2. 南京农业大学资源与环境科学学院, 江苏省有机固体废弃物资源化协同创新中心, 南京 210095;
3. 江苏大学环境与安全工程学院, 江苏镇江 212013
2. College of Resources and Environmental Sciences, Nanjing Agricultural University, Jiangsu Collaborative Innovation Center for Organic Solid Waste Recycling, Nanjing 210095, China;
3. School of Environment and Safety Engineering, Jiangsu University, Zhenjiang, Jiangsu 212013, China
土壤作为微生物重要的栖息地,被公认为是生态系统中抗生素抗性基因(Antibiotic resistance genes,ARGs)的巨大储存库[1]。随着有机农业的快速发展,许多叶菜种植过程中会施用大量畜禽粪肥,以提高土壤肥力并增加叶菜可食用部分的生物量[2]。然而,大部分畜禽粪肥中残留的ARGs会随之进入农田土壤,之后通过整合子、转座子以及质粒等可移动遗传元件(Mobile genetic elements,MGEs)在土壤微生物之间进行转移,最终引起ARGs的广泛传播与扩散,加剧土壤ARGs污染[3]。目前,ARGs已对全球公共卫生构成重大威胁,农业生产中粪肥的大量投入,加速了ARGs通过食物链从土壤环境向人类的转移,这严重威胁着生态环境安全和人类健康[4]。
近年的研究发现,一些微量元素以及富含微量元素的纳米材料能够显著影响土壤或粪肥中ARGs的类型、丰度以及迁移过程,从而抑制ARGs在根际土壤和蔬菜中传播与扩散[5-6]。生物纳米硒(Selenium nanoparticle,SeNP)作为一种富硒纳米材料,凭借其独特的物理与化学特性,在农业生态环境修复领域中广泛应用[7]。大量研究表明,叶面喷施适量浓度SeNP可显著降低作物对土壤抗生素、重金属以及农药残留等污染物的吸收[8-10]。同时,作为植物营养调理剂,SeNP不仅能够提升作物的产量和品质,增强植物对生物和非生物胁迫的抵抗力,还能有效抑制ARGs宿主菌群(如大肠杆菌、金色葡萄球菌等常见病原菌)的繁殖,从而有效阻控ARGs的转移[11-13]。虽然已有报道指出,纳米材料能通过减少MGEs的基因表达,有效控制ARGs水平转移扩散风险,但目前针对SeNP在土壤-蔬菜系统中的相关研究较为匮乏。
本团队前期研究发现,SeNP能够有效降低叶菜植株中的抗生素与ARGs绝对丰度[8]。但是,关于叶面喷施SeNP对作物根际土壤ARGs及宿主微生物的影响规律尚不明晰。基于此,本研究选择有机蔬菜种植中常见的两种类型土壤作为研究对象,将种植面积较广的小青菜(矮脚黄,Brassica rapa L.)作为供试植物。系统研究不同浓度生物纳米硒肥叶面喷施处理,对小青菜根际土壤微生物群落结构和ARGs丰度的影响,以期为纳米硒肥在农业生产中的安全高效应用提供理论参考。
1 材料与方法 1.1 供试材料分别采集江苏省南京市(32°1′55″N,118°52′35″E)和盐城市(34°5′54″N,119°53′28″E)两种典型设施有机菜地土壤(分别为黄棕壤、潮土)作为盆栽供试土壤。根据两种土壤的酸碱度,将其分为pH中性土壤(Neutral soil,NS)和碱性土壤(Alkaline soil,AS)两种类型。于2023年11月下旬在上述两地采集0~20 cm土壤,避光自然风干、去除杂质、均质并研磨,过2 mm筛之后备用,两种土壤的原始理化性质见表 1。选用小青菜(矮脚黄,Brassica rapa L.)作为本研究的供试蔬菜,该品种生育期一般为40~50 d且耐热和耐寒性强,青菜种子购自南京绿领种业有限公司。
|
|
表 1 供试土壤原始理化性质 Table 1 Properties of soil before the start of experiments |
试验于2024年1月15日至2024年2月28日进行,地点位于江苏省农业科学院智能温室内。选取颗粒饱满的小青菜种子埋入装有蛭石的4×10育苗盘,加水保湿并置于25℃暗室条件下进行培养,3 d后种子萌芽,置于温室自然光照下进行培育。待幼苗长出第二片真叶(约7 d),选择长势一致的小青菜幼苗,超纯水清洗根部后移栽至装有供试土壤的盆钵中。盆钵的具体规格为:21.3 cm(口径)× 15.5 cm(高)×13 cm(底径),每盆装2.5 kg土、移栽4棵幼苗。试验所用2种类型土壤(NS、AS),每种土壤类型条件下,设置不喷施硒肥组(CK)、叶面喷施1 mg·L–1(以Se计,下同)生物纳米硒组(Se1)、叶面喷施5 mg·L–1生物纳米硒组(Se5)3种处理,每个处理设置3个重复,共计18盆。收获前14 d叶面喷施生物纳米硒,每种处理的喷施量为每盆40 mL,其中CK对照组喷施等量去离子水。试验期间无任何外源肥料(氮、磷或钾)加入,定时定量浇水并记录当天室温和湿度情况。试验所用SeNP由本团队研究人员通过生物合成方法制备获得,具体制备步骤参见团队已有研究[14],所得生物纳米硒为球型颗粒,直径范围135~165 nm,富含硒(Se)、碳(C)、氧(O)、氮(N)、硫(S)元素,表面有-OH、C=O、N-H和C-H等官能团。
1.3 植物样品采集与分析收获当天,首先使用叶绿素仪(SPAD-502Plus,柯尼卡美能达,日本)测定植株叶片叶绿素含量(以SPAD值指示)。之后,采集所有植株(包括地上部分和地下部分),分别测定根长及株高,同时采用抖根法收集根际土壤并于–80 ℃密封保存备用。去离子水清洗干净植株根部,吸水纸吸干表面水分,测定植株地上部和地下部的鲜物质量。用液氮对植株叶片和根茎做冷处理,部分保存至–80 ℃超低温冰箱,部分用研钵磨细并分装至自封袋中,做好标记置于–20 ℃储存备用。其余植株55 ℃烘干至恒重,密封保存备用。
