2. 南京农业大学资源与环境科学学院, 南京 211800;
3. 黑龙江省黑土保护利用研究院, 农业农村部黑土地保护与利用重点实验室, 黑龙江省农业科学院, 哈尔滨 150086
2. College of Resources and Environmental Sciences, Nanjing Agricultural University, Nanjing 211800, China;
3. Heilongjiang Academy of Black Soils Conservation and Utilization, Key Laboratory of Black Soil Protection and Utilization, Ministry of Agriculture and Rural Affairs, Heilongjiang Academy of Agricultural Sciences, Harbin 150086, China
磷素是植物生长的关键营养元素,对作物的生长发育起着重要作用。全球数据分析表明,在陆地生态系统中,合理施用磷肥可显著提高植物地上、地下生物量以及磷含量,分别增加34%、13%和72%[1]。然而,由于磷素易被土壤固持,导致过量施用磷肥并不会进一步增加作物生物量,反而可能降低作物产量[2]。不恰当的磷肥施用不仅造成资源浪费,还可能导致环境风险[3]。过去40年间,我国作物生产中的磷肥投入量增加了13倍[4],尤其是在长江流域,土壤磷的年积累量从1970至2010年激增81倍[5]。近20年来,长江太湖流域农田土壤中磷含量持续上升,普遍表现出磷过量积累和流失增加现象[6]。汪玉等[7]通过对太湖流域农田土壤采样分析发现,超过65.2%的农田土壤有效磷(Olsen-P)高于20 mg·kg–1,施磷量超出作物营养需求。这些研究结果凸显了磷肥利用面临的严峻挑战,包括产量的不确定性和对环境的潜在风险。因此,实施科学磷肥管理,对于优化作物产量和减少磷资源浪费至关重要。
磷肥在提高水稻产量方面发挥着关键作用,但过量磷投入会增加磷流失风险[8],尤其是在稻田生态系统[9]。据估计,全球约有15%的水稻田面临磷污染的威胁[10]。这主要是由于水稻生产对水资源的大量需求,加之灌溉方式的无序和缺乏规划,导致磷资源随水流失严重。研究表明,影响磷流失风险的因素主要包括土壤全磷、Olsen-P、有机质等,其中Olsen-P含量是磷径流损失的主要影响因素[11],在太湖流域,高有效磷含量致使稻麦轮作种植体系的径流磷损失达P 5.14 kg·hm–2[12]。与小麦、玉米等旱作作物相比,水稻一方面在灌溉季节对水的需求巨大,水资源浪费现象较为严重;另一方面水资源的不足又会降低水稻光合速率,进而影响产量[13]。因此,合理规划稻季灌溉方式,对减少磷损失和保障水稻产量具有重要意义。
综上所述,磷素营养和水分供应对水稻生长至关重要。面对水资源和磷素资源日益增长的消耗压力,选择适宜的施磷量和灌溉方式,对于维持水稻产量和保护生态环境具有重大意义。本研究选取太湖流域的典型水稻种植区域,连续两年监测稻田的水稻产量、吸磷量、土壤磷含量、磷损失及磷平衡,通过对比不同磷肥用量与灌溉模式,评估磷肥与灌溉管理的优化策略,旨在为稻田养分管理及面源污染防控提供科学依据。
1 材料与方法 1.1 试验区概况田间试验位于江苏省宜兴市禾欣农场(31°41′N,120°40′E),地处太湖流域,属亚热带季风湿润气候,年均温17 ℃,年降水量1 177 mm,是典型稻麦轮作区。土壤为湖积物母质发育的水稻土。试验始于2020年稻季,初始土壤0~20 cm耕层性质为:pH 6.3、有机碳16.7 g·kg–1、全氮1.37 g·kg–1、全磷0.49 g·kg–1、速效钾75.6 mg·kg–1、碱解氮146 mg·kg–1、有效磷20.7 mg·kg–1。
1.2 试验设计采用随机区组设计,进行双因素试验,共设置9个处理:1)淹水+P2O5 0 kg·hm–2(R1P0),2)淹水+P2O5 45 kg·hm–2(R1P45),3)淹水+P2O5 90 kg·hm–2(R1P90),4)轻度落干+P2O5 0 kg·hm–2(R2P0),5)轻度落干+P2O5 45 kg·hm–2(R2P45),6)轻度落干+P2O5 90 kg·hm–2(R2P90),7)重度落干+P2O5 0 kg·hm–2(R3P0),8)重度落干+P2O5 45 kg·hm–2(R3P45),9)重度落干+P2O5 90 kg·hm–2(R3P90)。每个处理3个重复。采用干湿交替灌溉法,水分自然蒸发至水势降到试验阈值时进行灌溉,循环往复,详见表 1。
|
|
表 1 水稻季各处理灌溉方式 Table 1 Irrigation method of each treatment in the rice season |
每季作物施用氮肥(尿素,46% N)、钾肥(氯化钾,60% K2O)分别为纯氮300 kg·hm–2和K2O 90 kg·hm–2。氮肥按30%作为基肥施用,40%在分蘖期追肥,30%在拔节期追肥。磷肥(过磷酸钙,12% P2O5)和钾肥作为基肥一次性施用。试验小区地块(7 m×8 m = 56 m2)四周设40 cm宽人行道,采用塑料薄膜沿地块内侧边缘隔离以防止肥料交叉污染,隔离深度50 cm。水稻品种为南粳46,采用人工插秧。田间管理遵守当地农业规范,病虫害防治主要依靠杀虫剂和定期人工除草,收获前的农田排水被记录为径流事件。
