2. 重庆市农业技术推广总站, 重庆 401122
2. Chongqing General Agricultural Technology Extension Station, Chongqing 401122, China
土壤团聚体是土壤矿物颗粒和有机物质相互胶结形成的土壤结构基本单元,是土壤养分储存的场所以及微生物的栖息地,其稳定性是表征土壤结构好坏的重要指标[1-2]。在集约化农业生产中,化肥过量施用导致的土壤酸化和对土壤结构的破坏越来越受到重视[3]。土壤酸化后易导致土壤中的胶结物质、黏粒和腐殖物质等被淋失,降低有机质含量,致使土壤水稳性团聚体遭到破坏,造成土壤板结,土壤通气透水性差,影响作物正常生长[4]。因此,改善酸性土壤的团聚体结构对于提升土壤质量具有重要意义。
土壤团聚体的形成和稳定易受土壤有机质、微生物、植物根系以及施肥耕作等因素影响。其中,有机质是团聚体形成过程中主要的胶结物质[5],对土壤团聚体稳定性具有正向效应,是团聚体稳定性的关键影响因子[2]。土壤微生物是形成团聚体最活跃的生物因素,主要通过分解有机物质和物理缠绕等方式促进土壤颗粒团聚并影响团聚体的周转[1-6]。但是,耕作以及不合理施肥对土壤的扰动是有机质下降、土壤团聚体数量和稳定性降低的主要原因[7]。而有机肥的施用可以通过增加土壤中的有机质含量,提高微生物活性,同时,其含有的多糖、蛋白质及被微生物分解产生的有机酸、腐殖物质等,可以作为有机胶结剂将土壤颗粒胶结成微团聚体,并进一步团聚成大团聚体,从而提高团聚体的稳定性[8-11]。目前,有机肥在改良土壤理化性状、促进团聚体形成和稳定等方面已有部分研究。李越等[12]通过比较石灰、有机肥、生物质炭和酒糟灰渣4种改良剂对酸性紫色土团聚体和有机碳的影响,发现施用有机肥对增加土壤有机碳含量和提高团聚体形成和稳定效果最好。姜灿烂等[13]研究发现与单施化肥相比,施用有机肥提高了旱地红壤团聚体的稳定性和各粒径团聚体有机碳含量,提高了团聚体稳定性。
近年来,含生物质炭类有机肥和生物有机肥越来越广泛地应用于酸性土壤改良。生物质炭由于具有高pH、高含碳量、大比表面积等特点,可有效提高酸性土壤的pH,其与有机肥配施后更利于酸性土壤大团聚体(> 0.25 mm)的形成,并显著提高团聚体的稳定性[14-15]。应金耀等[16]通过盆栽试验发现,与单施生物质炭相比,生物质炭与有机肥配施显著增加了土壤水稳性团聚体,大团聚体含量显著提高了26.0%。此外,施用生物有机肥可为土壤带入大量有机质和微生物,其会与无机胶体复合生成不同粒径的团聚体,进而影响土壤各级团聚体分布,促进大团聚体的形成,提高土壤团聚体稳定性[17-18]。任立军等[19]研究也发现生物有机肥替代化肥能使大团聚体的比例增加66.4%,显著提高了土壤团聚体平均质量直径(MWD)。但是,由于不同类型有机肥具有不同的养分含量、有机物成分和结构特性,其对土壤团聚体形成和稳定的影响程度不尽相同,目前仍缺乏不同类型有机肥的评价比较性研究。此外,土壤团聚体始终处在不断破碎、团聚和稳定的动态变化中,前人研究大多集中在有机肥施用对团聚体形成的结果性描述上,对不同类型有机肥影响团聚体周转形成的过程尚不清楚。
综上,本研究选取3种有机肥(普通有机肥、含生物质炭类有机肥和生物有机肥),分别在酸性紫色土和红壤上开展为期56 d的培养试验,动态监测土壤团聚体稳定性、土壤呼吸和团聚体各粒级有机碳含量,并采用稀土氧化物标记不同粒径的团聚体,示踪团聚体的形成周转路径,旨在为酸性土壤改良提供理论和技术支撑。
1 材料与方法 1.1 供试土壤供试土壤为酸性紫色土和红壤。其中紫色土采自重庆市江津区(29°28′ N,105°49′ E),红壤采自云南省楚雄州(24°30′ N,100°35′ E)。土壤样品去除石块、根系等杂物后室内自然风干后,过5 mm筛备用。供试土壤的基本理化性质如表 1所示。
|
|
表 1 供试土壤基本理化性质 Table 1 The original properties of the studied soil |
试验前,采用稀土氧化物(REE)标记示踪团聚体周转路径,量化团聚体周转速率。4种REE(氧化镧,La2O3;氧化钐,Sm2O3;氧化钆,Gd2O3;氧化钕,Nd2O3)购自有研稀土新材料股份有限公司。稀土氧化物标记团聚体流程[20]:分别取5份备用土壤,其中1份为对照土壤,另外4份则以500 mg·kg–1的浓度分别添加La2O3、Sm2O3、Gd2O3和Nd2O3,稀土氧化物的添加按照悬液添加的方法均匀添加至土壤中(即将稀土氧化物和对应体积的蒸馏水在喷壶中利用涡旋仪充分混匀,逐步添加至土壤中,与之充分均匀接触)。标记土壤于4 ℃冰箱中平衡7 d,使之充分接触。7 d后于40 ℃烘箱中烘干24 h。然后,采用Elliot方法[21]湿筛,收集 > 2 mm、2~0.25 mm、0.25~0.053 mm、< 0.053 mm 4级团聚体备用。同时,多次重复取样,测定土壤团聚体分布和稀土氧化物标记浓度。稀土氧化物添加的土壤每一粒级均以某一种特定氧化物标记的方式按原来的各粒级比重混合成60 g标记样品备用。稀土氧化物的标记量如表 2所示。
|
|
表 2 稀土氧化物的背景值和标记量 Table 2 The background and added concentration of rare earth oxides |
经稀土氧化物标记的紫色土和红壤分别供试4种处理,包括不添加有机肥对照(CK)、普通有机肥(Ordinary organic fertilizer,OF)、生物质炭有机肥(Biochar organic fertilizer,BC)、生物有机肥(Bio-organic fertilizer,BO)。其中,普通有机肥和生物质炭均购自重庆茂财农业科技有限公司,普通有机肥由80%牛粪加20%花椒枝叶废弃物堆沤发酵而来,生物有机肥购自陕西鼎天济农腐殖酸制品有限公司。生物质炭有机肥是由3%生物质炭+普通有机肥制成;生物有机肥中有效菌种为娄彻氏链霉菌和解淀粉芽孢杆菌,有效活菌数≥1.0亿·g–1。
每个处理设3个重复,每个重复设置5个平行,方便在特定时间进行破坏性采样。因此,共计2种土壤类型×4种有机肥处理×3个重复×5个平行=120个培养单元。有机肥的施用量按碳投入量2 g·kg–1干土添加。
取60 g(风干重)备用土壤与有机肥混合均匀后,装入培养瓶中,控制容重为1.2 g·cm–3,然后润湿土壤至田间持水量的60%。放置在4℃培养箱中保存3 d,使水分平衡,同时减小微生物活性,然后转移至25±2℃培养箱中。用保鲜膜密封培养56 d,每个保鲜膜上钻20个针孔,以便换气。在整个培养实验过程中,间隔一天称重法测定土壤水分损失,及时补充保持60%的田间持水量。
