2. 中国科学院大学, 北京 100049;
3. 浙江大学环境与资源学院, 杭州 310058
2. University of Chinese Academy of Sciences, Beijing 100049, China;
3. College of Environmental and Resource Sciences, Zhejiang University, Hangzhou 310058, China
东北黑土区作为我国重要的商品粮基地,然而,集约化农业引发的频繁耕作扰动已导致显著的黑土退化现象[1]。保护性耕作能够加强地表上下的生物多样性和自然生物过程,有助于提高水分和养分的利用效率,改善土壤团聚体组分,增加土壤碳氮磷等养分含量[2-3],是保护和恢复黑土结构和功能的重要措施。
磷素动态作为黑土可持续利用的重要指标,其赋存形态演变值得关注。当前东北农田磷肥施用量达130.8 kg·hm-2,但利用率低,在2008—2018年间黑土区年均磷淋溶损失高达1.128×106 kg[4],是农业面源污染的主要原因。长期以来普遍认为,土壤中的大多数磷主要由大颗粒态和可溶态的磷(< 450 nm)组成,而越来越多的研究表明,耕地土壤溶液中40%~58%的钼蓝反应磷和85%以上的钼蓝非反应磷是胶体磷[5]。土壤胶体磷(TPcoll,1~1 000 nm)通过无机/有机胶体结合形成,常与金属氧化物、有机质和黏土矿物等结合[6],其迁移速度较磷酸根更快,移动性更强[6],在强降雨等剪切力作用下可被释放到土壤溶液中。同时,胶体磷可能也是大土壤团聚体中磷转化为具有高生物利用度的正磷酸盐的中间产物[7]。因此,胶体磷在农业土壤系统中的迁移和转化具有重要的环境和生态学意义。研究表明,免耕等保护性耕作措施会增加表层土壤磷含量的,但也可能增加径流过程中溶解态磷流失的风险[8]。目前,黑土保护性耕作研究多集中于探究对土壤物理结构和化学性质的影响,关于黑土保护性耕作对胶体磷含量的影响缺乏关注。
因此,本研究通过对比分析典型黑土区长期保护性耕作与传统耕作体系的土壤剖面,探究不同耕作模式下胶体磷的垂直分异规律及土壤结构参数与胶体磷赋存形态的耦合关系,研究成果将为黑土磷素管理提供科学依据,对评估面源污染风险和完善保护性耕作技术体系具有双重科学价值,为黑土保护提供科学参考。
1 材料与方法 1.1 研究区概况研究区设在黑龙江省海伦市的中国科学院海伦农田生态系统国家野外科学观测研究站(47°26′N,126°38′E),试验田未发生水土流失。该地区属于北温带大陆性季风气候,年平均气温1.5 ℃,年有效积温(≥10 ℃)为2 450 ℃,年均总辐射为113 MJ·cm–2,年平均光照时间为2 600~2 800 h,年平均降雨量530 mm,主要集中在7—9月,无霜期125 d[9],冬季寒冷干燥,夏季高温多雨。该地区主要土壤类型为黑土,质地较为黏重,持水和保水能力较强,其下为淋溶层,最下面为母质层,土壤母质为黄土状亚黏土。
1.2 试验设计2004年秋季起开展长期田间定位试验,实行玉米-大豆年际轮作。设有保护性耕作(NT,秸秆覆盖免耕)和传统耕作(CT,平翻)两种耕作方式,每个处理3次重复,随机布设6个试验区块(长40 m、宽8.4 m)。秸秆覆盖免耕处理不进行任何翻耕,用除草剂控制杂草,秋季收获后留茬,将秸秆粉碎后全部还田覆盖在地表,次年原垄种植。传统耕作处理按照当地耕作措施,同样用除草剂人工控制杂草,秋收后秸秆全部离田,秋季进行翻耕,深度约为20 cm,耙平后起垄。
所有样地均按照农民常规施肥方式施肥。5月初大豆N、P、K施用量51.75、20.25、15 kg·hm–2;5月初玉米N、P、K施用量51.75、69、15 kg·hm–2,并于6月末追施N 69 kg·hm–2。
1.3 样品采集与测定土壤样品于2021年玉米收获后采集,将土壤剖面分为8层,分别为0~5、5~10、10~15、15~20、20~40、40~60、60~80、80~100 cm。采用土钻法(荷兰钻)结合五点法采样,环刀样品通过逐层取样法采集,样品风干后过2 mm筛测定相关指标(表 1)。
|
|
表 1 保护性耕作和传统耕作下不同土壤剖面基本理化性质 Table 1 Basic physical and chemical properties of different soil profiles under conservation tillage and traditional tillage |
