2. 中国科学院大学南京学院, 南京 211135;
3. 南京农业大学农学院, 南京 210095;
4. 安徽省农垦集团龙亢农场有限公司, 安徽怀远 233426;
5. 中国农业科学院农业资源与农业区划研究所, 北京 100081
2. University of Chinese Academy of Sciences, Nanjing, Nanjing 211135, China;
3. College of Agriculture, Nanjing Agricultural University, Nanjing 210095, China;
4. Longkang Farm Co. Ltd, Anhui State Farms Group, Huaiyuan, Anhui 233426, China;
5. Institute of Agricultural Resources and Regional Planning, Chinese Academy of Agricultural Science, Beijing 100081, China
土壤中的有机碳总量为1 550 Gt,是陆地生态系统中最大的碳库,相当于大气碳库的两倍[1]。土壤有机碳(Soil organic carbon,SOC)在调节气候变化和全球碳循环中发挥着至关重要的作用[2]。此外,SOC是土壤肥力的基础,对改善土壤结构、水分保持和养分循环有着重要影响[3-4]。在大多数情况下,SOC与作物产能提升具有显著的协同效应[5]。因此,提高SOC含量不仅能增加土壤碳汇,缓解气候变化,还能显著提升土壤肥力,促进农业可持续发展。
秸秆和根系是作物残体向土壤归还有机物质的重要组成部分。长期以来,作物残体还田被认为是农田SOC含量增加的最重要原因之一[6]。Zhao等[7]的研究表明,在过去30年中,作物秸秆和根系碳输入分别对中国农田0~20 cm土层SOC的增加贡献了40%和30%。近年来,“土壤微生物碳泵”理论提出了新的观点,即植物残体是SOC的初始来源,而微生物同化产物也在土壤稳定有机碳库中占据重要地位,这为SOC的固存机制提供了新的见解[8]。因此,区分农田SOC植物和微生物源组分的相对贡献,对于阐明SOC库的构建过程和可持续功能尤为重要。
尽管SOC的组成非常复杂,绝对量化植物和微生物来源组分的含量仍具有挑战性,但通过分析植物残留物和微生物残体的生物标识物在土壤中的保存特征,可以区分植物和微生物来源组分对SOC的相对贡献[8]。木质素酚是一种植物残体中化学性质稳定的惰性组分,常用作表征植物来源SOC的生物标识物;氨基糖则是微生物细胞壁的重要组成部分,常被用作微生物来源SOC的生物标识物[8]。研究表明,作物秸秆还田在不同程度上增加了表层土壤中木质素酚的保留和氨基糖的积累[9-11]。在秸秆还田初期,微生物处于“饥饿”状态,对底物需求量大,能够通过共代谢迅速利用木质素[12],产生大量氨基糖。随着秸秆还田年限的增长,土壤中养分逐渐充足,微生物更倾向于获取易利用碳,不易分解的木质素则被选择性保留,因此这两种组分对SOC的贡献存在显著差异[13]。此外,尽管深层土壤的微生物活性和生物量相对较低[14],但与常年秸秆输入的表层土壤相比,表层下部土壤仍然存在大量可与矿物有效结合的位点[15],这可能会导致SOC的快速积累。因此,不同土层中植物和微生物来源SOC的累积特征仍需深入解析。
位于淮北平原的砂姜黑土是我国典型的中低产田类型之一,虽然土体颜色黑、腐殖化程度高,但SOC含量偏低(< 1.5%)、质量差。前期的区域采样分析发现,SOC是限制其作物产量的关键障碍因子[16],而秸秆还田被认为是提升该区域砂姜黑土SOC含量和作物产量的重要途径[17]。该地区主要实行冬小麦-夏玉米轮作制度,具有丰富的秸秆资源[18]。目前,秸秆资源综合利用的主要方式是秸秆直接还田,具体包括免耕覆盖还田、旋耕还田和深耕翻埋还田。免耕还田以尽量减少对土壤的扰动为基本原则,在作物收获后将秸秆粉碎并覆盖在土壤表层[19];旋耕作为当地农业生产中的一种常规耕作方式,是将作物秸秆粉碎后,采用常规旋耕机将秸秆及根茬旋埋于0~15 cm土壤中[20];深翻还田则运用铧式犁、圆盘犁等农机具,将大量农作物秸秆翻埋至20~30 cm土壤中,使表层和亚表层土壤充分混匀,减少秸秆表聚,并增加土壤对秸秆的消纳空间[21]。不同秸秆还田方式对各土层SOC的累积程度显著不同[20],但植物和微生物来源碳的累积特征及其相对贡献尚不明确。因此,本研究依托砂姜黑土连续7年的秸秆还田与耕作方式定位试验,采用木质素酚和氨基糖作为生物标识物,探讨不同还田方式下砂姜黑土中植物和微生物源碳的积累特征及其对SOC的相对贡献,以期更好地理解秸秆还田对砂姜黑土SOC累积及其稳定机制的影响。