分别在第1、3、5、7、11、14、28、42和56 d测定土壤呼吸;在第0、7、14、28和56 d进行破坏性取样测定土壤团聚体的动态变化。采集的土样自然风干后,沿自然纹理掰开至5 mm左右,进行土壤团聚体湿筛分级。有机肥性质及添加量如表 3所示。
|
|
表 3 有机肥性质及添加量 Table 3 Properties and the additional amount of organic fertilizer |
(1)土壤呼吸测定。将培养瓶揭开保鲜膜通气30 min,然后用配有隔板的密封盖密封。每次收集气体时,在每个瓶中先加入40 mL新鲜空气,以保持采气后瓶中压力。反复抽拉,混匀瓶内气体,然后立即用注射器从每个瓶中抽出40 mL气体,注入气袋中,用于测定二氧化碳浓度。密封6 h后进行第二次气体收集。瓶口覆盖保鲜膜,继续培养至下一轮取样。测定仪器为(Agilent Gas Chromatograph 7890,USA)气相色谱仪。二氧化碳通量的计算假设气体浓度在6 h的测量期间呈线性变化。
(2)团聚体稳定性测定。团聚体稳定性采用经典干湿筛法。将土壤样品通过孔径为2.00,0.25,0.053 mm套筛。分别测重计算 > 2 mm、2~0.25 mm、0.25~0.053 mm、< 0.053 mm团聚体占土样总质量的百分率。按干筛法测定的各级土壤颗粒所占百分比,配制25 g土样,再用湿筛法测定水稳性团聚体的组成。供试的紫色土 > 2 mm、2~0.25 mm、0.25~0.053 mm和 < 0.053 mm水稳性团聚体的质量分数依次为0.61%、14.26%、44.46%、40.41%;而红壤各粒径水稳性团聚体的质量分数依次为1.76%、30.18%、32.00%、36.06%。
衡量团聚体稳定性指标为平均质量直径(MWD)。计算方法为:
| $ {\text{MWD}} = \sum\nolimits_{i = 1}^{n{\text{ + }}1} {\frac{{{r_{i - 1}} + {r_i}}}{2}} \times {m_i} $ | (1) |
式中,ri为第i个筛子孔径(mm),r0=r1,rn=rn+1,mi为第i个筛子的破碎团聚体质量百分比。
(3)土壤有机碳(SOC)测定。风干土样干湿筛分级后,将分级后的团聚体过0.25 mm筛,采用硫酸重铬酸钾加热氧化-容量法测定各级有机碳含量。
(4)稀土氧化物测定。各粒级团聚体中稀土氧化物含量测定参考行业标准(DZ/T 0452.3—2023)的方法进行:称取0.1000 g土样置于聚四氟乙烯坩埚中,加入3 mL盐酸、2 mL硝酸、3 mL氢氟酸、1 mL高氯酸、1 mL硫酸,将坩埚放在多孔控温电热板上,控制温度为130℃分解样品2 h。洗净坩埚盖并取下,电热板控制温度150℃继续分解样品2 h,然后将电热板温度升至180℃蒸至高氯酸浓烟冒尽。取下坩埚冷却至室温,用盐酸溶液冲洗坩埚壁,再放在电热板上继续赶酸,直至溶液体积不再变化。取下坩埚加入10 mL盐酸溶液,将坩埚放置在电热板上溶解盐类15 min后。取下坩埚冷却至室温后,转移至50 mL容量瓶中,用水稀释定容,摇匀备用。分取制备的溶液2.50 mL,稀释至10.00 mL,摇匀,上ICP-MS NexION1000测定。
(5)稀土氧化物湿筛回收率计算:
| $ {\rm{WR}}(\%)=\frac{{\sum\nolimits_{i = 1}^n {{W_i} \times {C_i} - BC} }}{{LC - BC}} \times 100 $ | (2) |
式中,WR为湿筛后土壤中REOs的回收率(%)。
参照Peng等[22]和Wang等[23]的方法计算周转路径和周转速率。通过湿筛,团聚体可以分为4级,分别为 > 2 mm大团聚体;2~0.25 mm小团聚体;0.25~0.053 mm微团聚体;< 0.053 mm粉黏粒团聚体。存在12条各级团聚体周转路径,分别为破碎方向的路径a~f和形成方向的路径g~l。t到t+1时刻各团聚体的变化可以用转移矩阵K(t)表示。
| $ K\left( t \right) = \left[ {\begin{array}{*{20}{c}} {1 - a - d - f}&g&{{\text{ }}j}&l \\ a&{1 - g - b - e}&h&k \\ d&b&{1 - j - h - c}&i \\ f&e&c&{1 - l - k - i} \end{array}} \right] $ | (3) |
式中,a~l为各级团聚体迁移的百分比。
| $ S\left( t \right) = \left[ {\begin{array}{*{20}{c}} {A\left( t \right)} \\ {B\left( t \right)} \\ {C\left( t \right)} \\ {D\left( t \right)} \end{array}} \right] $ | (4) |
式中,A(t)、B(t)、C(t)、D(t)分别为t时刻 > 2 mm、2~0.25 mm、0.25~0.053 mm和 < 0.053 mm团聚体质量。
| $ S\left( {t + 1} \right) = \left[ {\begin{array}{*{20}{c}} {A\left( {t + 1} \right)} \\ {B\left( {t + 1} \right)} \\ {C\left( {t + 1} \right)} \\ {D\left( {t + 1} \right)} \end{array}} \right] $ | (5) |
式中,A(t+1)、B(t+1)、C(t+1)、D(t+1)分别为t+1时刻 > 2 mm、2~0.25 mm、0.25~0.053 mm和 < 0.053 mm团聚体质量。
| $ \mathrm{S}(t+1)=\mathrm{K}(t) \mathrm{S}(t) $ | (6) |
因为各时刻团聚体质量守恒,即S和K矩阵满足式(6),由此可以求算特定时刻团聚体的周转矩阵K。
用稀土氧化物示踪方法来量化团聚体的迁移路径。TR(t)为t时刻各级团聚体中稀土氧化物的浓度。