1.4 土壤样本采集与分析 1.4.1 理化指标分析收集各处理青菜根际土壤,取出部分根际土–80 ℃冻存,用于后续测定生物指标。其余部分做自然风干过筛处理,用于测定土壤理化指标。具体包括土壤酸碱度(pH)、电导率(EC)、全氮、碱解氮、全磷、有效磷、全钾、速效钾以及有机质含量。分别采用pH计和电导率仪测定土壤酸碱度和EC,氮磷钾分别采用流动分析仪(SAN++,Skalar,荷兰)、紫外分光光度计(UV-5600,上海析迪,中国)、火焰光度计(M410,Sherwood,英国)测定,土壤有机质采用重铬酸钾法,具体操作步骤参照《土壤农化分析》[15]。
1.4.2 生物指标分析取出上述–80 ℃冻存的根际土壤,彻底复苏后称取0.3 g(鲜物质量)根际土,采用FastDNA™土壤基因组DNA提取试剂盒(MP Biomedicals,美国)提取根际土壤DNA,具体操作步骤参考试剂盒说明书。所得DNA的浓度和质量分别通过分光光度计(NanoDrop ND-8000,赛默飞世尔科技,美国)和1.5%琼脂糖凝胶电泳来确定,提取的总DNA于–20℃储存备用。选用细菌通用引物515F(5′-GTGCCAGCMGCCGCGG-3′)和806R(5′-GGACTACHVGGGTWTCTAAT-3′)用于细菌16S rRNA基因V4区域的扩增和测序,小青菜根际土壤微生物群落高通量测序具体由广州基迪奥生物科技有限公司完成。
根际土壤抗生素抗性基因(ARGs)丰度通过高通量定量聚合酶链反应(HT-qPCR)检测,通过合肥元哉生物科技有限公司的SmartChip实时荧光定量PCR系统(WaferGen,美国)对根际土壤ARGs进行扩增。具体反应条件为:初始温度95 ℃预变性10 min;95℃变性30 s,60 ℃退火延伸30 s并收集荧光信号,40个循环。
1.5 数据统计与分析试验数据记录和初整理使用Excel 2016,数据统计分析使用SPSS 26,常规数据绘图使用Origin 2021。微生物数据分析与绘图通过基迪奥云平台(https://www.omicshare.com/)实现,基于可操作分类单元(Operational taxonomic units,OTUs)数据进行丰度、α多样性、β多样性以及物种在各分类水平上的群落结构统计分析,并进行主坐标分析(Principal coordinates analysis,PCoA)和热图(Heatmap)绘制。此外,网络互作分析(Network analysis)采用R 4.4.1和Gephi进行分析和作图。
2 结果 2.1 叶面喷施生物纳米硒肥对小青菜生长的影响叶面喷施不同浓度生物纳米硒对小青菜植株生长的影响结果如图 1所示。由图 1a可知,叶面喷施1 mg·L–1生物纳米硒(Se1)能显著(P < 0.05)提升两种土壤下小青菜叶绿素含量;相较各自不喷施硒的对照组(CK),中性土壤(NS)和碱性土壤(AS)中Se1处理组的SPAD分别提升了4.9%和8.0%(P < 0.05);叶面喷施5 mg·L–1(Se5)生物纳米硒对叶绿素含量也有影响,但与对照相比差异不显著。由图 1b和图 1c可知,生物纳米硒能够有效增加两种土壤中小青菜植株地上部鲜物质量与根冠比;中性土壤中,与CK相比,喷施纳米硒处理组的植株地上部鲜物质量和根冠比分别增加了12.8%~43.1%和8.0%~10.8%;碱性土壤中,与CK相比,喷施纳米硒处理组的植株地上部鲜物质量和根冠比分别增加了9.1%~9.9%和4.6%~37.0%。此外,图 1d结果表明叶面喷施生物纳米硒也能增加株高;中性土壤中,Se1和Se5处理组的株高较CK组的分别增加了21.1%和8.9%(P < 0.05);碱性土壤中,Se1和Se5处理对株高也有影响,但与对照相比差异不显著。
|
注:NS为中性土壤,AS为碱性土壤,CK为不喷施纳米硒的对照组,Se1为喷施1 mg·L–1的处理组,Se5为喷施5 mg·L–1的处理组,柱子上方不同小写字母表示相同土壤不同处理之间差异显著(P < 0.05),下同。 Note: NS, neutral soil; AS, alkaline soil; CK is the control without SeNP application, Se1 and Se5 is the treatment with 1 mg·L–1 or 5 mg·L–1 SeNP, respectively; Different lowercase letters columns indicate significant differences of samples in different treatments(P < 0.05)of the same soil. The same below 图 1 叶面喷施生物纳米硒对小青菜叶绿素(a)、地上部鲜物质量(b)、根冠比(c)和株高(d)的影响 Fig. 1 Effects of foliar application of bio-selenium nanoparticles on the SPAD value(a), biomass of shoot(b), root-shoot ratio(c), and plant height(d)of Brassica rapa L. |
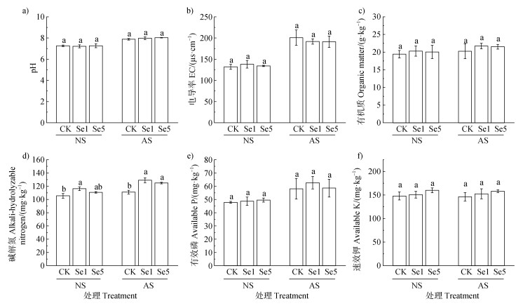
叶面喷施不同浓度生物纳米硒,对小青菜根际土壤理化性质的影响结果如图 2所示。相较CK,叶面喷施生物纳米硒处理对土壤pH、EC、有机质、有效磷和速效钾均无显著影响(P > 0.05)(图 2a~图 2c,图 2e~图 2f)。由图 2d结果可知,叶面喷施生物纳米硒后,中性土壤碱解氮含量较CK的提升了4.98%~10.19%,碱性土壤中的碱解氮含量较CK提升了12.39%~16.22%。