土壤胶体磷的测定采用超滤法[10],具体操作如下:(1)称取20 g土壤放入250 mL锥形瓶,加160 mL去离子水,放入摇床150 r·min–1浸提16 h;(2)依次用1 000、450和220 nm的微孔滤膜抽滤浸出液用于后续的分析;(3)取15 mL过220 nm微孔滤膜的滤液放入3 kDa(孔径≤1 nm)的超滤管中,4 000 ×g离心40 min,收集底部的滤液用于后续分析(通过孔径为1 000、450和220 nm滤膜的滤液(样品Ⅰ)中含有胶体态和真溶态磷,通过3 kDa滤膜的溶液为除去胶体成分的真溶态组分(样品Ⅱ);(4)在样品Ⅰ和样品Ⅱ加入50 g·L–1的过硫酸钾溶液,121 ℃下消解30 min,用钼蓝比色法测定磷浓度,二者之差即为TPcoll浓度;(5)用钼蓝比色法测定未消解样品中的磷浓度(钼蓝反应磷,MRP),TPcoll和MRP之差为钼蓝非反应磷(MUP)浓度。相邻滤膜尺寸之间磷含量之差为不同尺寸的土壤胶体磷、胶体MRP和胶体MUP的实际浓度。设置3组平行样进行测定。
土壤物理化学指标的测定:采用玻璃电极pH计测定土壤pH(土水比为1︰5);称取通过2 mm筛孔的风干土样2 g,用乙酸铵法[11]测定土壤阳离子交换量(CEC);称取过0.25 mm筛孔的风干土样0.2500 g,采用NaOH熔融—钼锑抗比色法[12]测定全磷(TP);采用元素分析仪测定土壤全碳(TC)和全氮(TN);采用0.5 mol·L–1 NaHCO3(pH 8.5)提取土壤有效磷(Olsen P),并用钼蓝比色法分析[11];使用环刀取样,用烘干法[13]测定其容重和含水率,用环刀浸泡法[14]测定和计算田间持水量、孔隙度及非毛管孔隙度。
1.4 数据处理用Origin2021软件进行图表处理,用SPSS25.0软件进行数据相关性分析,采用独立样本t检验和单因素方差分析(ANOVA),用最小显著差法(Least-significant Difference,LSD)和邓肯(Duncan)分析法进行平均数之间的差异分析。
2 结果 2.1 土壤胶体磷含量剖面分布由图 1可知,同一土层,相比于CT处理,NT显著增加了胶体磷(TPcoll)含量(P < 0.05),平均增加33.40%,且NT增加了胶体磷含量在表层的变化率(NT在0~20 cm表层TPcoll含量降低63.70%,CT处理表层降低61.80%),降低了深层的变化率(NT在20~100 cm深层TPcoll含量降低45.45%,CT深层降低51.22%),表层降幅均大于深层。NT处理胶体磷含量在0~5 cm处为(6.64 ± 0.35)mg·kg–1,在80~100 cm处为(1.04 ± 0.01)mg·kg–1,降低84.35%;CT处理胶体磷含量在0~5 cm处为(3.90 ± 0.02)mg·kg–1,在80~100 cm处为(0.63 ± 0.43)mg·kg–1,降低83.82%,整体上均呈现随土层深度增加而下降的趋势。对于表层土壤,NT处理TPcoll含量的下降曲线整体较为平滑,而CT处理下降曲线较曲折,在0~15 cm土层间变化率较小,仅降低9.54%,15~20 cm处降低57.77%。
|
注:图中误差线为标准差,下同。不同小写字母表示胶体磷含量在同一耕作方式下不同土壤剖面的差异(P < 0.05);不同大写字母表示胶体磷含量在同一土壤剖面下不同耕作方式的差异(P < 0.05)。 Note: The error bar is the standard deviation. The same below. Different small letters indicate significant difference between different soil profiles in the same tillage method of colloidal phosphorus at 0.05 level. Different capital letters indicate significant difference between different soil tillage methods in the same soil profile of colloidal phosphorus at 0.05 level. 图 1 不同耕作方式下土壤剖面胶体磷含量 Fig. 1 The content of colloidal phosphorus in soil profiles under different tillage methods |