| $ TR\left( t \right) = \left[ {\begin{array}{*{20}{c}} {\left[ {GdA} \right]}&{\left[ {LaA} \right]}&{\left[ {SmA} \right]}&{\left[ {NdA} \right]} \\ {\left[ {GdB} \right]}&{\left[ {LaB} \right]}&{\left[ {SmB} \right]}&{\left[ {NdB} \right]} \\ {\left[ {GdC} \right]}&{\left[ {LaC} \right]}&{\left[ {SmC} \right]}&{\left[ {NdC} \right]} \\ {\left[ {GdD} \right]}&{\left[ {LaD} \right]}&{\left[ {SmD} \right]}&{\left[ {NdD} \right]} \end{array}} \right] $ | (7) |
其中,[GdA]为A级团聚体中Gd的浓度(μg·g–1),以此类推
| $ \begin{array}{l} {\text{TA}}\left( t \right) = \hfill \\ \left[ {\begin{array}{*{20}{c}} {A\left( t \right)\left[ {GdA} \right]}&{A\left( t \right)\left[ {LaA} \right]}&{A\left( t \right)\left[ {SmA} \right]}&{A\left( t \right)\left[ {NdA} \right]} \\ {B\left( t \right)\left[ {GdB} \right]}&{B\left( t \right)\left[ {LaB} \right]}&{B\left( t \right)\left[ {SmB} \right]}&{B\left( t \right)\left[ {NdB} \right]} \\ {C\left( t \right)\left[ {GdC} \right]}&{C\left( t \right)\left[ {LaC} \right]}&{C\left( t \right)\left[ {SmC} \right]}&{C\left( t \right)\left[ {NdC} \right]} \\ {D\left( t \right)\left[ {GdD} \right]}&{D\left( t \right)\left[ {LaD} \right]}&{D\left( t \right)\left[ {SmD} \right]}&{D\left( t \right)\left[ {NdD} \right]} \end{array}} \right] \hfill \end{array} $ | (8) |
TA(t)为t时刻各级团聚体中的稀土氧化物的量。同样存在K(t)满足方程
| $ \mathrm{TA}(t+1)=\mathrm{K}(t) \mathrm{TA}(t) $ | (9) |
| $ \mathrm{K}(t)=\mathrm{TA}(t+1) \mathrm{TA}(t)^{-1} $ | (10) |
最后,通过式(10),求解K(t)。
因为在稀土标记后再混匀和破坏采样分别获得了两组稀土氧化物分布数据,通过式(9),计算得到对应的周转矩阵。
为了直观体现团聚体破碎和团聚的程度,引入破碎参数Bd(%)和团聚指数Bu(%),表示前后团聚体参与破碎和参与团聚的质量分数:
| $ {\text{Bd}} = \frac{{A\left( {t1} \right)\left( {a + d + f} \right) + B\left( {t1} \right)\left( {b + e} \right) + C\left( {t1} \right)c}}{{A\left( {t1} \right) + B\left( {t1} \right) + C\left( {t1} \right) + D\left( {t1} \right)}} $ | (11) |
| $ {\text{Bu}} = \frac{{D\left( {t1} \right)\left( {i + K + l} \right) + C\left( {t1} \right)\left( {h + j} \right) + B\left( {t1} \right)g}}{{A\left( {t1} \right) + B\left( {t1} \right) + C\left( {t1} \right) + D\left( {t1} \right)}} $ | (12) |
各级团聚体周转速率计算如下:
| $ \operatorname{Trate}(\mathrm{A})=(\mathrm{a}+\mathrm{d}+\mathrm{f}) / t $ | (13) |
| $ \operatorname{Trate}(\mathrm{B})=(\mathrm{g}+\mathrm{b}+\mathrm{e}) / t $ | (14) |
| $ \operatorname{Trate}(\mathrm{C})=(\mathrm{j}+\mathrm{h}+\mathrm{c}) / t $ | (15) |
| $ \operatorname{Trate}(\mathrm{D})=(1+\mathrm{k}+\mathrm{I}) / t $ | (16) |
式中,A为 > 2 mm团聚体,B为2~0.25 mm团聚体,C为0.25~0.053 mm团聚体,D为 < 0.053 mm团聚体;周转时间是周转速率的倒数。
1.6 数据分析采用Microsoft Excel 2019进行前处理、用SPSS 20.0统计分析软件利用单因素方差分析(One way-ANOVA)和Duncan法进行不同处理下不同指标之间的差异显著性检验(P < 0.05)。采用GraphPad Prism 8.0.2和Origin 2024进行作图,图表中数据为平均值±标准差。
2 结果 2.1 有机肥添加对土壤团聚体形成及稳定性的影响不同有机肥处理在紫色土和红壤上的团聚体湿筛分级和平均质量直径(MWD)如图 1、图 2所示。结果显示,添加有机肥在前7d快速促进了大团聚体(> 0.25 mm)的形成,提高了紫色土和红壤的MWD。总体上BO处理的MWD在紫色土和红壤上均显著高于其他两个处理(P < 0.05)。
