2. 香港大学地理系, 中国香港特别行政区 999077
2. Department of Geography, The University of Hong Kong, Hong Kong SAR 999077, China
防护林是水土保持、防风固沙、涵养水源的自然屏障,其主要生态功能包括防护功能、空气净化功能、土壤保持功能以及生物多样性的保护等。在农田生态系统中,土壤的水分和养分是农田和林带生长状况的重要影响因素,土壤水碳储量作为重要指标,能够反映农田的资源分布情况。农田防护林对土壤保持及固碳功能有益,对大多数作物生长也具有积极影响[1]。然而,林带边缘存在的争水争肥现象导致防护林根系与农作物竞争资源[2],影响其生态效益。其中水分竞争是林缘作物产量下降的主要原因[3],不利于农田的发展。
农田土壤含水量(Soil Water Content,SWC)的空间变化较大,时空变化显著,其蒸腾作用和根系吸水会影响田间水分的运动[4-5]。胁地问题是指防护林对周边农田土壤水肥的负面影响,包括水分竞争、林冠遮阴等,目前已成为构建农田防护林的一大障碍,研究表明[3],防护林带的根系影响范围在水平可达30 m,深度可达60 cm。在不同的土壤层中,土壤含水量的空间模式变化较大,而土壤含水量的空间标准差随着含水量的增加而增加[2]。此外,不同林带配置显著影响农田水分状况,其农田防护林网内的田间土壤水分呈现明显的空间异质性[6]。研究表明,水平方向上距林带两侧一倍树高(1H)以内的区域受影响最严重,是主要影响区域[7] 。目前,在水分资源紧缺地区,农田防护林如何影响生态系统内水分的时空分布,仍有待进一步研究[8]。此外,农田防护林的固碳功能也被众多学者认可,他们认为防护林是生物碳封存策略的目标。Udawatta和Jose[9]、Amichev等[10]、Sauer等[11]和Ramachandran Nair[12]等众多国外学者均研究发现,与传统种植制度相比,建立防护林可以增加土壤碳储量。尽管农田防护林占地面积较小,但在单位面积上可吸收大量的碳,具有较高的固碳潜力[13-14]。因此,科学管理和规划农田防护林建设,进一步合理提升农田防护林的土壤有机碳储量具有重要意义[15]。其中,农田防护林中林网布局及林带结构是评估防护林状态的重要标准[16],直接影响防护效益的发挥[17]。研究发现,不同结构配置的防护林对作物的生长环境影响不同,例如,宋兆民等[18]研究发现,林网过小会增加胁地面积,导致气流不畅、温湿不调,对作物生长不利,而过大的网格则会减弱生态防护效应。在防护林的建设过程中,需要在调整林带结构、促进水土保持、增强调节小气候和保护生物多样性等功能的基础上,进一步提升系统的完整性,以逐步完善生态修复和防护林保护协同发展需求[19-23]。
本研究选取位于内蒙古磴口的典型荒漠绿洲灌溉区,对不同生长季的环境因子(土壤性质、小气候因素和植被属性)及土壤水碳储量进行测量和研究,对比不同农田防护林模式下的农田土壤的水碳储量变化规律,分析其主要影响因素,探讨不同环境因子与土壤水碳储量之间的关系,从防护功能、水文效应与小气候调节作用等角度评价农田防护林模式的综合效益。本研究能为有效提高农田防护林体系的生态和经济效益、科学地建设防护林、生态恢复等提供理论依据和科学基础。
1 材料与方法 1.1 研究区概况试验区位于内蒙古磴口县的荒漠生态系统国家定位研究站(图1),试验样地位于中国林科院沙林中心第二试验林场(40°17′-40°29′ N,106°35′- 106°59′ E),海拔1 040 m。该地区属于温带干旱荒漠气候,年均气温7.6 ℃,昼夜温差大,年均日照时数约3 000 h。年均降水量142 mm,地下水位年均3~4 m,年均风速3 m·s–1。当地农田防护林主要采用传统的小网格和窄林带结构(表1),主要树种包括新疆杨(Populusalbavar.pyramidalisBge.)、二白杨(Populus gansuensis C.)、北美冬青(Ilex verticillata)、小美旱杨(Populus popular’s)、沙枣(Elaeagnus angustifolia L.)和乌柳(Salix cheilophila),当地土壤类型以棕钙土为主,主要种植农作物为玉米(Zea mays)、西葫芦(Cucurbita pepo L.)及向日葵(Helianthus annuus L.),灌溉方式为引黄河水进行大水漫灌。
|
图 1 研究区位置和景观照片 Fig. 1 Location of the study area and landscape photos |
|
|
表 1 农田防护林基本信息 Table 1 Basic information on farmland shelterbelt systems |
在样地设置时,本研究选择了4种具有显著生态效益、高度普及且广泛应用的农田防护林系统典型配置(图2)。两行、四行、五行和八行林带配置分别是当地农田防护林实践建设中,结合经济成本、建设时间和占地空间等要素综合考虑的典型代表,具有区域典型代表性。所有选定的农田防护林系统内主要种植的农作物为西葫芦,防护林树龄均属于成熟阶段,土壤质地包括沙壤土和黏土,pH范围为7.58~8.45,土壤容重范围为1.41~1.79 g·cm–3。
|
图 2 不同农田防护林配置结构示意图 Fig. 2 Schematic structure of different patterns of farmland shelterbelt systems |
为研究作物生长季期间的田间土壤水碳储量变化,对农田进行小区划分,保证各林带配置下的每个试验小区均具有统一处理,如施肥方式、灌溉方式等田间管理措施。具体地,4月20日进行播种,从5月1日起对4种不同典型林带配置(二行林带、四行林带、五行林带和八行林带)的农田防护林系统进行调查和取样,一般选择在5月、8月、10月月末的晴朗天气连续3天内取样完毕,保证样品的一致性。在林网内的4块农田进行取样,试验样地尺寸为120 m×420 m,主林带为西林带。沿主林带垂直方向布设3条样线,分别在0.3H(农田边缘)、1H、2H、3H、4H(位于农田中心,与东林带距离相近)处设置取土和监测样点(图3)。采集土样深度范围为0~20 cm、20~40 cm、40~60 cm、60~80 cm、80~100 cm,土样装入自封袋中带回实验室进一步测定土壤理化性质,同时在各个相同土层使用100 cm3环刀取原状土,用于测定土壤容重。同时选择相同条件无防护林的农田作为林间小气候监测的自然对照组。在采样前10天内无降雨和灌溉以排除灌溉和降雨的影响。2019年5月、8月、10月月末在中国林业科学研究院沙漠林业实验中心完成100个样点、共900个样品的采样及分析(图3)。