1.3 样品采集与分析水稻植株和土壤样品采集于2022年和2023年稻季收获期。水稻成熟后,试验小区采用人工收割,用脱粒机将籽粒和秸秆分离。在水稻成熟季,每个小区采集10株地上植物样本,并对水稻产量构成因子包括穗数、穗粒数、千粒重、结实率进行测定。秸秆和籽粒60 ℃干燥,测定全磷含量。产量记录为试验小区实际产量。通过计算植株的干重和磷含量来确定作物吸磷量。
采用“S”型布点法对小区随机取点,用直径5 cm土钻随机采集5个深度为20 cm土芯,每个小区的样品经过混合形成单一复合土壤。土壤样品风干,去除植物根部和碎屑,研磨后过20目筛测定土壤有效磷含量,过100目筛用于土壤全磷和磷分级的测定。
试验小区出口处设置径流池(长×宽×高,0.5 m× 0.5 m×0.5 m)收集径流。径流事件多发生于降雨和烤田时期,径流样本采集日期为:2022-6-18、2022-7-2、2022-8-20、2022-9-25、2023-6-20、2023-7-2、2023-8-14、2023-9-22。采用聚氯乙烯多孔管收集0~40、40~60、60~100 cm土壤深度的渗滤液。在水稻种植季,每隔15天用真空泵收集一次渗滤液。由于作物根系深度有限,以60~100 cm深为渗漏磷。稻季渗滤液总量由地表水单日渗滤液量乘以淹水期持续时间。用纤维素滤纸过滤收集的样品,并用连续流动分析仪(Skala,Netherlands)对磷浓度进行测定。
根据Wang等[14]采用改良方法提取土壤磷组分。称取0.500 g风干土壤进行七种磷组分提取:1)去离子水和树脂条提取Resin-P;2)30 mL 0.5 mol·L–1的NaHCO3提取NaHCO3-Pi和NaHCO3-Po;3)30 mL 0.5 mol·L–1的NaOH提取NaOH-Pi和NaOH-Po;4)30 mL 1 mol·L–1的HCl提取HCl-P;5)360 ℃下H2SO4-H2O2消解Residual-P。每次提取在25 ℃ 180 r·min–1振荡16 h,随后在0 ℃ 8 000 r·min–1离心10 min,通过0.45 μm滤膜过滤上清液。将NaHCO3和NaOH提取物分为两部分,分别测定全磷和无机磷,有机磷含量为全磷和无机磷差值。使用紫外分光光度计(UV-2500日本,700 nm)和抗坏血酸钼蓝法测量磷含量。
作物全磷采用硫酸-过氧化氢消煮—钼锑抗比色法测定;土壤有效磷(Olsen-P)用碳酸氢钠(pH = 8.5)浸提—钼锑抗比色法测定;土壤全磷采用硫酸-高氯酸消煮—钼锑抗比色法测定[15]。
1.4 数据处理通过上述数据进行结实率、磷肥农学效率、磷肥利用率、径流磷损失、渗漏磷损失、流失系数、削减率的计算以及相关性分析。主要计算公式:
| $ \text { 结实率 }(\%)=\text {(实粒数/总粒数)} \times 100 \text { ;} $ |
| $ \begin{array}{l} \;\;\;\;\;\;{\rm{磷肥农学效率(kg\cdot k}}{{\rm{g}}^{{\rm{-1}}}}{\rm{) = [施磷处理籽粒产量}}\\ {\rm{(kg\cdot h}}{{\rm{m}}^{{\rm{–2}}}}{\rm{)不施磷处理籽粒产量(kg\cdot h}}{{\rm{m}}^{{\rm{–2}}}}{\rm{)]/[施磷}}\\ {\rm{量(kg\cdot h}}{{\rm{m}}^{{\rm{–2}}}}{\rm{) ];}} \end{array} $ |
| $ \begin{array}{l} \;\;\;\;\;\;{\rm{磷肥利用率(\% ) = [施磷区地上部磷积累量}}\\ {\rm{(kg\cdot hm^{–2})-不施磷区地上部磷积累量(kg\cdot hm^{–2})]/[施}}\\ {\rm{磷量(kg\cdot hm^{–2})] \times 100;}} \end{array} $ |
| $ \begin{array}{l} \;\;\;\;\;\;{\rm{单次径流磷损失 (kg\cdot h}}{{\rm{m}}^{{\rm{–2}}}}{\rm{) = [小区单次径流磷}}\\ {\rm{浓度(mg\cdot}}{{\rm{L}}^{{\rm{ -1}}}}{\rm{) \times 单次径流水体积(L)/10^6] \times 10\;000}}\\ {\rm{(}}{{\rm{m}}^{\rm{2}}}{\rm{)/小区面积(}}{{\rm{m}}^{\rm{2}}}{\rm{);}} \end{array}$ |
| $ \text { 径流磷损失 }\left(\mathrm{kg} \cdot \mathrm{hm}^{–2}\right)=\text { 单次径流磷损失之和;} $ |
| $ \begin{array}{l} \;\;\;\;\;\;{\rm{渗漏磷损失 (kg\cdot h}}{{\rm{m}}^{{\rm{–2}}}}{\rm{) = [渗漏磷浓度(mg\cdot}}{{\rm{L}}^{{\rm{ -1}}}}{\rm{)}}\\ {\rm{ \times 渗漏水体积(L)/10^6] \times 10 \;000(}}{{\rm{m}}^{\rm{2}}}{\rm{)/小区面积(}}{{\rm{m}}^{\rm{2}}}{\rm{);}} \end{array}$ |
| $ \begin{array}{l} \;\;\;\;\;\;{\rm{磷流失系数(\% ) = [施磷处理磷流失量((kg\cdot h}}{{\rm{m}}^{{\rm{–2}}}}{\rm{)}}\\ {\rm{-不 施 磷 处 理 磷 流 失 量 (kg\cdot h}}{{\rm{m}}^{{\rm{–2}}}}{\rm{)}}\left] {\rm{/}} \right[{\rm{施 磷 量}}\\ {\rm{(kg\cdot h}}{{\rm{m}}^{{\rm{–2}}}}{\rm{)] \times 100;}} \end{array} $ |