|
注:CK表示对照,OF表示普通有机肥,BC表示生物质炭有机肥,BO表示生物有机肥;不同小写字母代表不同处理在培养56d时的差异显著。下同。 Note: CK represents control, OF represents ordinary organic fertilizer, BC represents biochar organic fertilizer, and BO represents bio-organic fertilizer. Different lowercase letters indicate significant differences among organic fertilizer treatments within a soil type and sampling time (P < 0.05). The same as below. 图 1 不同培养时间各处理团聚体稳定性 Fig. 1 Soil aggregate stability of four treatments at different incubation time |
|
图 2 不同培养时间各处理水稳性团聚体分布 Fig. 2 The distribution of water-stable aggregate of four treatments at different incubation time |
添加有机肥后,紫色土中 > 2 mm团聚体从0.61%增加至3.23%,红壤从1.76%增加至3.54%;紫色土中2~0.25 mm团聚体从14.26%增加至30.01%,红壤从30.18%增加至46.43%;紫色土中0.25~0.053 mm团聚体从44.46%降低至34.06%,红壤从32.00%降低至28.48%;紫色土中 < 0.053 mm团聚体从40.41%降低至30.69%;红壤从36.06%降低至21.56%。
各处理MWD在紫色土上表现为BO > BC > OF > CK,BC、BO和OF处理的MWD分别提高了92.86%、103.35%和77.23%;而在红壤上表现为BO处理最好,BC和OF处理之间无明显差异,各处理的MWD分别提高了43.34%、53.50%和43.26%。
2.2 有机肥添加对土壤团聚体周转路径的影响通过计算不同处理在紫色土和红壤上分级后稀土氧化物的回收率(表 4),发现湿筛对稀土氧化物的影响可以忽略不计。其回收率可达92.6%~103.9%,可以满足式(10)的计算要求。
|
|
表 4 不同土壤类型不同有机肥处理稀土氧化物的回收率 Table 4 The recovery rate of rare earth oxides in different soil types and different organic fertilizers |
本试验中,测定了培养前以及第56天的各粒级稀土氧化物的浓度,通过式(9)计算得到不同处理团聚体的周转矩阵,图 3为不同处理在紫色土和红壤上团聚体的迁移路径。
|
注:虚线表示团聚体破碎方向,实线表示团聚体形成方向,图中数据为均值±标准差。 Note: The dotted line indicates the direction of soil aggregate breakage, and the solid line indicates the direction of soil aggregate formation. Values are Mean ± Standard deviation. 图 3 不同有机肥处理在紫色土和红壤上各粒级团聚体的迁移路径 Fig. 3 The transformation routine of aggregate on purple soil and red soil with different organic fertilizer treatment |
总体上各处理团聚体在破碎和形成方向上,以相邻团聚体之间的转化更为强烈,而添加有机肥促进了 < 0.053 mm向2~0.25 mm团聚体的越级转化。总体上,BO处理在紫色土和红壤上大团聚体的形成量高于其他处理。
在形成方向上,BC处理0.25~0.053 mm→2~0.25 mm和 < 0.053 mm→2~0.25 mm在紫色土上的形成量分别为38.2%和42.2%,在红壤上分别为56.1%和67.4%;BO处理在紫色土上分别为49.1%和57.1%,在红壤上分别为61.7%和63.1%;OF处理在紫色土上分别为38.8%和36.5%,在红壤上分别为54.5%和28.6%。在 < 0.053 mm→0.25~0.053 mm形成方向上OF处理的形成量显著高于其他两个处理,在紫色土和红壤上分别为51.2%和42.5%。
根据矩阵各粒径迁移路径质量百分比和各粒级前后的百分数,代入式(11)和式(12),得到破碎指数Bd和团聚指数Bu,表示前后团聚体参与破碎和参与团聚的质量分数,直观地衡量该试验过程中团聚体的破碎和团聚能力。如表 5所示,各处理在紫色土和红壤上的破碎指数均表现为CK > OF > BC > BO,团聚指数表现为BO > BC > OF > CK。且各处理在紫色土上的破碎指数大于红壤,而红壤的团聚指数大于紫色土。
|
|
表 5 不同有机肥在紫色土和红壤上的团聚体破碎指数(Bd)和团聚指数(Bu) Table 5 Aggregate breakdown index (Bd) and build-up index (Bu) of different organic fertilizers on purple soil and red soil |
如图 4所示,经过56 d的培养,添加有机肥均显著降低了2~0.25 mm团聚体的周转速率(P < 0.05),提高了0.25~0.053 mm团聚体的周转速率。降低了红壤 > 2 mm团聚体的周转速率,增加了 < 0.053 mm团聚体的周转速率,而在紫色土上无显著变化。总体上,紫色土的总周转速率高于红壤,且紫色土大团聚体(> 0.25 mm)的周转速率高于小团聚体(< 0.25 mm)的周转速率,而在红壤上小团聚体(< 0.25 mm)的周转速率高于2~0.25 mm团聚体,但低于 > 2 mm团聚体的周转速率。
|
