,生物质炭与有机物料配施对大团聚体有机碳含量有显著的交互效应,生物质炭配施羊粪较配施秸秆更能促进有机碳在大团聚体中的积累(图 2)。这可能是因为粪肥具有更多的稳定性碳组分和胶结物质,从而提高土壤大团聚体有机碳含量[27]。另一方面,这可能与羊粪具有更高的氮磷养分有关,羊粪处理提高了土壤氮磷水平,降低了微生物的氮磷限制,从而抑制了微生物对土壤有机质分解的激发效应[28]。
土壤微生物生物量碳(MBC)是土壤有机质中最活跃的部分,可敏感地反映土壤环境变化,对土壤养分循环有着重要作用[29]。本研究中,土壤微生物生物量碳的含量随团聚体粒径的增大而降低,不同处理下均以小于0.053 mm的粉黏粒中微生物生物量碳含量最高(图 2)。这与荣勤雷[30]等的研究结果一致,但与其他土壤类型和利用方式报道[18]不一致。这可能与本试验供试土壤类型为较为瘠薄的旱地红壤,且以黏粒为主的质地有关,表明在未添加有机物料的大团聚体中,较低的有机碳含量和较差的团粒结构难以支撑较丰富的微生物生长。大量研究表明,施用粪肥、生物质炭和秸秆等有机物料可提高表土和团聚体中的微生物生物量碳含量[31]。本研究进一步显示,与单施有机物料相比,生物质炭配施对提高大团聚体(> 0.25 mm)中微生物生物量碳的效果优于粉黏粒(< 0.053 mm)和微团聚体(0.25~0.053 mm)(图 2)。一方面是因为有机物料和生物质炭施入对提高土壤大团聚体中的有机碳效果优于其他两种粒径(图 2),对微生物的生长提供了更多的有机底物,且生物质炭配施可能营造了更适合的微生物生存环境,从而极显著增加了大团聚体中的微生物生物量碳含量[32]。相反,微团聚体和粉黏粒中本身含有较多的惰性碳,有机底物与微生物代谢物和矿物结合更加紧密,难以被微生物利用,因此可能削弱了生物质炭对微生物生长的促进作用[14]。
3.3 有机物料单施及与生物质炭配施对胶结物质的影响及与团聚体稳定性的关系球囊霉素相关土壤蛋白(GRSP)和土壤多糖是促进土壤团聚体形成和稳定的重要生物胶结物质[18,21]。本研究中,土壤大团聚体和微团聚体中的GRSP含量相当,大团聚体中的多糖含量低于微团聚体,但均高于粉黏粒(图 3),该趋势与土壤有机碳及微生物生物量碳的分布特征相似(图 2)。该相似性特征也印证了土壤团聚体中生物胶结物质的含量主要受微生物生物量和土壤有机质调控。研究表明,相比粉黏粒,大团聚体和微团聚体因具有较高的土壤有机质含量、良好的孔隙结构和水热条件,也是细菌和真菌的主要繁殖空间,因此也是GRSP和多糖的主要分布粒径[18,22]。然而,不同团聚体中GRSP和多糖含量对有机物料输入的响应存在较大差异。本研究中,单施秸秆和羊粪均显著促进了T-GRSP、EE-GRSP和多糖在所有粒径中的分配(尤其是大团聚体),而单施生物质炭对其无显著影响(图 3)。这表明秸秆和羊粪等有机物料提高了微生物介导的GRSP和多糖的分泌,而生物质炭并不能直接促进GRSP和多糖的积累。研究发现,秸秆和畜禽粪便等有机物料富含大量羰基碳、含氮烷基碳等可溶性有机碳,施入土壤后可提高细菌、真菌数量和活性,进而促进了GRSP和多糖等胶结物质的积累[18,33-34]。尽管单施生物质炭未显著促进GRSP和多糖的积累,但生物质炭与有机物料配施对T-GRSP和多糖的积累有显著促进作用和互作效应,特别是在大团聚体中(图 3)。这与上述生物质炭配施更能促进大团聚体形成和有机碳积累的结果(图 1,图 2)有关,良好的团粒结构和丰富的有机质为土壤微生物的生长代谢提供了更好的栖息空间。
随机森林回归模型分析进一步发现,团聚体稳定性(MWD)与土壤大团聚体和微团聚体中的球囊霉素相关蛋白(EE-GRSP和T-GRSP)、多糖含量呈显著正相关,而与土壤微生物生物量碳和有机碳相关性较低(图 4)。这表明GRSP和多糖等生物胶结物质较微生物生物量和土壤有机碳更能灵敏反映土壤团聚体稳定性。GRSP和多糖能够将土壤中的粉黏粒胶结成微团聚体,并进一步通过真菌菌丝和多糖及黏液等有机物质胶结、缠绕形成大团聚体[8,18,34]。这也进一步证明,GRSP和多糖与土壤团聚体稳定性紧密相关,是促进土壤团聚的“超级胶水”。本研究中,生物质炭与有机物料配施对T-GRSP和多糖的积累有显著促进作用和互作效应(图 3),有力地说明相比有机物料单施,生物质炭配施更能促进生物胶结物质的形成及其在大团聚体中的积累,这也意味着连续多年生物质炭配施处理相比单施有机物料具有更大的土壤固碳培肥潜力。
4 结论连续6年单施秸秆和羊粪可显著提高红壤团聚体稳定性,增加土壤团聚体中胶结物质的含量。单施生物质炭对旱地红壤团聚体稳定性和胶结物质的影响较小,但生物质炭与有机物料配施显著提高了大团聚体中有机碳、微生物生物量碳、球囊霉素和多糖的含量。大团聚体和微团聚体中的球囊霉素和多糖是影响团聚体平均重量直径的关键因子,对团聚体的稳定性起到至关重要的作用。因此,连续多年施用有机物料通过提高团聚体中的生物胶结物质显著提高红壤团聚体稳定性,生物质炭配施不影响有机物料的改良效应,但可促进胶结物质在团聚体中的积累,对提高红壤结构稳定性和固碳培肥具有积极效应。
