2. 华北水利水电大学数字孪生水利高等研究院, 郑州 450046
2. Advanced Research Institute for Digital-Twin Water Conservancy, North China University of Water Resources and Electric Power, Zhengzhou 450046, China
花生(Arachis hypogaea L.)在中国年均种植面积468万hm2以上,是我国种植面积第二大油料作物,年总产量超过了1 832万t,占全国油料作物总产量的49.8%,总产和单产居油料作物之首,对保障我国食用油安全具有重要意义[1]。由于种植花生具有良好的经济效益,使得我国花生种植面积越来越大,花生对我国种植业结构具有重要作用[2]。花生种植区域分布广泛,跨越我国南北34个纬度,东西58个经度[3],气候条件、地形及成土母质均有所差异,导致各主产区花生种植土壤养分存在一定的空间异质性。土壤养分是花生优质、高产、稳产的基础,掌握花生田土壤养分的丰缺状况是实施科学施肥、保障花生高产优质的前提条件。
通过1980s开展的全国第二次土壤普查和2005—2014年开展的测土配方施肥行动,基本摸清了我国主要农田土壤养分含量和分布状况[4-5]。然而,土壤养分状况受作物种植制度、施肥方式、作物养分吸收效率以及化肥减量增效行动、新型肥料推广、作物品种更新换代等多种因素的影响,在了解全国农田土壤养分状况的基础上,有针对性地分析不同典型作物的土壤养分丰缺状况,对指导作物合理施肥具有重要意义。关于花生种植土壤肥力丰缺状况开展了一些研究,如张静燕等[6]发现江西省花生主产区土壤pH总体呈酸性,有机质含量偏低,氮缺乏,而磷、钾含量丰富。沈云亭等[7]发现河南省花生产区土壤有机质、全氮含量缺乏,有效磷丰富,速效钾中等偏下水平。郭凯等[8]认为湖北襄阳市夏花生产区土壤pH中性,有机质、全氮、有效磷适量,碱解氮缺乏,速效钾丰富。董敬超[9]调查结果表明,辽宁阜新花生产区土壤pH主要偏酸性,有机质含量偏低,缺氮、少磷、钾不足,养分状况不良。上述研究表明,尽管在省、市(县)区域范围内,针对花生主产区土壤养分状况的评价已有少量报道,但在全国尺度上,关于花生土壤养分状况分析评价尚属空白。此外,我国花生生产还面临以下主要问题:一是,过去十年间,我国花生的种植面积、种植方式、品种、田间管理和产量水平等均发生了显著变化;二是当前花生生产中的养分管理环节仍存在诸多问题,过度依赖经验进行施肥,偏重化肥施用而忽视有机肥施用,导致养分供给不均衡与施肥精准性不足;三是不同花生产区土壤养分状况差异显著,养分分布不均衡,缺乏科学指导与精细化管理。因此,本研究依托国家花生产业技术体系,在我国花生典型种植区采集耕层土壤样品,摸清当前生产条件下全国尺度上花生种植土壤的养分丰缺状况,分析不同区域、起垄、种植模式和产量水平下土壤养分变化特征,探索当前花生生产中土壤养分的限制因素,可为我国花生种植区合理施肥提供理论依据和科学指导。
1 材料与方法 1.1 研究区概况中国花生种植区分布广泛,本研究依托国家花生产业技术体系25个综合试验站,在各综合试验站重点联系的主产县(市、区),选择代表性花生种植户的田块进行采样,共采集土壤样品1 020个,涵盖了我国17个花生种植省(市),包括东北区(吉林50个、辽宁101个)151个;黄淮海区(河北47个、河南96个、山东125个)268个;长江流域区(安徽50个、湖北92个、湖南42个、江苏50个、江西48个、四川50个)332个;南方区(福建53、广东50、广西50个、贵州50个、云南25个)228个;西北区(新疆维吾尔自治区41个)41个(图 1)。同时记录取样田块的经纬度,调查取样田块的花生产量、种植模式、起垄方式和覆膜方式等信息。
|
注:该图基于自然资源部标准地图服务网站下载的审图号为GS(2020)4630的标准地图制作,底图无修改,下同。 Note:The figure was drawn according to the standard map(No. GS(2020)4630)downloaded from the Standard Map Service website of the Ministry of Natural Resources. The base map was not modified. The same below. 图 1 土壤采样点分布 Fig. 1 Distribution of soil sampling sites |
2022年2—9月,在花生整地施肥播种前,选取当地有代表性的花生田,采用GPS定位,按“S”形5点采样法,采集花生田0~20 cm耕层土壤,挑出根系、秸秆、石块等杂物,5个点的土壤捏碎、充分混匀为一个土壤样品,保留2 kg,风干、过1 mm和0.149 mm筛,用于测定土壤养分含量。
土壤样品测定了能够较好反映土壤肥力水平的6大指标,包括pH、有机质(OM)、全氮(TN)、碱解氮(AN)、有效磷(AP)和速效钾(AK)含量。采用鲍士旦[10]常规分析方法进行测定,其中pH采用pH计测定(水土质量比2.5︰1),有机质采用重铬酸钾容量法—外加热法测定,全氮采用全自动凯氏定氮法测定,碱解氮采用碱解扩散法测定;中性和石灰性土壤有效磷采用0.5 mol·L–1 NaHCO3浸提—钼锑抗比色法测定,酸性土壤采用0.03 mol·L–1 NH4F-0.025 mol·L–1 HCl浸提—钼锑抗比色法测定;速效钾采用1 mol·L–1 NH4OAc浸提—火焰光度法测定。土壤类型和土壤质地栅格数据来源于国家科技基础条件平台-国家地球系统科学数据中心-土壤分中心(http://soil∙geodata∙cn)。
1.3 数据处理与分析参考前人研究[11-13]和全国第二次土壤普查的土壤养分含量分级标准,本研究将土壤酸碱度和养分指标丰缺情况划分为6个等级(表 1),其中pHI~Ⅵ级分别代表强碱性、碱性、中性、酸性、强酸性、极强酸性,土壤有机质、全氮、碱解氮、有效磷和速效钾含量Ⅰ~Ⅵ级分别代表极丰、丰、中等、稍缺、缺和极缺。
