土壤地带性学说认为,土壤的发生、演化和分布在生物因素为主的诸多成土因素综合影响下,呈现与气候带相适应的地性现象[1],表现为成土过程、土壤性状与各自然地理要素之间存在着相互联系和制约。无论风化壳类型、矿物的迁移和转化、有机质的分解与合成和累积,以及土壤中物质的淋溶和淀积等,均与生物、气候条件相一致[2]。土壤的电荷数量、比表面积、电场强度、电荷密度等表面性质与土壤有机质含量、黏土矿物含量、有机质和矿物质吸附的离子类型及数量密切相关,因此土壤矿物演化定会伴随表面性质变化[3]。由于表面性质影响土壤中离子的吸附与解吸、营养元素与污染物的富集及迁移、水分的入渗与运移等一系列物理化学过程[4],那么在不同空间尺度上研究土壤表面性质,分析其地带性变化规律,不仅能为土壤的形成和演化特征提供重要信息[5],还能揭示不同地域土壤环境容量及保水保肥能力不同的根本原因[6-7]。
有关多种类型土壤表面性质的研究十分丰富[8],例如李学垣和徐凤琳[9]研究了湖北的黄褐土、黄棕壤、红壤三种地带性土壤的表面性质,发现随着纬度降低,土壤的次生矿物含量升高、盐基饱和度降低、阳离子交换量减小;Jiang等[10]研究了不同气候带的四种红壤矿物组成和表面化学性质,发现土壤零盐效应点(PZSE)、零净电荷点(PZNC)、等电点(IEP)和zeta电位的大小与土壤的风化程度一致;卢胜等[11]研究了湖北三种地带性土壤的物质组成和表面性质,发现随着纬度降低,铁铝氧化物含量增大、比表面积减小、表面电位升高。上述研究表明土壤的组成很大程度上影响其表面性质,并且土壤组成和表面性质随着纬度变化有一定的规律。但是,由于我国土壤分布广泛、类型繁多[12],而目前研究的土壤样本量较少,尚不能系统揭示我国土壤表面性质的地带性变化规律。
土壤中重要的无机颗粒(如黏土矿物)、有机颗粒(如腐殖质)和微生物颗粒(如细菌)[13]的粒径大多位于0~2 000 nm的粒径范围,因此该粒径土壤颗粒在土壤中的重要性不言而喻。目前认为,0~2 000 nm土壤颗粒是土壤电荷量和比表面积的主要贡献者[14]。由于土壤电荷数量和土壤比表面积共同决定了土壤电荷密度,进而决定了土壤颗粒的平均电荷密度[15]。根据DLVO(Derjaguin-Landau- Verwey-Overbeek)理论,土壤颗粒的凝聚或分散取决于土壤颗粒间的静电斥力和分子引力的相对强弱:当分子引力大于静电斥力时土粒凝聚,反之土粒就分散[16]。这表明,土粒间静电排斥力和分子引力共同决定了土壤团聚体的形成、稳定或破碎[17]。众所周知,土壤团聚体作为土壤肥力的中心调节器,它对系列土壤物理、化学和生物学过程均将产生深刻的影响。因此,仅就该角度而言,深入剖析0~2 000 nm粒径范围的土壤颗粒矿物/有机组成和表面性质,在土壤研究中具有十分重要的意义。
本文研究了七种纬度地带性土壤(黑土、暗棕壤、黄棕壤、黄壤、红壤、赤红壤、砖红壤)中0~500、500~1 000、1 000~2 000以及大于2 000 nm不同粒径颗粒矿物/有机组成和表面电荷性质,拟揭示七种土壤中各粒径范围颗粒的相对含量、矿物/有机组成、表面性质以及对整体土壤比表面积、表面电荷量贡献情况等,为了解不同粒径颗粒在土壤中的重要性奠定理论基础;此外,本文还将揭示矿物/有机组成、表面电荷性质的地带性变化规律,进一步分析影响土壤表面电荷性质的主要因素。
1 材料与方法 1.1 供试土壤材料选取我国由北至南的7种主要地带性土壤(表 1),将土样风干、磨碎过0.25 mm筛,储存备用。本实验选取0~20 cm深度的土壤作为实验材料。
|
|
表 1 纬度地带性土壤的采集信息 Table 1 Collected information on latitudinal zonal soils |
土壤悬液的制备采用静水沉降虹吸法[18]。先称取过0.25 mm筛的风干土壤样品100 g于500 mL烧杯中,再加入0.5 mol·L–1的KOH溶液10 mL,接着加入一定量的超纯水;振荡5 min后用探针型超声波处理器(MitsuiEC UX-300,桂宁(上海)实验器材有限公司)分散15 min;转移至5 L烧杯并用超纯水定容至刻度,将悬液用多孔圆盘上下搅拌10次后,在恒温下静置。根据Stokes沉降公式,可以计算出0~500、500~1 000、1 000~2 000以及大于2 000 nm颗粒沉降10 cm所需的时间,当静置时间达到计算所需时间时用虹吸管吸取上部10 cm高度的悬液。如此反复提取若干次直至某粒径范围的全部土壤颗粒充分提取,能获得相应粒径范围的土壤颗粒,再用烘干法称量得到各个粒径范围的土粒质量。由于提取的土壤悬液体积大、颗粒密度小,不便于收集,因此可向提取的悬液中加1 mol·L–1 HNO3进行浓缩。将浓缩悬液用超纯水反复清洗其中过多的H+,使悬液pH达到5.5左右,0.1 mol·L–1 KOH调节pH至6.5并进行超声分散,得到不同粒级的土壤样品悬液,并置于冰箱保存备用。运用广角动态-静态激光散射仪(BI-200SM,Brookhaven公司,美国)测定不同粒径土壤颗粒的真实直径。