|
图 3 农田防护林系统内试验样点布设图 Fig. 3 Locations of sampling points in farmland shelterbelt system |
将取好的土样放入铝盒和自封袋中,带回实验室。在实验室中对采回的土样采用烘干法(105℃,24h)测定土壤含水量(Soil water content,SWC)。采用TOC土壤碳元素分析仪(TOC-1500,北京,中国)测定土壤有机碳含量(Soil Organic Carbon,SOC),具体计算方式是通过测定的总碳(Total Carbon,TC)含量与总无机碳(Total Inorganic Carbon,TIC)含量的差值相减(TC-TIC)得出。采用环刀法测量土壤容重(Bulk Density,BD),使用马尔文激光粒度仪(ZEN 3600,德国)进行土壤粒径分析,使用电导仪(TW-6196B,上海,中国)和pH计(PHB-4型,上海,中国)测量土壤水溶液中的电导率(Electrical Conductivity,EC)和酸碱度(pH)。
1.3 植被属性调查方法在每个林带样地内,使用测高仪测量树高(Height)及枝下高(HBB),使用测径尺测量胸径(DBH),使用测绳测量植物冠层的水平和垂直范围,得到冠幅(CS)及树冠体积(CV)。使用相机拍摄和人工识别方法测定植物覆盖度(COVERAGE)[24]。使用测量尺测量单株作物的垂直高度,通过收割作物并称重的方法,计算单位面积或单位株的作物产量。不同点位的林木和作物的细根生物量(FRBD)采用挖掘法,沿主林带林木主根方向根据根径(小于2~5mm)采样并称重林木和作物的细根部分,将细根的干重与所测得的土壤样品体积进行比较计算得出。
1.4 小气候因素调查方法使用微型蒸渗仪(高15 cm,内径20 cm)测量农田防护林中不同测点的土壤蒸发量(Ev),采用数字式照度计(GM1020)和手持式温湿度测量仪对防护林内各测点的太阳辐射强度(SR)、气温(Ta)和相对湿度(RH)进行平行观测,测点位于2 m高处。同时使用多通道风速仪(ZAGFSKX-1)连续测量风速(Sw),测量位点为距离农田防护林背风面0.3H、1H、2H、3H和4H处。观测时间段为每天的8:00至10:00、11:00至13:00以及17:00至19:00,各生长季时期(5月、8月、10月)保证以上测量均连续3天以上。
1.5 土壤水储量和碳储量计算方法通过样本分析调查期间的土壤水分空间变异情况,得到不同模式及不同模式下不同空间位置的水分动态,具体计算公式如下:
| $ {\theta _i} = \frac{1}{n}\sum\nolimits_{n = 1}^n {\left( {\frac{1}{k}\sum\nolimits_{k = 1}^k {{\theta _k}} } \right)} $ | (1) |
式中,n为重复取样次数,在本研究中每个样点重复取样次数为3;θk为第k次时间(月份)取样的平均土壤体积含水量;k为时间重复次数,本研究中重复月份为5月、8月、10月,时间重复次数为3。时间变化的土壤平均含水量(体积含水量θj)的计算方法与上述一致。
| $ \text{SMS} = \sum\limits_{i = 1}^n {{\theta _i}\text{B}{\text{D}_i}S{T_i} \times 10} $ | (2) |
式中,SMS为土壤水储量(Soil Moisture Storage,mm),i为土层深度,n为总土层数,BDi为i土层的土壤容重(g·cm–3),θi和 Ti分别为 i 土层的土壤质量含水量和土层厚度(cm),S 为地块面积(m2),10 为传递系数。
土壤碳储量具体计算公式如下:
| $ {C_i} = {C_f}_i \text{B}{\text{D}_i}(1 - {\delta _{2 \text{mm}}}){V_i} $ | (3) |
| $ \text{SCS} = \sum\nolimits_{i = 1}^n {{C_i}} $ | (4) |
式中,SCS为土壤碳储量(Soil Carbon Stock,kg·m–2),i为土层深度,n为总土层数,Ci为i土层的碳储量,BDi为i土层的土壤容重(g·cm–3),Cfi为i土层的碳含量质量分数(%);δ2mm代表土壤中较大颗粒杂质,例如坏根、石粒等(直径>2mm)的质量分数;Vi代表i土层的土壤体积。
1.6 数据处理在Surfer 15(Golden Software,Inc.,USA)中通过可视化数据分析不同时空和不同林带配置下的农田土壤水储量和碳储量,探究土壤水碳储量的变化规律,全面了解土壤水碳储量的动态变化。采用SPSS的单因素方差分析(One-way ANOVA 和 LSD方法,显著性检验P<0.05)对不同模式下农田防护林与环境因子之间的差异进行显著性检验,环境因子包括土壤性质(电导率、容重、pH、砂粒、粉粒和黏粒)、植被属性(高度、胸径、冠幅、树冠体积、枝下高、细根生物量、盖度)和小气候因素(风速、太阳辐射、相对湿度、气温、蒸发量)。在R 4.1.3(St Louis,MO,USA)中对土壤水碳储量与环境因子运用主成分分析(PCA),以识别对土壤水碳储量产生最显著影响的关键因素。
2 结 果 2.1 土壤水碳储量特征不同林带配置的农田内土壤水碳储量如图4所示。整体而言,不同林带配置下的土壤水碳储量为四行>八行>五行>二行。四行林带的土壤水碳储量分别均为最高(240.2 mm、26.77 kg·m–2),并且显著高于其他林带配置(P<0.05)。其次是八行林带与五行林带,而二行林带配置下最低(195.4 mm、16.19 kg·m–2)。其中,土壤碳储量的最大值出现在四行林带,达到35.64 kg·m–2;而最低值出现在二行林带,仅为9.57 kg·m–2。土壤水储量的最大值出现在四行林带,达到370.90 mm;而最低值出现在二行林带,仅为72.69 mm。另一方面,各个林带配置土壤水碳储量的上四位点、下四位点和中位数点均有相同规律,即四行>八行>五行>二行。说明时空分布存在变异性,但四行林带总体水碳保持效益均高于其他林带配置。
