2. 土壤与农业可持续发展全国重点实验室(中国科学院南京土壤研究所), 南京 211135;
3. 农业农村部耕地质量监测保护中心, 北京 100125;
4. 黑龙江省黑土保护利用研究院, 哈尔滨 150086;
5. 中国农业大学土地科学与技术学院, 北京 100193
2. State Key Laboratory of Soil and Sustainable Agriculture, Institute of Soil Science, Chinese Academy of Sciences, Nanjing 211135, China;
3. Cultivated Land Quality Monitoring and Protection Center, Ministry of Agriculture and Rural Affairs, Beijing 100125, China;
4. Heilongjiang Academy of Black Soil Conservation and Utilization, Harbin 150086, China;
5. College of Land Science and Technology, China Agricultural University, Beijing 100193, China
土壤有机质作为全球陆地碳库关键组成部分,对缓解温室效应以及维持生态系统功能稳定具有推动作用[1-3];同时,土壤有机质是衡量农田土壤肥力状况的重要指标[4-5]。此外,土壤容重是衡量土壤硬度情况的重要指标,能够反映土壤结构特征的总体变化[6]。当前,作为我国粮食生产“压舱石”的东北黑土地面临着较为严峻的土壤退化问题,其中因土壤有机质下降而产生的“变瘦”问题和因土壤容重上升所引起的“变硬”问题是制约该地区土壤质量提升的关键。因而,探明东北典型黑土地不同区域土壤有机质和容重的时空变化格局是编制黑土地土壤质量清单的前提,也有利于推动该地区农业绿色可持续发展。
随着国家对黑土地保护与利用的不断重视,以及地统计学和GIS等技术的发展,不断有研究针对东北典型黑土地耕地质量及土壤肥力属性的空间分布特征进行探索。一方面,有研究通过反距离加权插值、克里格插值等方法探索了东北黑土地不同区域尺度土壤有机质等要素空间分布特征;另有部分研究进一步通过不同方法建立耕地质量评价指标体系,从而对典型黑土地耕地质量进行评价。这些研究对明确东北地区的土壤质量变化具有推动作用,但大都存在评价数据陈旧,且土壤样点不能与第二次全国土壤普查(以下简称“二普”)对应准确等现象,导致现势性及精准度受到一定影响。同时,在黑土地关键属性退化的时间变化方面,前期一些关于黑土地土壤“变瘦、变硬”情况的研究大多依赖于单点的长期定位试验所得数据,这些研究通常聚焦于局部点位的土壤演变。而在较大尺度范围的研究则主要依赖于预测制图方法进行推算,尚缺乏基于区域尺度的“点对点”原位采样,从而真实还原土壤“变瘦、变硬”程度。
此外,土壤有机质含量及容重变化同时受到自然环境(气候、地形等)和人为因素(土地利用方式、开垦年限等)多种因素的制约。其中,土壤侵蚀和开垦年限是造成土壤有机质含量下降的关键因素,同时因土壤类型和施肥措施等不同而有所差异[7-9];而长期耕作过程中大型农业机械等反复碾压是导致土壤容重增加的重要原因[10],同时受到土壤有机质、含水量和颗粒组成等因素的综合影响。在同时考虑空间与时间的交叠作用下,东北典型黑土地土壤有机质和容重的变化与其他土壤属性的变化之间存在何种关联,又受到气候、地形等因素的影响程度仍不明确。
基于以上考量,本研究以黑龙江省嫩江市耕地土壤为研究对象,在“二普”原位样点基础上进行重新采样调查,借助ArcGIS 10.8平台,通过“点对点”的方式直观反映40年来土壤属性的时空变化规律,并评估不同土壤类型对土壤有机质和容重变化的影响,进而通过相关性分析、冗余分析等方法探讨嫩江市土壤有机质、容重变化的影响因素,以期为该地区土壤肥力调控、质量提升和耕地保护提供科学依据,同时为东北典型黑土地耕地质量清单制作提供理论支撑。
1 材料与方法 1.1 研究区概况嫩江市(48°42′35″—51°00′05″N,124°44′30″—126°49′30″E)位于黑龙江省西北部,隶属黑河市[11],属于我国典型黑土地分布区域。该县北依伊勒呼里山,与呼玛县交界;东接小兴安岭,与爱辉区、孙吴县、五大连池市毗邻;西邻嫩江,与内蒙古自治区莫力达瓦达斡尔族自治旗、鄂伦春自治旗隔江相望;南连松嫩平原,与讷河市接壤。嫩江市气候属温带大陆性季风气候[12],历年平均气温介于–0.4~3.2 ℃之间,平均降水量为472~547 mm;冬季寒冷干燥,常有暴雪、寒潮天气出现;夏季雨热同季,多洪涝;春季气温变幅大,多风易旱;秋季干燥,昼夜温差大。嫩江市土壤种类较多,土壤分布的水平地带性较明显,亦具垂直地带性,境内土壤包含6个土类,主要以暗棕壤和黑土为主。