由图 2可知,NT和CT处理的FPcoll(1~220 nm的胶体磷)含量和及其在胶体磷中的占比均远高于LPcoll(450~1 000 nm的胶体磷)和MPcoll(220~450 nm的胶体磷)(P < 0.05),NT处理FPcoll的平均占比为73.47%,CT为74.34%,且整体MPcoll占比最低(NT为10.40%,CT为9.30%)。3种粒径的胶体磷含量均为表层高于深层,NT增加了LPcoll、MPcoll和FPcoll的含量,表层依次增加13.25%、148.62%和28.22%,深层依次增加29.58%、4.35%和41.34%,且使MPcoll在表层的平均占比显著提高了82.60%(P < 0.05)。在两种耕作方式下,LPcoll在表层的平均占比均显著低于深层(P < 0.05),CT处理的MPcoll在深层的平均占比较表层高129.76%(P < 0.05),FPcoll在深层的平均占比较表层低19.62%(P < 0.05),而NT处理无显著差异(P > 0.05)。
|
注:FPcoll为1~220 nm的细颗粒胶体磷,MPcoll为220~450 nm的中等尺度胶体磷,LPcoll为450~1 000 nm的大尺寸胶体磷。不同大写字母表示相同土层不同耕作方式的差异显著(P < 0.05)。 Note: FPcoll is fine particle colloidal phosphorus of 1-220 nm, MPcoll is medium scale colloidal phosphorus of 220-450 nm, and LPcoll is large size colloidal phosphorus of 450-1 000 nm. Different capital letters indicate significant difference between different soil tillage methods in the same soil layer at 0.05 level. 图 2 不同耕作方式下各粒径胶体磷含量 Fig. 2 The content of colloidal phosphorus at different particle size under different tillage methods |
如图 3所示,NT处理整体上增加了MRP和MUP的平均含量(P < 0.05),其中MRP增加18.44%,MUP增加49.19%,但NT使表层土壤中MRP在胶体磷中的占比显著降低了12.21%(P < 0.05)。
|
注:MRP为胶体钼蓝反应磷,MUP为胶体钼蓝非反应磷。 Note: MRP, colloidal molybdate reactive phosphorus; MUP, colloidal molybdate unreactive phosphorus. 图 3 不同耕作方式下胶体钼蓝反应磷(MRP)和胶体钼蓝非反应磷(MUP)含量 Fig. 3 The content of colloidal molybdate reactive phosphorus (MRP) and colloidal molybdate unreactive phosphorus (MUP) under different tillage methods |
MRP的含量在表层变化率较大(NT降低73.93%,CT降低78.14%),深层变化率较小(NT降低47.62%,CT降低19.29%),但MUP的下降速度不一致,NT表层MUP含量降低51.92%,深层降低41.62%,而CT表层降低41.33%,深层降低62.85%。