|
图 4 不同农田防护林配置0~1 m土壤水碳储量对比 Fig. 4 Comparison of 0~1m total soil moisture storages and soil carbon stocks in different farmland shelterbelt systems |
典型林带配置的农田内土壤水碳储量在不同水平方向、垂直方向和时间尺度上的水储量与碳储量动态规律如图5和图6所示。对于土壤水储量而言,水平方向上,在距林带<1H处水储量偏低,同时水储量随距林带距离增加而增加。垂直方向上,水储量随土层深度增加而增加。垂直深度0~80 cm处水储量变化强烈,可能受到多种因素的影响。≥1H处土层60~80 cm的水储量较20~40 cm处显著增加,>3H处水储量随着水平距离增加而减少。在时间尺度上,水储量随着生长季时间的推移而降低,符合季节性气候变化和植被生长消耗水分的规律。在8月及10月的四行、五行林带配置下,水储量在空间上呈现双峰分布,距林带1H和3H处水储量增加,而中间区域水储量相对较低。从5月至10月,四行林带水储量最高和最低时变化幅度为178.0 mm,相应地二行林带的变化幅度最少(68.0 mm)。
|
图 5 不同农田防护林配置在垂直深度、生长季月份和水平距离的水储量时空变化 Fig. 5 Spatial and temporal variation of soil moisture storages in different farmland shelterbelt systems at vertical depth,growing season,and horizontal distance |
|
图 6 不同农田防护林配置在垂直深度、生长季月份和水平距离的碳储量时空变化 Fig. 6 Spatial and temporal variation of soil carbon stocks in different farmland shelterbelt systems at vertical depth,growing season,and horizontal distance |
土壤碳储量的空间分布上,在距林带<1H处,碳储量主要集中分布于0~40 cm深度范围内,并随垂直深度和水平距离的增加而减少,然而,在水平距离约为0.7H、深度为60 cm处,碳储量出现增加趋势,越靠近林带边缘地区,树木根系的分布和土壤有机质的积累对碳储量可能存在的影响越大。在≥1H且≤3H处,在5月份及8月份的部分林带配置下,80~100 cm土层深度的碳储量呈上升趋势。特别是在8月份,四行林带配置下碳储量在40~60 cm土层增加,其他林带配置下的碳储量增加均发生在20~40 cm土层,体现了不同林带配置土壤碳储量对季节性因素响应的差异性。≥3H处0~40 cm土层碳储量随距离增加而增加,且10月份在二行、五行林带下深度为60 cm的土层碳储量增加。在时间分布上,不同生长季的碳储量变化趋势不同,二行、四行、五行林带配置下的碳储量在10月份最高。八行林带配置下的碳储量则随着生长季的推移而下降,但变化幅度较小,体现了碳储量的稳定性。
2.3 土壤理化性质差异对于不同林带配置条件下的0~1 m层土壤理化性质的差异(图7),四行林带配置下的电导率(EC)最低,为172.5 µS·cm–1,与之相比,二行与八行林带配置下的EC显著偏高(P<0.05),体现了四行林带较低的土壤盐分含量。各林带配置下农田土壤的pH均为8.0左右,其中四行与八行林带配置下pH相对偏高。土壤黏粒含量和粉粒含量在四行林带配置下显著偏高,为2.62%和54.77%,在五行林带配置下显著偏低;砂粒含量在四行林带配置下显著偏低(P<0.05),为42.61%,五行林带配置下最高,为66.52%。
|
图 7 不同农田防护林配置的0~1 m土壤性质差异(a)土壤电导率;(b)pH;(c)土壤容重;(d)砂粒;(e)粉粒;(f)黏粒 Fig. 7 Differences in 0~1 m soil properties of different farmland shelterbelt systems(a)soil electrical conductivity;(b)soil pH;(c)soil bulk density;(d)sand ;(e)slit;(f)clay |
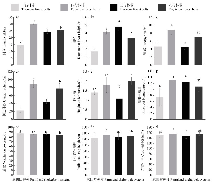
四行林带配置下的树高、冠幅、树冠体积显著高于其他林带配置(P<0.05,图8)。胸径在五行林带(0.47 m)和四行林带(0.41 m)配置下显著高于二行与八行林带。枝下高在八行林带时最高(2.01 m),其次是四行林带(1.82 m)。二行林带配置下其树高值、胸径、冠幅、树冠体积、细根生物量以及个体作物高度(植被高度)均为最小,但盖度最大,为87.67%。四行林带配置下的细根生物量和植被高度为1.31 g·cm–2和134.52 cm,相较最低的二行林带分别增加43.7%和7.4%(P<0.05)。同时,四行林带条件下的农作物产量为157.5 t·hm–2,相较最低的五行林带增产5.2%(P<0.05)。
|
图 8 不同农田防护林配置的植被属性差异((a)树高;(b)胸径;(c)冠幅;(d)树冠体积;(e)枝下高;(f)细根生物量;(g)盖度;(h)个体作物高度;(i)作物产量) Fig. 8 Differences in vegetation attributes of different farmland shelterbelt systems((a)plant height;(b)diameter at breast height;(c)canopy size;(d)canopy volume;(e)height under branches;(f)fine root biomass;(g)vegetation coverage;(h)individual crop height;(i)crop yield) |