| $ \begin{array}{l} \;\;\;\;\;\;{\rm{削减率(\% ) = [施磷处理磷流失量(kg\cdot h}}{{\rm{m}}^{{\rm{–2}}}}{\rm{)}} -\\ {\rm{不施磷处理磷流失量(kg\cdot h}}{{\rm{m}}^{{\rm{–2}}}}{\rm{)}}\left] {\rm{/}} \right[{\rm{施磷处理磷流失}}\\ {\rm{量(kg\cdot h}}{{\rm{m}}^{{\rm{–2}}}}{\rm{)] \times 100;}} \end{array} $ |
Microsoft Office Excel 2021进行数据整理。SPSS 24.0进行双因素方差分析发现仅径流磷损失和总磷损失下灌溉方式和不同施磷量存在交互作用,因此本研究将不施磷肥和重度落干处理(R3P0)作对照,以便比较施磷量和灌溉方式对稻田生产力和磷平衡影响的加和作用。采用OriginPro 2023和R软件进行数据可视化。利用随机森林模型分析土壤磷组分对磷损失和产量影响的主要预测因子。采用AMOS软件构建结构方程模型(SEM),并利用SEM分析灌溉和施磷处理下磷组分对产量和磷损失的影响。
2 结果 2.1 灌溉和施磷处理对作物生产力的影响不同处理下穗数、穗粒数、千粒重及结实率如表 2所示。2022年穗数、穗粒数、千粒重、结实率分别为2.78×106~3.16×106 hm–2、99~119粒、25.5~28.6 g、90.3%~93.7%。穗数、穗粒数、千粒重、结实率随施磷量增加呈现增长趋势,但未表现出显著差异。2023年穗数、穗粒数、千粒重、结实率分别为2.75×106~3.17×106 hm–2、97~120粒、25.2~29.9 g、89.3%~94.0%。R1P90、R2P90穗数较R3P0分别增加15.3%和15.8%;R2P90穗粒数增加29.8%;R2P90处理结实率增加5.41%。
|
|
表 2 不同处理水稻产量构成因子 Table 2 Factors of rice yield under different treatments |
在连续两年监测中,均以R3P0处理的秸秆和籽粒产量最低(图 1)。2022年R1P90和R2P90秸秆产量较R3P0分别增加14.2%和14.5%,R2P90籽粒产量增加9.47%;2023年R1P45、R1P90、R2P45、R2P90秸秆产量分别增加9.97%、16.6%、11.6%、15.5%,R2P90籽粒产量增加12.8%。
|
注:不同小写字母表示处理间差异显著(P < 0.05)。下同。 Note: The different lowercase letters indicate significant differences among treatments (P < 0.05). The same below. 图 1 不同处理水稻产量 Fig. 1 The rice yield under different treatments |
两年田间监测均以R3P0处理吸磷量最低(图 2)。2022年R1P90和R2P90秸秆吸磷量较R3P0增加21.0%和21.5%;R1P45、R1P90、R2P45、R2P90、R3P90籽粒吸磷量增加16.4%、19.3%、19.8%、22.4%、16.2%。2023年R1P45、R1P90、R2P45、R2P90、R3P90秸秆吸磷量较R3P0增加17.7%、27.4%、20.0%、28.4%、15.2%;R1P45、R1P90、R2P45、R2P90、R3P90籽粒吸磷量增加17.5%、22.3%、23.1%、25.6%、17.6%。
|
注:不同小写字母表示处理间差异显著(P < 0.05)。下同。 Note: The different lowercase letters indicate significant differences among treatments (P < 0.05). The same below. 图 2 不同处理水稻吸磷量 Fig. 2 The rice P uptake under different treatments |
磷肥农学效率和磷肥利用率随施磷量的增加而降低(表 3)。其中磷肥农学效率以R1P45最高,在2022年和2023年分别为16.3%和17.0%;施磷量为P2O5 90 kg·hm–2处理的磷肥农学效率范围在8.87%~11.4%之间。磷肥利用率以R2P45最高,在2022年和2023年分别为21.7%和25.3%,P2O5 90 kg·hm–2处理的磷肥利用率范围在11.5%~18.2%之间。
|
|
表 3 不同处理磷肥农学效率、磷肥利用率、流失系数及削减率 Table 3 P agronomy efficiency, P use efficiency, loss coefficient, and reduction rate under different treatments |