1.2 土壤样品采集于2023年7月份在嫩江进行土壤野外调查和土壤样品采集,共调查30个点位(图 1)。本次野外调查采样以1980年第二次全国土壤普查时期的农化样点数据为基准。但由于受当时技术限制,1980年的农化采样点并未提供经纬度信息,而是以描述性信息为主。因此,本次野外调查前,按照《嫩江县土壤》[13]中描述的点位信息尽可能将剖面位置准确地投影在地图上。在野外调查时结合土壤景观、土地利用方式和土壤类型等信息进行位置微调,使调查点位更科学准确且最大限度还原1980年的实际位点。在野外调查过程中采用GPS记录采样点准确位置及周边环境、农田管理等相关信息;并通过蛇形法多点采集表层(0~20 cm)和亚表层(20~40 cm)土壤样品,分别取土后混匀得到混合土样。
|
图 1 嫩江市土壤采样点位分布图 Fig. 1 Distribution map of sampling points in Nenjiang City |
土壤有机质采用重铬酸钾氧化—外加热法测定;土壤容重采用环刀法测定;土壤pH采用电位法(水土比2.5︰1)测定;全氮采用半微量凯氏定氮法测定;全磷采用NaOH熔融—钼锑抗比色法测定;碱解氮采用NaOH扩散皿法测定;速效磷采用0.5 mol·L–1 NaHCO3浸提—钼锑抗比色法测定;速效钾采用中性醋酸铵浸提—火焰光度法测定;全钾采用NaOH熔融—火焰光度计法测定;阳离子交换量(CEC)采用乙酸钠浸提—火焰光度计法测定,土壤黏粒采用激光粒度分析仪(Master Sizer,2000,英国)测定,土壤交换性盐基总量采用加和法计算得出[14]。
1.4 数据处理与统计分析采用Excel 2016软件进行相关数据整理,对土壤有机质、容重及其影响因素采用SPSS 27.0软件进行Pearson相关性分析,使用Canoco 5软件进行冗余分析。结合2023年采样数据和1980年记录数据,运用ArcGIS 10.8软件进行剖面点位图的绘制,利用克里格空间插值模块绘制耕地土壤有机质空间分布图、变化图,其余箱线图、拟合曲线图、热图均使用Origin 9.1软件绘制。
2 结果 2.1 嫩江市土壤有机质含量和容重描述性统计特征嫩江市土壤有机质含量和容重描述性统计如图 2所示。1980年表层土壤有机质含量变化范围为32.70~101 g·kg–1,平均为64.40 g·kg–1;2023年表层土壤有机质含量变化范围为27.10~103 g·kg–1,平均为56.74 g·kg–1,相比1980年下降11.89%(图 2a)。亚表层土壤有机质含量明显小于表层(平均低15.99 g·kg–1,图 2b);其中,1980年和2023年亚表层土壤有机质含量平均值分别为46.20 g·kg–1和42.97 g·kg–1,随时间下降的幅度(6.99%)低于表层土壤。
|
图 2 嫩江市土壤有机质含量和容重描述性统计 Fig. 2 Descriptive statistics of soil organic matter content and bulk density in Nenjiang City |
此外,1980年表层土壤容重变化范围为0.92~1.20 g·cm–3,均值为1.07 g·cm–3;2023年表层土壤容重变化范围为0.85~1.44 g·cm–3,平均为1.20 g·cm–3,相比1980年上升12.14%(图 2c)。2023年亚表层土壤容重平均为1.37 g·cm–3,40多年来上升了17.09%(图 2d)。综合来看,2023年的土壤有机质含量分布范围较1980年趋于收敛,而土壤容重则呈现出相反的趋势,其中在亚表层土壤表现更明显。
2.2 嫩江市土壤有机质含量和容重空间分布特征如图 3所示,土壤有机质含量在嫩江市的分布呈现出较为明显的空间差异。从南北方向看,有机质的分布总体呈现由北向南逐渐降低的趋势;从东西方向看,表层土壤有机质含量东部高西部低,而土壤亚表层并未呈现出明显的规律。表层土壤中有机质含量 > 60 g·kg–1的样点主要分布在嫩江中部、北部地区,而有机质含量介于40~60 g·kg–1之间的样点占比达到60%,集中分布在嫩江中部、西南部,土壤有机质含量 < 40 g·kg–1的样点聚集在嫩江西南部(图 3a)。按照《土壤分类学》[15]中对土壤有机质的分级,嫩江市大部分点位均处于Ⅰ级水平(很丰富),占到93.33%。相比之下,亚表层土壤的有机质含量普遍较低,有接近87%的样点有机质含量在60 g·kg–1以下,但空间分异规律大体与表层土壤一致(图 3b)。
|
图 3 嫩江市土壤有机质含量和容重空间分布 Fig. 3 Spatial distribution of soil organic matter content and bulk density in Nenjiang City |