注:不同大写字母表示不同粒径之间差异显著,不同小写字母表示不同处理之间差异显著。 Note: Different capital letters represent the difference between different particle sizes, and different lowercase letters indicate significant differences among organic fertilizer treatments within a soil type (P < 0.05). 图 4 各级团聚体周转速率 Fig. 4 Turnover rate of the four aggregate fractions |
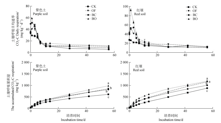
紫色土和红壤在不同有机肥处理下的土壤日呼吸速率和累积呼吸量的动态变化如图 5所示。添加有机肥均显著提高了紫色土和红壤的CO2释放速率,且不同处理CO2的释放趋势总体相同,均表现为前期土壤呼吸速率快,并在前三天达到最大值,后期土壤呼吸速率下降并趋于平稳状态。其中,BO处理在第一天就达到峰值,且显著高于其他处理。
|
注:不同小写字母代表不同处理在培养56d时差异显著。 Note: Different lowercase letters indicate significant differences among organic fertilizer treatments within a soil type and sampling time (P < 0.05). 图 5 不同处理下土壤日呼吸速率和累积呼吸量 Fig. 5 The daily CO2-C respiration under different treatments and accumulated CO2-C respiration |
经过56 d的培养,各处理的累积呼吸量(CO2-C)在紫色土上表现为:BO(985.3 mg·kg–1) > OF(858.6 mg·kg–1) > BC(823.3 mg·kg–1) > CK(613.5 mg·kg–1);在红壤上表现为BO(1 184 mg·kg–1) > OF(1 157 mg·kg–1) > BC(1 007 mg·kg–1) > CK(881 mg·kg–1)。与CK相比,添加有机肥显著提高了土壤的呼吸总量(P < 0.5)。总体上各处理在紫色土和红壤上表现一致,但累积呼吸量红壤高于紫色土。
2.5 有机肥添加对土壤有机碳分配的影响培养前,紫色土有机碳水平为6.63 g·kg–1,红壤有机碳水平为17.32 g·kg–1(表 1)。经过56 d培养试验后,与CK相比各处理均显著提高了紫色土和红壤的总有机碳含量(P < 0.05),总有机碳的变化规律均表现为BC > BO > OF > CK(图 6)。湿筛分级后各粒级有机碳含量在紫色土和红壤上均表现为 > 2 mm > 2~0.25 mm > < 0.053 mm > 0.25~0.053 mm,并在第7d达到最大值,后期碳水平下降趋于稳定状态。
|
图 6 不同培养时间不同处理各团聚体的有机碳含量 Fig. 6 The content of soil organic carbon during incubation time under four treatments |
与CK相比,各处理(OF、BC、BO)总有机碳含量在紫色土上分别提高了14.50%、27.78%、20.70%,在红壤上分别提高了6.40%、9.82%、6.48%。添加有机肥显著提高了 > 2 mm团聚体和2~0.25 mm团聚体的SOC含量(P < 0.05),在紫色土中,OF处理分别提高了19.04%和24.04%,BC处理分别提高了27.71%和47.22%,BO处理分别提高了19.27%和32.86%,;在红壤上BC处理分别提高了13.25%和12.17%,BO处理分别提高了10.55%和6.42%,OF处理分别提高了13.25%和5.97%。
2.6 影响团聚体稳定性和分布的关键影响因子如表 6所示,土壤类型、有机肥类型和培养时间对团聚体稳定性和各粒级团聚体分布均有显著影响。
|
|
表 6 重复测量方差分析土壤类型、有机物类型和培养时间对团聚体稳定性和分布的影响 Table 6 Repeated ANOVA testing for the main and interaction effects of two soil types, organic amendment (OF, BC and BO) and experimental duration (0-56 days) on soil aggregate stability (mean weight diameter, MWD) and aggregate proportions |
对不同土壤性质进行相关性分析(表 7),发现土壤呼吸与土壤有机碳和MWD呈显著正相关关系,土壤有机碳与MWD、> 2 mm团聚体和2~0.25 mm团聚体呈显著正相关性,而与0.25~0.053 mm团聚体和 < 0.053 mm团聚体呈显著负相关关系。
|
|
表 7 有机肥添加下不同土壤性质之间的相关性 Table 7 Correlation analysis of soil properties under organic fertilizer addition proportions |
本研究发现,等碳量添加有机肥可以显著提高土壤团聚体各粒级有机碳含量(图 6)。各处理在紫色土和红壤上均表现为大团聚体(> 0.25 mm)的有机碳含量高于小团聚体(< 0.25 mm),这是由于有机肥促进了大团聚体的形成(图 2),使得吸附在黏土矿物表面的碳(C)被包裹在大团聚体内部。因此,有机肥中的C优先在大团聚体中累积,且大团聚体为SOC提供了物理保护[24]。此外,各处理总有机碳含量均表现为BC > OF > BO > CK,这主要是由于在有机肥中添加生物质炭,可以直接或间接地向土壤输入外源碳并促进有机碳形成[25]。生物质炭由于本身含碳量高,且难分解[26],因此微生物可利用的碳源减少,土壤呼吸强度较OF和BO处理弱(图 5),显著提高了土壤有机碳含量(P < 0.05)。但是,在团聚体形成稳定结果中,各处理MWD在紫色土和红壤上却表现为BO > BC > OF > CK,表明生物有机肥较生物质炭有机肥更有利于团聚体的形成。虽然生物质炭本身可作为胶结物质将小团聚体胶结成大团聚体,但由于其属惰性固体材料,具有高度羧酸酯化和稳定的芳香化结构[27],较BO处理难以被微生物分解利用。