1 材料与方法 1.1 研究区概况试验地位于安徽省怀远县龙亢农场(33°32′ N,115°59′ E)。该地区属暖温带半湿润季风气候,年平均气温14.8 ℃,年平均降水量912 mm。土壤类型为河湖相石灰性沉积物发育的砂姜黑土,按美国土壤系统分类属于变性土[22]。试验前,耕层土壤容重1.35 g·cm–3、SOC含量8.84 g·kg–1、全氮1.29 g·kg–1、碱解氮146 mg·kg–1、全磷0.39 g·kg–1、有效磷18.9 mg·kg–1、全钾7.91 g·kg–1、速效钾162 mg·kg–1、pH 7.24[23]。
1.2 试验设计自2015年10月起,试验地实行冬小麦-夏玉米一年两熟轮作制度。在小麦(6月)和玉米(10月)收获后,将秸秆全量粉碎还田。采用单因素随机区组设计,设置免耕还田(NTS)、旋耕还田(RTS)和深翻还田(DPS)3种还田方式,每种处理3个重复,共9个小区,每个小区面积160 m2(20 m×8 m)。其中,NTS:全年不耕作,小麦和玉米收获后将秸秆粉碎覆于土壤表层,采用免耕播种机一次性完成播种。RTS:每年玉米收获后秸秆粉碎,并用旋耕机旋耕2遍,作业深度为15 cm;小麦收获后秸秆粉碎还田,免耕播种。DPS:每年玉米收获后秸秆粉碎,采用1LFT-435型翻转犁进行深翻,作业深度为25~30 cm,随后浅旋10 cm以打碎大土块;小麦收获后秸秆粉碎并覆盖于土壤表层,免耕播种。试验期间施用的氮、磷、钾肥分别为尿素、过磷酸钙和氯化钾。每季分别施用N 100 kg·hm–2、P2O5 60 kg·hm–2和K2O 90 kg·hm–2作为基肥,并在小麦和玉米拔节期追施N 110 kg·hm–2。
1.3 样品采集与分析在2022年9月下旬玉米收获后,从0~10、10~20、20~40 cm三个土层随机采集混合土壤样品带回实验室。去除石块及根系后自然风干,取部分过100目筛用于测定SOC、木质素酚和氨基糖的含量。SOC采用高温外热重铬酸钾氧化—容量法进行测定[24]。
木质素酚类含量的测定:采用Hedges和Mann[25]提出的方法测定样品中木质素酚类含量。称取一定量土壤样品于四氟乙烯反应器中,依次加入1 g氧化铜、100 mg硫酸亚铁铵固体和15 mL 2 mol·L–1无氢氢氧化钠溶液。用氮气置换反应器内空气15 min,在170 ℃下加热2.5 h。冷却至室温后,加入400 μL乙基香草醛溶液(称取10 mg乙基香草醛,用2 mol·L–1氢氧化钠于棕色容量瓶中定容至100 mL)。将水解液离心后取上清液,用5 mL纯水超声清洗沉淀10 min 2次,合并上清液。用6 mol·L–1盐酸调pH < 1,放置于暗处1 h。用10 mL乙酸乙酯萃取3次,合并萃取液,在38 ℃下用氮气吹干。立即用500 μL吡啶溶解残渣,在38 ℃下氮气吹干。向残留物中加入100 μL吡啶和400 μL BSTFA,在70 ℃下反应3 h。冷却后采用气相色谱质谱联用仪定量,测定香草基酚类(V)、丁香基酚类(S)和肉桂基酚类(C)单体的含量,样品中木质素酚含量即3种酚类单体含量之和。植物源碳对SOC的贡献(P)参考Yang等[26]的方法,计算公式如下:
| $ \mathrm{P}=\frac{\left(\frac{\mathrm{V}}{33.3 \%}+\frac{\mathrm{S}}{90 \%}+\mathrm{C}\right)}{\mathrm{N} \times \mathrm{SOC}} \times 100 \% $ | (1) |
式中,V、S、C分别代表V、S、C型酚类的碳含量(mg·kg–1);N代表主要植物残体中木质素的最低含量(%)。
S/V和C/V以及V和S类单体的酸醛比(Ad/Al)V和(Ad/Al)S常被用于评价木质素氧化降解的程度[26]。其中S/V和C/V值越大,表明木质素氧化降解程度越低;(Ad/Al)V和(Ad/Al)S值越低,表明木质素氧化降解程度越低。