| [1] |
Wang X W, Yu S X, Shi Z H, et al. Responses of tradeoffs and synergies among ecosystem services to Grain-for-Green Project in the red soil region, Southern China (In Chinese)[J]. Acta Ecologica Sinica, 2021, 41(17): 7002-7014. [王修文, 于书霞, 史志华, 等. 南方红壤区生态系统服务权衡与协同关系演变对退耕还林的响应[J]. 生态学报, 2021, 41(17): 7002-7014.]
( 0) |
| [2] |
Xu Y M, Zhang L, Bai M X, et al. Effects of single application of organic matter and combined application with biochar on microbial community composition of red soil (In Chinese)[J]. Acta Pedologica Sinica, 2025. DOI:10.11766/trxb202308200332 [徐祎萌, 章磊, 白美霞, 等. 有机物料单施及与生物质炭配施对红壤微生物群落组成的影响[J]. 土壤学报, 2025.]
( 0) |
| [3] |
Liu Z L, Yu W T, Zhou H, et al. Effect of application rate of barnyard manure on organic carbon fraction of soil aggregates (In Chinese)[J]. Acta Pedologica Sinica, 2011, 48(6): 1149-1157. DOI:10.11766/trxb201011110470 [刘中良, 宇万太, 周桦, 等. 不同有机厩肥输入量对土壤团聚体有机碳组分的影响[J]. 土壤学报, 2011, 48(6): 1149-1157.]
( 0) |
| [4] |
Paul B K, Vanlauwe B, Ayuke F, et al. Medium-term impact of tillage and residue management on soil aggregate stability, soil carbon and crop productivity[J]. Agriculture, Ecosystems and Environment, 2013, 164: 14-22. DOI:10.1016/j.agee.2012.10.003
( 0) |
| [5] |
Peng X H, Horn R, Hallett P. Soil structure and its functions in ecosystems: Phase matter & scale matter[J]. Soil & Tillage Research, 2015, 146: 1-3.
( 0) |
| [6] |
Lehmann A, Rillig M C. Arbuscular mycorrhizal contribution to copper, manganese and iron nutrient concentrations in crops - A meta-analysis[J]. Soil Biology and Biochemistry, 2015, 81: 147-158. DOI:10.1016/j.soilbio.2014.11.013
( 0) |
| [7] |
Liu Y L, Wang P, Wang J K. Formation and stability mechanism of soil aggregates: Progress and prospect (In Chinese)[J]. Acta Pedologica Sinica, 2023, 60(3): 627-643. DOI:10.11766/trxb202112180686 [刘亚龙, 王萍, 汪景宽. 土壤团聚体的形成和稳定机制: 研究进展与展望[J]. 土壤学报, 2023, 60(3): 627-643.]