“K”值法[19]可半定量计算土壤中的各矿物含量,其根本依据在于矿物的含量与衍射强度呈一定的函数关系。取制备好的土壤悬液进行冷冻干燥,得到粉末样品;接着用X射线衍射仪(XD-3,北京普析通用仪器有限责任公司,北京)测定土壤颗粒的矿物组成。X射线衍射仪工作条件:管电压36 kV,电流20 mA,选用铜靶Kα射线,扫描角度范围2°~52°,扫描模式0.5 °·min–1。通过衍射仪得到不同粒径土壤颗粒的X射线衍射图谱,用MDI Jade 7.0软件进行比对分析。在X射线衍射图谱中根据角度(2θ)和晶面间距(d)找出每一衍射峰对应的矿物,然后读取各矿物最强衍射峰的强度值(峰高),从数据库中查询各矿物的参比强度(依据数据库ICDD 2004),最后根据式(1)计算各矿物的相对含量。
| $ {X_j} = \frac{{{I_j}}}{{{K_j}}}\frac{1}{{\left\{ {\sum\nolimits_i^n {\frac{{{I_i}}}{{{K_i}}}} } \right\}}} $ | (1) |
式中,i指土壤所含的矿物;j指所求矿物;X为矿物含量;K为矿物的参比强度值;I为矿物的最强衍射峰强度值;n为矿物种类数。
土粒的有机质测定采用重铬酸钾氧化—容量法[20],测定每批样品需要用粉末状的石英砂做2~3个空白,最后结果进行平均计算。具体方法:称取0.300 g不同粒径土壤粉末冷冻干燥样于干燥试管中,加入去离子水湿润土样;沿试管壁缓慢加入10.0 mL的K2Cr2O7-H2SO4混合液,摇匀;在试管底部加入爆沸珠防爆沸,试管口放一弯脚小漏斗,对水蒸气进行冷凝回流;将试管放入185~190℃的油浴锅中,煮沸5 min后取出试管,冷却;将试管中的消化液完全转移(去离子水洗2~3次)至量度为150~250 mL的三角瓶中,溶液体积为60~70 mL,以控制溶液中H2SO4浓度为1.0~1.5 mol·L–1;向三角瓶中加入3滴邻菲罗啉指示剂,用标准FeSO4溶液滴定溶液,溶液颜色变化为黄—绿—灰蓝—红棕色,在滴定终点记录滴定体积。
将上述相关实验数据代入式(2)可得到不同粒径土粒的有机质(SOM)含量:
| $ \begin{aligned} \mathrm{SOM} /\left(\mathrm{g} \cdot \mathrm{~kg}^{-1}\right)=C( & \left.V_0-V\right) \times 0.003 \times 1.1 \times 1000 \times \\ & 1.724 / M \end{aligned} $ | (2) |
式中,V0为空白滴定所用的FeSO4溶液体积,mL;V为样品滴定所用的FeSO4溶液体积,mL;C为FeSO4溶液浓度,mol·L–1;M为烘干土质量,g;1.1为氧化率校正值;1.724为每克碳所相当的有机质克数;0.003为1 mmol·(1/6)L–1 K2Cr2O7所相当的碳的克数。
1.3 土壤颗粒表面电荷性质的测定方法土壤颗粒表面性质测定采用Li等[21]提出的多参数联合测定法。每一粒径范围土壤颗粒表面性质均进行3~5组平行测定。具体方法:(1)制备不同粒径土壤悬液的氢饱和样:称取1.00 g土壤颗粒粉末于100 mL离心管中,加入0.1 mol·L–1的HCl溶液10 mL,振荡5 h后离心(4 000 r·min–1,5 min),弃去上清液,重复操作4~5次;(2)水洗氢饱和样:仍以土水质量比1︰10加入纯水振荡5 h并离心(4 000 r·min–1,5 min),弃去上清液;(3)离子交换反应:向离心管中加入40 mL 0.05 mol·L–1的Ca(OH)2和NaOH混合溶液,振荡24 h后测定悬液pH(当悬液pH达到8时则证明交换完全);(4)平衡液Na+和Ca2+的活度测定:向悬液中加0.1 mol·L–1的HCl溶液调节体系的pH为7.0,振荡24 h后若测得pH仍为7.0则证明离子交换反应达平衡,此时将悬液进行离心(10 000 r·min–1,5 min),用Na+和Ca2+离子选择性电极测定上清液中Na+和Ca2+的活度;(5)平衡液中Na+和Ca2+浓度以及吸附量的计算:根据上清液中Na+和Ca2+的活度,采用迭代运算法[21]获得平衡液中Na+和Ca2+浓度,并根据平衡前后的溶液浓度差计算胶体表面Na+和Ca2+的平衡吸附量。
将上述相关实验数据代入式(3)~式(7)[21],可得到不同粒径范围土壤颗粒的表面性质参数。