此外,土壤容重在空间分布上总体呈现出西南高东北低的趋势。表层土壤容重为1.15~1.30 g·cm–3范围内的样点最多,占46.66%,主要集中在中部偏西南部地区(图 3c);在亚表层土壤中,容重分布在1.30~1.45 g·cm–3范围内的样点多,占43.33%,同样集中在中部偏西南部地区(图 3d)。按照《土壤分类学》[15]中对土壤容重的分级,嫩江市表层土壤容重多属于Ⅱ级(适宜)的范畴,而亚表层土壤则多属于Ⅲ级(偏紧)和Ⅳ级(紧实),还有部分点位达到了Ⅴ级(过紧实)和Ⅵ级(坚实)的级别。
2.3 40余年来嫩江市土壤有机质含量和容重时空变化如图 4所示,嫩江市40余年来土壤有机质含量整体呈下降趋势。在表层土壤中,有约57%的样点土壤有机质含量出现不同程度的降低,大多数下降范围分布在–40~–20 g·kg–1以及–20~0 g·kg–1之间,只有个别样点下降幅度超过40 g·kg–1(图 4a);表层土壤有机质含量下降的点位在嫩江市各区域均有分布,与土壤有机质含量上升区域呈现复区交错分布特征。亚表层土壤有机质含量下降区域聚集在嫩江市西南部区域,且下降幅度在40 g·kg–1以上的点位较表层土壤多(图 4b)。
|
图 4 嫩江市土壤有机质含量和容重时空变化 Fig. 4 Temporal and spatial variations of soil organic matter content and bulk density in Nenjiang City |
此外,嫩江市土壤容重总体呈现出上升趋势,仅有中部和北部的少量点位表层土壤容重出现了小幅下降。表层土壤容重上升幅度大都分布于0~0.2 g·cm–3之间,其次为0.2~0.4 g·cm–3,且土壤容重上升的区域大都分布于南部区域,尤以西南部区域增加程度更大(图 4c)。由于“二普”时期亚表层土壤容重数据不全,导致可对比的点位减少,但通过现有点位数据仍可观察到亚表层土壤容重均出现了不同程度的增加,且嫩江市西南部增加程度高于东北部(图 4d)。
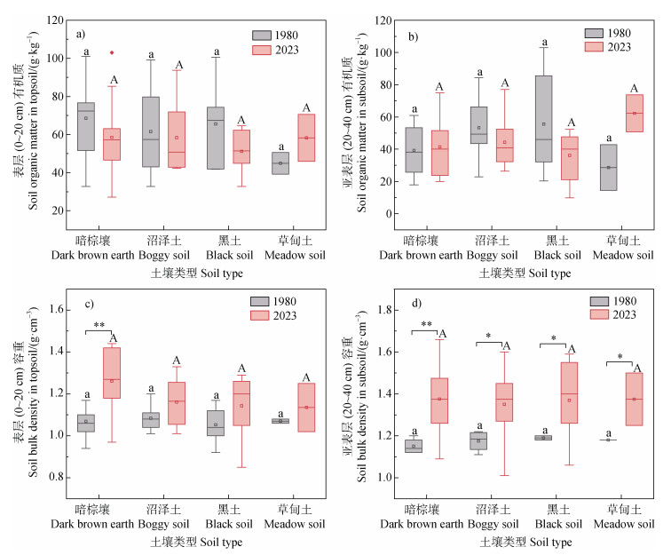
在此基础上,本研究分析了不同土壤类型中有机质含量和容重的变化情况(图 5)。“二普”时期嫩江地区暗棕壤的表层土壤有机质含量最高(平均为68.61 g·kg–1),草甸土有机质含量最低(平均为44.91 g·kg–1,图 5a);而对于亚表层土壤,黑土有机质含量最高(平均为55.51g·kg–1),草甸土有机质含量最低(平均为28.65g·kg–1,图 5b)。经过40余年,不同土壤类型有机质含量发生不同方向、不同程度的变化。表层土壤有机质下降幅度的排序为黑土 > 暗棕壤 > 沼泽土,黑土有机质含量下降幅度最大(下降14.4 g·kg–1),而草甸土平均有机质含量有所上升(图 5a)。亚表层土壤仍为黑土有机质含量下降程度最大(下降24.15 g·kg–1),且下降幅度高于表层土壤;同时,草甸土平均有机质含量上升,且上升幅度高于表层土壤。
|
注:箱体上小写字母表示各组间土壤有机质、容重差异显著(P<0.05);*表示1980年与2023年两组土壤无机碳含量差异显著(P<0.05,**:P<0.01)。 Note:Lowercase letters indicate significant differences in soil inorganic carbon content among all groups(P<0.05);* indicated significant differences in soil inorganic carbon content between 1980 and 2023(*:P<0.05,**:P<0.01). 图 5 1980—2023年嫩江市不同土壤类型土壤有机质含量和容重变化 Fig. 5 Changes of soil organic matter content and bulk density of different soil types in Nenjiang City from 1980 to 2023 |
40余年来,4种土类的容重在表层、亚表层土壤均有上升,且整体上亚表层土壤(平均上升16.67%)容重的上升幅度高于表层土壤(平均上升12.06%)。表层土壤容重增加幅度为暗棕壤 > 黑土 > 沼泽土 > 草甸土,其中暗棕壤容重增加幅度最大,为0.192 g·cm–3,草甸土容重增加幅度最小,为0.065 g·cm–3(图 5c)。亚表层土壤容重增加幅度依次为暗棕壤 > 草甸土 > 黑土 > 沼泽土,其中暗棕壤容重增加幅度最大,为0.226 g·cm–3,沼泽土容重增加幅度最低,为0.17 g·cm–3(图 5d)。