图 4为MRP含量在各粒径中的占比,NT和CT处理中FMRP含量占比均为最高,各层平均占比分别为59.64%(NT)和63.22%(CT),MMRP(220~450 nm的胶体钼蓝反应磷)占比最低(NT平均为13.92%,CT平均为9.94%)。NT处理下,3种粒径MRP占比在各土层间的变化幅度均低于CT,LMRP(4 500~1 000 nm的胶体钼蓝反应磷)和MMRP的占比分别增加117.19%和78.14%,FMRP(1~220 nm的胶体钼蓝反应磷)占比降幅为24.85%;CT中LMRP和MMRP的占比分别增加289.26%和279.90%,FMRP占比降幅为45.53%。NT处理表层土壤FMRP的平均占比较CT处理降低5.66%,而MMRP的平均占比增加40.04%。
|
注:FMRP为1~220 nm的MRP,MMRP为220~450 nm的MRP,LMRP为450~1 000 nm的MRP。 Note: FMRP is MRP of 1-220 nm, MMRP is MRP of 220-450 nm, and LMRP is MRP of 450-1 000 nm. 图 4 不同耕作方式下胶体钼蓝反应磷(MRP)在各粒径中占比 Fig. 4 The proportion of colloidal molybdate reactive phosphorus (MRP) in different particle size under different tillage methods |
从图 5可看出,NT处理整体上提高了胶体磷在全磷中的占比(NT中占比为0.19%~0.67%,CT中占比为0.13%~0.48%),各土层平均提高30.49%。TPcoll/TP在表层的下降速度高于深层,NT处理TPcoll/TP在表层降低0.341%,降幅50.54%,深层降低0.087%,降幅31.47%。CT处理TPcoll/TP在表层降低0.247%,深层降低0.105%,但0~15 cm的表层中TPcoll/TP占比较高且较为稳定(0.46%~0.48%),15~20 cm土层占比降至0.23%,降幅50.31%。NT和CT处理中TPcoll/TP随着土壤深度的增加整体呈下降的趋势。
|
图 5 不同耕作方式土壤剖面胶体磷在全磷中占比 Fig. 5 The proportion of colloidal phosphorus in total phosphorus in soil profiles under different tillage methods |
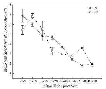
从图 6可得,NT使表层土壤MRP和有效磷的比值增加6.22%,但整体上使深层土壤中的比值降低11.51%(NT处理比值范围1.84%~6.89%,CT处理1.84%~6.85%)。NT处理MRP/Olsen P随着土层的加深而降低,CT处理比值随深度的变化有波动,整体呈下降趋势,表层的比值显著高于深层(P < 0.05)。
|
图 6 不同耕作方式土壤剖面胶体钼蓝反应磷在有效磷中的占比 Fig. 6 The proportion of colloidal molybdate reactive phosphorus in available phosphorus in soil profiles under different tillage methods |
图 7的分析结果显示,NT和CT处理的胶体磷含量与土壤基本理化指标间的相关性基本一致。胶体磷含量和容重呈显著负相关,和田间持水量、土壤孔隙度、全磷含量、有效磷、全碳及全氮呈显著正相关。
|
* P≤0.05,** P≤0.01,*** P≤0.001. 图 7 不同耕作方式胶体磷和土壤基本理化指标的相关性 Fig. 7 The relationship between colloidal phosphorus and basic physical and chemical indicators of soil in different tillage methods |