径流量随施磷量和灌溉量的增加而增加,而渗漏仅随施磷量增加,且径流磷损失显著高于渗漏(图 3)。在两年的监测期内,均以R1P90处理的径流和渗漏磷损失最高,R3P0处理最低。2022年R1P45、R1P90、R2P45、R2P90、R3P45、R3P90径流磷损失较R3P0分别上升193%、377%、126%、188%、73.0%、127%;渗漏磷损失增加51.1%、76.1%、42.8%、56.0%、38.9%、46.2%。2023年径流磷损失分别增加258%、523%、170%、275%、165%、231%;渗漏磷损失增加105%、156%、93.7%、123%、89.0%、111%。磷流失系数和削减率随灌溉量的减少而降低,磷流失系数随施磷量增加而降低,削减率随施磷量增加而升高(表 3)。其中磷流失系数和削减率以R1P90最高,2022年分别为0.84%和65.0%;2023年分别为2.20%和74.2%。
|
注:不同小写字母表示处理间差异显著(P < 0.05)。下同。 Note: The different lowercase letters indicate significant differences among treatments (P < 0.05). The same below. 图 3 不同处理稻田土壤磷损失量 Fig. 3 The P loss content of paddy soil under different treatments |
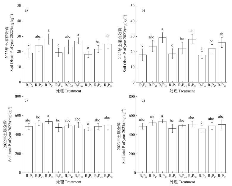
施磷显著提高了土壤有效磷含量,土壤全磷和有效磷随灌溉量的减少而呈降低趋势(图 4)。在两年监测中,有效磷和全磷含量范围分别为17.8~29.2 mg·kg–1和461~540 mg·kg–1,其中以R3P0处理最低。2022年R1P90、R2P90、R3P90有效磷含量较R3P0分别增加54.6%、47.8%、37.0%;R1P45、R1P90全磷含量增加13.4%、16.7%。2023年R1P90、R2P90、R3P90有效磷含量较R3P0分别增加64.2%、58.3%、46.1%;R1P45、R1P90全磷含量增加14.1%、17.2%。
|
注:不同小写字母表示处理间差异显著(P < 0.05)。 Note: The different lowercase letters indicate significant differences among treatments (P < 0.05). 图 4 不同处理稻田土壤有效磷和全磷含量 Fig. 4 The Olsen-P (a and b) and total P content (c and d) of paddy soil under different treatments |
施磷处理显著增加了土壤Resin-P、NaHCO3-Pi、NaOH-Pi(图 5)。2022年R1P45、R1P90、R2P45、R2P90、R3P45、R3P90处理中Resin-P较R3P0分别增加95.6%、150%、84.6%、135%、83.5%、125%;NaHCO3-Pi分别增加58.0%、98.8%、45.5%、96.7%、39.7%、82.1%;NaOH-Pi分别增加24.0%、60.5%、20.8%、53.1%、18.0%、50.9%。2023年Resin-P分别增加127%、212%、123%、192%、121%、189%;NaHCO3-Pi分别增加58.1%、103%、50.6%、101%、47.5%、92.4%;NaOH-Pi分别增加36.2%、74.1%、26.8%、64.2%、24.3%、58.3%。2023年R1P45、R1P90、R2P90、R3P90处理中NaOH-Po分别增加53.7%、66.0%、68.4%、56.9%。施磷处理和灌溉方式对NaHCO3-Po、HCl-P、Residual-P含量无显著影响。
|
图 5 不同处理稻田土壤磷分级 Fig. 5 The P fraction of paddy soil under different treatments |
对农田磷输入(磷肥施用)和输出(包括作物吸磷量和径流与渗漏磷损失)进行磷平衡计算(图 6)。结果显示,与不施磷相比,施磷处理显著增加磷输出,其中以R2P90最高,2022年和2023年分别为43.0 kg·hm–2和44.2 kg·hm–2;以R3P0最低,分别为34.3 kg·hm–2和33.6 kg·hm–2。2022年R1P45、R1P90、R2P45、R2P90、R3P90处理中磷输出较R3P0分别增加17.6%、25.3%、19.3%、24.3%、15.4%;2023年磷输出分别增加21.1%、31.5%、23.9%、30.5%、19.7%。不施磷和P2O5 45 kg·hm–2处理呈现磷亏损。三种施磷处理下磷平衡均值为P -35.1、-20.3、-2.51 kg·hm–2。
|
图 6 不同处理稻季磷平衡 Fig. 6 P balance of rice season under different treatments |
采用随机森林模型分析土壤磷组分对磷损失和产量影响的主要预测因子(图 7a和图 7b)。结果表明,Resin-P、Olsen-P、NaOH-Pi、TP、NaHCO3-Pi、NaOH-Po是土壤磷损失的主要预测因子;而Olsen-P、NaOH-Pi、TP、Resin-P、NaHCO3-Pi、NaOH-Po是产量的主要预测因子。
|