|
|
表 1 土壤pH及养分各指标分级标准 Table 1 Standards for classification of soil pH and nutrients |
采用R4.1.2软件对所有数据进行统计分析,在“psych”程序包中使用describe()函数对数据进行描述性统计分析,在“agricolae”程序包中使用单因素方差分析(One Way ANOVA)和多重比较(duncan.test方法)函数分别对不同耕作措施、种植方式和产量水平下花生种植土壤pH及养分含量数据进行方差分析和差异显著性检验(P<0.05),不同土壤类型和质地下pH和养分含量数据标准化按[x-mean(x)]/sd(x),其中x为原始数据,mean为平均值,sd为标准差。采用ArcMap 10.8制作土壤pH及养分空间分布图,采用OriginPro 2021绘制土壤pH和土壤养分丰缺状况等级比例图和雷达图。
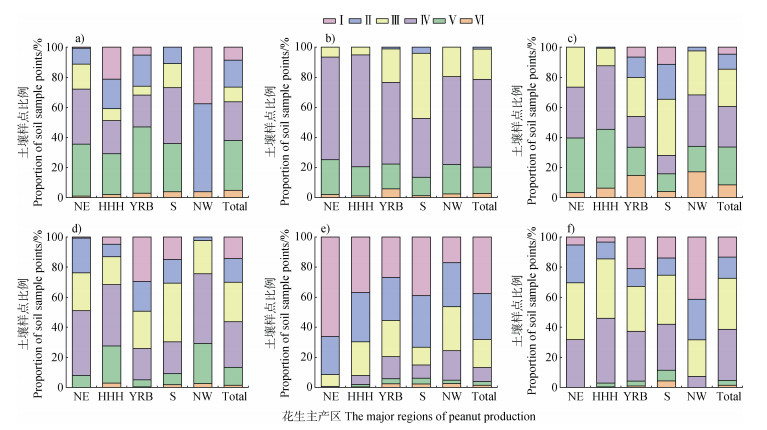
2 结果 2.1 我国花生典型种植区土壤pH状况及其空间分布我国花生典型种植区土壤pH平均为6.38,呈双峰型分布,范围在4.24~9.17,变异系数为21.16%(表 2,图 2a)。不同区域土壤pH存在差异,西北花生区土壤pH均值为8.42,呈碱性;黄淮海花生区土壤pH均值为6.75,呈中性;东北、长江流域、南方花生区土壤pH均值分别为6.01、6.21、6.07,呈酸性。图 3a为我国花生典型种植区土壤pH分级状况。整体而言,我国花生典型种植区土壤pH样点主要以Ⅳ(5.5~6.5)和Ⅴ(4.5~5.5)级为主,其所占比例分别为26.76%和34.31%。就不同区域而言,东北、长江流域和南方花生产区土壤pH样点主要以Ⅳ(酸性)和Ⅴ(强酸性)级水平居多,两个等级共占比例分别为70.86%、66.87%和71.93%;黄淮海花生产区土壤pH等级分布广泛,在Ⅰ(> 8.5)、Ⅱ(7.5~8.5)、Ⅳ(5.5~6.5)和Ⅴ(4.5~5.5)水平均有分布,土壤样点所占比例分别为26.87%、21.64%、19.40%和20.90%;西北花生产区土壤pH均集中在Ⅰ和Ⅱ级(> 7.5),两个等级土壤样点所占比例分别为60.98%和39.02%。我国花生产区在不同酸碱度土壤上均有分布,花生生长的碱性土壤主要分布在黄淮海的河南省和西北产区的新疆维吾尔自治区等地,而东北、长江流域和南方花生产区土壤主要呈酸性(图 4a)。
|
|
表 2 我国花生典型种植区土壤养分含量描述性统计 Table 2 Descriptive statistics of soil nutrient contents in the typical regions of peanut production in China |
|
图 2 土壤pH(a)及养分(b. 有机质,c. 全氮,d. 碱解氮,e. 有效磷,f. 速效钾)含量的直方图 Fig. 2 Histogram of soil pH(a)and nutrient content(b. organic matter, c. total nitrogen, d. alkaline nitrogen, e. available phosphorus, f. available potassium) |
|
注:Ⅰ~Ⅵ代表土壤pH、OM、TN、AN、AP、AK的分级级别(见表 1)。 Note:The grades Ⅰ to Ⅵ represent the classification levels of soil pH,OM,TN,AN,AP,and AK(Table 1). 图 3 我国花生典型种植区土壤pH(a)及养分(b. 有机质,c. 全氮,d. 碱解氮,e. 有效磷,f. 速效钾)丰缺状况 Fig. 3 Soil pH(a)and nutrients(b. organic matter, c. total nitrogen, d. alkaline nitrogen, e. available phosphorus, f. available potassium)deficiency status in typical peanut production regions in China |
|
注:图中数据为pH或养分平均值,括号内为变异系数。 Note:Data on the map means the average of the pH,nutrients,and their coefficient of variation in the brackets. 图 4 我国花生典型种植区土壤pH(a)及养分(b. 有机质,c. 全氮,d. 碱解氮,e. 有效磷,f. 速效钾)空间分布 Fig. 4 Distribution of soil pH(a)and nutrients(b. organic matter, c. total nitrogen, d. alkaline nitrogen, e. available phosphorus, f. available potassium)content in typical peanut production regions in China |