| $ {\varphi _0}{\text{ = }}\frac{{2RT}}{{\left( {2{\beta _{{\text{Ca}}}} - {\beta _{{\text{Na}}}}} \right)F}}\ln \frac{{a_{{\text{Ca}}}^0{N_{{\text{Na}}}}}}{{a_{{\text{Na}}}^0{N_{{\text{Ca}}}}}} $ | (3) |
| $ {\sigma _0} = sgn\left( {{\varphi _0}} \right)\sqrt {\frac{{\varepsilon RT}}{{2\pi }}\left( \begin{gathered} a_{{\text{Na}}}^{\text{0}}\exp \left( { - \frac{{{\beta _{{\text{Na}}}}F\varphi 0}}{{RT}}} \right) + \hfill \\ a_{{\text{Ca}}}^{\text{0}}\exp \left( { - \frac{{2{\beta _{{\text{Ca}}}}F\varphi 0}}{{RT}}} \right) \hfill \\ \end{gathered} \right)} $ | (4) |
| $ S = \frac{{{N_{{\text{Na}}}}\kappa }}{{ma_{{\text{Na}}}^{\text{0}}}}\exp \left( {\frac{{{\beta _{{\text{Na}}}}F{\varphi _0}}}{{2RT}}} \right){\text{ = }}\frac{{{N_{{\text{Ca}}}}\kappa }}{{ma_{{\text{Na}}}^{\text{0}}}}\exp \left( {\frac{{{\beta _{{\text{Ca}}}}F{\varphi _0}}}{{RT}}} \right) (5) $ | (6) |
其中,
| $ m = 0.5259\ln \left( {{{c_{{\text{Na}}}^0} \mathord{\left/ {\vphantom {{c_{{\text{Na}}}^0} {c_{{\text{Ca}}}^0}}} \right. } {c_{{\text{Ca}}}^0}}} \right) + 1.992 $ | (7) |
式中,φ0为表面电位,mV;σ0为表面电荷密度,C·m–2;S为比表面积,m2·g–1;SCN为表面电荷量,cmol·kg–1;m为计算的中间量,无实际意义;R为通用气体常数,J·(K·mol)–1;T为热力学温度,K;F为法拉第常数,C·mol–1;κ为Debye–Huckel常数,1·dm–1;ε为介电常数,C2·(J·dm)–1,水的介电常数为8.9×10−10 C2·(J·dm)–1;NNa和NCa分别为Na+和Ca2+在土壤中的吸附量,cmol·kg–1;βNa和βCa分别为Na+和Ca2+有效电荷数量的校正系数;αNa0和αCa0分别为平衡时本体溶液中Na+和Ca2+的活度,mol·L–1;cNa0和cCa0分别为平衡时本体溶液中Na+和Ca2+的浓度,mol·L–1。
在上述基础上,还可根据各粒径土粒的质量百分比以及式(8)、式(9)得到不同粒径土粒对土壤总体比表面积和表面电荷量的贡献率。
| $ {\alpha _{{\text{S}}i}} = \frac{{{r_i}{S_i}}}{{\sum {{r_i}{S_i}} }} \times 100\% $ | (8) |
| $ {\alpha _{{\text{SCN}}i}} = \frac{{{r_i}{\text{SC}}{{\text{N}}_i}}}{{\sum {{r_i}{\text{SC}}{{\text{N}}_i}} }} \times 100\% $ | (9) |
式中,αSi和αSCNi分别表示指定粒径范围的土壤颗粒(i)(包括0~500、500~1 000、1 000~2 000、大于2 000 nm颗粒)对土壤比表面积和表面电荷量的贡献率,数值范围为0~100%;ri为该粒径土粒的质量百分数;Si和SCNi分别表示相应粒径土粒的比表面积(m2·g–1)和表面电荷量(cmol(–)·kg–1)。
1.4 数据处理研究结果利用Excel 2020软件进行数据的汇总、计算和整理,用Origin 2023软件进行制图,采用SPSS 20.0进行试验数据统计分析,用最小显著差异法(LSD)进行多重比较。不同小写字母表示同一粒径不同土壤间的差异显著性(P < 0.05),不同大写字母表示同一种土壤中不同粒径土粒间的差异显著性(P < 0.05)。