本研究针对长期进行保护性耕作黑土农田土壤,通过0~100 cm土壤剖面各项理化指标(表 1)差异得出,NT改变了土壤部分理化性质,进而影响胶体磷在土层中的分布,显著增加了各土层胶体磷的含量(图 1)。同时,随着土壤深度的增加,胶体磷含量逐渐降低,胶体磷在全磷中的占比显著增加(图 5)。土壤中磷素的移动性较弱,主要集中在表层,难以穿透较厚的土层向下迁移,但仍可利用土壤中的孔隙向深层土壤迁移[15]。相对而言胶体磷具有较低的生物活性、较小的粒径和较强的迁移能力,因而其在深层土壤中含量增加明显。容重和胶体磷含量呈极显著负相关关系,土壤孔隙度和胶体磷含量呈显著正相关关系,主要原因在于孔隙可以增加水分和养分的运输,增加胶体磷吸附。研究表明小孔隙可能因其相对小的吸附表面积和快速水流限制磷的吸附,而大孔隙具有较大的吸附表面积且水流速更小,可增加磷的吸附[16]。NT处理胶体磷含量随深度的变化曲线较CT平缓,说明向下迁移通道顺畅,NT对土壤的扰动较小,有利于维持土壤的完整和结构稳定,促进土壤胶体聚合形成大粒径的水稳性团聚体[17],减少颗粒分散度[10],从而保持胶体磷的稳定。此外,较小的土壤扰动还可促进土壤孔隙结构连通性的增加,胶体磷可随孔隙向更深层土壤移动。而CT会导致土壤表层大团聚体被分散,土壤孔隙结构被破坏[18],降低水力传导率和加剧土壤侵蚀[19],阻断胶体磷向下迁移的通道。同时,细颗粒增加,土壤颗粒比表面积增大,吸附位点增加,促进了胶体磷的生成,导致胶体颗粒在0~15 cm表层向下迁移不明显,15~20 cm土层开始发生明显的迁移。秸秆覆盖免耕减少了土壤扰动,还减少了土壤水分的蒸发及雨滴对地表土壤的冲击,能大幅度降低地表径流和土壤流失,并减少细小颗粒对孔隙的充填,增加土壤入渗能力,提高土壤保水能力[20],这也可能是含水率和田间持水量均与胶体磷含量显著正相关的原因,也有助于作物更好地吸收水分、减少灌溉。
土壤TP、有效磷、TC和TN含量均与胶体磷含量呈正相关(图 7),秸秆还田率和施磷量对磷的吸收有显著影响,秸秆还田后,土壤对磷的解吸能力和解吸速率逐渐增加[21]。秸秆覆盖还增加了外源养分的输入,同时NT增强土壤入渗性能并降低了表层土壤养分的径流损失,使得碳氮磷含量增加,可提高氮素平衡,增加磷的有效性[22]。Li等[7]研究发现胶体的有机碳含量控制了胶体中磷的饱和度,进而影响了胶体对磷的负载能力[23],磷饱和度越高越容易释放到水体中,有机碳可降低胶体磷的饱和度,减少其流失。研究表明pH会影响土壤胶体磷的释放,低pH(1.4~6.0)下胶体磷有较高的释放速率[24],pH降低可增加胶体量,NT显著降低了表层土壤pH[25],故而促进胶体磷增加。
NT增加了胶体钼蓝反应磷(MRP)和胶体钼蓝非反应磷(MUP)含量(图 3),但降低了表层土壤中MRP在TPcoll中的占比,同时NT还增加了表层土壤中MRP与Olsen-P的比值(图 6),土壤TPcoll及其组分MRP主要由1~220 nm的细颗粒携带(图 2和图 4)。MRP以无机正磷酸盐为主,通常可被植物利用;MUP以有机和多聚磷酸盐为主,主要带负电,一部分可被植物利用,更多的是被分解成无机磷后利用。大部分无机磷以铁、铝、钙盐的矿物形式存在,而在酸性土壤中以铁(铝)氧化物结合态为主。秸秆还田会降低无机磷的占比,有机磷的矿化会受有效磷含量的影响,较高和较低的Olsen P含量会促进有机磷的积累,但当其含量在8.1~18.9 mg·kg–1区间时会促进有机磷的矿化[26],且土壤团聚过程可以减少团聚体中有机磷的流失[27]。Niyungeko等[28]研究施用沼液后土壤中胶体磷的淋失规律,发现MRP是胶体磷淋失的主要形式,NT可能降低了胶体磷的流失,使得MRP占比增加。土壤有机磷的分解是一个生物作用的过程,分解矿化速度受土壤微生物活性的影响,表层土壤微生物含量较高,土壤有机磷分解矿化速度加快,这可能是土壤表层MUP占比低于深层的原因(图 3)。大部分形态的磷含量会随着土壤颗粒尺寸的减小而增加[10],增加了表层MPcoll的占比,这可能是由于秸秆覆盖增加了微生物的生物多样性,而微生物对较大尺寸的胶体磷的形成具有驱动作用[29]。MRP具有更高的活性和生物有效性,更易被植物利用,为其提供生长发育所需的养分,但同时相对于MUP伴随着更高的流失风险,需要合理地平衡二者之间的关系。
胶体磷中的不稳定性磷含量可能较原始土壤高,在土壤溶液中易于被微生物或磷酸酶水解,从而具备一定的生物可利用度[10],但胶体磷易流失迁移。许多研究发现肥料类型对土壤中胶体磷含量有影响[30],生物炭可降低胶体磷的含量[31],未来或可通过保护性耕作和生物炭施肥相结合等方式保护土壤结构的同时更好地调控胶体磷的环境行为,降低污染风险。