我国花生典型种植区土壤有机质平均为15.15 g·kg–1,呈单峰型正态分布,范围在3.04~34.46 g·kg–1,变异系数为39.14%(表 2,图 2b)。不同区域土壤有机质存在差异,南方花生产区有机质含量最高,均值为18.52 g·kg–1,其次是长江流域(15.32 g·kg–1)、西北(14.70 g·kg–1)和黄淮海(13.26 g·kg–1)花生产区,东北花生产区最低(13.17 g·kg–1)。图 3b、图 4b为我国花生典型种植区土壤OM分级状况和分布状况。整体而言,我国花生典型种植区土壤OM等级分布主要在Ⅲ级~Ⅴ级,土壤OM丰富、中等和缺乏的比例分别占1.27%、20.10%和78.62%,说明我国花生种植区土壤有机质含量主要处于偏低水平。就不同区域而言,东北产区有机质含量缺乏的比例占93.38%,中等占6.62%,辽宁省的有机质含量高于吉林省,为11.87 g·kg–1;黄淮海产区有机质含量缺乏(< 20 g·kg–1)的比例占94.78%,中等(20~30 g·kg–1)占5.22%,不同省份中河南省(12.18 g·kg–1)有机质含量较低;长江流域产区有机质含量缺乏的比例76.51%,中等占22.29%,丰富(> 30 g·kg–1)仅占1.20%,不同省份中土壤有机质含量以湖南省(21.48 g·kg–1)最高,四川省(9.85 g·kg–1)最低;南方产区有机质含量缺乏的比例占52.63%,中等占43.42%,丰富占3.95%,不同省份中土壤有机质含量以云南省(26.28 g·kg–1)最高,贵州省(15.62 g·kg–1)最低;西北产区有机质含量缺乏的比例占80.49%,中等占19.51%,不存在土壤有机质丰富含量的样点。可见,东北和黄淮海产区有机质缺乏比例明显高于西北、长江流域和南方产区。
2.3 我国花生典型种植区土壤全氮含量及其空间分布我国花生典型种植区土壤全氮含量平均为1.01 g·kg–1,呈单峰型正态分布,范围在0.12~3.42 g·kg–1,变异系数为47.52%(表 2,图 2c)。不同区域土壤全氮含量存在差异,南方花生产区全氮含量最高,均值为1.35 g·kg–1,其次是长江流域(1.06 g·kg–1)、西北(0.85 g·kg–1)和东北(0.84 g·kg–1)花生区,黄淮海(0.78 g·kg–1)花生区最低。图 3c、图 4c为我国花生典型种植区土壤TN分级和分布状况。整体而言,我国花生典型种植区土壤TN等级主要分布在Ⅲ级~Ⅴ级,土壤TN含量丰富、中等和缺乏的比例分别占14.61%、24.90%和60.49%,可见,我国花生种植区土壤全氮含量主要处在中等偏下水平。就不同区域而言,东北产区全氮含量缺乏的比例占73.51%,中等占26.49%,辽宁省(0.79 g·kg–1)和吉林省土壤全氮含量(0.95 g·kg–1)均较低;黄淮海产区全氮含量缺乏的比例占87.68%,中等占11.57%,河南省、山东省和河北省土壤全氮含量均较低,范围为0.76~0.79 g·kg–1;长江流域产区全氮含量缺乏的比例占53.92%,中等占25.90%,丰富占20.18%,不同省份中土壤全氮含量以湖南省(1.98 g·kg–1)最高,四川省(0.79 g·kg–1)最低;南方产区全氮含量缺乏的比例占28.07%,中等占37.28%,丰富占34.65%,不同省份中土壤全氮含量以云南省(1.58 g·kg–1)最高,广东省(0.95 g·kg–1)最低;西北产区全氮含量缺乏的比例占68.29%,中等占29.27%,丰富仅占2.44%。可见,黄淮海、东北和西北产区有机质缺乏比例明显高于长江流域和南方产区。
2.4 我国花生典型种植区土壤碱解氮含量及其空间分布我国花生典型种植区土壤碱解氮含量平均为104.49 mg·kg–1,呈单峰型正态分布,范围在7.30~339.76 mg·kg–1,变异系数为44.63%(表 2,图 2d)。不同区域土壤碱解氮含量存在差异,长江流域花生产区土壤碱解氮含量最高,均值为128.97 mg·kg–1,其次是南方(109.91 mg·kg–1)、东北(94.77 g·kg–1)和黄淮海(80.16 g·kg–1)花生产区,西北(70.88 mg·kg–1)花生产区最低。图 3d、图 4d为我国花生典型种植区土壤AN分级和空间分布状况。整体而言,我国花生典型种植区土壤AN等级在Ⅰ级~Ⅵ级均有分布,丰富、中等和缺乏的比例分别占30.00%、26.27%和43.73%。就不同区域而言,东北产区土壤碱解氮缺乏的比例占56.25%,中等占24.48%,丰富占19.27%,吉林省碱解氮含量(98.80 mg·kg–1)高于辽宁省(93.17 mg·kg–1);黄淮海产区土壤碱解氮含量缺乏的比例占68.28%,中等占18.66%,丰富占13.06%,不同省份中土壤碱解氮含量以山东省(100.49 mg·kg–1)最高,河南省(59.99 mg·kg–1)最低;长江流域产区土壤碱解氮含量缺乏的比例25.90%,中等占24.70%,丰富占49.40%,不同省份中土壤碱解氮含量以江苏省(162.30 mg·kg–1)最高,四川省(100.14 mg·kg–1)最低;南方产区土壤碱解氮含量缺乏的比例占30.26%,中等占比39.04%,丰富占30.70%,云南、广西、广东、福建4个省份土壤碱解氮含量相近,分布范围为102.18~105.6 mg·kg–1;西北产区土壤碱解氮含量缺乏的比例占75.61%,中等占21.95%,丰富占2.44%。可见,长江流域和南方花生区土壤碱解氮中等偏上比例高于东北、黄淮海和西北花生产区。
2.5 我国花生典型种植区土壤有效磷含量及其空间分布我国花生典型种植区土壤有效磷含量平均为39.76 mg·kg–1,呈偏态型分布,范围在1.34~147.46 mg·kg–1,变异系数为78.24%(表 2,图 2e)。不同区域土壤有效磷含量存在差异,东北花生产区有效磷含量最高,均值为62.22 mg·kg–1,其次是黄淮海(39.36 mg·kg–1)、南方(38.43 mg·kg–1)和长江流域(32.64 mg·kg–1)花生产区,西北(24.69 mg·kg–1)花生产区最低。图 3e、图 4e为我国花生典型种植区土壤AP分级和空间分布状况。整体而言,我国花生典型种植区土壤AP等级主要分布在Ⅰ级~Ⅲ级,土壤有效磷丰富、中等和缺乏的比例分别占68.14%、18.73%和13.14%。就不同区域而言,东北产区有效磷含量缺乏的比例占0.66%,中等占7.95%,丰富占91.39%,以辽宁省最高,吉林省最低;黄淮海产区有效磷含量缺乏的比例占7.83%,中等占22.39%,丰富占69.78%,不同省份中土壤有效磷含量以河北省(50.84 mg·kg–1)最高,河南省(33.17 mg·kg–1)最低;长江流域产区有效磷含量缺乏的比例占20.48%,中等占比24.10%,丰富占55.42%,不同省份中土壤有效磷含量以江西省(55.51 mg·kg–1)最高,四川省(13.41 mg·kg–1)最低;南方产区有效磷含量缺乏的比例占14.91%,中等占11.84%,丰富占73.25%,不同省份中土壤有效磷含量以福建省(54.68 mg·kg–1)最高,云南省(15.45 mg·kg–1)最低;西北产区有效磷含量缺乏的比例占24.39%,中等占29.27%,丰富占46.34%。可见,东北、黄淮海花生产区土壤有效磷中等偏上比例高于长江流域、南方和西北花生产区。