注:TP,全磷;STE,标准总效应;产量=秸秆产量+籽粒产量;磷损失=径流+渗漏。箭头上的数字表示标准化的路径系数,箭头的粗细表示影响效应的大小。虚线表示影响不显著(P > 0.05),实线表示影响显著(P < 0.05)。“*”表示变量对指标具有显著重要性。 Note: TP, total phosphorus; STE, standard total effect; Yield = rice grain + wheat grain; P loss = runoff + leachates. The number on the arrow represents the standardized path coefficient, and the thickness of the arrow represents the size of the impact effect. Dashed lines donate the non-significant effects (P > 0.05), while solid lines donate the significant effects (P < 0.05). "*" indicates that the variable is of significant importance to the indicator. 图 7 不同处理影响磷损失和产量的随机森林模型(a和b)、结构方程模型分析(c)和标准化总效应(d) Fig. 7 The random forest analysis (a and b), structural equation modeling analysis (c), and the standardized total effects (d) affecting P loss and yield under different treatments |
利用结构方程模型(SEM)分析灌溉和施磷处理对磷组分与磷损失和产量关系的影响(图 7c和图 7d)。SEM分析显示,施磷对TP、NaOH-Pi和NaOH-Po具有显著的正向影响,路径系数分别为0.94、0.98和0.67;灌溉方式对NaOH-Pi有直接和积极的影响,路径系数为0.45;TP对Olsen-P影响显著,路径系数为0.59;NaOH-Pi对NaHCO3-Pi和Olsen-P有直接和积极的影响,路径系数分别为0.48和0.47。Resin-P对磷损失,及Olsen-P对产量均有显著的正向影响,路径系数分别为0.71和0.54(图 7c)。对磷损失和产量的标准化总效应进行分析发现,Olsen-P对产量的标准化总效应最大,为0.84;而Resin-P对磷损失的标准化总效应最高,为0.79(图 7d)。
3 讨论 3.1 适量施磷可保障作物生产力和提高土壤磷有效性合理施用磷肥是提升作物产量的关键。然而,作物对磷肥的响应存在饱和点,过量施磷并不会显著增加产量[16]。本研究发现,与不施磷相比,施磷提高了作物产量和吸磷量,增幅为2.20%~11.5%和8.97%~21.4%(图 1和图 2)。P45和P90处理间的产量和吸磷量未有显著差异,表明超过一定阈值的施磷量并不会带来额外的增长。先前有研究表明,水稻产量与施磷量之间存在二次函数关系,即初始时随施磷量增加而提高,随后趋于稳定甚至下降[2],这可能与过量施磷导致作物抽穗率降低有关。此外,与不施磷或过量施磷相比,适量施磷能够促进植物根系伸长,从而提高作物的吸磷能力和产量[17]。在本研究中,与P2O5 45 kg·hm–2处理相比,P2O5 90 kg·hm–2处理下的穗数和穗粒数达到峰值,但不存在显著性差异,且磷肥农学效率和磷肥利用率显著降低,分别平均降低34.9%和29.4%(表 2),表明高施磷量虽然能够提高产量,但效益增长有限。因此,在农业生产中,应综合考量肥料成本与作物产能,以实现农业经济效益最大化。
本研究结果显示,随施磷量的增加,土壤Olsen-P、Resin-P、NaHCO3-Pi、NaOH-Pi含量显著增加(图 4和图 5)。这一现象部分归因于化学磷肥中活性磷的快速释放,致使土壤有效磷、Resin-P、NaHCO3-Pi含量快速增加;另一部分则是因为土壤磷酸盐阴离子与铁、铝、钙等元素形成沉淀物[18],或吸附于铁/铝氧化物表面[19],进而增加了NaOH-P磷库。Olsen-P是确保作物产量的关键因素,汪玉等[20]在对长江流域水旱轮作体系的土壤磷水平进行分析中指出,当Olsen-P含量处于20~30 mg·kg–1时,对水稻及旱作作物施磷效果均不显著,而当Olsen-P含量小于10 mg·kg–1时,旱作作物均需施磷。本研究中施磷处理的Olsen-P含量均显著高于20 mg·kg–1,这与作物产量在不同施磷处理间未有显著差异的观察结果一致。因此,在评估土壤磷有效性对作物产量的影响时,P2O5 45 kg·hm–2的施磷量已能满足作物需求。
土壤磷平衡受施磷量、作物带走量和磷损失等因素的共同影响,随着施肥时间和施肥量的增加,土壤磷盈余将逐渐增加[21]。本研究通过计算稻季磷输入输出发现,不施磷和P2O5 45 kg·hm–2处理存在磷亏损,而P2O5 90 kg·hm–2处理可维持稻季磷平衡(图 6)。因此,在考虑土壤磷平衡对作物产量的影响时,P2O5 90 kg·hm–2的施磷量能够满足作物需求,但可能增加磷流失风险(图 3)。综合以上分析,在推荐施磷量时,应根据当地具体农田背景值进行评估,当土壤有效磷含量高于20 mg·kg–1时,推荐施用P2O5 45 kg·hm–2以在保证作物产量的同时减少磷损失;当土壤有效磷含量低于10 mg·kg–1时[20],则推荐施用P2O5 90 kg·hm–2以维持磷的收支平衡。
3.2 减少灌溉水量可降低土壤磷损失土壤磷水平是农田磷流失的关键因素[22]。本研究发现,与不施磷相比,施磷显著增加了土壤磷流失,增加幅度为79.1%~292%(图 3和图 7)。归因于高施磷量导致田间水体磷浓度升高[23],进而在径流发生时加剧磷流失[24]。研究表明,在水稻生长季初期施磷后,田面水和渗漏水的全磷、溶解态磷和颗粒态磷浓度会迅速达到峰值随后逐渐降低[23]。水稻生长季,当降雨量超过田间护堤的蓄水能力时,产生径流[25],因此,通过提高田间护堤高度以延长田面水的滞留时间,尤其是在水稻生长早期或强降雨后,是减少磷向周边水体扩散的有效策略[26]。此外,通过改变稻季灌溉方式,在不影响水稻生产力的前提下扩大稻田蓄水能力,是控制径流磷损失的另一重要措施。