根据线性拟合散点图(图 6)所示,土壤有机质含量变化值与1980年的初始土壤有机质含量间均呈明显的负相关关系,表明初始土壤有机质含量越高的点位,其降低的幅度也越大。此外,土壤表层容重的变化与1980年的初始容重也呈负相关关系,即初始容重较小的区域,其容重增加的幅度也较大。而土壤亚表层的容重变化则与初始容重关系不明显。
|
图 6 嫩江市土壤有机质含量和容重变化与1980年初始土壤有机质含量和容重的关系 Fig. 6 The relationship between changes of soil organic matter content(bulk density)and initial soil organic matter content(bulk density)in 1980 in Nenjiang City |
嫩江市土壤有机质含量、容重及其他肥力指标的相关性如图 7所示。表层土壤碱解氮、全氮、全磷、含水量及盐基饱和度均与土壤有机质含量呈正相关,其中与全氮(0.964)和碱解氮(0.936)的相关性最高;而土壤容重、全钾和pH等与土壤有机质含量呈负相关;速效磷、速效钾、阳离子交换量则与土壤有机质含量无显著相关性(P>0.05)。亚表层土壤碱解氮、全氮、全磷、含水量与有机质含量仍呈正相关,但相关性较表层土壤小,亚表层土壤速效磷、速效钾与有机质含量也呈正相关;全钾、容重与土壤有机质含量呈极显著负相关关系(P < 0.01);而土壤pH、阳离子交换量、盐基饱和度与土壤有机质含量无显著相关性(P>0.05)。
|
注:OM:有机质,pH:酸碱度,AN:碱解氮,AP:速效磷,AK:速效钾,TN:全氮,TP:全磷,TK:全钾,CEC:阳离子交换量,BS:盐基离子饱和度,WC:含水量,Clay:土壤黏粒,BD:容重。 Note:OM:Organic matter,pH:Laititude,AN:Alkali-hydrolyzable N,AP:Available P,AK:Available K,TN:Total N,TP:Total P,TK:Total K,CEC:Cation exchange capacity,BS:Base Saturation,WC:Water content,Clay:Clay content,BD:Bulk density. 图 7 嫩江市表层(a)和亚表层(b)土壤有机质、容重及其他肥力指标相关性热图 Fig. 7 Correlation heatmap of soil organic matter, bulk density, and other fertility indicators in the topsoil(a)and subsoil(b)layers of Nenjiang City |
此外,对于土壤容重而言,其在表层土壤中与全钾、pH、土壤黏粒呈正相关,而与其他大部分肥力指标呈现不同程度的负相关性,其中与碱解氮(–0.682)、有机质(–0.604)和全氮(–0.578)呈现极显著的负相关性(P < 0.01);亚表层土壤容重仅与全钾呈正相关性(P < 0.01),而与含水量、有机质、全氮、全磷、碱解氮、阳离子交换量和盐基饱和度均呈现负相关性。
为进一步确定土壤有机质含量和容重变化的驱动因素,本研究将土壤环境因素的变化情况(即土壤有机质、容重、全氮、全磷、全钾、pH及耕层厚度从1980年到2023年的变化值)与有效积温、年均降水量、高程、坡度等气候地理因素整合,进行冗余分析(图 8)。结果显示土壤有机质变化与土壤全氮变化、耕层厚度变化、全磷变化、坡度均呈正相关性,其中有机质变化与全氮与全磷变化协同性最强。而土壤容重变化则更大程度上受到黏粒含量、气候因素(有效积温和年均降水量)与地形因素(坡度)的影响。
|
① Change of soil organic matter, ② Change of total nitrogen, ③ Slope, ④ Latitude, ⑤ Clay content, ⑥ Effective accumulated temperature, ⑦ Change of bulk density, ⑧ Annual precipitation, ⑨ Change of total potassium, ⑩ Altitude, ⑪ Tillage layer thickness, ⑫ Change of total phosphorus 图 8 嫩江市土壤有机质、容重变化的冗余分析 Fig. 8 Redundancy analysis of changes of soil organic matter and bulk density in Nenjiang City |