四行林带防风、减少太阳辐射、提升相对湿度、减少土壤蒸发的效果均强于五行林带(表2)。风速在四行林带下最小而在二行林带下最大,不同林带配置下的风速均在1H处最小,在1H至4H范围内逐渐增大。靠近林网附近的太阳辐射减弱,随着远离林网,太阳辐射强度增加。相对湿度在靠近林带区域时增加幅度最小,在1H处达到峰值,呈现先增加后降低的趋势。气温随着林带数增加而降低,在2H处达到最高温度。蒸发量在1H处最低,在二行林带和八行林带配置下,农田土壤的蒸发量分别为最高和最低。农田防护林使农田较空旷区的风速降低82.3%~36.5%,太阳辐射强度下降13.9%~56.3%,蒸发量降低56%~70%,相对湿度提升了5.9%~14.7%,降温1.84~2.88℃。
|
|
表 2 不同农田防护林配置的小气候因素差异 Table 2 Differences in microclimate characteristics of different farmland shelterbelt systems |
整体来看,环境因子与SMS、SCS均具有密切关系(图9),对于SMS影响比较大的生态环境因子包括黏粒和粉粒含量、pH、土壤电导率和砂粒含量,表现在主成分分析结果中它们之间的相关性较高,说明土壤理化性质和机械组成对于水分储量的影响比较大;植被属性方面,多数情况下,SMS受植被盖度和树高等植被属性的影响,具有密切的相关关系。对于碳储量具有相似的结果,即土壤属性和植被属性对于土壤碳储量均有影响,且小气候因素与SCS的相关性高于SMS,说明小气候因素对于碳储量的影响要高于其对水储量的影响。具体而言,相比二行林带和八行林带,SCS在四行、五行林带配置下与枝下高及胸径的相关性更高。此外,八行林带影响土壤水碳储量最主要的生态环境因子是土壤性质,植被属性和小气候因素对其影响相对较小。值得注意的是,生态环境因子之间同样存在相互作用,如植被盖度与土壤蒸发量,在四行及五行两种林带配置下有较强的相互关系。综合而言,各生态环境因子对土壤水碳储量的影响效果依次为土壤性质>小气候因素>植被属性。
|
注:SMS、SCS分别指土壤水储量与土壤碳储量;EC、pH、Clay、Slit、Sand分别指土壤电导率、酸碱度、黏粒含量、粉粒含量和砂粒含量;Height、DBH、CS、CV、HBB、FRBD、COVERAGE分别指指高度、胸径、冠幅、树冠体积、枝下高、细根生物量和盖度;Sw、SR、RH、Ta、Ev分别指风速、太阳辐射强度、相对湿度、气温和土壤蒸发量。Note:SMS and SCS refer to soil moisture storage and soil carbon storage,respectively. EC,pH,Clay,Slit,and Sand refer to soil electrical conductivity,pH,clay content,silt content,and sand content. Height,DBH,CS,CV,HBB,FRBD,and COVERAGE refer to height,DBH,crown width,crown volume,under branch height,fine root biomass,and coverage. Sw,SR,RH,Ta,and Ev refer to wind speed,solar radiation,relative humidity,temperature,and evaporation. 图 9 不同农田防护林系统生态环境因子对土壤水碳储量的主成分分析((a)二行林带;(b)四行林带;(c)五行林带;(d)八行林带) Fig. 9 PCA of ecological environmental factors within different farmland shelterbelt systems on SMS and SCS((a)two-row forest belts;(b)four-row forest belts;(c)five-row forest belts;(d)eight-row forest belts) |
在不同林带配置下土壤水碳储量的时空分布有显著差异,土壤水碳储量的整体情况均为四行林带>八行林带>五行林带>二行林带,表明四行林带配置的农田具有更高的水分存储和固碳能力。这种优势可能与四行林带的植被结构及其对土壤环境的改善效果有关。
在空间分布方面,土壤水储量在距离林缘1H范围内变化较大,尤其是0~80 cm土层。同时,靠近林缘处水储量偏低,这验证了林缘效应的存在[7,25-26]。在1H~3H之间,土壤水分储量逐渐增加,尤其在60~80 cm土层的水储量显著高于20~40 cm土层。这种随垂直深度增加而水储量增加的趋势,支持了吴依衍等[7]关于农田防护林水分时空竞争的发现,即越深根系对土壤水分的负作用越小,深层土壤水分竞争较小,而且防护林不与远距离农田争夺水分。而>3H处,由于远离林带,水储量同样地呈下降趋势,可能的原因是在3H外无林荫遮挡,太阳辐射强度及蒸发量均偏高,导致水储量减少[26]。由于不同月份的降雨量、蒸发率和植被生长状况等因素不同,不同生长季的水储量情况不同。整体而言水储量在5月最高(277.7 mm),10月最低(105.6 mm),由于研究对象为西葫芦,其在5月初期生长耗水量不高,结合降雨较多的因素,导致5月土壤水储量较高。生长季末期则由于作物生长,植物的根系更加发达,对土壤中的水分需求增加[8]。此时,植物蒸腾作用旺盛,消耗了大量的土壤水分,对水分的需求增加,同时地表蒸散发增加,降雨量不足,导致水储量最低[3,6]。