4 结论保护性耕作增加了黑土农田土壤剖面胶体磷的含量,TPcoll及其组分MRP主要存在于1~220 nm的细颗粒中。随着土壤深度的增加,NT和CT处理土壤中胶体磷的含量逐渐降低,NT对表层土壤胶体磷的作用大于对深层土壤。与长期进行CT处理的农田土壤相比,NT显著降低了表层土壤pH,增加了田间持水量、土壤孔隙度、TC、TP和有效磷的含量,土壤结构和养分状况更好,胶体磷在表层土壤中的增加最为显著。胶体磷可改善磷素的生物有效性,但易发生迁移和流失,NT降低了表层土壤MRP的占比,但较高的胶体磷含量仍可能增加其流失风险,造成水体的富营养化,需要进一步探索保护性耕作下增加胶体磷含量又能降低其流失风险的有效措施。
| [1] |
Huang Y T, Chen J X, Gao Y H, et al. Effects of long-term tillage on hydraulic properties of typical black soils (In Chinese)[J]. Acta Pedologica Sinica, 2024, 61(4): 998-1008. DOI:10.11766/trxb202212010665 [黄怡婷, 陈俊熹, 高钰淏, 等. 长期耕作对典型黑土水力性质的影响[J]. 土壤学报, 2024, 61(4): 998-1008.]
( 0) |
| [2] |
Lv L G, Gao Z B, Liao K H, et al. Impact of conservation tillage on the distribution of soil nutrients with depth[J]. Soil & Tillage Research, 2023, 225: 105527.
( 0) |
| [3] |
Wang W Y, Shen P F, Zhang H P, et al. Study on the relationship between total nitrogen and nitrogen functional microorganisms in soil aggregates under long-term conservation tillage (In Chinese)[J]. Acta Pedologica Sinica, 2024, 61(6): 1653-1667. DOI:10.11766/trxb202307120214 [王威雁, 沈鹏飞, 张侯平, 等. 长期保护性耕作下土壤团聚体全氮与氮功能微生物关系研究[J]. 土壤学报, 2024, 61(6): 1653-1667.]
( 0) |
| [4] |
Fan B Q, Wang H Y, Zhai L M, et al. Leached phosphorus apportionment and future management strategies across the main soil areas and cropping system types in northern China[J]. Science of the Total Environment, 2022, 805: 150441. DOI:10.1016/j.scitotenv.2021.150441
( 0) |
| [5] |
Hens M, Merckx R. The role of colloidal particles in the speciation and analysis of "dissolved" phosphorus[J]. Water Research, 2002, 36(6): 1483-1492. DOI:10.1016/S0043-1354(01)00349-9
( 0) |
| [6] |
Henderson R, Kabengi N, Mantripragada N, et al. Anoxia-induced release of colloid-and nanoparticle-bound phosphorus in grassland soils[J]. Environmental Science & Technology, 2012, 46(21): 11727-11734.