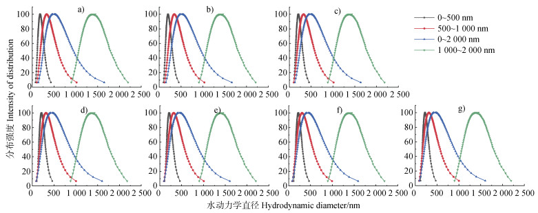
2 结果 2.1 不同粒径土壤颗粒的纬度分布特征不同纬度地带性土壤中0~500、500~1 000、1 000~2 000和0~2 000 nm颗粒水动力学直径如图 1所示。由图可知,七种纬度地带性土壤中不同粒径颗粒的实际粒径范围与目标粒径范围基本一致,表明提取的土壤颗粒符合预期。
|
图 1 土壤(a. 黑土;b. 暗棕壤;c. 黄棕壤;d. 黄壤;e. 红壤;f. 赤红壤;g. 砖红壤)颗粒的水动力直径分布 Fig. 1 The hydrodynamic diameter distribution of the soil particles(a. Black soil; b. Dark brown soil; c. Yellow-brown soil; d. Yellow soil; e. Red soil; f. Latosolic red soil; g. Laterite) |
主要纬度地带性土壤颗粒的粒径分布情况如表 2所示。由表 2可知,随着纬度的降低,大于2 000 nm粗颗粒含量先减小后增加,0~500 nm细颗粒含量大致呈现增加的趋势,500~1 000 nm和1 000~2 000 nm颗粒含量变化无明显规律。纬度地带性土壤中大于2 000 nm土壤粗颗粒含量占47%~70%,远高于其他粒径,说明大于2 000 nm粗颗粒是土壤中最主要的组成部分。高纬度地区土壤(黑土、暗棕壤、黄棕壤)中小于2 000 nm颗粒含量30%~47%,500~1 000 nm土粒是小于2 000 nm土粒的主要组成部分。低纬度地区土壤(黄壤、红壤、赤红壤、砖红壤)中小于2 000 nm颗粒含量42%~53%,0~500 nm是小于2 000 nm颗粒的主要组成部分。
|
|
表 2 纬度地带性土壤不同粒径颗粒的质量 Table 2 Mass of different diameters particles in latitudinal zonal soil/g |
主要的纬度地带性土壤中不同粒径颗粒的比表面积、表面电荷量、表面电荷密度等表面电荷性质如表 3所示。分析表 3可得:
|
|
表 3 纬度地带性土壤不同粒径颗粒的表面电荷性质 Table 3 Surface charge properties of different diameters particles in latitudinal zonal soils |
(1)0~500、500~1 000、1 000~2 000、大于2 000 nm以及原土颗粒的比表面积、表面电荷量、表面电荷密度随着纬度降低大致呈现减小的趋势,其中,1 000~2 000 nm土粒的表面电荷量与原土比较接近。(2)以黄壤分布区为界的高纬度地区(黑土、暗棕壤、黄棕壤)和低纬度地区(黄壤、红壤、赤红壤、砖红壤)土壤颗粒表面性质的差异十分明显;随着纬度降低,土壤颗粒比表面积大致呈现减小的趋势。高纬度地区土壤(黑土、暗棕壤、黄棕壤)比表面积和表面电荷量远高于低纬度地区土壤(黄壤、红壤、赤红壤、砖红壤)。(3)随着纬度降低,仅有大于2 000 nm土粒和0~500 nm土粒的表面电荷密度大致呈现减小趋势,而其他粒径土粒无一定的变化规律;大于2 000 nm的电荷密度高于小于2 000 nm颗粒,两者的相差量随着纬度降低而减小。因此,土壤颗粒表面性质的纬度变化规律主要体现在土粒表面电荷量和比表面积上。
2.3 不同粒径土粒有机质含量的纬度变化特征为进一步分析不同粒径土壤颗粒表面性质纬度变化特征,本文研究了纬度地带性土壤不同粒径颗粒的有机质分布情况,结果如表 4所示。由表可知,(1)随着纬度降低,土壤有机质含量呈现降低的趋势,分布在高纬度地区的土壤(黑土、暗棕壤、黄棕壤)有机质含量显著高于低纬度地区的土壤;黑土的有机质含量最高,砖红壤的有机质含量最低,两种土壤相差近15倍。(2)对于主要纬度地带性土壤,土粒有机质含量随着粒径减小而升高,大于2 000 nm土粒有机质含量远低于原土有机质含量,0~500 nm土粒有机质含量为原土的2倍~3倍,说明0~500 nm细颗粒容易积累有机质。
|
|
表 4 纬度地带性土壤不同粒径颗粒的有机质含量 Table 4 Organic matter content of different diameters particles in latitudinal zonal soils/(g·kg–1) |