碳储量集中分布于靠近林缘处的0~60 cm土壤层,说明靠近林缘处可能有更多枯枝落叶等植物残留物,且由于靠近林缘的土壤通常具有更好的水分保持和保水能力,提供了有利于土壤微生物活动和有机物分解的湿润环境,有助于有机碳的累积。通常情况下,有机质在地表堆积,随着深度增加,碳储量逐渐减少[6]。然而,在靠近林缘的0~60 cm层的土壤碳储量较高,根据胡莎莎等[27]的研究,新疆杨人工林80%的根系主要分布在0~40 cm土层,这表明防护林根系对碳的固定作用较强。胡建利等[28]研究得出,白桦林和冷杉林的细根生物量碳约为土壤有机碳库的9.37%和15.73%,说明在森林生态系统中,细根是地下碳库的组成部分之一,四行林带配置下的碳储量高于其他配置,可能与其较高的细根生物量有关(1.31 g·cm–2,图8)。四行林带下细根生物量最高,可能由于其林带结构优化,光照、水分、养分的利用更充分,从而促进根系生长和发育。此外,Rasse等[29]指出,细根分泌物和根部残留物是土壤微生物活动的主要碳源,细根的快速分解可直接影响土壤碳的矿化过程。根系的扩展和发达增加了土壤有机碳的输入(通过根系分泌物和死亡根系的分解),根据Rumpel和Kögel- Knabner[30]的研究,推测可能是由于植物残体通过分解和降解作用,补充深层土壤有机质含量。
3.2 不同林带配置条件下的生态系统环境因子差异及其影响本研究中不同林带配置的土壤理化性质和植被属性存在显著差异(图7),不同林带配置对土壤理化性质和植被属性的影响包括有机物输入、土壤酸碱度、土壤养分循环、水分管理以及植被根系结构和树冠结构方面的差异。Wei等 [31]指出,在稻田中,影响土壤有机质稳定性的因素主要包括黏土矿物、微团聚体和土壤化学性质(如pH)等,这些因素共同影响土壤质地、养分含量、水分利用效率和植被生长状况。深入研究生态环境因子对水碳储量的影响机理,有助于更好地理解和有效管理不同林带配置下的农田防护林系统。
另一方面,农田防护林具有显著地降低风速、减少太阳辐射、降温、提升相对湿度、和减少土壤蒸发的功能,四行林带配置能最大化发挥上述功能,验证了Wang和Takle[32]提出的中等密度防风林最有效的理论。具体地,风速在距林带1H处最小,是由于林带导致流场结构发生改变[33]。靠近林网处由于林带遮荫,阳光直射强度减弱,太阳辐射降低,地表蒸发消耗热能,使得林内温度下降,所以距离主林带越远,减缓风速能力越弱,太阳辐射值越高,空气温度越高。随着远离林带,相对湿度总体呈现先增加后降低的趋势,在距林带1H处达到最高值,此处在林带遮阴效应影响下土壤蒸发量普遍偏低,增加了土壤水分,由于研究区年蒸发量远大于年降雨量,土壤蒸发量在决定水储量方面起关键作用。土壤蒸发量在二行林带下最高而在八行林带下最低,验证了孙浩等[34]研究提出的防护林带斑比越大,农田蒸散量越低,其中带斑比是指防护林网的丰富程度,为林网或林带的面积与需要被防护的斑块面积的比值。
季节性变化和林带配置会影响土壤水碳储量,但这种影响同时也受到生态环境因子的制约和影响[35]。例如,土壤特性能够影响土壤含水量的空间变异[2],本研究创新性尝试对不同生长季和不同林带配置下农田防护林系统的SMS及SCS同各类环境因子数据进行主成分分析,结果表明土壤性质中的颗粒组成与土壤水碳储量关系密切。四行林带配置下的农田土壤更具黏性和塑性,且该配置下碳储量相对偏高,与土壤黏粒和粉粒含量呈显著正相关性(图9),根据Schulten和Leinweber [36]的研究,可知黏粒和粉粒含量对增加碳储量起到积极影响,验证了Sollins等[37]土壤有机碳稳定性提高与黏粒含量增加有关。五行林带下砂粒含量最高,而水储量低,这一结果与Martínez-Fernández和Ceballos[38]在干旱和半干旱地区的研究结果一致,即砂质土壤的水储量更低。
本研究中不同林带配置的树高与对应整体水储量均为四行>八行>五行>二行,不同林带配置下水储量与树高呈正相关(图9),说明较高的树高可能对土壤水分的累积具有积极影响。de Souza等[39]研究表明盖度是描述土壤田间含水量变化的一个重要因素,本研究发现二行林带下蒸发量最大,相比于其他更密集的林带配置,具有较强的水分蒸发。此外,本研究验证了Bronick和Lal [40]研究中植物根系吸水受蒸散影响会导致根区干燥化,进而导致细根生物量减少(图8和表2)的结果。农田防护林地改善小气候作用同时反映在增加农作物产量上,四行林带配置下树高、冠幅、枝下高、胸径等植被特征均显著高于其他林带配置,同时具有较高的细根生物量和作物高度(图8),说明此种模式下农田与防护林资源分配较合理,具有更强的养分吸收能力和生长潜力,进而促进了作物产量的增加。
3.3 林带配置对农田防护林生态系统的影响和防护林建设的参考指导在防护效果上,不同农田防护林结构的防风效果不同。根据本研究与李一功[41]的综述分析可将其总结为:疏透式结构林带(四行林带)的防风效果更好,紧密结构林带(八行林带)稍弱。在水碳保持等生态效益方面,林带配置是防护林建设中的重要考虑因素,四行林带下土壤水碳储量均偏高,水储量与EC呈显著正相关性(图9),说明合理的配置可以促进土壤水分的均衡分布,减少土壤中的盐分积累,增加碳储量。不同的林带配置对碳储量的影响是季节性的,较多行数的林带配置(八行林带)生态性质和土壤水碳储量变化较为稳定,在5月可能有助于提高土壤水碳储量,整体土壤水碳储量值仅次于四行林带,可能适合某些特定的决策需求,如生态保护和管理计划等。而二行林带配置下的土壤水碳储量总体处于较低水平,则可能无法提供足够的环境条件和生物量。在综合效益上,四行林带优势更明显。
农田土壤相对湿度在1H处相对湿度最高而土壤蒸发量最低,此处水储量偏高,而在林缘处则完全相反,说明靠近林缘处胁地效应强烈,而在1H处仍处于林带保护范围内,林带通过降低水分损失,可以使得林带保护区内的水分供给与需求达到平衡,此处验证了王广钦和樊巍[42]的研究,该范围内的水分资源得到有效利用,有助于保持水分平衡和可持续管理。
综上所述,基于以上不同林带配置的土壤水碳储量及生态环境因子差异,四行和八行林带在防风和减少土壤蒸发等改善农田小气候效果方面相近,应结合干旱地区的特点,优先考虑减少土壤水分的过度消耗,选择细根生物量和作物产量较高且土壤水碳储量更高的四行林带。同时需注意,本研究所研究的农田作物统一为西葫芦,农田防护林的水碳时空变化和影响因素可能会在不同物种之间存在差异,所以,在进行农作物的种植和管理过程中应注意避免胁地效应,结合具体作物特性,以最大程度地提高生态系统的综合效益。