氨基糖含量的测定:采用Zhang和Amelung[27]提出的糖腈乙酰酯衍生气相色谱法测定样品中氨基糖含量。称取一定量土壤样品于水解瓶中,用6 mol·L–1的盐酸溶液,在105 ℃下水解8 h。冷却至室温后,加入1 μg·μL–1的内标肌醇溶液,过滤后于65 ℃下旋蒸干。用纯水溶解残留物后调pH至6.6~6.8。离心取上清液,冷冻干燥,用无水甲醇溶解残留物。离心后转移上清液至衍生瓶中,在45 ℃下氮气吹干。用1 mL纯水重新溶解后加入1 μg·μL–1 N-甲基氨基葡萄糖,冷冻干燥。向残留物中加入0.3 mL衍生试剂(含有320 mg盐酸羟胺和400 mg 4-二甲基氨基吡啶,用4︰1(V︰V)吡啶-甲醇溶液溶解稀释至10 mL),在80 ℃下加热35 min。冷却至室温后加入1 mL酸酐,在80 ℃下加热25 min。冷却至室温后加入1.5 mL二氯甲烷,涡旋后加入1 mL 1 mol·L–1盐酸溶液,振荡后去除无机相。加入1 mL纯水提取有机相3次,将有机相在45 ℃下用氮气吹干,溶于300 μL乙酸乙酯-正己烷混合溶剂(V/V=1︰1),将溶液转移至进样瓶中。采用气相色谱质谱联用仪进行定量,测定氨基葡萄糖(GluN)、氨基甘露糖(ManN)、氨基半乳糖(GalN)和胞壁酸(MurN)的含量。氨基糖含量即4种单体含量之和。真菌残体碳(FNC,mg·kg–1)和细菌残体碳(BNC,mg·kg–1)含量的计算遵循Appuhn和Joergensen[28]的方法:
| $ \mathrm{FNC}=(\mathrm{GluN} / 179.17-2 \times \mathrm{MurN} / 251.23) \times 179.17 \times 9 $ | (2) |
| $ \mathrm{BNC}=\mathrm{MurN} \times 45 $ | (3) |
式中,GluN、MurN分别为氨基葡萄糖和胞壁酸的含量(mg·kg–1);假设细菌细胞中GluN和MurN的物质的量之比为2:1;179.17和251.23分别是GluN和MurN的分子量;9是将GluN中碳含量转化至真菌残体碳含量的转化系数,45是将MurN中碳含量转化至细菌残体碳含量的转化系数。
1.4 数据处理实验数据采用SPSS 26.0软件进行单因素方差分析,并采用最小显著差异法进行多重比较,检验各处理间差异,显著性水平为P < 0.05。
2 结果 2.1 不同秸秆还田方式对各土层SOC含量的影响由图 1可知,在连续7年秸秆还田后,不同还田方式下各土层SOC含量存在显著差异。其中,深翻还田下,0~10、10~20、20~40 cm土层的SOC含量相较于初始值分别增加8.27%、10.4%和113%(P < 0.05),提升效果随土层深度的增加而提高。旋耕还田下,SOC含量在0~10、10~20、20~40 cm土层中与初始值相比分别增加42.7%、19.2%和73.3%(P < 0.05)。免耕还田下SOC集中于0~10 cm土层,该土层中SOC含量较初始值增加43.3%(P < 0.05),但在10~40 cm土层中提升效果较差,SOC含量与初始值相比无显著差异(P > 0.05)。
|
注:Initial、NTS、RTS和DPS分别代表试验开始前初始值、免耕还田、旋耕还田和深翻还田;不同小写字母表示同一土层深度不同秸秆还田方式间差异显著(P < 0.05)。下同。 Note: Initial, NTS, RTS and DPS refer to the initial value before this experiment, no-tillage, rotary-tillage, and deep ploughing with straw returning, respectively. Different lowercase letters indicate significant differences(P < 0.05)between the straw returning methods at the same soil depth. The same below. 图 1 不同秸秆还田方式下各土层SOC含量 Fig. 1 Contents of SOC at different soil depths under different straw returning methods |
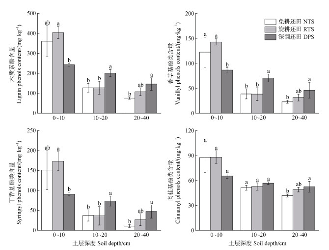
如图 2所示,不同秸秆还田方式下木质素酚含量在各土层中的分布存在显著垂直差异。随着土层深度的增加,各处理下木质素酚含量均呈降低趋势。在0~10 cm土层中,木质素酚含量表现为旋耕还田最高、免耕还田次之、深翻还田最低;而在10~20和20~40 cm土层中木质素酚含量均表现为深翻还田最高、旋耕还田次之、免耕还田最低。相较于旋耕还田,深翻还田使10~20和20~40 cm土层的木质素酚含量分别增加了57.3%和36.3%。而免耕还田与旋耕还田间木质素酚含量在各土层均无显著差异(P > 0.05)。
|