本研究结果表明,嫩江市土壤有机质和容重均表现出了较明显的空间分异性。其中,土壤有机质含量呈现出北高南低、东高西低的空间分布趋势,而土壤容重的空间分布规律大致相反;同时,从本研究拟合的相关性结果来看,土壤有机质也与容重呈现出极显著的负相关性,这与以往研究结果相符[16]。该地区土壤有机质及容重的空间分布差异受到多方面因素的影响。首先,北部地区平均气温低于南部,而东部降水量多于西部,这些地区的气候差异在一定程度上直接影响了土壤有机质的收支情况[17],较多的降水和较低的温度分别促进了腐殖化植物残体的累积并抑制了土壤有机质的分解,从而导致了有机质空间分布的不均匀性。同时,嫩江市的地形和人为管理因素也可能是影响土壤肥力要素空间差异的重要因素;该地区北部属于小兴安岭低山丘陵地带,中部为低丘漫岗地带,而南部为波状平原地带,因而在南部开垦时间更长[18],更易造成土壤的压实和有机质的损耗。此外,局部性因素如施肥不均衡、微地形的起伏等也会影响土壤有机质含量和容重的空间分布。
从不同土壤层次来看,表层土壤有机质的平均下降幅度高于亚表层土壤;而亚表层土壤容重的增加幅度则高于表层土壤。耕地表层土壤有机质更易受到长期翻耕等人为管理措施的影响,翻耕易造成土壤团聚体破碎,使其中包被的有机质暴露并与微生物接触,从而增加其矿化量[19];亚表层土壤在长期的机械压实且深翻不足等因素的影响下,更易引发犁底层形成和容重增加的结果[20]。从不同空间来看,亚表层土壤中有机质含量下降和土壤容重增加的点位均更加集中于嫩江市西南部区域,说明亚表层土壤有机质与容重向负面方向变化协同作用更强。亚表层土壤由于长期不合理的耕作、高强度种植以及长期使用小型机械灭茬和旋耕所引起的犁底层会阻碍根系生长和养分运移,从而限制微生物的活动,并降低外源有机碳(如根系分泌物)的输入,给土壤有机质的稳定造成不利影响[21]。因而,着重考虑采取有效措施解决嫩江市西南部的亚表层土壤结构变差问题,对于协调养分转化,提高有机质含量,培肥地力具有重要意义。此外,需要引起关注的是,不同层次土壤有机质和容重差异化的变化会在一定程度上改变两者间原有的内在关联,进而会对两者之间传递函数及预测模型的构建产生潜在影响。
不同土壤类型因差异化的成土因素及成土过程会导致不同的土壤肥力属性[7];因而,本研究进一步分析了不同土壤类型中有机质含量和容重的变化情况。嫩江市分布面积较大的土壤类型为暗棕壤、黑土、沼泽土和草甸土,这几种土壤类型在原始成土过程中大都具有较丰富的自然植被生物量和较强的腐殖质积累过程[22],从而具有较高的初始有机质含量和较低的容重水平。经过40余年的耕种,不同层次土壤中均表现出黑土平均有机质含量下降幅度最大,而草甸土平均有机质含量却有上升,可能归因于黑土脱离了原始的自然草甸植被影响后而造成有机质来源急剧下降,同时,黑土在嫩江市主要分布在波状平原地带,集约化耕作更频繁,易造成水土流失和有机质组分的快速分解[23]。而草甸土易受到地下水浸润的影响,有利于土壤有机质的保持,此外,草甸土由于所处地势较低,可能在一定程度上承载因流水侵蚀而冲刷下来的坡上表层富含有机质土壤颗粒,从而造成土壤有机质的富集。此外,对于容重而言,所有土壤类型的平均容重均有上升,且以暗棕壤上升幅度最大,这一现象可能与嫩江地区各土层以粉粒和黏粒为主的土壤特征有关,并且随着土层深度的增加。不同土壤类型的粉粒含量呈现出暗棕壤 > 黑土 > 草甸土的变化规律,而砂粒含量则表现出相反的趋势[24]。近年来,随着大型耕作机械的广泛应用,频繁的耕作和深耕破坏了土壤结构,且重型机械的反复碾压进一步加剧了这一过程。此外,缺乏有机质等胶结物质的投入,使得土壤变得更加紧实,导致容重增加[25]。由于暗棕壤粉粒含量较高而砂粒含量较少,其容重上升幅度尤为显著。这体现出了土壤有机质含量和容重的变化方向以及在不同土壤类型中的变化程度并非完全同步,有必要进一步深入探索不同土壤类型驱动的黑土地“变瘦”(以化学性质为主)和“变硬”(以物理性质为主)内在关联机制。
通过本研究结果可以看出,土壤有机质和容重的变化受到土壤、气候和地形等多重因素的影响。通过2023年调查数据得出的相关性分析结果来看,土壤有机质主要与全氮、碱解氮、全磷等养分因子表现出较强的正相关性,而与容重等因子呈现出负相关性;这体现出了土壤有机质与养分赋存的协同性;一方面,土壤有机质可以作为土壤养分的重要来源,另一方面,较高的土壤养分水平也可以成为微生物合成代谢的底物,从而促进微生物残体的形成以及土壤有机质的稳定累积[26]。同时,土壤容重与有机质及大多数肥力指标呈现不同程度的负相关性,体现了良好土壤结构对土壤肥力长期保持的重要性。此外,表层土壤有机质和容重还分别与pH呈现出负相关和正相关,这与以往关于地带性土壤的研究结果相符[27-28]。通过进一步冗余分析结果可得,40年来土壤全氮的变化和全磷的变化与土壤有机质变化的协同性最强,而土壤容重的变化更大程度上受到黏粒含量、气候因素(有效积温和年均降水量)与地形因素(坡度)的影响。土壤黏粒是土壤中的细小颗粒,黏粒含量较高的土壤通常具有较好的保水性和保肥性[29],但同时也可能因为黏粒之间的相互作用而形成较为紧密的结构,导致土壤容重增加。有效积温影响土壤容重的原因主要是通过影响土壤的温度状况,进而影响土壤的物理性质和化学性质。年降水量的大小直接影响土壤的水分状况,进而影响土壤容重。坡度较大的地区通常土壤较为疏松,促使消落带土壤的结构恶化,保水保肥能力降低,使得土壤容重随坡度的增加而增加[30]。因此,应在嫩江市中漫川漫岗黑土区的坡耕地推广坡耕地黑土保土提质的综合技术模式[31]。通过等高改垄来降低垄向坡度,减少地表径流的冲刷;利用秸秆覆盖条耕增加地表覆盖度和粗糙度,有效防治水土流失;同时,将水土流失过程中冲刷并沉积于坡脚和河道的淤泥作为基质,辅以牛粪和秸秆等有机物,制成有机肥料还田,从而快速提升侵蚀退化黑土的质量。