|
图 2 叶面喷施生物纳米硒对小青菜根际土壤pH(a)、电导率(b)、有机质(c)、碱解氮(d)、有效磷(e)和速效钾(f)的影响 Fig. 2 Effects of foliar application of bio-selenium nanoparticles on the soil pH(a), electrical conductivity(b), organic matter(c), alkali-hydrolyzable nitrogen(d), available phosphorus(e), and available potassium(f)in the rhizosphere of Brassica rapa L. |
筛选24种土壤常见ARGs进行检测,各处理中可检测到的ARGs数量如图 3a所示。两种土壤条件下根际土壤中可检测到的ARGs数量为7~11个,涵盖万古霉素类、四环素类、磺胺类、多药耐药类、β-内酰胺酶类和氨基糖苷类,共计6大类。
|
图 3 叶面喷施生物纳米硒对小青菜根际土壤中抗生素抗性基因(ARGs)数量(a)、机制类型(b)及其绝对丰度(c)和可移动遗传元件(MGEs)绝对丰度(d)的影响 Fig. 3 Effects of foliar application of bio-selenium nanoparticles on the numbers(a), mechanism types(b), and absolute abundance of antibiotic resistance genes(ARGs)(c)and absolute abundance of mobile genetic elements(MGEs)(d)in the rhizosphere soil of Brassica rapa L. |
碱性土壤条件下,CK对照组可检测到的ARGs数量最高,相较之下叶面喷施生物纳米硒显著(P < 0.05)降低了根际土壤ARGs数量。中性土壤条件下,不同浓度生物纳米硒处理组对小青菜根际土中的ARGs数量无削减作用(图 3a)。所有土壤样本中,除了四环素类ARGs数量较低以外,万古霉素类、磺胺类、β-链霉素类和氨基糖苷类ARGs数量均较高。将检测到的ARGs按照其作用机制类型进行划分(图 3b),可分为抗性失活机制、细胞保护机制和其他机制3种类型,其中“细胞保护”是碱性土壤和中性土壤中ARGs的主要作用机制(占比最高可达54.2%)。
由图 3c结果可知,所有根际土壤中磺胺类ARGs占主导优势,其次为β-链霉素类和万古霉素类ARGs。碱性土壤条件下,叶面喷施生物纳米硒有利于降低根际土中的ARGs总绝对丰度;Se1和Se5处理组的磺胺类ARGs绝对丰度较CK组的分别降低了54.78%和71.86%;Se1和Se5处理组的β-链霉素类ARGs绝对丰度较CK组的分别降低了34.38%和53.55%;Se1和Se5处理组的万古霉素类ARGs绝对丰度较CK组的分别降低了61.25%和52.34%。中性土壤条件下,叶面喷施生物纳米硒则使根际土中的ARGs总绝对丰度增加;其中,Se1和Se5处理组的磺胺类ARGs绝对丰度较CK组的分别增加了80.81%和42.21%;Se1和Se5处理组的万古霉素类ARGs较CK组的分别增加了70.22%和114.58%。
进一步对所有根际土壤样本MGEs绝对丰度进行分析,结果如图 3d所示。所有根际土壤中Ⅰ型整合子IntI-1占主导优势,其次为转座酶基因tnpA-04和转座子IS613。碱性土壤条件下,叶面喷施生物纳米硒有利于降低根际土中MGEs的绝对丰度;具体地,Se1处理组IntI-1、tnpA-04和IS613的绝对丰度较CK组的分别降低了1.90%、63.28%和55.34%;Se5处理组IntI-1、tnpA-04和IS613的绝对丰度较CK组的分别降低了41.88%、35.95%和52.69%。中性土壤条件下,叶面喷施生物纳米硒则使根际土壤中MGEs的绝对丰度增加;具体地,Se1处理组tnpA-04和IS613的绝对丰度较CK组的分别增加了6.68倍和1.05倍;Se5处理组IntI-1和tnpA-04的绝对丰度较CK组的分别增加了11%和88%。
2.4 叶面喷施生物纳米硒肥对小青菜根际土壤微生物群落的影响植物根际土壤细菌群落组成的变化能够影响土壤ARGs的动态迁移转化,小青菜根际土壤细菌群落的α多样性指数分析结果如表 2所示。所有样本中的细菌群落覆盖度大于0.95,说明当前测序结果能够代表样本真实情况,可满足后续分析需要。香农指数结果显示,碱性土壤中各处理的根际土壤细菌香农指数整体高于中性土壤下各处理的,说明碱性土壤细菌菌群多样性整体高于中性土壤,叶面喷施生物纳米硒未对两种类型土壤的微生物菌群多样性产生显著影响(P > 0.05)。碱性土壤各处理的Chao1指数整体高于中性土壤,说明碱性土壤细菌菌群丰度整体高于中性土壤。Chao1指数表明,中性土壤条件下,Se1、Se5处理较对照显著(P < 0.05)提升了根际土壤细菌菌群丰度,相较CK的提升率分别为27.09%、23.01%;碱性土壤条件下,相较不喷施纳米硒肥的对照组,Se1处理显著(P < 0.05)降低了根际土壤细菌菌群丰度,降低率为14.56%,Se5处理对根际土壤细菌菌群丰度的影响不显著(P > 0.05)。
|
|
表 2 叶面喷施生物纳米硒对小青菜根际土壤细菌群落α多样性指数的影响 Table 2 Effects of foliar bio-selenium on the alpha diversity indies of bacterial communities inhabiting rhizosphere soil |