图 2 不同秸秆还田方式下各土层木质素酚及其单体含量 Fig. 2 Contents of lignin phenols and their monomers at different soil depths under different straw returning methods |
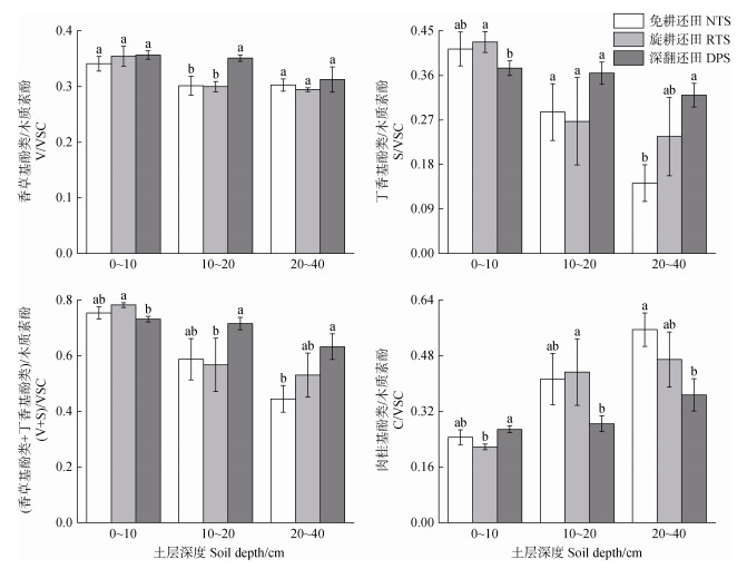
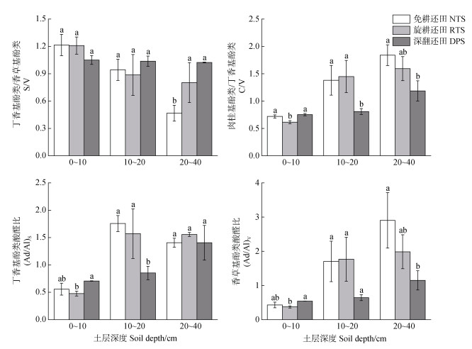
不同还田方式下,V和S类单体含量随土层深度变化的趋势与木质素酚含量相似,但各处理间C类单体含量在0~20 cm土层中无显著差异(P > 0.05)。此外,随土层深度的增加,各处理下C类单体的相对含量增加,V和S类单体的相对含量降低(图 3)。然而,在10~40 cm土层中,深翻还田显著提高了V类和S类单体的占比(P < 0.05)。木质素的氧化降解程度随土层深度增加而增加,但C/V表现出相反的趋势(图 4)。在10~40 cm土层中,相较于免耕还田和旋耕还田,深翻还田使木质素的氧化降解程度均有不同程度下降。
|
图 3 不同秸秆还田方式下各土层木质素单体相对含量 Fig. 3 Relative contents of lignin monomers at different soil depths under different straw returning methods |
|
图 4 不同秸秆还田方式下各土层木质素氧化程度 Fig. 4 Oxidation degree of lignin at different soil depths under different straw returning methods |
由图 5可知,氨基糖含量受到土层深度和还田方式的显著影响。在0~10 cm土层中,不同还田方式间的氨基糖含量无显著差异,在612~695 mg·kg–1范围之内。然而,在10~20和20~40 cm土层中,深翻还田处理下的氨基糖含量较旋耕还田分别增加了68.5%和70.4%(P < 0.05)。GluN和GalN含量随土层深度变化的趋势与总氨基糖含量相似,但在0~20 cm土层中,MurN含量在免耕还田和深翻还田处理下均低于旋耕还田处理,降幅最高达47.2%。
|
图 5 不同秸秆还田方式下各土层氨基糖及其单体含量 Fig. 5 Contents of amino sugars and their monomers at different soil depths under different straw returning methods |
如图 6所示,不同还田方式对砂姜黑土真菌细菌残体碳之比有显著影响:在0~10 cm土层,各处理间无显著差异,但在10~20 cm土层中,免耕还田和深翻还田处理相较旋耕还田分别提高了125%和177%(P < 0.05)。在20~40 cm土层中,虽然免耕还田和旋耕还田处理之间的真菌细菌残体碳之比无显著差异,但深翻还田处理较旋耕还田高出58.0%(P < 0.05)。
|
图 6 不同秸秆还田方式下各土层真菌细菌残体碳之比 Fig. 6 Ratio of fungal and bacterial necromass carbon at different soil depths under different straw returning methods |
本研究中,经过7年的秸秆还田,深翻还田显著提高了各土层SOC含量,尤其在10~40 cm土层,其提升幅度显著高于免耕还田和旋耕还田(图 1)(P < 0.05)。主要有两个方面的原因:首先,深翻打破了犁底层,将表层秸秆转移至深层土壤,使秸秆在各土层中重新分布(图 7),为深层土壤提供了丰富的秸秆碳来源[29]。其次,深翻还田降低了深层土壤容重,增加了深层土壤孔隙度,促进了植物根系的下扎[30],提高了根系碳的投入。相比之下,长期免耕还田和旋耕还田导致犁底层土壤紧实度增加,孔隙度下降[23],这使得有机物料集中于0~10 cm土层,难以向下迁移(如图 1所示),导致SOC呈现显著的分层现象。
|
图 7 不同秸秆还田方式作业原理及各来源碳对SOC的贡献 Fig. 7 Operating principle of different straw returning methods and contribution to SOC of carbon from various sources |