稻田特有的灌水淹育和排水疏干的周期性交替,使得在实际生产中需要持续进行人工灌溉。然而,过高的灌溉量会降低稻田蓄水能力,增加磷流失风险。本研究结果表明,与持续淹水处理相比,轻度和重度落干处理均显著降低了稻田磷损失,分别平均下降27.0%和35.6%,尤其是径流磷损失,分别降低31.5%和41.3%(图 3)。此外,落干处理还降低了磷流失系数和削减率,分别平均降低52.9%和12.6%,这进一步表明适度落干的农田管理措施能够有效降低磷损失。因此,在水稻生长期,根据作物的需水规律合理利用天然降水,并适度减少灌溉量,是控制稻田磷流失的关键措施。考虑到重度落干可能对水稻生产力产生负面影响(表 2和图 1),本研究推荐轻度落干结合合理施肥,作为平衡作物生产力和减少磷流失的有效策略。
3.3 调控作物生产力和土壤磷损失的管理策略作物产量与土壤磷损失受多种因素影响,包括施磷量、灌溉方式及土壤磷组分等。本研究通过结构方程模型探讨了施磷量、灌溉方式、土壤全磷、Olsen-P、以及土壤磷组分对作物产量和磷损失的影响。结果表明土壤磷是影响水稻产量和磷损失的关键因素,其中Olsen-P和NaOH-Pi对产量影响显著,而Resin-P则是磷损失的主要预测因子(图 7)。Resin-P作为磷组分中活性最高的水溶性磷,其含量增加易导致田面水磷浓度升高,而田面水高磷浓度与径流事件相结合往往导致磷的大量流失,因此在预估稻季可能存在的磷流失风险时,土壤Resin-P含量也可作为一个潜在的预测因子。NaOH-Pi作为中等活性磷,与铁、铝等元素结合,不易造成磷损失,同时作为磷肥施入土壤后的主要磷库,在磷素转化过程中可转化为有效磷供作物吸收。值得注意的是,灌溉方式对水稻产量影响不显著,但对磷损失有显著影响(图 7d),证实了轻度落干灌溉方式在不影响作物产量的同时,可有效降低磷损失。此举措不仅提升了经济效益,还降低了人工成本。
本试验通过调整施磷量和灌溉方式,分析了其对作物生产力和土壤磷损失的综合影响。基于数据分析和模型预测,提出通过控制灌溉量和降低土壤Resin-P可有效减轻磷损失;同时,合理施用磷肥以维持适宜的NaOH-Pi对保障作物产量至关重要。在农业生产实践中,为应对土壤磷流失风险,已发掘出多种策略保障作物产量和维持土壤磷有效性。例如,在土壤稳定态磷较高的情况下,适量施用水溶性磷肥作为“启动磷”,可促进作物幼苗期根系的发育[27]。与土壤施磷相比,叶面施磷能被植物更迅速地吸收[28]。此外,施用有机替代或部分替代化学磷肥[29],由于有机物料主要以有机磷或中等活性磷形式存在,可降低磷的环境风险[30]。同时,有机物料能显著提升土壤微生物量和磷酸酶活性,促进中等活性磷向有效磷的转化[31]。因此,在保障产量的前提下减少磷损失,应采取合理的灌溉措施,并根据作物需磷特性及土壤磷含量,实施有效的管理措施。
4 结论适量施用磷肥(P2O5 45 kg·hm–2)能够提高水稻产量,而过量施用(P2O5 90 kg·hm–2)未能进一步增加产量,反而降低了磷肥利用率。此外,与传统的持续淹水灌溉方式相比,轻度落干灌溉方式在减少磷流失方面表现出显著效果,尤其是对径流磷损失的降低。结构方程模型分析显示,Olsen-P和NaOH-Pi是影响水稻产量的关键因素,而Resin-P则与磷损失紧密相关。建议在太湖流域的水稻生产中采用轻度落干灌溉方式,并依据土壤磷含量及作物需磷特性制定磷肥施用量。
| [1] |
Li Y, Niu S L, Yu G R. Aggravated phosphorus limitation on biomass production under increasing nitrogen loading: A meta-analysis[J]. Global Change Biology, 2016, 22(2): 934-943. DOI:10.1111/gcb.13125
( 0) |
| [2] |
Song T, Xu F Y, Yuan W, et al. Combining alternate wetting and drying irrigation with reduced phosphorus fertilizer application reduces water use and promotes phosphorus use efficiency without yield loss in rice plants[J]. Agricultural Water Management, 2019, 223: 105686. DOI:10.1016/j.agwat.2019.105686
( 0) |
| [3] |
Wang Y, Zhao X, Wang L, et al. Accumulation, environmental risk and control of phosphorus in rice/wheat rotation farmland in Taihu Lake watershed (In Chinese)[J]. Journal of Agro-Environment Science, 2014, 33(5): 829-835. [汪玉, 赵旭, 王磊, 等. 太湖流域稻麦轮作农田磷素累积现状及其环境风险与控制对策[J]. 农业环境科学学报, 2014, 33(5): 829-835.]