2.6 我国花生典型种植区土壤速效钾含量及其空间分布我国花生典型种植区土壤速效钾含量平均为126.71 mg·kg–1,呈单峰型正态分布,范围在9.30~328.47 mg·kg–1,变异系数为47.49%(表 2,图 2f)。不同区域土壤速效钾含量存在差异,西北花生产区速效钾含量最高,均值为186.51 mg·kg–1,其次是长江流域(134.88 mg·kg–1)、东北(127.44 mg·kg–1)和南方(124.38 mg·kg–1)花生产区,黄淮海(109.02 mg·kg–1)花生产区最低。图 3f、图 4f为我国花生典型种植区土壤AK分级和空间分布状况。整体而言,我国花生典型种植区土壤AK等级主要分布在Ⅲ级和Ⅳ级,土壤速效钾丰富、中等和缺乏的比例分别占27.45%、33.92%和38.63%。说明我国花生种植区有61.37%的样点土壤速效钾处在中等偏上水平。就不同区域而言,东北产区速效钾含量缺乏比例占31.79%,中等占37.75%,丰富占30.46%,吉林省(160.62 mg·kg–1)土壤速效钾含量高于辽宁省(111.02 mg·kg–1);黄淮海产区土壤速效钾含量缺乏比例占45.90%,中等占39.55%,丰富占14.55%,不同省份中土壤速效钾含量河南省(116.92 mg·kg–1)最高,河北省(100.66 mg·kg–1)最低;长江流域产区速效钾含量缺乏比例占37.35%,中等占29.82%,丰富占32.83%,不同省份中土壤速效钾含量安徽省(210.17 mg·kg–1)最高,江西省(91.56 mg·kg–1)最低;南方产区速效钾含量缺乏比例占42.10%,中等占32.46%,丰富占25.44%,不同省份中土壤速效钾含量广西省(155.95 mg·kg–1)最高,广东省(61.77 mg·kg–1)最低;西北产区速效钾含量缺乏比例占7.32%,中等占24.39%,丰富占68.29%。可见,西北产区土壤速效钾中等偏上的比例明显高于东北、长江流域、南方和黄淮海产区。
2.7 不同种植模式和产量水平下花生土壤pH和养分含量状况不同种植方式和产量水平下花生种植土壤的养分特征(表 3)可以看出,不同起垄方式影响养分含量,起垄种植土壤的碱解氮和有效磷含量显著高于平作,但其pH、速效钾和全氮含量显著低于平作。不同种植方式也会影响土壤养分含量变化,夏播花生种植土壤的有机质、碱解氮、速效钾和全氮含量显著高于春播和麦套花生种植土壤,但其pH值显著低于麦套种植土壤。产量水平影响土壤养分含量,高产地块(≥4500 kg·hm–2)土壤pH、碱解氮、有效磷含量高于低产地块(3 000 kg·hm–2),但其速效钾和全氮含量较低产地块低。
|
|
表 3 不同耕作措施、种植方式和产量水平下花生种植土壤pH及养分含量 Table 3 Soil pH and nutrient content of peanuts under different tillage practices, planting modes, and yield level |
不同土壤类型土壤pH存在明显差异,灰钙土和潮土的pH在7.5~8.5,呈碱性,风沙土、黑钙土和紫色土土壤pH呈中性,砖红壤、黄褐土、黄棕壤、棕壤土壤pH在5.5以下,呈强酸性,其他土类的土壤pH在5.5~6.5,呈酸性。各土类的土壤OM含量相比,黄壤土壤有机质含量最高,为21.08 g·kg–1,其他土类的土壤有机质含量在10~20 g·kg–1,有机质含量稍缺。各土类的TN含量相比,以石灰岩土(2.17 g·kg–1)极丰富;黄壤(1.62 g·kg–1)丰富;红壤、砂姜黑土、黄褐土、赤红壤、水稻土和砖红壤全氮含量在1.0~1.5 g·kg–1,全氮含量中等;黄棕壤和风沙土全氮含量小于0.75 g·kg–1,全氮含量缺乏。就各土类的AN含量而言,砂姜黑土、黄褐土和石灰岩土的AN含量高于150 mg·kg–1,AN含量极丰富;风沙土、褐土、灰钙土和潮土AN含量小于90 mg·kg–1,AN含量缺乏;其他土壤类型AN含量在90~120 mg·kg–1,AN含量中等。各土类的AP含量均处于中等偏上水平,其中黄壤、石灰(岩)土、紫色土AP含量在10~20 mg·kg–1,属有效磷含量中等土壤;其他土类有效磷含量均大于20 mg·kg–1,达丰富或极丰富水平。砖红壤AK含量小于100 mg·kg–1,速效钾含量缺乏;风沙土、黑钙土、黄褐土、灰钙土、砂姜黑土、石灰(岩)土AK含量在150~200 mg·kg–1,速效钾含量丰富;其他土类AK含量中等(图 5a)。
|
注:不同土壤类型和质地的pH和养分含量数据按[x-mean(x)]/sd(x)进行中心标准化后作图。 Note:Data on pH and nutrient content of different soil types and textures were plotted after z-score normalization by [x-mean(x)]/sd(x). 图 5 不同土壤类型(a)和土壤质地(b)下花生种植土壤养分含量 Fig. 5 Soil nutrient content of peanuts under different soil types(a)and soil textures(b) |