( 0) |
| [7] |
Li F Y, Liang X Q, Li H, et al. Enhanced soil aggregate stability limits colloidal phosphorus loss potentials in agricultural systems[J]. Environmental Sciences Europe, 2020, 32(1): 17. DOI:10.1186/s12302-020-0299-5
( 0) |
| [8] |
Chen X M, Zhang W, Gruau G, et al. Conservation practices modify soil phosphorus sorption properties and the composition of dissolved phosphorus losses during runoff[J]. Soil & Tillage Research, 2022, 220: 105353.
( 0) |
| [9] |
Chen Y, Liu S, Li H, et al. Effects of conservation tillage on corn and soybean yield in the humid continental climate region of Northeast China[J]. Soil & Tillage Research, 2011, 115: 56-61.
( 0) |
| [10] |
Li F Y. Study on the formation factors and loss control of colloidal phosphorus in typical agricultural soils of Zhejiang Province[D]. Hangzhou: Zhejiang University, 2021.[李发永. 浙江典型农田土壤胶体磷生成的影响因素与流失控制研究[D]. 杭州: 浙江大学, 2021.]
( 0) |
| [11] |
Lu R K
. Analytical methods for soil and agro-chemistry (In Chinese). Beijing: China Agricultural Science and Technology Press, 2000. [鲁如坤
. 土壤农业化学分析方法[M]. 北京: 中国农业科技出版社, 2000.]
( 0) |
| [12] |
Yao Y P, Di C X, Shi P
. Diagram of experimental analysis techniques: Soils (In Chinese). Beijing: China Agriculture Press, 2018. [姚一萍, 狄彩霞, 史培
. 实验分析技术图解: 土壤[M]. 北京: 中国农业出版社, 2018.]
( 0) |
| [13] |
Wang Y, Liu Y H, Zhang L F, et al. Effects of tillage mode on chestnut soil's physical characters and naked oats growth in Northwest Hebei Province (In Chinese)[J]. Transactions of the Chinese Society of Agricultural Engineering, 2014, 30(4): 109-117. [王岩, 刘玉华, 张立峰, 等. 耕作方式对冀西北栗钙土土壤物理性状及莜麦生长的影响[J]. 农业工程学报, 2014, 30(4): 109-117.]
( 0) |
| [14] |
Yan Y H, Zheng J Y, Zhang X C, et al. Impact of biochar addition into typical soils on field capacity in Loess Plateau (In Chinese)[J]. Journal of Soil and Water Conservation, 2013, 27(4): 120—124, 190. [颜永毫, 郑纪勇, 张兴昌, 等. 生物炭添加对黄土高原典型土壤田间持水量的影响[J]. 水土保持学报, 2013, 27(4): 120—124, 190.]
( 0) |
| [15] |
Yang X Y, Brookes P C, Li S X. Preliminary study on mechanism of phosphorus leaching in cumulic cinnamon soil (In Chinese)[J]. Plant Nutrition and Fertilizer Science, 2004, 10(5): 479-482. [杨学云, Brookes P C, 李生秀. 土壤磷淋失机理初步研究[J]. 植物营养与肥料学报, 2004, 10(5): 479-482.]
( 0) |
| [16] |
Backnäs S, Laine-Kaulio H, Kløve B. Phosphorus forms and related soil chemistry in preferential flowpaths and the soil matrix of a forested podzolic till soil profile[J]. Geoderma, 2012, 189: 50-64.
( 0) |
| [17] |
Pinheiro E F M, Pereira M G, Anjos L H C. Aggregate distribution and soil organic matter under different tillage systems for vegetable crops in a Red Latosol from Brazil[J]. Soil & Tillage Research, 2004, 77(1): 79-84.
( 0) |
| [18] |
Yuan J J, Peng S L, Jiang X J, et al. Effects of combing ridge and no-tillage on aggregates and organic matter in a rice-based cropping system (In Chinese)[J]. Transactions of the Chinese Society of Agricultural Engineering, 2010, 26(12): 153-160. [袁俊吉, 彭思利, 蒋先军, 等. 稻田垄作免耕对土壤团聚体和有机质的影响[J]. 农业工程学报, 2010, 26(12): 153-160.]