根据不同矿物的衍射峰值代入式(1),就可对土壤不同粒径颗粒的矿物组成进行定量区分,其结果如表 5所示。由表可知:(1)分布在高纬度地区的黑土、暗棕壤、黄棕壤均以原生矿物为主,风化程度较弱;黑土和暗棕壤中次生矿物以伊利石和蒙脱石为主,黄棕壤中次生矿物以高岭石、伊利石、蒙脱石为主;对比黑土和暗棕壤,黄棕壤中检测到赤铁矿和针铁矿两种次生矿物,可见黑土和暗棕壤矿物风化程度明显弱于黄棕壤。(2)分布在低纬度地区的黄壤、红壤、砖红壤、赤红壤中矿物类型较少,风化程度加深,以次生矿物为主,次生矿物中高岭石含量较高;相比于黄壤,红壤、砖红壤、赤红壤中伊利石含量急剧减少,并且检测到三水铝石;可见红壤、砖红壤、赤红壤高度富铁铝化,矿物风化程度明显强于黄壤。(3)随着粒径减小,主要纬度地带性土壤中的原生矿物含量均降低,而次生矿物含量均升高;大于2 000 nm土粒中原生矿物含量高于原土,1 000~2 000 nm土粒与原土的矿物组成较接近,0~500 nm土粒原生矿物含量远低于原土。说明1 000~2 000 nm土粒的矿物组成能在一定程度上反映原土的矿物组成;粒径越小的土粒,原生矿物越容易转化成次生矿物,矿物风化程度越强。
|
|
表 5 纬度地带性土壤不同颗粒矿物组成及相对含量 Table 5 Mineral composition and relative content of different particles in latitudinal zonal soils/% |
根据表 2和表 3计算得到地带性土壤中各粒级土粒对整体土壤比表面积和表面电荷量的贡献,结果如表 6所示。
|
|
表 6 不同粒径颗粒对土壤比表面积和表面电荷量的贡献 Table 6 Contribution of particles of different diameters to soil-specific surface area and surface charge |
由表 6可知:主要纬度地带性土壤中小于2 000 nm颗粒对土壤比表面积的贡献高达63%以上,最高可达84%;小于2 000 nm颗粒对土壤比表面积的贡献远高于大于2 000 nm粗颗粒。在小于2 000 nm颗粒中,0~500 nm对土壤比表面积的贡献几乎均高于500~1 000 nm和1 000~2 000 nm对土壤比表面积的贡献,它是小于2 000 nm颗粒比表面积的主要贡献者;随着纬度降低,大于2 000 nm土粒比表面积贡献大致呈现减小的趋势,0~500 nm比表面积贡献大致呈现增大的趋势,1 000~2 000 nm、500~1 000 nm土粒对比表面积贡献无一定的变化规律。
主要纬度地带性土壤中小于2 000 nm颗粒对土壤表面电荷量的贡献高达45%以上,最高可达82%;大于2 000 nm与小于2 000 nm表面电荷量贡献率之差由北到南分别为:11%、30%、31%、58%、65%、55%、56%,说明细颗粒与粗颗粒表面电荷量贡献的差异随着纬度降低而增大。随着粒径减小,土粒对表面电荷的贡献基本满足先减小后增大的趋势,1 000~2 000 nm土粒对表面电荷量的贡献是最低的,最低仅为10%。在小于2 000 nm胶体中,0~500 nm对土壤表面电荷量的贡献基本大于500~1 000 nm和1 000~2 000 nm对土壤表面电荷量的贡献。
本研究表明在低纬度地区土壤中的0~500 nm细颗粒对土壤比表面积和表面电荷量的贡献最突出(表 6),这与之前的研究结论[9-10]一致,还揭示了在低纬度地区土壤中大于2 000 nm粗颗粒对土壤比表面积和表面电荷量的贡献仅次于0~500 nm细颗粒,而之前的研究忽略了大于2 000 nm粗颗粒的重要贡献。卢胜等[11]的研究指出了大颗粒在土壤中占据重要地位,但缺乏定量分析的依据。本研究通过定量分析得到结论:在高纬度地区土壤中,对土壤比表面积和表面电荷量贡献最大的是大于2 000 nm粗颗粒,在低纬度地区土壤中却是0~500 nm细颗粒,说明同一粒径颗粒在土壤表面电荷性质中扮演的角色受纬度的影响较大;此外,研究还表明,土壤中大于2 000 nm粗颗粒对土壤表面电荷量的贡献大于对土壤比表面积的贡献,0~500 nm细颗粒对土壤比表面积的贡献大于对土壤表面电荷量的贡献(表 6)。
Tang等[14]对紫色土和黄壤两种土壤颗粒中的矿物组成和表面性质按粒径进行了区分,其研究的粒径范围为:小于200、200~500、500~1 000、1 000~10 000、大于10 000 nm,发现整个土壤高达80%的比表面积和85%的表面电荷量来自直径小于1 000 nm的土壤颗粒,几乎1/2的比表面积和表面电荷量来自直径小于200 nm的颗粒。而本研究包含七种纬度地带性土壤,再对每一种土壤中小于2 000 nm土壤颗粒进行细分,有以下几个发现:小于1 000 nm土壤颗粒贡献48%~72%比表面积和35%~66%表面电荷量,并未高达80%的贡献率;0~500 nm小颗粒对土壤比表面积和表面电荷量的贡献随着纬度降低大致呈现增大的趋势,但是0~500 nm的最大贡献仅为60.8%,0~200 nm的贡献率显然不及50%;大于1 000 nm颗粒对土壤比表面积和表面电荷量的贡献仍然较大,大于1 000 nm对土壤表面性质有重要影响(表 6)。