深翻还田下10~40 cm土层SOC含量的增加与植物和微生物源碳含量的变化密切相关(图 2和图 5)。有机物料输入进土壤中,一部分经由微生物的同化成为微生物细胞的组成成分,随着微生物的死亡形成微生物残体保留在土壤中,成为微生物源碳;另一部分经胞外酶不同程度的分解转化,直接以植物源组分的形式贡献SOC[31]。深翻还田对各土层中秸秆分布的影响直接导致了10~40 cm土层中植物源碳含量(图 2)及其对SOC贡献(图 7)相较于免耕还田和旋耕还田显著增加(P < 0.05)。此外,本研究发现深翻还田下植物源碳的组成与免耕还田和旋耕还田处理存在差异。深翻还田显著增加了V和S类单体的相对含量,降低了C类单体的相对含量(图 3)。由于V、S、C三类单体的降解难易程度不同,C类单体最容易被微生物利用而优先降解[32],这意味着深翻还田下10~40 cm土层中植物源碳的稳定性要高于免耕还田和旋耕还田。而深翻还田下木质素较低的氧化降解程度也支持这一观点(图 4)。同时,尽管深翻还田使0~10 cm土层中秸秆分布减少,导致植物源碳含量相较于免耕还田和旋耕还田显著下降,但三种还田方式间植物源碳对SOC的贡献并无显著差异。这可能是因为免耕还田和旋耕还田下秸秆积聚在土壤表层(0~10 cm),刺激了微生物活动,提高了微生物对底物的需求量,驱使微生物通过共代谢作用大量分解木质素以满足自身所需[11]。
另一方面,深翻还田在10~40 cm土层中丰富的有机物质以及较高的孔隙度提供了充足的氧气,为微生物的生长、增殖创造了理想条件,使得微生物源碳含量(图 5)及其对SOC的相对贡献(图 7)较免耕还田和旋耕还田显著增加(P < 0.05)。其中,深翻还田下微生物群落向真菌方向转变,真菌残体碳主导了SOC含量的增加(图 5~图 7)。这是因为真菌作为K策略生物,对秸秆等难降解碳的竞争力强于细菌[33],并且真菌通过菌丝在土体中的穿插更容易与矿质结合,形成有机-矿质结合体,从而提高了真菌残体碳的稳定性[34]。同时,真菌细胞壁中化学稳定性较高的黑色素减缓了真菌残体的降解速率[35],促进了真菌残体在土壤中的积累。相比之下,细菌残体中胞壁酸稳定性较差,周转速度快[36],不利于细菌残体在土壤中的积累,因而细菌源碳对砂姜黑土SOC的贡献较低。值得注意的是,尽管深翻还田下0~10 cm土层中有机物料输入量低于免耕还田和旋耕还田,但微生物源碳含量却并未显著降低。这可能是因为在免耕还田和旋耕还田条件下,0~10 cm土层中积聚的大量秸秆使得土壤C/N失衡,微生物残体作为一种易被利用的氮源,被大量降解以补充土壤氮素[36],从而减少了与深翻还田间的差异。免耕还田和旋耕还田下植物、微生物源碳含量及其在土层中的分布均无显著差异(图 2和图 5)。然而,在10~20 cm土层中,免耕还田下细菌残体碳含量较旋耕还田显著降低,而这一现象同样出现在深翻还田下(图 5)。根据此前的研究[30],一方面,免耕还田和深翻还田下10~20 cm土层中水分胁迫时间占比高于旋耕还田,旱涝胁迫可能导致了较低的微生物生物量,不利于细菌残体的积累;另一方面,细菌作为R策略生物,对易降解资源的竞争力强,对秸秆等难利用资源的竞争力弱[37],而免耕还田和深翻还田下10~20 cm土层中根密度低于旋耕还田,导致该土层中根系分泌物等易于利用的有机物含量减少,抑制了细菌的活动。但是,因为细菌残体碳周转速度快且稳定性低于真菌残体碳,所以与免耕还田和深翻还田相比,旋耕还田下10~20 cm土层较高的MurN含量和较低的真菌细菌残体碳之比表明微生物源碳稳定性较差,免耕还田和深翻还田可能更有利于SOC的长期固存。
4 结论持续7年的秸秆深翻还田显著促进了各土层SOC含量的增加,尤其是在10~40 cm土层,而免耕还田和旋耕还田对SOC的提升效果主要集中于0~10 cm土层;深翻还田下10~40 cm土层中SOC含量的增加是植物和微生物源碳含量共同提升导致的,且这些碳源的稳定性高于免耕还田和旋耕还田;免耕还田和深翻还田下细菌残体碳含量较旋耕还田均发生显著下降,这可能更利于SOC长期的固存。深翻还田能够有效促进深层(10~40 cm)土壤植物和微生物源碳的积累,对砂姜黑土区秸秆资源高效利用及土壤质量提升具有重要意义。
| [1] |
Lal R. Soil carbon sequestration impacts on global climate change and food security[J]. Science, 2004, 304(5677): 1623-1627.
( 0) |
| [2] |
Sakschewski B, von Bloh W, Boit A, et al. Resilience of Amazon forests emerges from plant trait diversity[J]. Nature Climate Change, 2016, 6(11): 1032-1036.