采用PCoA进一步对小青菜根际土壤细菌群落β多样性进行分析,结果如图 4a所示。不同土壤条件下,Se1、Se5处理与对照CK间均呈现出明显群落结构分异。这说明在OTU水平上,叶面喷施生物纳米硒使中性土壤和碱性土壤中的细菌群落结构均发生了显著变化(P < 0.05)。为进一步明确不同处理下土壤细菌结构组成,将所有根际土壤细菌样本相对丰度前20的门绘制成热图,结果如图 4b所示。显然,两种土壤之间相比,细菌群落优势门的分布具有明显差异。中性土壤条件下,Se1、Se5处理均使泉古菌门(Crenarchaeota)、脱硫杆菌门(Desulfobacterota)、芽单胞菌门(Gemmatimonadota)、绿湾菌门(Chloroflexi)和髌骨细菌门(Patescibacteria)的相对丰度增加。碱性土壤条件下,Se1、Se5处理均使变形菌门(Proteobacteria)、蛭弧菌门(Bdellovibrionota)、酸杆菌门(Acidobacteriota)和黏球菌门(Myxococcota)相对丰度得到增加,同时降低了泉古菌门(Crenarchaeota)、绿湾菌门(Chloroflexi)、蓝藻菌门(Cyanobacteria)、髌骨细菌门(Patescibacteria)、厚壁菌门(Firmicutes)、放线菌门(Actinobacteria)的相对丰度。对于两种土壤,Se5处理显著增加了硝化螺菌门(Nitrospirota)、Methylomirabilota、黏球菌门(Myxococcota)、酸杆菌门(Acidobacteriota)的相对丰度。
|
图 4 小青菜根际土壤细菌群落结构的主坐标分析图(a)与热图(b) Fig. 4 Principal coordinates analysis(a)and heatmap(b)of bacterial community structure in the rhizosphere soil of Brassica rapa L. |
进一步通过网络分析探讨根际土壤优势菌门与ARGs以及MGEs的共现性关系,如图 5所示。图中红色连线为显著正相关,绿色连线为显著负相关,共有20种细菌属与ARGs存在显著相关性,与ARGs呈显著正相关的细菌门被视为潜在宿主。所有土壤样本中,ARGs的潜在宿主包括14种(Candidatus_ Udaeobacter、Bryobacter、Flavisolibacter、Pedobacter、RB41、Massilia、Nitrospira、Flavobacterium、Anaerolinea、Gaiella、Candidatus_Solibacter、Allorhizobium-eorhizobium- Pararhizobium-Rhizobium、Gemmatimonas、Subgroup_10)。
|
注:网络中仅有斯皮尔曼(Spearman)相关性显著且强的(r > 0.8,P < 0.05)在Gephi 0.10.1中可视化。圆圈大小代表节点在网络中的连出度高低,圆圈颜色无特殊含义。红色连线为显著正相关,绿色连线为显著负相关。 Note: Only strong and significant Spearman correlations(r > 0.8, P < 0.05)were visualized in Gephi 0.10.1. Red lines indicate significant positive correlations, green lines indicate significant negative correlations, and circle size indicates out-degree(high or low)of the node in the network. Circle color has no special meaning. Red lines indicate significant positive correlation, while green lines indicate significant negative correlation. 图 5 根际土壤中细菌群落、抗生素抗性基因(ARGs)和可移动遗传元件(MGEs)的相互作用网络图 Fig. 5 Network analysis of bacterial communities, antibiotic resistance genes(ARGs), and mobile genetic elements(MGEs)in rhizosphere soil |
其中,土地杆菌(Pedobacter)、马赛菌(Massilia)、黄色杆菌属(Flavobacterium)、厌氧绳菌属(Anaerolinea)为潜在核心菌属,携带3种ARGs(tetM-01、lnuC、aadE)和3种MGEs(intI-1、IS613、tnpA-04),前两种菌属于变形菌门(Proteobacteria),后两种分别属于细菌门(Bacteroidetes)和绿弯菌门(Chloroflexota)。
3 讨论 3.1 叶面喷施生物纳米硒肥对小青菜生长及土壤理化性质的影响生物纳米硒作为新型叶面肥,不仅能提升作物营养价值,还能有效增加作物产量[16]。本研究通过叶面喷施1~5 mg·L–1SeNP,显著提升了碱性土壤和中性土壤小青菜的生物量(图 1b),这与Qi等[17]研究结果类似。一方面,SeNP通过叶片进入植物体内后,激活了与植物生长相关的生理代谢过程,如碳水化合物代谢以及叶绿素的生物合成,从而促进了植株生长[18],这在本研究图 1a所示SPAD结果中也得到了印证;另一方面,叶面喷施SeNP还可能通过改变植物根系分泌物,招募有益微生物,促进植物根系生长发育,强化植物对土壤养分的吸收,进而增加植物的生物量[19–21]。此外,本研究还发现向小青菜叶面喷施1~5 mg·L–1 SeNP,还能对其根际土壤理化特性产生间接影响,SeNP处理下的两种类型土壤中的碱解氮含量均增加,与中性土壤相比,叶面喷施SeNP对碱性土壤中碱解氮含量的提升效果更佳(图 2d)。