( 0) |
| [8] |
Daynes C N, Zhang N, Saleeba J A, et al. Soil aggregates formed in vitro by saprotrophic Trichocomaceae have transient water-stability[J]. Soil Biology and Biochemistry, 2012, 48: 151-161. DOI:10.1016/j.soilbio.2012.01.010
( 0) |
| [9] |
Rillig M C, Aguilar-Trigueros C A, Bergmann J, et al. Plant root and mycorrhizal fungal traits for understanding soil aggregation[J]. New Phytologist, 2015, 205(4): 1385-1388. DOI:10.1111/nph.13045
( 0) |
| [10] |
Wang G X, Wang P, Liu Y L, et al. Meta analysis of the distribution characteristics and influencing factors of glomalin-related soil proteins in soil aggregates (In Chinese)[J]. Acta Pedologica Sinica, 2024, 61(4): 1147-1155. DOI:10.11766/trxb202301170024 [王国禧, 王萍, 刘亚龙, 等. 球囊霉素在土壤团聚体中的分布特征及影响因素的Meta分析[J]. 土壤学报, 2024, 61(4): 1147-1155.]
( 0) |
| [11] |
Agnihotri R, Sharma M P, Prakash A, et al. Glycoproteins of arbuscular mycorrhiza for soil carbon sequestration: Review of mechanisms and controls[J]. Science of the Total Environment, 2022, 806: 150571.
( 0) |
| [12] |
Fontaine J, Grandmougin-ferjani A, Sancholle M. Lipid metabolism of the endomycorrhizal fungus: Glomus intraradices[J]. Comptes Rendus de l'Academie des Sciences Serie Ⅲ: Sciences de la Vie, 2001, 324(9): 847-853.
( 0) |
| [13] |
Lin Y X, Ye G P, Kuzyakov Y, et al. Long-term manure application increases soil organic matter and aggregation, and alters microbial community structure and keystone taxa[J]. Soil Biology and Biochemistry, 2019, 134: 187-196.
( 0) |
| [14] |
Xu P D, Wang Q, Duan C J, et al. Biochar addition promotes soil organic carbon sequestration dominantly contributed by macro-aggregates in agricultural ecosystems of China[J]. Journal of Environmental Management, 2024, 359: 121042.
( 0) |
| [15] |
Jiang X Y, Zhang Q Q, Shen H J, et al. Effects of biochar on soil aggregate stability and microbial community in paddy field (In Chinese)[J]. Acta Pedologica Sinica, 2021, 58(6): 1564-1573. DOI:10.11766/trxb202005280258 [蒋雪洋, 张前前, 沈浩杰, 等. 生物质炭对稻田土壤团聚体稳定性和微生物群落的影响[J]. 土壤学报, 2021, 58(6): 1564-1573.]
( 0) |
| [16] |
Blanco-Canqui H, Laird D A, Heaton E A, et al. Soil carbon increased by twice the amount of biochar carbon applied after 6 years: Field evidence of negative priming[J]. Global Change Biology Bioenergy, 2020, 12(4): 240-251.
( 0) |
| [17] |
Bai M X, Situ G M, Li S H, et al. Effects of combined application of biochar with organic amendments on enzyme activity and microbial metabolic function of carbon sources in infertile red soil (In Chinese)[J]. Chinese Journal of Applied Ecology, 2022, 33(5): 1283-1290. [白美霞, 司徒高铭, 李松昊, 等. 生物质炭配施有机物料对贫瘠红壤酶活性和微生物碳源代谢功能的影响[J]. 应用生态学报, 2022, 33(5): 1283-1290.]
( 0) |
| [18] |
Situ G M, Zhao Y L, Zhang L, et al. Linking the chemical nature of soil organic carbon and biological binding agent in aggregates to soil aggregate stability following biochar amendment in a rice paddy[J]. Science of the Total Environment, 2022, 847: 157460.
( 0) |
| [19] |
Lu R K. Analytical methods for soil and agro- chemistry (In Chinese). Beijing: China Agricultural Science and Technology Press, 2000. [鲁如坤. 土壤农业化学分析方法[M]. 北京: 中国农业科技出版社, 2000.]
( 0) |
| [20] |
Vance E D, Brookes P C, Jenkinson D S. An extraction method for measuring soil microbial biomass C[J]. Soil Biology and Biochemistry, 1987, 19(6): 703-707.
( 0) |
| [21] |
Redmile-Gordon M A, Brookes P C, Evershed R P, et al. Measuring the soil-microbial interface: Extraction of extracellular polymeric substances(EPS)from soil biofilms[J]. Soil Biology and Biochemistry, 2015, 72: 163-171.