3.2 不同地带性土壤的矿物组成和有机质对表面性质的影响次生黏土矿物和有机质提供土壤中绝大部分比表面积和表面电荷量,蒙脱石、伊利石、高岭石是次生矿物中贡献比表面积和表面电荷量的主要矿物[1]。对比不同粒径颗粒的表面电荷性质(表 3)、有机质含量(表 4)、矿物组成(表 5)发现,随粒径减小土粒矿物组成和有机质的变化规律能解释土粒表面性质的变化规律:(1)主要纬度地带性土壤颗粒次生矿物含量和有机质含量均随着粒径减小而增加,因此比表面积和表面电荷量随着粒径减小而增大。(2)主要纬度地带性土壤中1 000~2 000 nm土粒矿物组成与原土矿物组成比较接近,尤其是蒙脱石、伊利石、高岭石的含量,并且1 000~2 000 nm土粒有机质含量与原土有机质含量较接近;大于2 000 nm土粒中次生矿物总含量和有机质含量远低于小于2 000 nm土粒,且大于2 000 nm土粒中蒙脱石和伊利石含量远低于小于2 000 nm土粒。因此主要纬度地带性土壤中1 000~2 000 nm土粒的比表面积和表面电荷量与原土的较相近,而大于2 000 nm土粒的比表面积和表面电荷量远低于小于2 000 nm土粒。
前面的结果(表 3~表 5)表明,随着纬度降低,土壤有机质含量、比表面积和表面电荷量均减少,次生矿物含量增加,并且土壤中主要矿物类型明显改变,例如,随纬度降低蒙脱石和伊利石逐渐减少甚至消失,高岭石逐渐成为土壤中最主要的次生矿物。该结果与Jiang等[10]在海南岛研究的热带土壤表面化学性质的演化规律一致,Jiang等[10]指出,随着土壤发育程度的增加,土壤中的2︰1型黏土矿物减少,而高岭石等次生矿物增加,同时土壤表面正电荷增加,负电荷减少。一些研究结果[22-24]表明单一土壤有机质含量与电荷量呈正相关性,即有机质含量决定土壤电荷量。本文中七种地带性土壤作为研究对象,每一种土壤中有机质、电荷量之间是否均存在相关性尚需进一步探究,以证实有机质含量是影响电荷量的重要因素。
本研究揭示了土壤矿物组成和表面性质随着纬度变化有显著规律(表 3~表 5),与卢胜等[11]对三种地带性土壤研究的结果一致。此外,本研究发现低纬度地区土壤(如黄壤和砖红壤),伊利石等矿物在不同粒径颗粒中的分布较为均匀(表 5),这与伊利石的抗风化力强、非膨胀性等有关,不易受到温度和湿度等气候条件的影响。此外,有研究[3]对不同地区同一类型土壤进行研究,发现zeta电位绝对值由高到低依次为:广西、贵州、江西、湖南等地土壤,指出矿物结合负电荷和正电荷的能力不同,高岭石提供较多的负电荷,其他黏土矿物提供较多正电荷,不同分布区的同一类型土壤矿物组成不同,因此性质差异较大。有关不同年龄玄武岩为母质的土壤表面性质及成因的研究[10]表明,强烈的风化和淋溶加速了土壤黏土矿物的转化,随着玄武岩年龄和土壤发育程度的增加,2︰1型黏土矿物含量降低,高岭石和金属氧化物含量增加。即对于不同气候带、不同年代序列土壤的研究发现,表面化学性质的变化趋势与矿物组成的变化趋势相关,这为揭示土壤表面化学性质的纬度变化规律提供了思路。
对七种纬度地带性土壤中不同粒径颗粒的有机质含量和主要矿物(蒙脱石、高岭石、伊利石)含量分别与土壤比表面积、表面电荷量的关系进行分析,进一步探究不同纬度土壤有机质和矿物质组成如何影响土壤比表面积、表面电荷量。表 7为纬度地带性土壤颗粒中有机质、蒙脱石、伊利石、高岭石含量分别与比表面积、表面电荷量的线性拟合关系。由表 7可知:(1)对于高纬度地区土壤,其比表面积、表面电荷量受蒙脱石含量的影响最大,其次是有机质含量,同时也受伊利石含量的影响;蒙脱石和有机质含量对土壤比表面积的影响均大于对土壤表面电荷量的影响。(2)对于低纬度地区土壤,黄壤和红壤比表面积、表面电荷量主要受有机质、伊利石含量的影响,赤红壤和砖红壤比表面积、表面电荷量主要受有机质、高岭石含量的影响。有机质和矿物质对土壤比表面积的影响要强于对土壤表面电荷量的影响。
|
|
表 7 土粒有机质、蒙脱石、伊利石、高岭石含量分别与比表面积、表面电荷量的线性拟合关系 Table 7 The linear relationship between the contents of organic matter, montmorillonite, illite, and kaolinite and the specific surface area and surface charge |