( 0) |
| [4] |
Liu X, Sheng H, Jiang S Y, et al. Intensification of phosphorus cycling in China since the 1600s[J]. Proceedings of the National Academy of Sciences of the United States of America, 2016, 113(10): 2609-2614.
( 0) |
| [5] |
Lü Y. Phosphorus balance in paddy-upland rotation system and processes of increasing soil phosphorus availability[D]. Beijing: China Agricultural University, 2016.[吕阳. 水旱轮作体系的磷平衡与土壤磷有效化过程研究[D]. 北京: 中国农业大学, 2016.]
( 0) |
| [6] |
Wang S Q, Zhao X, Xing G X, et al. Phosphorus pool in paddy soil and scientific fertilization in typical areas of Taihu Lake watershed, China (In Chinese)[J]. Soils, 2012, 44(1): 158-162. [王慎强, 赵旭, 邢光熹, 等. 太湖流域典型地区水稻土磷库现状及科学施磷初探[J]. 土壤, 2012, 44(1): 158-162.]
( 0) |
| [7] |
Wang Y, Yuan J H, Chen H, et al. Soil phosphorus pool evolution and environmental risk prediction of paddy soil in the Taihu Lake Region (In Chinese)[J]. Acta Pedologica Sinica, 2022, 59(6): 1640-1649. DOI:10.11766/trxb202012160696 [汪玉, 袁佳慧, 陈浩, 等. 太湖流域典型农田土壤磷库演变特征及环境风险预测[J]. 土壤学报, 2022, 59(6): 1640-1649.]
( 0) |
| [8] |
Yan J Y, Guo L X, Wang K K, et al. Status of soil phosphorus pool and environmental risk assessment in rice-oilseed rape rotation area in the Yangtze River Basin (In Chinese)[J]. Acta Pedologica Sinica, 2023, 60(1): 247-257. DOI:10.11766/trxb202108050327 [闫金垚, 郭丽璇, 王昆昆, 等. 长江流域稻-油轮作区土壤磷库现状及环境风险分析[J]. 土壤学报, 2023, 60(1): 247-257.]
( 0) |
| [9] |
Liu X P, Bi Q F, Qiu L L, et al. Increased risk of phosphorus and metal leaching from paddy soils after excessive manure application: Insights from a mesocosm study[J]. Science of the Total Environment, 2019, 666: 778-785. DOI:10.1016/j.scitotenv.2019.02.072
( 0) |
| [10] |
Wang Y, Huang Y Y, Song L, et al. Reduced phosphorus availability in paddy soils under atmospheric CO2 enrichment[J]. Nature Geoscience, 2023, 16: 162-168. DOI:10.1038/s41561-022-01105-y
( 0) |
| [11] |
Wang W L, Liang T, Wang L Q, et al. The effects of fertilizer applications on runoff loss of phosphorus[J]. Environmental Earth Sciences, 2013, 68(5): 1313-1319. DOI:10.1007/s12665-012-1829-2
( 0) |
| [12] |
Yu Y F, Wang Y, Li S, et al. Phosphorus surplus under organic fertilizer substitution in a rice-wheat rotation system (In Chinese)[J]. Journal of Agro-Environment Science, 2023, 42(7): 1554-1562. [于云飞, 汪玉, 李爽, 等. 稻麦轮作农田有机无机肥配施下磷平衡研究[J]. 农业环境科学学报, 2023, 42(7): 1554-1562.]
( 0) |
| [13] |
Miao Z M, Yu S E, Lu B, et al. Relationships of 'water requirement-photosynthesis-production' for paddy rice using structural equation modeling (In Chinese)[J]. Transactions of the Chinese Society of Agricultural Engineering, 2013, 29(6): 91-98. [缪子梅, 俞双恩, 卢斌, 等. 基于结构方程模型的控水稻"需水量-光合量-产量"关系研究[J]. 农业工程学报, 2013, 29(6): 91-98.]
( 0) |
| [14] |
Wang Y, Zhao X, Wang L, et al. Phosphorus fertilization to the wheat-growing season only in a rice–wheat rotation in the Taihu Lake region of China[J]. Field Crops Research, 2016, 198: 32-39. DOI:10.1016/j.fcr.2016.08.025
( 0) |
| [15] |
Lu R K
. Analytical methods for soil and agro-chemistry (In Chinese). Beijing: China Agricultural Science and Technology Press, 2000. [鲁如坤
. 土壤农业化学分析方法[M]. 北京: 中国农业科技出版社, 2000.]