( 0) |
| [3] |
Zech S, Schweizer S A, Bucka F B, et al. Explicit spatial modeling at the pore scale unravels the interplay of soil organic carbon storage and structure dynamics[J]. Global Change Biology, 2022, 28(15): 4589-4604.
( 0) |
| [4] |
Steinfeld J P, Bianchi F J J A, Locatelli J L, et al. Increasing complexity of agroforestry systems benefits nutrient cycling and mineral-associated organic carbon storage, in south-eastern Brazil[J]. Geoderma, 2023, 440: 116726.
( 0) |
| [5] |
Pan G X, Smith P, Pan W N. The role of soil organic matter in maintaining the productivity and yield stability of cereals in China[J]. Agriculture Ecosystems & Environment, 2009, 129(1/3): 344-348.
( 0) |
| [6] |
Xia L L, Lam S K, Wolf B, et al. Trade-offs between soil carbon sequestration and reactive nitrogen losses under straw return in global agroecosystems[J]. Global Change Biology, 2018, 24(12): 5919-5932.
( 0) |
| [7] |
Zhao Y C, Wang M Y, Hu S J, et al. Economics- and policy-driven organic carbon input enhancement dominates soil organic carbon accumulation in Chinese croplands[J]. Proceedings of the National Academy of Sciences of the United States of America, 2018, 115(16): 4045-4050.
( 0) |
| [8] |
Yang Y, Wang B R, Dou Y X, et al. Advances in the research of transformation and stabilization of soil organic carbon from plant and microbe (In Chinese)[J]. Chinese Journal of Applied Ecology, 2024, 35(1): 111-123. [杨阳, 王宝荣, 窦艳星, 等. 植物源和微生物源土壤有机碳转化与稳定研究进展[J]. 应用生态学报, 2024, 35(1): 111-123.]
( 0) |
| [9] |
Gao Q Q, Ma L X, Fang Y Y, et al. Conservation tillage for 17 years alters the molecular composition of organic matter in soil profile[J]. Science of the Total Environment, 2021, 762: 143116.
( 0) |
| [10] |
Meng X T, Zhang X C, Li Y N, et al. Nitrogen fertilizer builds soil organic carbon under straw return mainly via microbial necromass formation[J]. Soil Biology & Biochemistry, 2024, 188: 109223.