花生产区土壤质地共涉及粉壤、粉黏壤、壤土、砂壤、黏壤和黏土6种,不同土质土壤pH和养分含量间也存在明显差异。土壤pH以粉壤最高,壤土次之,黏壤和粉黏壤最低;土壤OM含量以粉黏壤最高,黏壤次之,粉壤最低;土壤TN和AN含量以粉黏壤、黏壤和黏土高于粉壤、壤土和砂壤;土壤AP以砂壤最高,粉壤、黏壤、壤土次之,粉黏壤和黏土较低;土壤AK含量以黏土最高,黏壤次之,砂土最低(图 5b)。
3 讨论 3.1 我国花生主产区土壤养分丰缺状况及施肥建议摸清主要作物种植土壤的肥力现状,对于合理施肥提高作物产量具有重要作用[14]。赵晴月等[15]研究发现,中国玉米主产区土壤pH介于5.1~7.9,均值为6.8,变异系数为12.7%。任涛等[11]研究发现,我国冬油菜种植区pH介于4.26~8.26,均值为6.04,变异系数为19.3%。本研究表明,我国花生典型种植区土壤pH介于4.24~9.17,平均值为6.38,变异系数为21.16%(表 2)。可见,我国花生典型种植区土壤pH高于冬油菜典型种植区,低于我国玉米主产区,这一方面是由于冬油菜主要种植在我国长江流域,玉米主要在长江流域以北,与成土母质有关;另一方面是花生氮循环过程和K+、Ca2+、Mg2+等盐基离子吸收不同于油菜和花生,导致其产酸量小于油菜,高于玉米[16]。花生对土壤pH适应性强,在碱性、酸性和中性土壤上均可种植,不同区域之间土壤pH差异较大,其中西北花生产区土壤pH呈碱性,黄淮海花生产区呈中性,东北、长江流域、南方花生产区土壤pH呈酸性,其可能原因在于长江中下游区和南方区降水量大,较高的降水量使土壤胶体上的代换性盐基大量淋失,氢离子取而代之,土壤酸度较低;东北产区降水集中、促进硅酸盐母质水解,干旱期则加剧盐基离子(Ca2+、Mg2+)流失,加上花岗岩等酸性母岩风化释放水解酸(H+、Al3+),形成酸性土壤[17];而西北区和黄淮海区干燥少雨,多为中性或碱性土壤。
土壤有机质是土壤养分的储藏库,其动态变化影响着土壤水盐运动状况和肥力特性[18-19]。我国花生典型种植区土壤有机质含量为15.15 g·kg–1,远低于测土配方施肥土壤基础养分数据集(2005—2014)结果24.65 g·kg–1[5],这表明我国花生产区土壤有机质含量普遍缺乏,这一方面由于我国花生大部分种植在土壤贫瘠的中低产田土壤上,另一方面与我国传统的土壤清耕管理、不施或少施有机肥有关[20]。因此,在我国花生典型种植区,应增施农家肥和秸秆还田以提高土壤有机质含量。杨帆等[21]研究指出秸秆还田是我国大部分地区土壤有机质含量增加的最主要原因。受水热条件和成土母质的影响[22-23],本研究表明我国花生种植区土壤有机质呈现显著空间分异特征(图 4b),其中南方产区土壤有机质含量最高,长江中下游产区次之,东北、西北和黄淮海产区土壤有机质含量整体处于较低水平。这种空间异质性成因可从环境条件与人为管理两方面解析:一是,南方产区降水充沛,且土壤黏粒含量高,可加速有机肥与秸秆的腐殖化进程,促进有机质的吸附和固定;长江中下游产区虽维持有机物料投入,但降水强度减弱导致腐解速率降低;而东北、西北和黄淮海产区花生主要种植在干旱少雨的风沙土上,不利于有机物料的腐解[3];二是,调研结果发现,不同产区有机肥施用比例差异很大,南方产区有机肥施用户占比达22.4%,而东北产区仅2.0%(表 4),这进一步解释了施肥差异对区域有机质变化的短期调控效应。基于上述原因,针对土壤有机质偏低的东北区和黄淮海产区,有必要强化政策引导与技术推广,通过提升有机肥施用比例来改善耕层土壤结构,从而增强土壤保水蓄肥能力。
|
|
表 4 我国花生典型种植区有机肥施用情况 Table 4 Organic fertilizer application status in the typical regions of peanut production in China |
土壤全氮、碱解氮、有效磷和速效钾是反映土壤供肥能力的重要指标。本研究结果显示,我国花生主产区耕层土壤全氮平均含量为1.01 g·kg–1,85.39%的样本处于中低等级水平(表 2,图 3c)。该结果与土壤有机质密切相关,已有研究证实区域尺度上土壤全氮的变异性约有50%可被土壤有机碳解释[24]。本研究也发现,土壤全氮含量区域分布差异与土壤有机质较为一致,表现为南方花生区最高,其次是长江流域,西北、东北和黄淮海花生区较低(表 2)。各区域氮肥推荐用量与土壤供氮能力密切相关,南方花生种植区土壤有机质含量高、供氮能力强,可适当降低氮肥投入量;而西北、东北和黄淮海花生产区土壤有机质与氮含量偏低,可适当增加有机肥施用量,从而通过优化施氮量来提高作物氮肥利用率和产量。施用磷肥可显著增加土壤有效磷含量,1980—2007年,我国土壤有效磷含量从7.4 mg·kg–1增至24.7 mg·kg–1,上升了17.3 mg·kg–1[25],因此,如何提高磷肥利用率是当前我国亟需解决的重要问题。本研究发现,我国花生典型种植区土壤有效磷为39.76 mg·kg–1,86.87%以上的土壤处于中等丰富水平(表 2,图 3e),这与过量施用磷肥及复合肥的带入有关。各花生产区土壤有效磷含量也达到丰富水平,尤其是东北花生区(表 2)。因此,在花生生产中应适当减少化学磷肥的投入,以提高磷肥利用率,降低土壤有效磷的积累及土壤磷素对环境的风险[26]。
我国花生典型种植区土壤速效钾含量为126.71 mg·kg–1,略高于测土配方施肥土壤基础养分数据集(2005—2014)全国速效钾含量120.6 mg·kg–1[5],但土壤速效钾缺乏的比例仍高达38.63%(图 3f)。因此,在推行秸秆还田,提高土壤钾素肥力的同时,仍应针对土壤速效钾含量状况,在速效钾含量缺乏的地区适当施用钾肥,尤其是在花生产量不断提高的情况下,合理施用化学钾肥对花生优质高产具有重要作用[27-28]。花生产区土壤速效钾含量区域差异明显,其中西北产区最高(186 mg·kg–1),长江流域、东北和南方地区次之(124.38~134.88 mg·kg–1),黄淮海产区最低,但仍维持100 mg·kg–1以上(表 2)。值得注意的是,柳开楼等[29]研究发现全国及各区域旱作耕地的土壤速效钾含量均超过100 mg·kg–1,且普遍高于本研究结果。其原因可能源于两方面因素:一是柳开楼等[29]研究数据源自实施标准化施肥管理的全国耕地质量监测平台,该监测平台通过长期农作物秸秆还田提升了土壤钾素积累;二是,本研究区域花生秸秆多被移出农田作为饲料利用,导致外源钾补给不足,最终造成土壤速效钾水平相对偏低。本研究中黄淮海花生产区的土壤速效钾含量低于其他几个花生产区(表 2),其原因可能是该产区花生主要种植在砂质土壤上,土壤保肥性差,钾素淋洗和流失较多。