( 0) |
| [22] |
Atere C T, AnnaZhu, ZhenkeXiao, et al. Organic matter stabilization in aggregates and density fractions in paddy soil depending on long-term fertilization: Tracing of pathways by C-13 natural abundance[J]. Soil Biology and Biochemistry, 2020, 149(1): 107931.
( 0) |
| [23] |
Wang F H, Huang R, Gao M, et al. Effect of combined application of biochar and straw on organic carbon content in purple soil aggregates (In Chinese)[J]. Acta Pedologica Sinica, 2019, 56(4): 929-939. DOI:10.11766/trxb201805020169 [王富华, 黄容, 高明, 等. 生物质炭与秸秆配施对紫色土团聚体中有机碳含量的影响[J]. 土壤学报, 2019, 56(4): 929-939.]
( 0) |
| [24] |
Wang Q, Zhu Y X, Xu L Z, et al. Effects of biochars application on humus composition and water-stable aggregates distribution of black soil (In Chinese)[J]. Soils, 2023, 55(3): 605-611. [王琪, 朱莹雪, 许连周, 等. 施用生物质炭对黑土腐殖质组成及水稳性团聚体分布的影响[J]. 土壤, 2023, 55(3): 605-611.]
( 0) |
| [25] |
Wang D Y, Fonte S J, Parikh S J, et al. Biochar additions can enhance soil structure and the physical stabilization of C in aggregates[J]. Geoderma, 2017, 303: 110-117.
( 0) |
| [26] |
Bao J P, Yuan G S, Dong F Y, et al. Effects of biochar application and straw returning on organic carbon fractionations and microbial activities in a red soil (In Chinese)[J]. Acta Pedologica Sinica, 2020, 57(3): 721-729. DOI:10.11766/trxb201812150623 [包建平, 袁根生, 董方圆, 等. 生物质炭与秸秆施用对红壤有机碳组分和微生物活性的影响[J]. 土壤学报, 2020, 57(3): 721-729.]
( 0) |
| [27] |
Tan W F, Xu Y, Shi Z H, et al. The formation process and stabilization mechanism of soil aggregates driven by binding materials (In Chinese)[J]. Acta Pedologica Sinica, 2023, 60(5): 1297-1308. DOI:10.11766/trxb202308060312 [谭文峰, 许运, 史志华, 等. 胶结物质驱动的土壤团聚体形成过程与稳定机制[J]. 土壤学报, 2023, 60(5): 1297-1308.]
( 0) |
| [28] |
Wu Q F, Lian R Y, Bai M X, et al. Biochar co-application mitigated the stimulation of organic amendments on soil respiration by decreasing microbial activities in an infertile soil[J]. Biology and Fertility of Soils, 2021, 57(6): 793-807.
( 0) |
| [29] |
Zhang W J, Munkholm L J, Liu X, et al. Soil aggregate microstructure and microbial community structure mediate soil organic carbon accumulation: Evidence from one-year field experiment[J]. Geoderma, 2023, 430: 116324.
( 0) |
| [30] |
Rong Q L, Li R N, Huang S W, et al. Characteristics of nutrients and microbial biomass in soil aggregates under different fertilization modes in greenhouse vegetable production (In Chinese)[J]. Journal of Plant Nutrition and Fertilizers, 2019, 25(7): 1084-1096. [荣勤雷, 李若楠, 黄绍文, 等. 不同施肥模式下设施菜田土壤团聚体养分和微生物量特征[J]. 植物营养与肥料学报, 2019, 25(7): 1084-1096.]
( 0) |
| [31] |
Wu L P, Zhang S R, Ma R H, et al. Carbon sequestration under different organic amendments in saline-alkaline soils[J]. Catena, 2021, 196(1): 104822.
( 0) |
| [32] |
Qiao L L, Zhou H K, Wang Z H, et al. Variations in soil aggregate stability and organic carbon stability of alpine meadow and shrubland under long-term warming[J]. Catena, 2023, 222: 106848.
( 0) |
| [33] |
Ding X L, Liang C, Zhang B, et al. Higher rates of manure application lead to greater accumulation of both fungal and bacterial residues in macroaggregates of a clay soil[J]. Soil Biology and Biochemistry, 2015, 84: 137-146.
( 0) |
| [34] |
Liu H F, Wang X K, Liang C T, et al. Glomalin-related soil protein affects soil aggregation and recovery of soil nutrient following natural revegetation on the Loess Plateau[J]. Geoderma, 2020, 357: 113921.
( 0) |
2025, Vol. 62



0)