( 0) |
| [16] |
Gu Y, Ros G H, Zhu Q C, et al. Responses of total, reactive and dissolved phosphorus pools and crop yields to long-term fertilization[J]. Agriculture, Ecosystems & Environment, 2023, 357: 108658.
( 0) |
| [17] |
Mai W X, Xue X R, Feng G, et al. Can optimization of phosphorus input lead to high productivity and high phosphorus use efficiency of cotton through maximization of root/mycorrhizal efficiency in phosphorus acquisition?[J]. Field Crops Research, 2018, 216: 100-108. DOI:10.1016/j.fcr.2017.11.017
( 0) |
| [18] |
Gérard F. Clay minerals, iron/aluminum oxides, and their contribution to phosphate sorption in soils—A myth revisited[J]. Geoderma, 2016, 262: 213-226. DOI:10.1016/j.geoderma.2015.08.036
( 0) |
| [19] |
Pérez C, Antelo J, Fiol S, et al. Modeling oxyanion adsorption on ferralic soil, Part 1: Parameter validation with phosphate ion[J]. Environmental Toxicology and Chemistry, 2014, 33(10): 2208-2216. DOI:10.1002/etc.2612
( 0) |
| [20] |
Wang Y, Ren T, Zhang Y, et al. Limitation standard of phosphorus management under paddy-upland rotation cropping system in Yangtze River Basin (In Chinese)[J]. Phosphate & Compound Fertilizer, 2021, 36(2): 19-21. [汪玉, 任涛, 张勇, 等. 长江流域水旱轮作体系磷素管理限量标准(草案)[J]. 磷肥与复肥, 2021, 36(2): 19-21.]
( 0) |
| [21] |
Shen P, Xu M G, Zhang H M, et al. Long-term response of soil Olsen P and organic C to the depletion or addition of chemical and organic fertilizers[J]. Catena, 2014, 118: 20-27. DOI:10.1016/j.catena.2014.01.020
( 0) |
| [22] |
Wang R, Shi W M, Li Y L. Evaluation of phosphate fertilizer reduction on annual phosphorus loss under intensive open-field vegetable production (In Chinese)[J]. Acta Pedologica Sinica, 2023, 60(1): 224-234. DOI:10.11766/trxb202102050078 [王瑞, 施卫明, 李奕林. 磷肥减施对集约化露天菜地周年磷损失削减效果评价[J]. 土壤学报, 2023, 60(1): 224-234.]
( 0) |
| [23] |
Yan J Y, Ren T, Wang K K, et al. Optimizing phosphate fertilizer input to reduce phosphorus loss in rice-oilseed rape rotation[J]. Environmental Science and Pollution Research, 2023, 30(11): 31533-31545.
( 0) |
| [24] |
Gray C W, McDowell R W, Carrick S, et al. The effect of irrigation and urine application on phosphorus losses to subsurface flow from a stony soil[J]. Agriculture, Ecosystems & Environment, 2016, 233: 425-431.
( 0) |
| [25] |
Yaqubi M, Shahraki J, Sabouhi Sabouni M. On dealing with the pollution costs in agriculture: A case study of paddy fields[J]. Science of the Total Environment, 2016, 556: 310-318. DOI:10.1016/j.scitotenv.2016.02.193
( 0) |
| [26] |
Liu L H, Ouyang W, Liu H B, et al. Drainage optimization of paddy field watershed for diffuse phosphorus pollution control and sustainable agricultural development[J]. Agriculture, Ecosystems & Environment, 2021, 308: 107238.
( 0) |
| [27] |
Zhu J, Li M, Whelan M. Phosphorus activators contribute to legacy phosphorus availability in agricultural soils: A review[J]. Science of the Total Environment, 2018, 612: 522-537. DOI:10.1016/j.scitotenv.2017.08.095
( 0) |
| [28] |
Li Y T, Li X Y, Xiao Y, et al. Advances in study on mechanism of foliar nutrition and development of foliar fertilizer application (In Chinese)[J]. Scientia Agricultura Sinica, 2009, 42(1): 162-172. [李燕婷, 李秀英, 肖艳, 等. 叶面肥的营养机理及应用研究进展[J]. 中国农业科学, 2009, 42(1): 162-172.]
( 0) |
| [29] |
Yu Y F, Chen H, Chen G L, et al. Deciphering the crop-soil-enzyme C: N: P stoichiometry nexus: A 5-year study on manure-induced changes in soil phosphorus transformation and release risk[J]. Science of the Total Environment, 2024, 934: 173226. DOI:10.1016/j.scitotenv.2024.173226
( 0) |
| [30] |
Chen H, Yuan J H, Chen G L, et al. Long-term biochar addition significantly decreases rice rhizosphere available phosphorus and its release risk to the environment[J]. Biochar, 2022, 4(1): 54. DOI:10.1007/s42773-022-00178-7
( 0) |
| [31] |
Chen G L, Yuan J H, Chen H, et al. Manure application influences microbial stoichiometry and alters microbial life strategies to regulate phosphorus bioavailability in low-P paddy soil[J]. Soil & Tillage Research, 2024, 244: 106241.
( 0) |
2026, Vol. 63



0)