( 0) |
| [11] |
Li Y, Zhang W, Li J, et al. Complementation between microbial necromass and plant debris governs the long-term build-up of the soil organic carbon pool in conservation agriculture[J]. Soil Biology & Biochemistry, 2023, 178: 108963.
( 0) |
| [12] |
Liu N, He H B, Xie H T, et al. Impacts of long-term inorganic and organic fertilization on lignin in a Mollisol[J]. Journal of Soils and Sediments, 2010, 10(8): 1466-1474.
( 0) |
| [13] |
Li J, Zhang X C, Luo J F, et al. Differential accumulation of microbial necromass and plant lignin in synthetic versus organic fertilizer-amended soil[J]. Soil Biology & Biochemistry, 2020, 149: 107967.
( 0) |
| [14] |
Huang W G, Kuzyakov Y, Niu S L, et al. Drivers of microbially and plant-derived carbon in topsoil and subsoil[J]. Global Change Biology, 2023, 29(22): 6188-6200.
( 0) |
| [15] |
Rumpel C, Kögel-Knabner I. Deep soil organic matter-A key but poorly understood component of terrestrial C cycle[J]. Plant and Soil, 2011, 338(1/2): 143-158.
( 0) |
| [16] |
Xiong P, Guo Z C, Li W, et al. Regional analysis of maize yield and physiochemical properties of Shajiang black soil(Vertisol)in Huaibei Plain (In Chinese)[J]. Soils, 2021, 53(2): 391-397. [熊鹏, 郭自春, 李玮, 等. 淮北平原砂姜黑土玉米产量与土壤性质的区域分析[J]. 土壤, 2021, 53(2): 391-397.]
( 0) |
| [17] |
Guo Z C, Zhang Z B, Zhou H, et al. The effect of 34-year continuous fertilization on the SOC physical fractions and its chemical composition in a Vertisol[J]. Scientific Reports, 2019, 9: 2505.
( 0) |
| [18] |
Fang F, Li X, Shi Z L, et al. Analysis on distribution and use structure of crop straw resources in Huang-Huai-Hai Plain of China (In Chinese)[J]. Transactions of the Chinese Society of Agricultural Engineering, 2015, 31(2): 228-234. [方放, 李想, 石祖梁, 等. 黄淮海地区农作物秸秆资源分布及利用结构分析[J]. 农业工程学报, 2015, 31(2): 228-234.]
( 0) |
| [19] |
Xu J, He Z K, Feng Q Q, et al. Effect of tillage method on photosynthetic characteristics and annual yield formation of winter wheat–summer maize cropping system (In Chinese)[J]. Journal of Plant Nutrition and Fertilizer, 2017, 23(1): 101-109. [许菁, 贺贞昆, 冯倩倩, 等. 耕作方式对冬小麦-夏玉米光合特性及周年产量形成的影响[J]. 植物营养与肥料学报, 2017, 23(1): 101-109.]
( 0) |
| [20] |
Pang D W, Chen J, Tang Y H, et al. Effect of returning methods of maize straw and nitrogen treatments on soil physicochemical property and yield of winter wheat (In Chinese)[J]. Acta Agronomica Sinica, 2016, 42(11): 1689-1699. [庞党伟, 陈金, 唐玉海, 等. 玉米秸秆还田方式和氮肥处理对土壤理化性质及冬小麦产量的影响[J]. 作物学报, 2016, 42(11): 1689-1699.]
( 0) |
| [21] |
Wang J Y, Cheng W L, Huai S C, et al. Effects of deep plowing and organic-inorganic fertilization on soil water and nitrogen leaching in rice field (In Chinese)[J]. Scientia Agricultura Sinica, 2021, 54(20): 4385-4395. DOI:10.3864/j.issn.0578-1752.2021.20.012 [王瑾瑜, 程文龙, 槐圣昌, 等. 深翻、有机无机肥配施对稻田水分渗漏和氮素淋溶的影响[J]. 中国农业科学, 2021, 54(20): 4385-4395.]
( 0) |
| [22] |
Li D C, Zhang G L, Gong Z T. On taxonomy of Shajiang black soils in China (In Chinese)[J]. Soils, 2011, 43(4): 623-629. [李德成, 张甘霖, 龚子同. 我国砂姜黑土土种的系统分类归属研究[J]. 土壤, 2011, 43(4): 623-629.]
( 0) |
| [23] |
Ding T Y, Guo Z C, Qian Y Q, et al. Effects of straw return methods on the soil organic carbon fractions and pore structure characteristics of Shajiang black soil(Vertisol) (In Chinese)[J]. Transactions of the Chinese Society of Agricultural Engineering, 2023, 39(16): 71-78. [丁天宇, 郭自春, 钱泳其, 等. 秸秆还田方式对砂姜黑土有机碳组分和孔隙结构的影响[J]. 农业工程学报, 2023, 39(16): 71-78.]