4 结 论不同林带配置下的水碳储量整体情况为四行>八行>五行>二行。在四行林带配置下土壤水碳储量均最高,分别为240.2 mm和26.7 kg·m–2;而二行林带配置下最低,为195.4 mm和16.1 kg·m–2。而且,时间、水平和垂直尺度上,土壤水碳储量均有显著变化。农田防护林能显著改善土壤、植被属性和小气候因子,其中在降低风速、减少太阳辐射、降温、提升相对湿度和减少土壤蒸发方面的效果随林带数增加而增强。其中四行林带配置能最大化发挥上述功能,同时土壤水碳储量均偏高,综合效益最好。靠近林缘处胁地效应强烈,而在1H处仍处于林带保护范围内,防风、增加相对湿度及减少土壤蒸发效果最好。生态环境因子对土壤水碳储量具有重要影响,其中土壤理化性质是土壤水碳储量的主要影响因素。四行林带能够最大程度地提高当地生态系统的综合效益,在土壤水碳管理和保护中应考虑土壤理化性质及其对土壤水碳储量的影响,以制定合理的土壤管理策略,以上结论为农田防护林建设提供了理论依据和科学基础,对于土壤资源管理、生态系统保护和可持续发展具有重要意义。
檀满枝
| [1] |
Li C P, Guan W B, Fan Z P, et al. Advances in studies on the structure of farmland shelterbelt ecosystem (In Chinese)[J]. Chinese Journal of Applied Ecology, 2003, 14(11): 2037-2043. [李春平, 关文彬, 范志平, 等. 农田防护林生态系统结构研究进展[J]. 应用生态学报, 2003, 14(11): 2037-2043.]
( 0) |
| [2] |
Shen Q, Gao G Y, Hu W, et al. Spatial-temporal variability of soil water content in a cropland-shelterbelt-desert site in an arid inland river basin of Northwest China[J]. Journal of Hydrology, 2016, 540: 873-885.
( 0) |
| [3] |
Ma B, Wang S, Wu Y Y, et al. Study on the tire effect of farmland shelter forest in arid desert area (In Chinese)[J]. Xinjiang Agricultural Sciences, 2022, 59(9): 2232-2239. [马彬, 王帅, 吴依衍, 等. 干旱荒漠区农田防护林正负效应及其影响机制[J]. 新疆农业科学, 2022, 59(9): 2232-2239.]
( 0) |
| [4] |
Filoso S, Bezerra M O, Weiss K C B, et al. Impacts of forest restoration on water yield: A systematic review[J]. PLoS One, 2017, 12(8): e0183210.
( 0) |
| [5] |
Lu Z X, Zou S B, Qin Z D, et al. Hydrologic responses to land use change in the Loess Plateau: Case study in the upper Fenhe River watershed[J]. Advances in Meteorology, 2015, 2015(1): 676030.
( 0) |
| [6] |
Wang D, Xiao H J, Xin Z M, et al. Effects of different configurations of farmland shelterbelt system on spatital variation of soil moisture content (In Chinese)[J]. Journal of Soil and Water Conservation, 2020, 34(5): 223-230. [王栋, 肖辉杰, 辛智鸣, 等. 不同配置农田防护林对田间土壤水分空间变异的影响[J]. 水土保持学报, 2020, 34(5): 223-230.]
( 0) |
| [7] |
Wu Y Y, Ma B, Jiang Y. Influence of typical desert farmland shelter forest on soil water and salt dynamics in cotton fields (In Chinese)[J]. Xinjiang Agricultural Sciences, 2021, 58(6): 1012-1020. [吴依衍, 马彬, 姜艳. 典型荒漠农田防护林对棉田土壤水盐动态的影响[J]. 新疆农业科学, 2021, 58(6): 1012-1020.]
( 0) |
| [8] |
Ma X L, Lu G M, Xu Z L, et al. Distribution charateristic of the root system of forest belt and crop within the composite system of agriculture and forestry (In Chinese)[J]. Journal of China Agricultural University, 1997, 2(1): 109-116. [马秀玲, 陆光明, 徐祝龄, 等. 农林复合系统中林带和作物的根系分布特征[J]. 中国农业大学学报, 1997, 2(1): 109-116.]
( 0) |
| [9] |
Udawatta R P, Jose S. Carbon sequestration potential of agroforestry practices in temperate North America[M]//Kumar B M, Ramachandran Nair P K, eds. Advances in agroforestry. Dordrecht: Springer Netherlands, 2011: 17-42.