魏坤喜[22]也发现类似结果,适量水平外源SeNP能通过调控植物生理代谢过程间接引起土壤微环境的改变(如土壤脲酶活性和有益微生物种群增加等),而这种调控作用会因土壤类型的不同而异。田秀英等[23]同样指出,外源硒对土壤碱解氮的影响主要受供试土壤种类影响。本研究结果还表明,同种土壤类型下,1 mg·L–1 SeNP处理相较5 mg·L–1 SeNP处理更有利于提升土壤碱解氮含量(图 2d),可能是低剂量SeNP更易被植物叶片快速吸收并转运至包括根系在内的其他器官,刺激植物根系释放能够招募更多有益菌群的信号物质,促进土壤酶的合成和分泌,导致脲酶活性提升和土壤碱解氮含量增加[24]。同时,基于图 2其他土壤理化指标测定结果,可知叶面喷施SeNP对小青菜根际土壤EC、有机质含量及有效磷和速效钾含量无显著影响。综上所述,在中性土壤和碱性土中,叶面喷施适量外源SeNP提升小青菜植株生物量的主要途径是,促进植物光合作用过程和间接活化根际土壤氮。
3.2 叶面喷施生物纳米硒肥对根际微生物的影响叶面肥可通过植物各器官的转运到达根部,进而影响根际土壤微生物群落结构的组成和演变。本研究发现,叶面喷施1~5 mg·L–1 SeNP显著影响了小青菜根际土壤细菌β多样性(图 4a)。与对照相比,Se1和Se5处理显著增加了小青菜根际土壤中有益微生物菌门(如芽单胞菌门、变形菌门、硝化螺菌门和酸杆菌门)的相对丰度(图 4b)。已有研究表明,芽单胞菌门(Gemmatimonadota)细菌的富集有助于增强植物对病害的抵抗能力,促进植物健康发育[25];而根际土壤中变形菌门(Proteobacteria)的富集则有利于强化植物固氮作用[26];同时,作物根际土壤中硝化螺菌门和酸杆菌门具有较强的环境适应性,这两类微生物与土壤养分含量密切关联,其丰度增加指示了所在土壤生境养分充足[27]。基于此,结合本研究图 1、图 2和图 4b结果,推测外源SeNP的施用不仅能有效刺激小青菜植株根系生长发育,从而强化植株对土壤养分的吸收利用过程,同时还能通过增加根际土壤固氮微生物的丰度来活化土壤氮等养分,从而达到促生效果。此外,本研究还发现叶面喷施SeNP后,中性土壤中增加的细菌门类与碱性土壤中增加的细菌门类有明显差异(图 4b)。一方面可能是由于不同类型土壤原本就具有不同的微生物群落基础(种类和数量不同),因此对SeNP处理的响应结果也会不同,从而导致SeNP处理下不同类型土壤根际微生物群落的最终组成产生明显分异[28];另一方面,外源SeNP喷施后,会影响植物的生长状态和代谢过程,进而改变根系分泌物的种类和含量,不同类型土壤中植物根系分泌物扩散和利用情况不同,一部分微生物可能因获得较多营养而大量繁殖,而其他一些微生物也可能因营养不足而减少,从而导致根际微生物群落结构的差异[29]。Sun等[30]同样指出,SeNP可通过调控根系分泌物来影响根际土壤微生物群落结构组成,如刺激植物分泌信号物质来招募植物生长所需的有益菌群,从而促进植物生长发育。综上所述,叶面施用1~5 mg·L–1SeNP有效上调了小青菜根际土壤中有益微生物种类和丰度,这对于改善土壤微生态环境及促进作物生长发育具有积极影响[17,31]。
3.3 叶面喷施生物纳米硒肥对根际微生物与ARGs互作关系的影响植物根际微生物被誉为“植物的第二基因库”,ARGs能通过根际微生物的活动转移至植物体内,再经食物链传播威胁人体健康[31]。通过调控植物根际微生物的代谢和群落演化过程,可有效控制ARGs的迁移和转化,从而降低ARGs对人类健康的潜在风险。本研究发现,碱性土壤条件下小青菜叶面喷施1~5 mg·L–1 SeNP,能够显著降低植株根际土中ARGs的丰度(图 3c)。Wang等[32]也得到了类似结果,添加不同形态硒制剂后,MGEs显著下调,有效抑制了ARGs的水平转移。本研究中,叶面喷施SeNP后有效降低了碱性土壤中MGEs(intI-1、IS613、tnpA-04)的绝对丰度(图 3d),这对于抑制根际土壤ARGs水平转移十分有利。同时,绿弯菌门(Chloroflexota)作为碱性土壤中ARGs的潜在宿主细菌,在SeNP处理后其丰度显著降低(图 4b)。由此说明,SeNP既可通过影响可移动遗传元件MGEs的命运来影响ARGs的水平转移,还可间接通过调控根际土壤ARGs宿主微生物群落结构来影响ARGs迁移转化[33]。相反,在中性土壤条件下,喷施1~5 mg·L–1 SeNP后,小青菜根际土壤细菌菌群丰度相较对照组有所增加(表 2),且根际土壤ARGs和MGEs的丰度显著升高(图 3c,图 3d),潜在宿主细菌绿弯菌门(Chloroflexota)丰度也显著增加(图 4)。可能原因是,叶面喷施SeNP处理后,部分SeNP可通过植物吸收转运至根部并释放至土壤中,而中性土壤下的硒不易迁移,导致硒在根际土壤中发生累积[34],一些对硒和抗生素均具有抗性的宿主微生物获得选择优势(即驱动了微生物共选择性),宿主菌丰度大大增加,从而促进了ARGs的传播和富集[35]。但在碱性土壤中,硒的甲基化过程受到促进[36],具有较高毒性的甲基态硒可能抑制了部分ARGs宿主菌的生长代谢,进而影响ARGs的传播。综上所述,SeNP喷施处理对叶菜根际土壤ARGs的削减效果主要取决于土壤类型,叶面施用1~5 mg·L–1 SeNP能够通过有效调节微生物群落结构和抑制水平基因转移来降低根际土壤ARGs的丰度。目前,“大健康(One health)”已成为研究环境抗生素抗性的重要准则,土壤中的ARGs可通过多种途径转移至人类和动植物体内,从而引发一系列土壤生态风险和人体健康问题。基于此,后续研究需进一步关注不同土壤类型下,叶面喷施生物纳米硒肥对小青菜植株内部及表面微生物ARGs的影响。