本研究得到三个重要结论:(1)各粒径范围颗粒在土壤中扮演不同的角色,1000-2000 nm土粒在一定程度上能反映原土的有机、无机组成以及电化学性质;小于2 000 nm颗粒对土壤有机质、次生矿物、比表面积和表面电荷量的贡献起主要作用,其中小于500 nm颗粒是土壤比表面积和表面电荷量的最大贡献者。(2)随着纬度降低,0~500 nm细颗粒含量和次生W矿物含量增加,有机质含量、比表面积、表面电荷量减少。(3)黑土、暗棕壤、黄棕壤的比表面积、表面电荷量受蒙脱石含量的影响最大,其次是有机质和伊利石含量;黄壤和红壤比表面积、表面电荷量主要受有机质、伊利石含量的影响,赤红壤和砖红壤比表面积、表面电荷量主要受有机质、高岭石含量的影响;有机质和矿物质对土壤比表面积的影响要强于对土壤表面电荷量的影响。本文通过对不同纬度地带性土壤的研究验证了土壤表面性质的粒径分布特征,为定量评估不同粒径土粒的相对重要性提供依据;揭示了不同粒径土粒表面性质的地带性分布特征,可反映地带性土壤形成发育的特点,为土壤的利用与保护提供理论参考。
| [1] |
Huang C Y. Soil science (In Chinese). Beijing: China Agriculture Press, 2000. [黄昌勇. 土壤学[M]. 北京: 中国农业出版社, 2000.]
( 0) |
| [2] |
Zhang H, Gilbert B, Banfield J F. An atomic perspective on the serpentine-chlorite solid-state transformation[J]. Chemistry of Material, 2021, 33(16): 6338-6345.
( 0) |
| [3] |
Han B, Liu J, Zhu R, et al. Clay minerals inhibit the release of Cd(Ⅱ)during the phase transformation of Cd(Ⅱ)-ferrihydrite coprecipitates[J]. Journal of Hazardous Materials, 2024, 462: 132723.
( 0) |
| [4] |
Cui S Y, Qi Y W, Zhu Q, et al. A review of the influence of soil minerals and organic matter on the migration and transformation of sulfonamides[J]. Science of the Total Environment, 2023, 861: 160584.
( 0) |
| [5] |
Liu Z, Zhang Y, Sun Z, et al. Effects of the application of different improved materials on reclaimed soil structure and maize yield of Hollow Village in Loess Area[J]. Scientific Reports, 2022, 12(1): 7431.
( 0) |
| [6] |
Liu J F, Wang Z L, Hu F N, et al. Soil organic matter and silt contents determine soil particle surface electrochemical properties across a long-term natural restoration grassland[J]. Catena, 2020, 190: 104526.
( 0) |
| [7] |
Ma R T, Hu F N, Liu J F, et al. Evaluating the effect of soil internal forces on the stability of natural soil aggregates during vegetation restoration[J]. Journal of Soils and Sediments, 2021, 21(9): 3034-3043.
( 0) |
| [8] |
Liu Z, Wang H, Cao S, et al. Variation characteristics of particle surface electrochemical properties during the improvement of reclaimed soil from hollow village in Loess area[J]. Sustainability, 2022, 14: 11527.