3.2 我国花生主产区土壤养分丰缺状况的影响因子不同种植方式显著影响土壤肥力特征,张晗等[30]通过分析16 582个农田耕层土壤样品数据发现,水旱轮作土壤有机碳和TN含量高于旱作,而旱作土壤全磷含量则高于水旱轮作。本研究将花生种植方式按整地方法划分为平作和起垄2种,按播种时期划分为春播、夏播和麦套3种,发现花生起垄种植土壤的碱解氮和有效磷含量显著高于平作(表 3),这与以往研究结果[31-32]一致:垄作较平作能够降低土壤紧实度和硬度,有效提高土壤肥力状况。有研究表明春播和麦套种植可通过优化土壤结构,增加细菌和放线菌数量,提高土壤微生物生物量碳及土壤呼吸速率,改善土壤微环境,促进土壤养分分解和有效化[32],但本研究发现,夏播花生种植土壤的有机质、碱解氮、速效钾和全氮含量显著高于春播和麦套花生种植土壤(表 3),这可能是由于春播、麦套花生产量显著高于夏播花生[33],植株从土壤中吸收带走了较多的养分。产量水平影响土壤养分含量,本研究中有机质、全氮和速效钾含量较低的地块作物产量较高(表 3),这可能与种植花生品种养分需求量低、土壤结构良好、土壤水热条件适宜以及土壤养分元素协调性较好等因素有关。土壤养分含量受土壤质地影响,砂质土的养分少,通气性好,有机质易分解,保肥性弱;黏质土含矿质养分丰富,缓效或无效养分多,通气性差,有机质易积累,保肥性强。有研究认为,土壤质地越重,其有效磷和速效钾含量越高[11,34]。本研究结果发现,砂质和壤土质地组相比,黏壤和黏土质地组的pH较低,有机质和全氮含量较高,碱解氮、速效钾含量较高,但有效磷含量较低(图 5),这可能是由于黏壤和黏土质地组的土壤黏粒含量较高,黏粒对带正电荷的离子态养分(如NH4+、K+)有强大的吸附能力,保肥性较好,使其不致被雨水和灌溉水淋洗损失,这与以往研究结果[34]不完全一致,可能原因在于本研究是基于全国尺度上开展的研究,黏质土壤多分布在酸性较强的我国南方地区,土壤中铁离子和铝离子活性较高,易与磷酸根和亚磷酸离子形成难溶性铁磷酸盐(Fe-P)和铝磷酸盐(Al-P)。综上所述,我国不同花生产区土壤养分受产量水平、土壤质地、耕作及种植方式等多因素的影响,因此,在制定不同花生产区的施肥策略时,除考虑土壤养分含量外,还应综合考虑现实产量、高产需求、需肥特性、种植方式(水旱轮作、旱作等)以及气候、地形等因素。单一的土壤养分有机质或氮、磷、钾等指标不能充分反映土壤综合肥力状况,未来还需根据土壤物理、化学和生物学指标,结合花生的需肥特性、产量水平等因素,采用模糊综合评价法、主成分分析法等[35-36]多指标评价方法开展区域土壤肥力综合评价研究,以构建花生种植土壤新的肥力分级标准,为花生精准施肥提供更科学的指导。
4 结论中国花生主产区耕层土壤pH范围为4.24~9.17,平均为6.38,黄淮海和西北产区偏碱性,东北、长江流域和南方花生产区偏酸性。土壤有机质含量平均为15.15 g·kg–1,有机质缺乏的样点比例为78.62%,花生生产应增加有机肥的施用。我国花生主产区土壤全氮、碱解氮含量平均分别为1.01 g·kg–1、104.49 mg·kg–1,全氮和碱解氮缺乏的样点比例分别为60.49%和43.72%。东北、黄淮海和西北花生区碱解氮缺乏比例高,花生生产应适量增加氮用量;长江流域和南方花生产区土壤碱解氮较为丰富,应控制氮肥投入,以提高氮素利用率并减少环境污染。我国花生典型种植区土壤有效磷平均为39.76 mg·kg–1,86.87%以上的土壤处于中等丰富水平,花生生产中应严格控制磷肥投入,以提高磷肥利用率,减少土壤磷素的环境风险。西北产区速效钾含量较丰富,建议合理控施钾肥,东北、长江流域、南方和黄淮海产区土壤钾素丰缺状况差异较大,建议根据土壤钾素状况进行钾肥管理。
致谢 诚挚地感谢国家花生产业体系25个综合试验站站长及其团队科研人员在调研信息收集及取样过程中给予的大力支持与帮助。
| [1] |
National Bureau of Statistics of the People's Republic of China. Statistical yearbook of China 2002(No. 21) (In Chinese). Beijing: China Statistics Press, 2002. [中华人民共和国国家统计局. 中国统计年鉴2002(总第21期)[M]. 北京: 中国统计出版社, 2002.]
( 0) |
| [2] |
Liao B S. A review on progress and prospects of peanut industry in China (In Chinese)[J]. Chinese Journal of Oil Crop Sciences, 2020, 42(2): 161-166. [廖伯寿. 我国花生生产发展现状与潜力分析[J]. 中国油料作物学报, 2020, 42(2): 161-166.]
( 0) |
| [3] |
Yang L P, Guo H H, Zhu Z L, et al. Ecological suitability evaluation of peanut plantation in China (In Chinese)[J]. Chinese Journal of Oil Crop Sciences, 2019, 41(3): 461-468. [杨丽萍, 郭洪海, 朱振林, 等. 中国花生生态适宜性评价研究[J]. 中国油料作物学报, 2019, 41(3): 461-468.]