4 结论生物纳米硒(SeNP)作为有机蔬菜叶面肥,能够同时促进pH中性和碱性土壤中小青菜植株的生长发育,并显著提升两种土壤的碱解氮含量。叶面喷施适量SeNP促进了中性和碱性土壤中部分有益细菌(芽单胞菌门、变形菌门、硝化螺菌门和酸杆菌门)的繁殖,同时降低了碱性土壤中ARGs潜在宿主细菌菌群(绿弯菌门)的丰度。明确土地杆菌属(Pedobacter)、马赛菌属(Massilia)、黄色杆菌属(Flavobacterium)、厌氧绳菌属(Anaerolinea)为小青菜根际土壤ARGs和MGEs的潜在核心宿主菌。叶面喷施SeNP对叶菜根际土壤ARGs的削减效果主要取决于土壤酸碱度,施用1~5 mg·L–1 SeNP能够通过有效调节微生物群落结构和抑制水平基因转移来降低根际土壤ARGs的丰度。综上所述,SeNP能够作为有效控制土壤ARGs扩散和提升土壤养分的潜在候选材料,但其对土壤抗生素抗性基因的影响因土壤酸碱度不同而表现出较大差异,实际生产中需结合土壤特性做系统评估。
| [1] |
Wang F, Fu Y H, Sheng H J, et al. Antibiotic resistance in the soil ecosystem: A one health perspective[J]. Current Opinion in Environmental Science & Health, 2021, 20: 100230.
( 0) |
| [2] |
Yu D, Jiang W, Wang C. Meta analysis on the effects of combined application of organic and inorganic fertilizers on the yield and quality of leafy vegetables (In Chinese)[J]. China Cucurbits and Vegetables, 2022, 35(6): 16-21. [于点, 蒋伟, 王冲. 有机无机肥料配施对叶菜产量和品质影响的Meta分析[J]. 中国瓜菜, 2022, 35(6): 16-21.]
( 0) |
| [3] |
Wang L, Zhang Y, Liu J, et al. The contribution of organic fertilizer to the spread of antibiotic resistance genes in agricultural soils: A review[J]. Journal of Environmental Management, 2023, 328: 114885.
( 0) |
| [4] |
Zhu Y G, Johnson R A, Stedtfeld R D. Antibiotic resistance genes as emerging contaminants: A review of the occurrence, fate, and mitigation of antibiotic resistance genes in the environment[J]. Environmental Science and Technology, 2018, 52(7): 3934-3951.
( 0) |
| [5] |
Xu Y N, Tao M N, Xu W, et al. Nano-CeO2 activates physical and chemical defenses of garlic(Allium sativum L.)for reducing antibiotic resistance genes in plant endosphere[J]. Ecotoxicology and Environmental Safety, 2024, 276: 116289. DOI:10.1016/j.ecoenv.2024.116289
( 0) |
| [6] |
Zhang H B, Zhao Z G, Guan W K, et al. Nano-Selenium inhibited antibiotic resistance genes and virulence factors by suppressing bacterial selenocompound metabolism and chemotaxis pathways in animal manure[J]. Ecotoxicology and Environmental Safety, 2023, 263: 115277. DOI:10.1016/j.ecoenv.2023.115277
( 0) |
| [7] |
Song J Y, Yu S J, Yang R, et al. Opportunities for the use of selenium nanoparticles in agriculture[J]. NanoImpact, 2023, 31: 100478. DOI:10.1016/j.impact.2023.100478
( 0) |
| [8] |
Hong C, Jin H M, Zhu Y Y, et al. The effect of foliar application of selenium fertilizer on reduction of antibiotics and antibiotic resistance genes in lettuce (In Chinese)[J]. Journal of Ecology and Rural Environment, 2025, 41(3): 420-429. [洪畅, 靳红梅, 朱燕云, 等. 叶面喷施硒肥对生菜中抗生素及抗性基因的消减效果研究[J]. 生态与农村环境学报, 2025, 41(3): 420-429.]