( 0) |
| [24] |
Lu R K. Analytical methods for soil and agro-chemistry (In Chinese). Beijing: China Agricultural Science and Technology Press, 2000. [鲁如坤. 土壤农业化学分析方法[M]. 北京: 中国农业科技出版社, 2000.]
( 0) |
| [25] |
Hedges J I, Mann D C. The characterization of plant tissues by their lignin oxidation products[J]. Geochimica et Cosmochimica Acta, 1979, 43(11): 1803-1807.
( 0) |
| [26] |
Yang Y, Dou Y X, Wang B R, et al. Increasing contribution of microbial residues to soil organic carbon in grassland restoration chronosequence[J]. Soil Biology & Biochemistry, 2022, 170: 108688.
( 0) |
| [27] |
Zhang X D, Amelung W. Gas chromatographic determination of muramic acid, glucosamine, mannosamine, and galactosamine in soils[J]. Soil Biology & Biochemistry, 1996, 28(9): 1201-1206.
( 0) |
| [28] |
Appuhn A, Joergensen R G. Microbial colonisation of roots as a function of plant species[J]. Soil Biology & Biochemistry, 2006, 38(5): 1040-1051.
( 0) |
| [29] |
Qiu C, Han X Z, Chen X, et al. Effects of organic amendment depths on black soil pore structure using CT scanning technology (In Chinese)[J]. Transactions of the Chinese Society of Agricultural Engineering, 2021, 37(14): 98-107. [邱琛, 韩晓增, 陈旭, 等. CT扫描技术研究有机物料还田深度对黑土孔隙结构影响[J]. 农业工程学报, 2021, 37(14): 98-107.]
( 0) |
| [30] |
Wang Y K, Guo Z C, Zhang Z B, et al. Effect of tillage practices on soil physical properties and maize growth in Shajiang black soil(Vertisol) (In Chinese)[J]. Acta Pedologica Sinica, 2019, 56(6): 1370-1380. DOI:10.11766/trxb201902280624 [王玥凯, 郭自春, 张中彬, 等. 不同耕作方式对砂姜黑土物理性质和玉米生长的影响[J]. 土壤学报, 2019, 56(6): 1370-1380.]
( 0) |
| [31] |
Chang Y, Sokol N W, van Groenigen K J, et al. A stoichiometric approach to estimate sources of mineral-associated soil organic matter[J]. Global Change Biology, 2024, 30(1): 17092.
( 0) |
| [32] |
Otto A, Shunthirasingham C, Simpson M J. A comparison of plant and microbial biomarkers in grassland soils from the Prairie Ecozone of Canada[J]. Organic Geochemistry, 2005, 36(3): 425-448.
( 0) |
| [33] |
Li H, Yang S, Semenov M V, et al. Temperature sensitivity of SOM decomposition is linked with a K-selected microbial community[J]. Global Change Biology, 2021, 27(12): 2763-2779.
( 0) |
| [34] |
Ding X L, Zhang X D, Yang X M, et al. Accumulation of amino sugar carbon affected by tillage in black soil in northeast China (In Chinese)[J]. Acta Pedologica Sinica, 2012, 49(3): 535-543. DOI:10.11766/trxb201012210539 [丁雪丽, 张旭东, 杨学明, 等. 免耕秸秆还田和传统耕作方式下东北黑土氨基糖态碳的积累特征[J]. 土壤学报, 2012, 49(3): 535-543.]
( 0) |
| [35] |
He H B, Li X B, Zhang W, et al. Effect of glucose and nitrogen supply on dynamics of amino sugars in Mollisol (In Chinese)[J]. Acta Pedologica Sinica, 2010, 47(4): 760-766. DOI:10.11766/trxb200811140423 [何红波, 李晓波, 张威, 等. 葡萄糖和不同数量氮素供给对黑土氨基糖动态的影响[J]. 土壤学报, 2010, 47(4): 760-766.]
( 0) |
| [36] |
Cui J, Zhu Z K, Xu X L, et al. Carbon and nitrogen recycling from microbial necromass to cope with C: N stoichiometric imbalance by priming[J]. Soil Biology & Biochemistry, 2020, 142: 107720.
( 0) |
| [37] |
Ho A, Di Lonardo D P, Bodelier P L E, et al. Revisiting life strategy concepts in environmental microbial ecology[J]. FEMS Microbiology Ecology, 2017, 93(3): fix006.
( 0) |
2025, Vol. 62



0)