而生物有机肥本身所含有活的微生物及较高含量的有机质和腐殖酸对于土壤中的团粒胶结有积极作用,以及生物有机肥可以提供土壤中微生物使用的养分,增强土壤微生物数量、活性及微生物群落结构,促进土壤矿质土粒的胶结,进而影响土壤中各粒级水稳性团聚体的数量、分配及其稳定性[28-29]。且不同有机肥在土壤中的腐解主要取决于有机肥本身的碳氮比(C/N)[26],BC处理的C/N较高(表 3),不易被微生物分解利用,对土壤团聚作用较BO处理小。除了有机碳外,许多研究还表明土壤微生物也是团聚体形成和稳定过程中重要的生物驱动因子,其分泌的胞外物质如胞外聚合物(Extracellular Polymeric Substances,EPS)等是团聚体形成过程中重要的胶结物质。EPS是微生物生长代谢中释放的高分子聚合物,可在矿物表面通过黏合作用促进团聚体形成[8]。本研究中,生物有机肥中含有的娄彻氏链霉菌和解淀粉芽孢杆菌均能产生大量的EPS[30-31],从而促进了土壤团聚体的形成和稳定。因此,施用生物有机肥在大团聚体形成和提高团聚体稳定性方面具有重要作用。
土壤团聚体的形成和稳定受土壤类型和有机肥共同影响(表 6),4种有机肥处理在紫色土中的 < 0.053 mm和0.25~0.053 mm团聚体比例高于红壤,而红壤中的2~0.25 mm和 > 2 mm团聚体比例高于紫色土,使得红壤的MWD高于紫色土。一方面可能是因为红壤本身含有更高的有机碳含量(表 1),进一步说明了有机碳作为土壤团聚体重要的胶结物质,促进了团聚体的形成与稳定。另一方面可能与红壤中含有更多的黏粒有关(表 1)。由于黏粒具有较大的比表面积,对SOC有较强的吸附能力[32],能与腐殖质等大分子有机物质形成较稳固的有机无机复合体,并抑制微生物活性减少其对SOC的分解[1]。相关性分析表明,MWD与有机碳含量呈正相关关系(表 7),因此团聚体的物理保护机制使得SOC既可以存在于团聚体内被保护,也可以使其本身充当胶结物质促进团聚体形成[33]。
3.2 不同类型有机肥对土壤团聚体周转的影响各处理在紫色土和红壤上的团聚体周转路径表明,添加有机肥促进了0.25~0.053 mm和 < 0.053 mm团聚体向2~0.25 mm和 > 2 mm团聚体的团聚,且团聚体总是倾向于向相邻一级的团聚体破碎和团聚(图 3)。值得注意的是,添加有机肥还促进了 < 0.053 mm团聚体向2~0.25 mm团聚体的越级转化,表明添加有机肥增加了团聚体的团聚能力。各处理在紫色土和红壤上的破碎指数(Bd)和团聚指数(Bu)(表 5),也说明添加有机肥能有效减少团聚体的破碎,提高团聚体的团聚能力,其中BO处理对团聚体的团聚能力更强,但BC和OF处理在红壤上的破碎指数和团聚指数无明显差异,这与MWD结果一致(图 1)。通过计算各粒级团聚体的总周转速率发现,有机肥添加后,降低了大团聚体的周转速率,提高了小团聚体的周转速率,周转速率的降低表明形成了更稳定的团聚体结构[34]。这与Liu等[35]的研究结果相似,可能是由于土壤样品在标记前被筛分为 < 5 mm,从而形成了不稳定的大团聚体,在后期易被破碎为 < 0.053 mm团聚体[36],而有机肥促进了大团聚体的形成,提高了MWD,使大团聚体的周转速率降低。BO处理的总周转速率高于其他处理,一方面是由于生物有机肥含有丰富的有机质和微生物,促进了大团聚体的形成,另一方面可能与有机肥的C/N有关。Rahman等[37]的研究表明,在整个培养期间,与高C/N的物料相比,低C/N的团聚体周转速率更高。本研究中BO处理的C/N(9.35)较BC(21.77)和OF(22.32)处理低,更容易被微生物分解,因此总周转速率较高。
此外,在紫色土中,大团聚体的周转速率显著高于小团聚体的周转速率(P < 0.05),主要是由于土壤有机碳在大团聚体中的分解导致了小团聚体的形成,表明紫色土中小团聚体较大团聚体更稳定[37]。然而,在红壤上却表现为小团聚体的周转速率高于2~0.25 mm团聚体的周转速率,但低于 > 2 mm团聚体(图 4)。Liu等[20]也发现,在第四纪红黏土和红砂岩发育的土壤中分别添加同质量的秸秆后,第四纪红黏土大团聚体周转速率高于小团聚体,而在红砂岩土壤中却表现为小团聚体周转速率高于大团聚体。这些相反的结果表明,不同土壤的初始SOC和质地可能是影响团聚体形成和破碎的关键因素。在本研究中,由于红壤较紫色土而言有更高的SOC含量(表 1),其作为土壤团聚体形成的重要胶结物质,使得小团聚体形成了更多的2~0.25 mm团聚体。此外,红壤中黏粒含量也高于紫色土(表 1),更有利于有机质和矿物颗粒结合形成大团聚体,增加团聚体结构的稳定性[1]。Plante等[38]的研究指出,质地较粗的砂土通常较壤土的团聚体周转速率快两到三倍。本研究中,紫色土中的砂粒含量(25.8%)高于红壤(20.6%)(表 1),也导致了紫色土团聚体的总周转速率高于红壤。以上有机质、黏粒和砂粒含量等原因综合导致了红壤小团聚体周转速率较高,而紫色土大团聚体周转速率较高。
4 结论本研究发现,团聚体的形成和稳定受土壤类型和有机肥共同影响。添加有机肥促进了 < 0.053 mm和0.25~0.053 mm水稳性团聚体向2~0.25 mm和 > 2 mm水稳性团聚体的团聚,提高了土壤团聚体的平均质量直径,其中生物有机肥的效果最佳。添加有机肥提高了土壤的呼吸速率,增加了紫色土和红壤的有机碳含量,其中生物质炭有机肥的提升效果最好,且红壤的有机碳含量高于紫色土。由于土壤团聚体的平均质量直径与土壤有机碳呈显著正相关关系,致使各处理在红壤上的MWD高于紫色土。在团聚体周转过程中,添加有机肥促进了 < 0.053 mm团聚体向2~0.25 mm团聚体的越级转化,并降低了大团聚体的周转速率,提高了小团聚体的周转速率,且紫色土的周转速率高于红壤。总体而言,添加有机肥可以提高土壤有机碳含量,促进团聚体的形成和稳定,其中生物质炭有机肥有利于土壤有机碳的固持,而生物有机肥更有利于提高水稳性大团聚体结构水平,增加土壤团聚体稳定性。
| [1] |
Liu Y L, Wang P, Wang J K. Formation and stability mechanism of soil aggregates: Progress and prospect (In Chinese)[J]. Acta Pedologica Sinica, 2023, 60(3): 627-643. DOI:10.11766/trxb202112180686 [刘亚龙, 王萍, 汪景宽. 土壤团聚体的形成和稳定机制: 研究进展与展望[J]. 土壤学报, 2023, 60(3): 627-643.]