( 0) |
| [9] |
Zhu Y Y, Dong Y W, Zhu N, et al. Foliar application of biosynthetic nano-selenium alleviates the toxicity of Cd, Pb, and Hg in Brassica chinensis by inhibiting heavy metal adsorption and improving antioxidant system in plant[J]. Ecotoxicology and Environmental Safety, 2022, 240: 113681. DOI:10.1016/j.ecoenv.2022.113681
( 0) |
| [10] |
Ahmed S, Qasim M, Sardar R, et al. Multidimensional role of selenium nanoparticles to promote growth and resilience dynamics of Phaseolus vulgaris against sodium fluoride stress[J]. International Journal of Phytoremediation, 2025, 27(6): 733-750. DOI:10.1080/15226514.2024.2440110
( 0) |
| [11] |
Liang Y, Hao W Q, Shi Y, et al. Effects of nano-Se foliar spraying and photoperiod on lettuce growth and quality (In Chinese)[J]. Chinese Journal of Eco-Agriculture, 2022, 30(1): 82-91. [梁祎, 郝文琴, 石玉, 等. 不同光周期下叶面喷施纳米硒对生菜生长和品质的影响[J]. 中国生态农业学报, 2022, 30(1): 82-91.]
( 0) |
| [12] |
Fatima M, Maqbool A, Sardar R, et al. Nano-Selenium: A green promising approach against abiotic stresses in plants[J]. Journal of Soil Science and Plant Nutrition, 2024, 24: 6000-6023. DOI:10.1007/s42729-024-01956-x
( 0) |
| [13] |
Huang T, Holden J A, Heath D E, et al. Engineering highly effective antimicrobial selenium nanoparticles through control of particle size[J]. Nanoscale, 2019, 11(31): 14937-14951. DOI:10.1039/C9NR04424H
( 0) |
| [14] |
Zhu Y Y, Wang X, Chen D Y, et al. Optimization and bio-activity evaluation of nano-selenium biosynthesis by Bacillus sp (In Chinese)[J]. Transactions of the Chinese Society of Agricultural Engineering, 2023, 39(1): 269-276. [朱燕云, 王欣, 陈丹艳, 等. 芽孢杆菌生物合成纳米硒条件优化及活性评价[J]. 农业工程学报, 2023, 39(1): 269-276.]
( 0) |
| [15] |
Bao S D
. Soil and agricultural chemistry analysis (In Chinese). 3rd ed[M]. Beijing: China Agriculture Press, 2000. [鲍士旦
. 土壤农化分析[M]. 3版. 北京: 中国农业出版社, 2000.]
( 0) |
| [16] |
Smith A, Johnson B, Williams C, et al. Selenium-enriched nanoparticles: A promising approach to mitigate heavy metal stress and enhance crop quality[J]. Journal of Agricultural and Food Chemistry, 2024, 62(34): 8849-8857.
( 0) |
| [17] |
Qi W Y, Li Q, Chen H, et al. Selenium nanoparticles ameliorate Brassica napus L. cadmium toxicity by inhibiting the respiratory burst and scavenging reactive oxygen species[J]. Journal of Hazardous Materials, 2021, 417: 125900. DOI:10.1016/j.jhazmat.2021.125900
( 0) |
| [18] |
Feng R W, Wei C Y, Tu S X. The roles of selenium in protecting plants against abiotic stresses[J]. Environmental and Experimental Botany, 2013, 87: 58-68. DOI:10.1016/j.envexpbot.2012.09.002
( 0) |
| [19] |
Li D, Zhou C R, Wu Y L, et al. Nanoselenium integrates soil-pepper plant homeostasis by recruiting rhizosphere-beneficial microbiomes and allocating signaling molecule levels under Cd stress[J]. Journal of Hazardous Materials, 2022, 432: 128763. DOI:10.1016/j.jhazmat.2022.128763
( 0) |
| [20] |
Wang Y, Xie X, Chen H, et al. Selenium-induced enhancement in growth and rhizosphere soil methane oxidation of prickly pear[J]. Plants, 2024, 13(6): 749. DOI:10.3390/plants13060749
( 0) |
| [21] |
Séneca J, Söllinger A, Herbold C W, et al. Increased microbial expression of organic nitrogen cycling genes in long-term warmed grassland soils[J]. ISME Communications, 2021, 1(1): 69. DOI:10.1038/s43705-021-00073-5
( 0) |
| [22] |
Wei K X. Effects of selenium and sulfur combined application on root morphology and soil nutrients of tartary buckwheat[D]. Jinzhong, Shanxi: Shanxi Agricultural University, 2023.[魏坤喜. 硒硫配施对苦荞根系形态和土壤养分的影响[D]. 山西晋中: 山西农业大学, 2023.]