( 0) |
| [9] |
Li X Y, Xu F L. Surface chemical properties and mineral and chemical composition of clay particles of main soils in hilly and plain areas of Hubei Province (In Chinese)[J]. Journal of Huazhong Agricultural University, 1999, 18(5): 420-426. [李学垣, 徐凤琳. 湖北省丘岗、平原主要土壤的表面化学性质与粘粒的矿物、化学组成[J]. 华中农业大学学报, 1999, 18(5): 420-426.]
( 0) |
| [10] |
Jiang J, Xu R K, Zhao A Z. Comparison of the surface chemical properties of four soils derived from Quaternary red earth as related to soil evolution[J]. Catena, 2010, 80(3): 154-161.
( 0) |
| [11] |
Lu S, Zhang Z Y, Huang L, et al. Horizontal distinction of granite and gneiss derived soils (In Chinese)[J]. Chinese Journal of Soil Science, 2015, 46(2): 272-279. [卢胜, 张志毅, 黄丽, 等. 花岗岩和片麻岩发育土壤性状的水平地带性分异[J]. 土壤通报, 2015, 46(2): 272-279.]
( 0) |
| [12] |
Chen Y. Differences in soil microbial communities across soil types in China's temperate forests[J]. Forests, 2024, 15(7): 1110.
( 0) |
| [13] |
Tian Y F, Wang Q Q, Gao W, et al. Organic amendments facilitate soil carbon sequestration via organic carbon accumulation and mitigation of inorganic carbon loss[J]. Land Degradation and Development, 2022, 33(9): 1423-1433.
( 0) |
| [14] |
Tang Y, Li H, Liu X M, et al. Unraveling the size distributions of surface properties for purple soil and yellow soil[J]. Journal of Environmental Sciences, 2015, 32: 81-89.
( 0) |
| [15] |
Xu C Y, Zhou T T, Wang C L, et al. Aggregation of polydisperse soil colloidal particles: Dependence of Hamaker constant on particle size[J]. Geoderma, 2020, 359: 113999.
( 0) |
| [16] |
Zhang Y K, Tian R, Yang S S, et al. Toward an approach for determining the Hamaker constant of soft materials using dynamic light scattering[J]. Colloids and Surfaces A: Physicochemical and Engineering Aspects, 2021, 630: 127604.
( 0) |
| [17] |
Xu C Y, Li H, Hu F N, Li S, Liu X M. Non-classical polarization of cations increases the stability of clay aggregates: Specific ion effects on the stability of aggregates[J]. European Journal of Soil Science, 2015, 66(3): 615-623.
( 0) |
| [18] |
Hsiung Y. Soil colloid (In Chinese). Beijing: Science Press, 1983. [熊毅. 土壤胶体[M]. 北京: 科学出版社, 1983.]
( 0) |
| [19] |
Yu C X, Peng B, Tang X Y, et al. Geochemical characteristics of soils derived from the lower-Cambrian black shales distributed in central Hunan, China (In Chinese)[J]. Acta Pedologica Sinica, 2009, 46(4): 557-570. DOI:10.11766/trxb200810110401 [余昌训, 彭渤, 唐晓燕, 等. 湘中下寒武统黑色页岩土壤的地球化学特征[J]. 土壤学报, 2009, 46(4): 557-570.]
( 0) |
| [20] |
Yang J H, Wang C L, Dai H L. Soil agrochemical analysis and environmental monitoring (In Chinese). Beijing: China Land Press, 2008. [杨剑虹, 王成林, 代亨林. 土壤农化分析与环境监测[M]. 北京: 中国大地出版社, 2008.]
( 0) |
| [21] |
Li H, Hou J, Liu X, et al. Combined determination of specific surface area and surface charge properties of charge particles from a single experiment[J]. Soil Science Society of America Journal, 2011, 75(6): 2128-2135.
( 0) |
| [22] |
Wang Y, Vidurapriya D, Thilakasiri S, et al. The microstructure and the behaviour of low organic clayey soils in Sri Lanka[J]. Journal of the National Science Foundation of Sri Lanka, 2024, 52(1): 45-58.
( 0) |
| [23] |
Wang X C. The measurement and analysis of soil's cation exchange capacity(CEC)in representative areas of Taiyuan City (In Chinese)[J]. Shanxi Science and Technology, 2016, 31(3): 58-60. [王晓春. 太原市代表性区域内土壤阳离子交换量的测定及分析[J]. 山西科技, 2016, 31(3): 58-60.]
( 0) |
| [24] |
Wei X R, Shao M A. Distribution characteristics of soil pH, CEC and organic matter in a small watershed of the Loess Plateau (In Chinese)[J]. Chinese Journal of Applied Ecology, 2009, 20(11): 2710-2715. [魏孝荣, 邵明安. 黄土高原小流域土壤pH、阳离子交换量和有机质分布特征[J]. 应用生态学报, 2009, 20(11): 2710-2715.]
( 0) |
2025, Vol. 62



0)