( 0) |
| [2] |
Zhang Y, E S Z, Wang Y N, et al. Long-term manure application enhances the stability of aggregates and aggregate-associated carbon by regulating soil physicochemical characteristics[J]. Catena, 2021, 203: 105342.
( 0) |
| [3] |
Guo J H, Liu X J, Zhang Y, et al. Significant acidification in major Chinese croplands[J]. Science, 2010, 327(5968): 1008-1010.
( 0) |
| [4] |
Ye L P, Tan W F, Fang L C, et al. Spatial analysis of soil aggregate stability in a small catchment of the Loess Plateau, China: Ⅱ. Spatial prediction[J]. Soil and Tillage Research, 2019, 192: 1-11.
( 0) |
| [5] |
Feng H L, Han X Z, Lu X C, et al. Research progress on the formation and stability of soil aggregates by organic fertilization (In Chinese)[J]. Soils and Crops, 2023, 12(4): 393-400. [冯浩亮, 韩晓增, 陆欣春, 等. 有机培肥影响土壤团聚体形成与稳定的研究进展[J]. 土壤与作物, 2023, 12(4): 393-400.]
( 0) |
| [6] |
Li N, Han X Z, You M Y, et al. Research review on soil aggregates and microbes (In Chinese)[J]. Ecology and Environmental Sciences, 2013, 22(9): 1625-1632. [李娜, 韩晓增, 尤孟阳, 等. 土壤团聚体与微生物相互作用研究[J]. 生态环境学报, 2013, 22(9): 1625-1632.]
( 0) |
| [7] |
Six J, Elliott E T, Paustian K. Soil macroaggregate turnover and microaggregate formation: A mechanism for C sequestration under no-tillage agriculture[J]. Soil Biology and Biochemistry, 2000, 32(14): 2099-2103.
( 0) |
| [8] |
Tan W F, Xu Y, Shi Z H, et al. The formation process and stabilization mechanism of soil aggregates driven by binding materials (In Chinese)[J]. Acta Pedologica Sinica, 2023, 60(5): 1297-1308. DOI:10.11766/trxb202308060312 [谭文峰, 许运, 史志华, 等. 胶结物质驱动的土壤团聚体形成过程与稳定机制[J]. 土壤学报, 2023, 60(5): 1297-1308.]
( 0) |
| [9] |
Xiao L M, Zhang W, Hu P L, et al. The formation of large macroaggregates induces soil organic carbon sequestration in short-term cropland restoration in a typical Karst area[J]. Science of the Total Environment, 2021, 801: 149588.
( 0) |
| [10] |
Zhang J M, Chi F Q, Wei D, et al. Impacts of long-term fertilization on the molecular structure of humic acid and organic carbon content in soil aggregates in black soil[J]. Scientific Reports, 2019, 9(1): 11908.
( 0) |
| [11] |
Mäder P, Fliessbach A, Dubois D, et al. Soil fertility and biodiversity in organic farming[J]. Science, 2002, 296(5573): 1694-1697.
( 0) |
| [12] |
Li Y, Xu M, Xie Y H, et al. Effects of different modifiers on aggregates and organic carbon in acidic purple soil (In Chinese)[J]. Environmental Science, 2024, 45(2): 974-982. [李越, 徐曼, 谢永红, 等. 不同改良剂对酸性紫色土团聚体和有机碳的影响[J]. 环境科学, 2024, 45(2): 974-982.]
( 0) |
| [13] |
Jiang C L, He Y Q, Liu X L, et al. Effect of long-term application of organic manure on structure and stability of aggregate in upland red soil (In Chinese)[J]. Acta Pedologica Sinica, 2010, 47(4): 715-722. DOI:10.11766/trxb200806160418 [姜灿烂, 何园球, 刘晓利, 等. 长期施用有机肥对旱地红壤团聚体结构与稳定性的影响[J]. 土壤学报, 2010, 47(4): 715-722.]
( 0) |
| [14] |
Wang T, Yong J F, Lin Q M, et al. Improvement of water-stable aggregates by combination of biochar with organic fertilizer in greenhouse soil (In Chinese)[J]. Acta Agriculturae Boreali-Sinica, 2019, 34(S1): 176-182. [王彤, 雍继芳, 林启美, 等. 生物质炭与有机肥料配施可以促进设施菜地土壤水稳性团聚体形成[J]. 华北农学报, 2019, 34(S1): 176-182.]
( 0) |
| [15] |
Liu S H, Kong F L, Li Y, et al. Mineral-ions modified biochars enhance the stability of soil aggregate and soil carbon sequestration in a coastal wetland soil[J]. Catena, 2020, 193: 104618.
( 0) |
| [16] |
Ying J Y, Ruan Y F, Wu Q F, et al. Combined application of organic manure and biochar affects soil fertility and vegetable growth (In Chinese)[J]. Chinese Agricultural Science Bulletin, 2019, 35(16): 82-87. [应金耀, 阮弋飞, 邬奇峰, 等. 有机肥配施生物质炭对土壤肥力性状与蔬菜生长的影响[J]. 中国农学通报, 2019, 35(16): 82-87.]
( 0) |
| [17] |
Peng Y Y, Zhang H, Lian J S, et al. Combined application of organic fertilizer with microbial inoculum improved aggregate formation and salt leaching in a secondary salinized soil[J]. Plants, 2023, 12(16): 2945.
( 0) |
| [18] |
Zhu L X, Cao M M, Sang C C, et al. Trichoderma bio-fertilizer decreased C mineralization in aggregates on the southern North China plain[J]. Agriculture, 2022, 12(7): 1001.
( 0) |
| [19] |
Ren L J, Li J, Zou H T, et al. Effect of bio-organic fertilizer combined with chemical fertilizer on nutrient contents and soil aggregate distribution in greenhouse soil (In Chinese)[J]. Soils, 2023, 55(4): 756-763. [任立军, 李金, 邹洪涛, 等. 生物有机肥配施化肥对设施土壤养分含量及团聚体分布的影响[J]. 土壤, 2023, 55(4): 756-763.]