( 0) |
| [10] |
Amichev B Y, Bentham M J, Kurz W A, et al. Carbon sequestration by white spruce shelterbelts in Saskatchewan, Canada: 3PG and CBM-CFS3 model simulations[J]. Ecological Modelling, 2016, 325: 35-46.
( 0) |
| [11] |
Sauer T J, Cambardella C A, Brandle J R. Soil carbon and tree litter dynamics in a red cedar–Scotch pine shelterbelt[J]. Agroforestry Systems, 2007, 71(3): 163-174.
( 0) |
| [12] |
Ramachandran Nair P K. Methodological challenges in estimating carbon sequestration potential of agroforestry systems[M]//Kumar B M, Ramachandran Nair P K, eds. Advances in agroforestry. Dordrecht: Springer Netherlands, 2011: 3-16.
( 0) |
| [13] |
Cao L H, Liu H M, Yang D S. Factors influencing the carbon sequestration potential of agricultural soils and its regulation(Review) (In Chinese)[J]. Jiangsu Agricultural Sciences, 2016, 44(10): 16-20. [曹丽花, 刘合满, 杨东升. 农田土壤固碳潜力的影响因素及其调控(综述)[J]. 江苏农业科学, 2016, 44(10): 16-20.]
( 0) |
| [14] |
van Wesemael B, Paustian K, Meersmans J, et al. Agricultural management explains historic changes in regional soil carbon stocks[J]. Proceedings of the National Academy of Sciences of the United States of America, 2010, 107(33): 14926-14930.
( 0) |
| [15] |
Wiśniewski P, Märker M. Comparison of topsoil organic carbon stocks on slopes under soil-protecting forests in relation to the adjacent agricultural slopes[J]. Forests, 2021, 12(4): 390.
( 0) |
| [16] |
Bao Y H, He X B, Yang J H, et al. Study on preventing effect of three farmland shelter-forest network on soil wind erosion (In Chinese)[J]. Journal of Soil and Water Conservation, 2007, 21(2): 5-8. [鲍玉海, 贺秀斌, 杨吉华, 等. 三种网格的农田防护林防止土壤风蚀的效应研究[J]. 水土保持学报, 2007, 21(2): 5-8.]
( 0) |
| [17] |
Zhu J J, Jiang F Q, Fan Z P, et al. Optimization of spatial arrangements and patterns for shelterbelts or windbreaks (In Chinese)[J]. Chinese Journal of Applied Ecology, 2003, 14(8): 1205-1212. [朱教君, 姜凤岐, 范志平, 等. 林带空间配置与布局优化研究[J]. 应用生态学报, 2003, 14(8): 1205-1212.]
( 0) |
| [18] |
Song Z M, Chen J Y, Yang L W, et al. Studies on the effects of farmland shelterbelt network in Shenhsien County of Hopei Province (In Chinese)[J]. Scientia Silvae Sinicae, 1981, 17(1): 8-19. [宋兆民, 陈建业, 杨立文, 等. 河北省深县农田林网防护效应的研究[J]. 林业科学, 1981, 17(1): 8-19.]
( 0) |
| [19] |
Liu Z M, Yu H B. Discussion on ecological management of Horqin Sandy Land under the concept of “a living community of mountains, waters, forests, farmlands, lakes, grasslands and sandylands” (In Chinese)[J]. Journal of Desert Research, 2022, 42(1): 34-40. [刘志民, 余海滨. “山水林田湖草沙生命共同体” 理念下的科尔沁沙地生态治理[J]. 中国沙漠, 2022, 42(1): 34-40.]
( 0) |
| [20] |
Liu Z M, Yu H B, Wang H Y. Principles and implementation of the integrated management of “mountain-river-forest-farmland-lake-grassland-sandland” in Horqin Sand Land, China (In Chinese)[J]. Chinese Journal of Applied Ecology, 2022, 33(12): 3441-3447. [刘志民, 余海滨, 汪海洋. 科尔沁沙地“山水林田湖草沙” 一体化治理原理及实施重点[J]. 应用生态学报, 2022, 33(12): 3441-3447.]
( 0) |
| [21] |
Wu D D, Yu X Y. Discussion of ecological-progress construction in Horqin Sandland (In Chinese)[J]. Protection Forest Science and Technology, 2013(6): 1-3. [吴德东, 于相洋. 刍议科尔沁沙地生态文明建设[J]. 防护林科技, 2013(6): 1-3.]
( 0) |
| [22] |
Peng J, Lü D N, Zhang T, et al. Systematic cognition of ecological protection and restoration of mountains-rivers-forests-farmlands-lakes-grasslands (In Chinese)[J]. Acta Ecologica Sinica, 2019, 39(23): 8755-8762. [彭建, 吕丹娜, 张甜, 等. 山水林田湖草生态保护修复的系统性认知[J]. 生态学报, 2019, 39(23): 8755-8762.]
( 0) |
| [23] |
Shi Y, Zhao X, Zhu J L, et al. Evolutions, functions and conservations of mountains-rivers-forests-croplands- lakes-grasslands-deserts system (In Chinese)[J]. Chinese Journal of Nature, 2022, 44(1): 1-18. [石岳, 赵霞, 朱江玲, 等. “山水林田湖草沙” 的形成、功能及保护[J]. 自然杂志, 2022, 44(1): 1-18.]
( 0) |
| [24] |
Zhao C X, Zheng D W, He W Q. Vegetation cover changes over time and its effects on resistance to wind erosion (In Chinese)[J]. Acta Phytoecologica Sinica, 2005, 29(1): 68-73. [赵彩霞, 郑大玮, 何文清. 植被覆盖度的时间变化及其防风蚀效应[J]. 植物生态学报, 2005, 29(1): 68-73.]