4 结论嫩江市耕地土壤有机质和容重均具有较明显的空间分异性,二者的空间分布规律大致相反。40余年来,嫩江市耕地土壤总体存在“变瘦”和“变硬”的趋势,但土壤“变瘦”和“变硬”程度及方向在不同情境中并非完全协同;其中,土壤有机质下降以表层土壤更明显,而土壤容重的增加幅度在亚表层土壤更大;同时,不同土壤类型中,位于波状平原的黑土平均有机质含量下降幅度最大,而草甸土的有机质含量则有所上升;对于容重而言,所有土壤类型的平均容重均有上升,以暗棕壤上升幅度最大。未来应着重解决嫩江市西南部土壤培肥和犁底层消除等问题。本研究揭示了土壤理化性质与地理环境之间复杂而紧密的相互关系,为农业生产和土壤管理提供了重要的科学依据。
| [1] |
Dai W H, Huang Y. Relation of soil organic matter concentration to climate and altitude in zonal soils of China[J]. Catena, 2006, 65(1): 87-94. DOI:10.1016/j.catena.2005.10.006
( 0) |
| [2] |
Guo N J, Shi X Z, Zhao Y C, et al. Environmental and anthropogenic factors driving changes in paddy soil organic matter: A case study in the middle and Lower Yangtze River Plain of China[J]. Pedosphere, 2017, 27(5): 926-937. DOI:10.1016/S1002-0160(17)60383-7
( 0) |
| [3] |
Zheng L, Wu W L, Wei Y P, et al. Effects of straw return and regional factors on spatio-temporal variability of soil organic matter in a high-yielding area of northern China[J]. Soil and Tillage Research, 2015, 145: 78-86. DOI:10.1016/j.still.2014.08.003
( 0) |
| [4] |
Zhu H F, Nan F, Xu Z J, et al. Multi-scale spatial relationships between soil organic matter and influencing factors in basins of the Chinese Loess Plateau (In Chinese)[J]. Acta Ecologica Sinica, 2017, 37(24): 8348-8360. [朱洪芬, 南锋, 徐占军, 等. 黄土高原盆地土壤有机质与影响因子的空间多尺度关系[J]. 生态学报, 2017, 37(24): 8348-8360.]
( 0) |
| [5] |
Hu B F, Xie M D, Li H Y, et al. Stoichiometry of soil carbon, nitrogen, and phosphorus in farmland soils in Southern China: Spatial pattern and related dominates[J]. Catena, 2022, 217: 106468. DOI:10.1016/j.catena.2022.106468
( 0) |
| [6] |
Yang W Y. Effects of soil bulk density and moisture on penetration resistance and corn growth in typical black soil[D]. Lanzhou: Gansu Agricultural University, 2023.[杨文苑. 土壤容重和水分对典型黑土穿透阻力及玉米生长的影响[D]. 兰州: 甘肃农业大学, 2023.]