( 0) |
| [20] |
Liu S, Six J, Zhang H X, et al. Integrated aggregate turnover and soil organic carbon sequestration using rare earth oxides and 13C isotope as dual tracers[J]. Geoderma, 2023, 430: 116313.
( 0) |
| [21] |
Elliott E T, Coleman D C. Let the soil work for us[J]. Ecological Bulletins, 1988, 39: 23-32.
( 0) |
| [22] |
Peng X H, Zhu Q H, Zhang Z B, et al. Combined turnover of carbon and soil aggregates using rare earth oxides and isotopically labelled carbon as tracers[J]. Soil Biology and Biochemistry, 2017, 109: 81-94.
( 0) |
| [23] |
Wang P, Wang J D, Zhang H, et al. The role of iron oxides in the preservation of soil organic matter under long-term fertilization[J]. Journal of Soils and Sediments, 2019, 19(2): 588-598.
( 0) |
| [24] |
Liang Z Y. Effects of different organic amendments on soil aggregation and soil organic carbon sequestration and its mechanism in dryland farming areas of Loess Plateau[D]. Yangling, Shaanxi: Northwest A & F University, 2022.[梁志英. 培肥措施对黄土高原旱地土壤团聚化作用和有机碳固持的影响及机制[D]. 陕西杨凌: 西北农林科技大学, 2022.]
( 0) |
| [25] |
Yao J, Liu J X, Su Y, et al. Effects of combined application of tobacco stem biochar and nitrogen fertilizers on corn growth and soil properties in seeding stage (In Chinese)[J]. Journal of Agricultural Science and Technology, 2023, 25(3): 140-151. [姚佳, 刘加欣, 苏焱, 等. 烟杆炭配施氮肥对玉米苗期生长及土壤特性的影响[J]. 中国农业科技导报, 2023, 25(3): 140-151.]
( 0) |
| [26] |
Pan Y B, Zhu Q H, Peng X H. Effects of organic materials on soil aggregate stability in red soil (In Chinese)[J]. Journal of Soil and Water Conservation, 2017, 31(2): 209-214. [潘艳斌, 朱巧红, 彭新华. 有机物料对红壤团聚体稳定性的影响[J]. 水土保持学报, 2017, 31(2): 209-214.]
( 0) |
| [27] |
Wang F H, Huang R, Gao M, et al. Effect of combined application of biochar and straw on organic carbon content in purple soil aggregates (In Chinese)[J]. Acta Pedologica Sinica, 2019, 56(4): 929-939. DOI:10.11766/trxb201805020169 [王富华, 黄容, 高明, 等. 生物质炭与秸秆配施对紫色土团聚体中有机碳含量的影响[J]. 土壤学报, 2019, 56(4): 929-939.]
( 0) |
| [28] |
Liao C L, Li L N, Xie L H, et al. Effect of increased or decreased application of organic manure on aggregates stability and soil cement in red paddy soil (In Chinese)[J]. Acta Pedologica Sinica, 2021, 58(4): 978-988. DOI:10.11766/trxb201912040540 [廖超林, 黎丽娜, 谢丽华, 等. 增减施有机肥对红壤性水稻土团聚体稳定性及胶结物的影响[J]. 土壤学报, 2021, 58(4): 978-988.]
( 0) |
| [29] |
Singh S, Tripathi A, Maji D, et al. Evaluating the potential of combined inoculation of Trichoderma harzianum and Brevibacterium halotolerans for increased growth and oil yield in Mentha arvensis under greenhouse and field conditions[J]. Industrial Crops and Products, 2019, 131: 173-181.
( 0) |
| [30] |
Deka P, Goswami G, Das P, et al. Bacterial exopolysaccharide promotes acid tolerance in Bacillus amyloliquefaciens and improves soil aggregation[J]. Molecular Biology Reports, 2019, 46(1): 1079-1091.
( 0) |
| [31] |
Sun Y B, Wu H, Xu S S, et al. Roles of the EPS66A polysaccharide from Streptomyces sp. in inducing tobacco resistance to tobacco mosaic virus[J]. International Journal of Biological Macromolecules, 2022, 209(Pt A): 885-894.
( 0) |
| [32] |
Blanco-Moure N, Gracia R, Bielsa A C, et al. Soil organic matter fractions as affected by tillage and soil texture under semiarid Mediterranean conditions[J]. Soil and Tillage Research, 2016, 155: 381-389.
( 0) |
| [33] |
Six J, Bossuyt H, Degryze S, et al. A history of research on the link between (micro) aggregates, soil biota, and soil organic matter dynamics[J]. Soil and Tillage Research, 2004, 79(1): 7-31.
( 0) |
| [34] |
Tian S Z, Wang Y, Li N, et al. Effects of different tillage and straw systems on soil water-stable aggregate distribution and stability in the North China Plain (In Chinese)[J]. Acta Ecologica Sinica, 2013, 33(22): 7116-7124. [田慎重, 王瑜, 李娜, 等. 耕作方式和秸秆还田对华北地区农田土壤水稳性团聚体分布及稳定性的影响[J]. 生态学报, 2013, 33(22): 7116-7124.]
( 0) |
| [35] |
Liu L, Gunina A, Zhang F S, et al. Fungal necromass increases soil aggregation and organic matter chemical stability under improved cropland management and natural restoration[J]. Science of The Total Environment, 2023, 858: 159953.
( 0) |
| [36] |
Halder M, Liu S, Zhang Z B, et al. Effects of organic matter characteristics on soil aggregate turnover using rare earth oxides as tracers in a red clay soil[J]. Geoderma, 2022, 421: 115908.
( 0) |
| [37] |
Rahman M T, Liu S, Guo Z C, et al. Impacts of residue quality and N input on aggregate turnover using the combined 13C natural abundance and rare earth oxides as tracers[J]. Soil and Tillage Research, 2019, 189: 110-122.
( 0) |
| [38] |
Plante A F, Feng Y, McGill W B. A modeling approach to quantifying soil macroaggregate dynamics[J]. Canadian Journal of Soil Science, 2002, 82(2): 181-190.
( 0) |
2025, Vol. 62



0)