( 0) |
| [25] |
Huang Z W, Sun F H, Xiao L G. Analysis on the coercion mechanism of protecting plantation of farmland and its control measures (In Chinese)[J]. Forestry Science and Technology, 2002, 27(2): 18-21. [黄宗文, 孙凤华, 肖立国. 农田防护林胁地机理分析与调控[J]. 林业科技, 2002, 27(2): 18-21.]
( 0) |
| [26] |
Zhang J S, Meng P, Song Z M, et al. An overview on micro-climatic effects of agro-forestry systems in plain agricultural areas in China (In Chinese)[J]. Agricultural Meteorology, 2004, 25(3): 52-55. [张劲松, 孟平, 宋兆民, 等. 我国平原农区复合农林业小气候效应研究概述[J]. 中国农业气象, 2004, 25(3): 52-55.]
( 0) |
| [27] |
Hu S S, Zhang Y T, Li J M, et al. Characteristics of spatial distribution of the biomass of Populus alba var pyramidalis Bge (In Chinese)[J]. Xinjiang Agricultural Sciences, 2012, 49(6): 1059-1065. [胡莎莎, 张毓涛, 李吉玫, 等. 新疆杨生物量空间分布特征研究[J]. 新疆农业科学, 2012, 49(6): 1059-1065.]
( 0) |
| [28] |
Hu J L, Yang W Q, Zhang J, et al. Characteristics of biomass and carbon stock of fir and birch fine roots in subalpine forest of western Sichuan, China (In Chinese)[J]. Chinese Journal of Applied & Environmental Biology, 2009, 15(3): 313-317. [胡建利, 杨万勤, 张健, 等. 川西亚高山冷杉和白桦细根生物量与碳储量特征[J]. 应用与环境生物学报, 2009, 15(3): 313-317.]
( 0) |
| [29] |
Rasse D P, Rumpel C, Dignac M F. Is soil carbon mostly root carbon? Mechanisms for a specific stabilization[J]. Plant and Soil, 2005, 269(1): 341-356.
( 0) |
| [30] |
Rumpel C, Kögel-Knabner I. Deep soil organic matter-A key but poorly understood component of terrestrial C cycle[J]. Plant and Soil, 2011, 338(1): 143-158.
( 0) |
| [31] |
Wei L, Ge T D, Zhu Z K, et al. Comparing carbon and nitrogen stocks in paddy and upland soils: Accumulation, stabilization mechanisms, and environmental drivers[J]. Geoderma, 2021, 398: 115121.
( 0) |
| [32] |
Wang H, Takle E S. A numerical simulation of boundary-layer flows near shelterbelts[J]. Boundary- Layer Meteorology, 1995, 75(1): 141-173.
( 0) |
| [33] |
Li X L, Ma Y J, Ma R, et al. Wind flow field and windproof efficiency of shelterbelt in different width (In Chinese)[J]. Journal of Desert Research, 2018, 38(5): 936-944. [李雪琳, 马彦军, 马瑞, 等. 不同带宽的防风固沙林流场结构及防风效能风洞实验[J]. 中国沙漠, 2018, 38(5): 936-944.]
( 0) |
| [34] |
Sun H, Liu L J, Li X Y, et al. Effects of the pattern of agricultural shelterbelt network on evapotranspiration of oases in arid region: A case study from Sangong River Basin in Xinjiang (In Chinese)[J]. Chinese Journal of Ecology, 2018, 37(8): 2436-2444. [孙浩, 刘丽娟, 李小玉, 等. 干旱区绿洲防护林网格局对农田蒸散量的影响--以新疆三工河流域绿洲为例[J]. 生态学杂志, 2018, 37(8): 2436-2444.]
( 0) |
| [35] |
Li M Y, Shangguan Z P, Deng L. Spatial distribution of carbon storages in the terrestrial ecosystems and its influencing factors on the Loess Plateau (In Chinese)[J]. Acta Ecologica Sinica, 2021, 41(17): 6786-6799. [李妙宇, 上官周平, 邓蕾. 黄土高原地区生态系统碳储量空间分布及其影响因素[J]. 生态学报, 2021, 41(17): 6786-6799.]
( 0) |
| [36] |
Schulten H R, Leinweber P. New insights into organic-mineral particles: Composition, properties and models of molecular structure[J]. Biology and Fertility of Soils, 2000, 30(5): 399-432.
( 0) |
| [37] |
Sollins P, Swanston C, Kramer M. Stabilization and destabilization of soil organic matter-A new focus[J]. Biogeochemistry, 2007, 85(1): 1-7.
( 0) |
| [38] |
Martínez-Fernández J, Ceballos A. Temporal stability of soil moisture in a large-field experiment in Spain[J]. Soil Science Society of America Journal, 2003, 67(6): 1647-1656.
( 0) |
| [39] |
de Souza E R, de Assunção Montenegro A A, Montenegro S M G, et al. Temporal stability of soil moisture in irrigated carrot crops in Northeast Brazil[J]. Agricultural Water Management, 2011, 99(1): 26-32.
( 0) |
| [40] |
Bronick C J, Lal R. Soil structure and management: A review[J]. Geoderma, 2005, 124(1/2): 3-22.
( 0) |
| [41] |
Li Y G. A summary of China’s farm shelter-belt system and its beneficial comparison with different types of shelter-belt (In Chinese)[J]. Journal of Soil and Water Conservation, 1990, 4(4): 1-7. [李一功. 我国农田防护林效益综述--兼谈不同类型林网的防护效益[J]. 水土保持学报, 1990, 4(4): 1-7.]
( 0) |
| [42] |
Wang G Q, Fan W. Study on the tendencies of soil water in a shelterbelt network (In Chinese)[J]. Journal of Henan Agricultural University, 1988, 22(3): 285-293. [王广钦, 樊巍. 农田林网内土壤水分变化动态的研究[J]. 河南农业大学学报, 1988, 22(3): 285-293.]
( 0) |
2025, Vol. 62



0)