( 0) |
| [19] |
Kaplan D I, Bertsch P M, Adriano D C, et al. Soil-borne mobile colloids as influenced by water flow and organic carbon[J]. Environmental Science & Technology, 1993, 27(6): 1193-1200.
( 0) |
| [20] |
Bottinelli N, Angers D A, Hallaire V, et al. Tillage and fertilization practices affect soil aggregate stability in a Humic Cambisol of Northwest France[J]. Soil & Tillage Research, 2017, 170: 14-17.
( 0) |
| [21] |
Sun Y M. Effects of corn straw returning and phosphorus application on phosphorus adsorption and desorption characteristics of black soil (In Chinese)[J]. Journal of Agricultural Catastrophology, 2021, 11(10): 26-27. [孙毅民. 玉米秸秆还田及施磷量对黑土磷吸附与解吸特性的影响[J]. 农业灾害研究, 2021, 11(10): 26-27.]
( 0) |
| [22] |
Yang H K, Li J G, Wu G, et al. Maize straw mulching with no-tillage increases fertile spike and grain yield of dryland wheat by regulating root-soil interaction and nitrogen nutrition[J]. Soil & Tillage Research, 2023, 228: 105652.
( 0) |
| [23] |
Li F Y, Zhang Q, Klumpp E, et al. Organic carbon linkage with soil colloidal phosphorus at regional and field scales: Insights from size fractionation of fine particles[J]. Environmental Science & Technology, 2021, 55(9): 5815-5825.
( 0) |
| [24] |
Liang X Q, Liu J, Chen Y X, et al. Effect of pH on the release of soil colloidal phosphorus[J]. Journal of Soils and Sediments, 2010, 10(8): 1548-1556. DOI:10.1007/s11368-010-0275-6
( 0) |
| [25] |
Tian S Z, Ning T Y, Wang Y, et al. Effects of different tillage methods and straw-returning on soil organic carbon content in a winter wheat field (In Chinese)[J]. Chinese Journal of Applied Ecology, 2010, 21(2): 373-378. [田慎重, 宁堂原, 王瑜, 等. 不同耕作方式和秸秆还田对麦田土壤有机碳含量的影响[J]. 应用生态学报, 2010, 21(2): 373-378.]
( 0) |
| [26] |
Wang K K, Ren T, Yan J Y, et al. Soil phosphorus availability alters the effects of straw carbon on microbial mediated phosphorus conversion[J]. Plant and Soil, 2023, 491(1): 575-590.
( 0) |
| [27] |
Garland G, Bünemann E K, Oberson A, et al. Phosphorus cycling within soil aggregate fractions of a highly weathered tropical soil: A conceptual model[J]. Soil Biology & Biochemistry, 2018, 116: 91-98.
( 0) |
| [28] |
Niyungeko C, Liang X Q, Liu C L, et al. Effect of biogas slurry application rate on colloidal phosphorus leaching in paddy soil: A column study[J]. Geoderma, 2018, 325: 117-124. DOI:10.1016/j.geoderma.2018.03.036
( 0) |
| [29] |
Eltohamy K M, Menezes-Blackburn D, Klumpp E, et al. Microbially induced soil colloidal phosphorus mobilization under anoxic conditions[J]. Environmental Science & Technology, 2024, 58(17): 7554-7566.
( 0) |
| [30] |
Zhu X Q, Wang X C, Xin H J, et al. Environmental effects of soil colloidal phosphorus and its influencing factors (In Chinese)[J]. Soils and Crops, 2024, 13(1): 98-106. [朱雪骐, 王小春, 辛鸿娟, 等. 土壤胶体磷环境效应及其影响因素[J]. 土壤与作物, 2024, 13(1): 98-106.]
( 0) |
| [31] |
Wang Z W, Chen L L, Liu C L, et al. Reduced colloidal phosphorus loss potential and enhanced phosphorus availability by manure-derived biochar addition to paddy soils[J]. Geoderma, 2021, 402: 115348. DOI:10.1016/j.geoderma.2021.115348
( 0) |
2026, Vol. 63



0)