( 0) |
| [7] |
Yan B X, Yang Y H, Liu X T, et al. Present status of soil erosion and evolution tendency of black soil region of northeast (In Chinese)[J]. Soil and Water Conservation in China, 2017, 37(12): 26-30. DOI:10.3969/j.issn.1000-0941.2008.12.009 [朱洪芬, 南锋, 徐占军, 等. 黄土高原盆地土壤有机质与影响因子的空间多尺度关系[J]. 生态学报, 2017, 37(24): 8348-8360.]
( 0) |
| [8] |
Liu D W, Wang Z M, Zhang B, et al. Spatial distribution of soil organic carbon and analysis of related factors in croplands of the black soil region, NorthEast China[J]. Agriculture, Ecosystems & Environment, 2006, 113(1/2/3/4): 73-81.
( 0) |
| [9] |
Bai Y J, Ren C Y, Wang Z M, et al. Spatial variability and influencing factors analysis of farmland soil organic matter and total nitrogen in the west Songnen Plain (In Chinese)[J]. Journal of Hunan University of Science & Technology: Natural Science Edition, 2015, 30(1): 121-128. [白一君, 任春颖, 王宗明, 等. 松嫩平原西部农田土壤有机质和全氮的空间分布影响因素分析[J]. 湖南科技大学学报(自然科学版), 2015, 30(1): 121-128.]
( 0) |
| [10] |
Wang J K, Xu X R, Pei J B, et al. Current situations of black soil quality and facing opportunities and challenges in Northeast China (In Chinese)[J]. Chinese Journal of Soil Science, 2021, 52(3): 695-701. [汪景宽, 徐香茹, 裴久渤, 等. 东北黑土地区耕地质量现状与面临的机遇和挑战[J]. 土壤通报, 2021, 52(3): 695-701.]
( 0) |
| [11] |
Zhao L J. Estimation of soil erosion rate of sloping farmland with different reclamation years in black soil region of NorthEast China based on magnetic susceptibility[D]. Dalian, Liaoning: Liaoning Normal University, 2023.[赵丽君. 基于磁化率估算东北黑土区不同开垦年限坡耕地土壤侵蚀速率[D]. 辽宁大连: 辽宁师范大学, 2023.]
( 0) |
| [12] |
Jiang Y, Wang J, Zhang L. Morphology and distribution characteristics of erosion gully in the typical black soil region of Northeast China (In Chinese)[J]. Transactions of the Chinese Society of Agricultural Engineering, 2020, 36(7): 157-165. [姜芸, 王军, 张莉. 东北典型黑土区侵蚀沟形态及分布特征[J]. 农业工程学报, 2020, 36(7): 157-165.]
( 0) |
| [13] |
Soil Census Office, Nenjiang County, Heilongjiang Province. Soil in Nenjiang County[Z]. 1986.[黑龙江省嫩江县土壤普查办公室. 嫩江县土壤[Z]. 1986.]
( 0) |
| [14] |
Bao S D. Soil and agricultural chemistry analysis (In Chinese). 3rd ed[M]. Beijing: China Agriculture Press, 2000. [鲍士旦. 土壤农化分析[M]. 3版. 北京: 中国农业出版社, 2000.]
( 0) |
| [15] |
Xi C F. Soil taxonomy (In Chinese). Beijing: China Agriculture Press, 1994. [席承藩. 土壤分类学[M]. 北京: 中国农业出版社, 1994.]
( 0) |
| [16] |
Han G Z, Wang D C, Xie X J. Pedotransfer functions for prediction of soil bulk density for major types of soils in China (In Chinese)[J]. Acta Pedologica Sinica, 2016, 53(1): 93-102. DOI:10.11766/trxb201504200151 [韩光中, 王德彩, 谢贤健. 中国主要土壤类型的土壤容重传递函数研究[J]. 土壤学报, 2016, 53(1): 93-102.]
( 0) |
| [17] |
Liu C, Liu X Y, Liu P. Analysis on the changes of organic matters and their influencing factors of typical black soil areas in Songliao plain (In Chinese)[J]. Geology and Resources, 2020, 29(6): 550-555. [刘驰, 刘希瑶, 刘澎. 松辽平原典型黑土区有机质的变化及影响因素分析[J]. 地质与资源, 2020, 29(6): 550-555.]
( 0) |
| [18] |
Han X Z, Zou W X. Research perspectives and footprint of utilization and protection of black soil in Northeast China (In Chinese)[J]. Acta Pedologica Sinica, 2021, 58(6): 1341-1358. DOI:10.11766/trxb202102280114 [韩晓增, 邹文秀. 东北黑土地保护利用研究足迹与科技研发展望[J]. 土壤学报, 2021, 58(6): 1341-1358.]