( 0) |
| [4] |
National Soil Survey Office. China soil (In Chinese). Beijing: China Agriculture Press, 1998. [全国土壤普查办公室. 中国土壤[M]. 北京: 中国农业出版社, 1998.]
( 0) |
| [5] |
National Agricultural Technical Extension and Service Center. Data set of soil basic nutrients for formula fertilization by soil testing: 2005—2014 (In Chinese). Beijing: China Agriculture Press, 2015. [全国农业技术推广服务中心. 测土配方施肥土壤基础养分数据集: 2005—2014[M]. 北京: 中国农业出版社, 2015.]
( 0) |
| [6] |
Zhang J Y, Fan C G, Rao W P, et al. Investigation and evaluation of soil nutrients in main peanut producing areas of Jiangxi Province (In Chinese)[J]. Acta Agriculturae Jiangxi, 2023, 35(5): 41-44. [张静燕, 范呈根, 饶文平, 等. 江西省花生主产区土壤养分状况调查评价研究[J]. 江西农业学报, 2023, 35(5): 41-44.]
( 0) |
| [7] |
Shen Y T, Suo Y Y, Zhang X, et al. Evaluation of soil nutrient status and suggestions for fertilization in main peanut production areas of Henan Province (In Chinese)[J]. Journal of Henan Agricultural Sciences, 2019, 48(9): 67-73. [沈云亭, 索炎炎, 张翔, 等. 河南省花生主产区土壤养分状况评价及施肥改进建议[J]. 河南农业科学, 2019, 48(9): 67-73.]
( 0) |
| [8] |
Guo K, Li H M, Jiang X G, et al. Soil fertility evaluation in Xiangyang summer peanut area based on ArcGIS and fuzzy mathematical method (In Chinese)[J]. Journal of Peanut Science, 2022, 51(4): 60-69. [郭凯, 李红梅, 蒋相国, 等. 基于ArcGIS和模糊数学法的夏花生产区土壤肥力评价——以襄阳市为例[J]. 花生学报, 2022, 51(4): 60-69.]
( 0) |
| [9] |
Dong J C. Research on soil nutrient status survey and formula fertilization of peanut in Fuxin Region of Liaoning Province (In Chinese)[J]. Horticulture & Seed, 2016, 36(2): 64-67. [董敬超. 辽宁省阜新地区土壤养分状况调查与花生配方施肥研究[J]. 园艺与种苗, 2016, 36(2): 64-67.]
( 0) |
| [10] |
Bao S D. Soil and agricultural chemistry analysis (In Chinese). 3rd ed[M]. Beijing: China Agriculture Press, 2000. [鲍士旦. 土壤农化分析[M]. 3版. 北京: 中国农业出版社, 2000.]
( 0) |
| [11] |
Ren T, Guo L X, Zhang L M, et al. Soil nutrient status of oilseed rape cultivated soil in typical winter oilseed rape production regions in China (In Chinese)[J]. Scientia Agricultura Sinica, 2020, 53(8): 1606-1616. [任涛, 郭丽璇, 张丽梅, 等. 我国冬油菜典型种植区域土壤养分现状分析[J]. 中国农业科学, 2020, 53(8): 1606-1616.]
( 0) |
| [12] |
Xu X J, Zhang Y C, Wang J D, et al. Soil nutrient status and soil fertility evaluation of farmland in three main sweet potato regions in China (In Chinese)[J]. Soil and Fertilizer Sciences in China, 2021(5): 27-33. [许仙菊, 张永春, 汪吉东, 等. 中国三大薯区土壤养分状况及土壤肥力质量评价[J]. 中国土壤与肥料, 2021(5): 27-33.]
( 0) |
| [13] |
Cong R H, Zhang Z, Zheng L, et al. Soil nutrients and pH in rapeseed planting areas in the middle reaches of the Yangtze River based on GIS (In Chinese)[J]. Acta Pedologica Sinica, 2016, 53(5): 1213-1224. DOI:10.11766/trxb201602170634 [丛日环, 张智, 郑磊, 等. 基于GIS的长江中游油菜种植区土壤养分及pH状况[J]. 土壤学报, 2016, 53(5): 1213-1224.]
( 0) |
| [14] |
Su B, Liu R, Lu Z, et al. Mapping key soil properties of cropland in a mountainous region of southwestern China[J]. Agronomy, 2024, 14(7): 1417.
( 0) |
| [15] |
Zhao Q Y, Xu S J, Zhang W S, et al. Spatial regional variability and influential factors of soil fertilities in the major regions of maize production of China (In Chinese)[J]. Scientia Agricultura Sinica, 2020, 53(15): 3120-3133. [赵晴月, 许世杰, 张务帅, 等. 中国玉米主产区土壤养分的空间变异及影响因素分析[J]. 中国农业科学, 2020, 53(15): 3120-3133.]
( 0) |
| [16] |
Zhou H Y, Xu M G, Cai Z J, et al. Quantitative analysis of driving-factors of soil acidification in Qiyang County, Hunan Province (In Chinese)[J]. Scientia Agricultura Sinica, 2019, 52(8): 1400-1412. [周海燕, 徐明岗, 蔡泽江, 等. 湖南祁阳县土壤酸化主要驱动因素贡献解析[J]. 中国农业科学, 2019, 52(8): 1400-1412.]
( 0) |
| [17] |
Huang C Y. Soil science (In Chinese). Beijing: China Agriculture Press, 2000. [黄昌勇. 土壤学[M]. 北京: 中国农业出版社, 2000.]
( 0) |
| [18] |
Gerke J. The central role of soil organic matter in soil fertility and carbon storage[J]. Soil Systems, 2022, 6(2): 33.
( 0) |
| [19] |
Cotrufo M F, Lavallee J M. Chapter One Soil organic matter formation, persistence, and functioning: A synthesis of current understanding to inform its conservation and regeneration[J]. Advances in Agronomy, 2022, 172: 1-66.
( 0) |
| [20] |
Xu M G, Lu C A, Zhang W J, et al. Situation of the quality of arable land in China and improvement strategy (In Chinese)[J]. Chinese Journal of Agricultural Resources and Regional Planning, 2016, 37(7): 8-14. [徐明岗, 卢昌艾, 张文菊, 等. 我国耕地质量状况与提升对策[J]. 中国农业资源与区划, 2016, 37(7): 8-14.]