( 0) |
| [23] |
Tian X Y, Li H H, Wang Z Y. Effect of Se application on contents of nitrogen, phosphorus and potassium in Tartary buckwheat and content of available nutrients in soil (In Chinese)[J]. Journal of Soil and Water Conservation, 2009, 23(3): 112-115. [田秀英, 李会合, 王正银. 施硒对苦荞N, P, K营养元素和土壤有效养分含量的影响[J]. 水土保持学报, 2009, 23(3): 112-115.]
( 0) |
| [24] |
Shi Y J, Shi Y J, Wang Y R, et al. Effects of inorganic selenium fertilizer on available nitrogen content in soil and spinach quality (In Chinese)[J]. Journal of Plant Nutrition and Fertilizers, 2019, 25(2): 274-283. [史雅静, 史雅娟, 王玉荣, 等. 无机硒肥对土壤有效氮含量及菠菜品质的影响[J]. 植物营养与肥料学报, 2019, 25(2): 274-283.]
( 0) |
| [25] |
Wang X, Li Z, Li Q, et al. Characteristics of bacterial communities in rhizosphere soil of greenhouse susceptible tomatoes in the western Sichuan Plateau (In Chinese)[J]. Southwest China Journal of Agricultural Sciences, 2024, 37(10): 2261-2269. [王谢, 李志, 李芹, 等. 川西高原大棚感病番茄根际土壤细菌群落特征[J]. 西南农业学报, 2024, 37(10): 2261-2269.]
( 0) |
| [26] |
Cui G G, Zhang Y Z, Yang T J, et al. Effects of bacterial residue organic fertilizer on tomato growth and soil antibiotic resistance genes accumulation (In Chinese)[J]. Acta Pedologica Sinica, 2025, 62(4). DOI:10.11766/trxb202402180072 [崔格格, 张耀中, 杨天杰, 等. 菌渣有机肥对番茄生长及土壤抗生素抗性基因累积的影响[J]. 土壤学报, 2025, 62(4).]
( 0) |
| [27] |
Zhang Z X, Li J H, Zhang L N, et al. Effects of combined application of selenium and nitrogen fertilizers on selenium and nitrogen accumulation in oat plants, rhizospheric soil microbial community, and metabolites (In Chinese)[J]. Chinese Journal of Applied and Environmental Biology, 2023, 29(5): 1241-1252. [张之玄, 李军辉, 张丽娜, 等. 硒氮配施对燕麦植株硒氮积累及根际土壤微生物群落与代谢物的影响[J]. 应用与环境生物学报, 2023, 29(5): 1241-1252.]
( 0) |
| [28] |
Wang G M, Chen J, Fan Z X, et al. The shift of bacterial community structure in coastal saline-alkaline soil upon addition of different organic materials (In Chinese)[J]. Journal of Ecology and Rural Environment, 2022, 38(1): 85-95. [王艮梅, 陈捷, 范之馨, 等. 外源有机物料添加对滨海盐碱土细菌群落结构的影响[J]. 生态与农村环境学报, 2022, 38(1): 85-95.]
( 0) |
| [29] |
Yuan R W, Liu L, Zhang R, et al. The interaction mechanism between plant rhizosphere secretion and soil microbe: A review (In Chinese)[J]. Chinese Agricultural Science Bulletin, 2020, 36(2): 26-35. [袁仁文, 刘琳, 张蕊, 等. 植物根际分泌物与土壤微生物互作关系的机制研究进展[J]. 中国农学通报, 2020, 36(2): 26-35.]
( 0) |
| [30] |
Sun C Y, Sun B, Chen L, et al. Harnessing biosynthesized selenium nanoparticles for recruitment of beneficial soil microbes to plant roots[J]. Cell Host & Microbe, 2024, 32(12): 2148-2160.
( 0) |
| [31] |
Li Y C, Chen Y, Fu Y S, et al. Signal communication during microbial modulation of root system architecture[J]. Journal of Experimental Botany, 2024, 75(2): 526-537. DOI:10.1093/jxb/erad263
( 0) |
| [32] |
Wang Z Y, Ding Y Z, Li Y L, et al. Deciphering the influence pathway of selenium on antibiotic resistance genes during goat manure composting[J]. Chemical Engineering Journal, 2023, 475: 146141. DOI:10.1016/j.cej.2023.146141
( 0) |
| [33] |
Xue W J, Shi X Y, Guo J M, et al. Affecting factors and mechanism of removing antibiotics and antibiotic resistance genes by nano zero-valent iron(nZVI)and modified nZVI: A critical review[J]. Water Research, 2024, 253: 121309.
( 0) |
| [34] |
Liu G, Akhtar M S, Hu W, et al. Selenium mobility in soils under greenhouse vegetable production system: A comparative study on adsorption and desorption behavior and management implications[J]. Journal of Soils and Sediments, 2025, 25: 129-144.
( 0) |
| [35] |
Yonathan K, Mann R, Mahbub K R, et al. The impact of silver nanoparticles on microbial communities and antibiotic resistance determinants in the environment[J]. Environmental Pollution, 2022, 293: 118506.
( 0) |
| [36] |
Han X, Zhou Y, Wu W L, et al. Selenium contents of farmland soils and their relationship with main soil properties in Fengcheng, Jiangxi (In Chinese)[J]. Journal of Agro-Environment Science, 2018, 37(6): 1177-1183. [韩笑, 周越, 吴文良, 等. 富硒土壤硒含量及其与土壤理化性状的关系——以江西丰城为例[J]. 农业环境科学学报, 2018, 37(6): 1177-1183.]
( 0) |
2025, Vol. 62



0)