( 0) |
| [19] |
Pires L F, Borges J A R, Rosa J A, et al. Soil structure changes induced by tillage systems[J]. Soil and Tillage Research, 2017, 165: 66-79. DOI:10.1016/j.still.2016.07.010
( 0) |
| [20] |
Dal Ferro N, Sartori L, Simonetti G, et al. Soil macro- and microstructure as affected by different tillage systems and their effects on maize root growth[J]. Soil and Tillage Research, 2014, 140: 55-65. DOI:10.1016/j.still.2014.02.003
( 0) |
| [21] |
Kuncoro P H, Koga K, Satta N, et al. A study on the effect of compaction on transport properties of soil gas and water. Ⅱ: Soil pore structure indices[J]. Soil and Tillage Research, 2014, 143: 180-187. DOI:10.1016/j.still.2014.01.008
( 0) |
| [22] |
Zhang F R. Soil geography (In Chinese). Beijing: China Agriculture Press, 2001. [张凤荣. 土壤地理学[M]. 北京: 中国农业出版社, 2001.]
( 0) |
| [23] |
Jiang Y. Study on evaluation of sustainable utilization of cultivated land resources in Heilongjiang Province[D]. Harbin: Helongjiang University, 2024.[姜源. 黑龙江省耕地资源可持续利用评价研究[D]. 哈尔滨: 黑龙江大学, 2024.]
( 0) |
| [24] |
Tan T H. Evaluation of soil degradation and productivity of agricultural land in the typical black soil region of Songnen[D]. Wuhan: Huazhong Agricultural University, 2023.[澹腾辉. 松嫩典型黑土区农田土壤退化和生产力评价[D]. 武汉: 华中农业大学, 2023.]
( 0) |
| [25] |
Shen K H. Fertility distribution characteristics of main soil types in eastern Dongliao County[D]. Changchun: Jilin Agricultural University, 2024.[申凯宏. 东辽县东部主要土壤类型剖面肥力分布特征[D]. 长春: 吉林农业大学, 2024.]
( 0) |
| [26] |
Xu Y D, Gao X D, Pei J B, et al. Crop root vs. shoot incorporation drives microbial residue carbon accumulation in soil aggregate fractions[J]. Biology and Fertility of Soils, 2022, 58(8): 843-854. DOI:10.1007/s00374-022-01666-5
( 0) |
| [27] |
Dai W H, Huang Y, Wu L, et al. Relationships between soil organic matter content(som)and pH in topsoil of zonal soils in China (In Chinese)[J]. Acta Pedologica Sinica, 2009, 46(5): 851-860. DOI:10.3321/j.issn:0564-3929.2009.05.013 [戴万宏, 黄耀, 武丽, 等. 中国地带性土壤有机质含量与酸碱度的关系[J]. 土壤学报, 2009, 46(5): 851-860.]
( 0) |
| [28] |
Zu Y G, Li R, Wang W J, et al. Soil organic and inorganic carbon contents in relation to soil physicochemical properties in northeastern China (In Chinese)[J]. Acta Ecologica Sinica, 2011, 31(18): 5207-5216. [祖元刚, 李冉, 王文杰, 等. 我国东北土壤有机碳、无机碳含量与土壤理化性质的相关性[J]. 生态学报, 2011, 31(18): 5207-5216.]
( 0) |
| [29] |
Chen Y J, Fang K, Qin S Q, et al. Spatial patterns and determinants of soil organic carbon component contents and decomposition rate in temperate grasslands of Nei Mongol, China (In Chinese)[J]. Chinese Journal of Plant Ecology, 2023, 47(9): 1245-1255. [陈颖洁, 房凯, 秦书琪, 等. 内蒙古温带草地土壤有机碳组分含量和分解速率的空间格局及其影响因素[J]. 植物生态学报, 2023, 47(9): 1245-1255.]
( 0) |
| [30] |
Chai H, He N P. Evaluation of soil bulk density in Chinese terrestrial ecosystems for determination of soil carbon storage on a regional scale (In Chinese)[J]. Acta Ecologica Sinica, 2016, 36(13): 3903-3910. [柴华, 何念鹏. 中国土壤容重特征及其对区域碳贮量估算的意义[J]. 生态学报, 2016, 36(13): 3903-3910.]
( 0) |
| [31] |
Department of Farmland Construction Management, Ministry of Agriculture and Rural Development, Center for Cropland Quality Monitoring and Protection, Ministry of Agriculture and Rural Development. Northeast black soil protection and utilization technology model[R]. Beijing, 2021.[农业农村部农田建设管理司, 农业农村部耕地质量监测保护中心. 东北黑土地保护利用技术模式[R]. 北京, 2021.]
( 0) |
2025, Vol. 62



0)