( 0) |
| [21] |
Yang F, Xu Y, Cui Y, et al. Variation of soil organic matter content in croplands of China over the last three decades (In Chinese)[J]. Acta Pedologica Sinica, 2017, 54(5): 1047-1056. DOI:10.11766/trxb201703180633 [杨帆, 徐洋, 崔勇, 等. 近30年中国农田耕层土壤有机质含量变化[J]. 土壤学报, 2017, 54(5): 1047-1056.]
( 0) |
| [22] |
Lal R. Soil organic matter and water retention[J]. Agronomy Journal, 2020, 112(5): 3265-3277.
( 0) |
| [23] |
Xie E Z, Zhang Y X, Huang B, et al. Spatiotemporal variations in soil organic carbon and their drivers in southeastern China during 1981—2011[J]. Soil and Tillage Research, 2021, 205: 104763.
( 0) |
| [24] |
Liu Z P, Shao M G, Wang Y Q. Spatial patterns of soil total nitrogen and soil total phosphorus across the entire Loess Plateau region of China[J]. Geoderma, 2013, 197: 67-78.
( 0) |
| [25] |
Li H, Huang G, Meng Q, et al. Integrated soil and plant phosphorus management for crop and environment in China. A review[J]. Plant and Soil, 2011, 349(1/2): 157-167.
( 0) |
| [26] |
Yan Z, Liu P, Li Y, et al. Phosphorus in China's intensive vegetable production systems: Overfertilization, soil enrichment, and environmental implications[J]. Journal of Environmental Quality, 2013, 42(4): 982-989.
( 0) |
| [27] |
Yang Q R, Li L T, Zhang X, et al. Effects of potassium application dosage on yield, quality and light temperature physiological characteristics of summer peanut (In Chinese)[J]. Scientia Agricultura Sinica, 2024, 57(7): 1335-1349. [杨启睿, 李岚涛, 张潇, 等. 施钾对夏花生产量、品质及光温生理特性的影响[J]. 中国农业科学, 2024, 57(7): 1335-1349.]
( 0) |
| [28] |
Sun W, Zhang H Y, Wei Q Q, et al. Effects of foliar spraying of sorbitol chelated potassium on peanut yield and rhizosphere soil microbial community (In Chinese)[J]. Acta Pedologica Sinica, 2024, 61(4): 1099-1110. DOI:10.11766/trxb202301030003 [孙伟, 张欢洋, 魏倩倩, 等. 叶面喷施山梨醇螯合钾对花生产量及根际土壤微生物群落的影响[J]. 土壤学报, 2024, 61(4): 1099-1110.]
( 0) |
| [29] |
Liu K L, Du J X, Ma C B, et al. Spatio-temporal evolution characteristics of soil potassium in main dry-farming grain arable land of China (In Chinese)[J]. Acta Pedologica Sinica, 2023, 60(3): 673-684. DOI:10.11766/trxb202109080399 [柳开楼, 都江雪, 马常宝, 等. 中国主要旱作粮食耕地土壤钾素的时空演变特征[J]. 土壤学报, 2023, 60(3): 673-684.]
( 0) |
| [30] |
Zhang H, Ouyang Z C, Zhao X M. Effects of different land use types on ecological stoichiometry characteristics of carbon, nitrogen and phosphorus in farmland soils in Jiangxi Province, China (In Chinese)[J]. Acta Scientiae Circumstantiae, 2019, 39(3): 939-951. [张晗, 欧阳真程, 赵小敏. 不同利用方式对江西省农田土壤碳氮磷生态化学计量特征的影响[J]. 环境科学学报, 2019, 39(3): 939-951.]
( 0) |
| [31] |
Yang D, Liu Y, Wang Y, et al. Effects of soil tillage, management practices, and mulching film application on soil health and peanut yield in a continuous cropping system[J]. Frontiers in Microbiology, 2020, 11: 570924.
( 0) |
| [32] |
Si X Z, Zhang X, Mao J W, et al. Effects of interaction of tillage method with soil conditioner on soil physicochemical properties and peanut yield (In Chinese)[J]. Journal of Henan Agricultural Sciences, 2015, 44(11): 41-44. [司贤宗, 张翔, 毛家伟, 等. 耕作方式与土壤调理剂互作对土壤理化性质及花生产量的影响[J]. 河南农业科学, 2015, 44(11): 41-44.]
( 0) |
| [33] |
Lin Y J, Li X D, Zhou L Y, et al. Effects of different peanut planting patterns on field soil microenvironment and pod yield (In Chinese)[J]. Journal of Soil and Water Conservation, 2010, 24(3): 131-135. [林英杰, 李向东, 周录英, 等. 花生不同种植方式对田间土壤微环境和产量的影响[J]. 水土保持学报, 2010, 24(3): 131-135.]
( 0) |
| [34] |
Zhang S R, Huang Y F, Li B G, et al. Temporal-spatial variability of soil available phosphorus and potassium in the alluvial region of the Huang-Huai-Hai Plain (In Chinese)[J]. Journal of Plant Nutrition and Fertilizers, 2003, 9(1): 3-8. [张世熔, 黄元仿, 李保国, 等. 黄淮海冲积平原区土壤速效磷、钾的时空变异特征[J]. 植物营养与肥料学报, 2003, 9(1): 3-8.]
( 0) |
| [35] |
Huang J, Han T F, Shen Z, et al. Spatiotemporal variation of fertility quality of Chinese paddy soil based on fuzzy method in recent 30 years (In Chinese)[J]. Acta Pedologica Sinica, 2023, 60(2): 355-366. DOI:10.11766/trxb202107050343 [黄晶, 韩天富, 申哲, 等. 基于模糊数学(Fuzzy)法的中国水稻土肥力质量近30年的时空变化特征[J]. 土壤学报, 2023, 60(2): 355-366.]
( 0) |
| [36] |
Fan Y N, Yao L P, Qu M K, et al. Yield-based soil fertility quality assessment and constraint factor-based zoning of paddy soil-A case study of Jinxian County (In Chinese)[J]. Acta Pedologica Sinica, 2017, 54(5): 1157-1169. DOI:10.11766/trxb201705080113 [樊亚男, 姚利鹏, 瞿明凯, 等. 基于产量的稻田肥力质量评价及障碍因子区划——以进贤县为例[J]. 土壤学报, 2017, 54(5): 1157-1169.]
( 0) |
2025, Vol. 62



0)