2. 江苏省有机固体废弃物资源化协同创新中心, 南京 210095;
3. 兰州大学草地微生物中心, 草种创新与草地农业生态系统全国重点实验室, 草地农业科技学院, 兰州 730000
2. Jiangsu Collaborative Innovation Center for Solid Organic Waste Resource Utilization, Nanjing 210095, China;
3. Centre for Grassland Microbiome, State Key Laboratory of Herbage Improvement and Grassland Agro-Ecosystems, College of Pastoral Agriculture Science and Technology, Lanzhou University, Lanzhou 730020, China
为满足不断增长的粮食需求,现代农业通常依赖大量化肥投入以提高粮食产量[1]。然而,长期过量施用化肥导致一系列问题,如土壤酸化[2]、土壤健康恶化[3]和生物多样性下降[4]等。有机物料在提升土壤肥力和调节土壤健康等方面均具有潜力,其拥有丰富的氮、磷、钾等养分,这些养分不仅能够缓慢释放以促进植物生长,还增强土壤肥力和微生物活性。作为重要的有机物料,秸秆还田能够增加土壤全氮和有机碳含量,从而提高土壤质量[5]。而生物质炭不仅具有长期固定碳的能力,为微生物提供其生存所需的碳源[6],而且其高表面积和多孔结构还可改善土壤性质[7],如提高pH、促进土壤团聚体的形成等[8]。因此,推动农业绿色发展,减施化肥并结合有机物料施用,更好地激活土壤动物的生态功能,已成为应对粮食安全与环境可持续性挑战的关键策略[9]。
在改善土壤健康的过程中,土壤线虫作为关键的土壤生物,发挥着至关重要的作用。土壤线虫广泛分布于土壤中,不仅种类多样,而且具有重要的生态功能。它们在土壤食物网中占据多个营养级,在有机物分解、养分转化和能量传递等生态过程中发挥着重要作用[10]。例如,食微线虫可改善环境胁迫的程度,有助于维持生态系统的稳定性[11];捕杂食线虫则通过捕食微生物和其他线虫调控氮矿化,是营养传递的重要通道[12]。此外,土壤线虫对外界环境具有高度敏感性,可作为土壤健康的指示生物[13]。尽管土壤线虫在驱动生态系统多功能方面发挥着至关重要的作用,但有关有机物料影响其群落动态变化的系统工作尚需进一步加强。有研究发现,秸秆还田可增加土壤中总线虫数量以及食细菌线虫、捕杂食线虫的丰度,提升线虫群落的多样性和生态稳定性[14];生物质炭增加自由生活线虫数量,促进食细菌线虫和捕食性线虫的能量流动,提高线虫结构指数和富集指数[15]。
土壤团聚体作为土壤的基本单元,对土壤生物尤其是线虫的分布和活动有着重要影响。土壤团聚体是由有机物和无机物共同作用形成的,其组成和空间结构决定了土壤孔隙与水气特征以及养分分布,从而为线虫等土壤生物提供栖息空间和食物来源[16-17]。团聚体的粒径大小及其结构复杂度可能会影响线虫群落的结构和功能,尤其是在不同粒径的团聚体中,土壤线虫的种群分布存在显著差异[18]。已有研究表明,土壤线虫在大团聚体中拥有更复杂的群落结构,特别是体型较大的捕杂食线虫在大团聚体中占主导地位,其c-p(殖民者-居住者,colonizer-persister)值通常较高,从而使大团聚体中线虫群落具有更高的结构指数[19]。因此,土壤团聚体的粒径大小和养分分布决定了线虫的栖息环境,从而影响其分布和生态功能。
由于我国亚热带旱地红壤具有强酸性、贫瘠化的土壤特性以及农田生态系统的高度敏感性,增加有机物料施用量成为提升土壤肥力和调控土壤生物群落的关键因素。尽管土壤团聚体、化肥减施和有机物料施用对土壤线虫群落的影响已有一定研究,但大多数研究侧重于单一因素的影响,且缺乏对团聚体尺度上线虫群落变化的系统分析。农业管理措施,如有机物料施用和化肥减施,不仅会影响土壤肥力和结构,还可能通过调控团聚体的形成、稳定性及其粒径分布,进一步影响线虫群落的组成和功能。基于此,本研究聚焦不同有机物料类型作用下团聚体尺度线虫群落的变化,探究其背后驱动因素,弥补了红壤地区农田土壤生物多样性在微观尺度上的研究不足,为评价红壤地区土壤生物健康提供新视角,从而为农业可持续发展提供科学依据。
1 材料与方法 1.1 试验地概况本研究于江西省进贤县红壤研究所开展。试验点地处28°15′30″N,116°20′24″E,属典型亚热带湿润气候区,常年气温维持在17.7~18.5 ℃,年均降水量约为1 537 mm。研究区地势较低,海拔高度25~30 m,地表坡度约5°,地形起伏较缓,适合开展野外原位土壤相关试验。经测定,该试验样地土壤基础理化性质如表 1所示。
|
|
表 1 试验样地土壤理化性质 Table 1 The physical and chemical properties of test sample plots |
试验所采用的有机物料包含两种类型:(1)水稻秸秆:该秸秆取自当地水稻收获环节;(2)生物质炭:由小麦秸秆制备,在制备过程中,需要用到连续竖式生物质炭化炉,将小麦秸秆放入该设备后,在350~500 ℃的温度下进行炭化处理,得到生物质炭,经过实际测量,其转化率为35%左右。秸秆、生物质炭的理化性质如表 2所示。
|
|
表 2 供试有机物料的理化性质 Table 2 The physical and chemical properties of the tested organic amendment |
田间试验始于2015年,本试验区的种植制度是红薯(Ipomoea batatas L.)和油菜(Brassica napus L.)轮作。在种植时间方面,红薯是在每年的5月至9月种植,油菜的种植时间则是从当年的10月至次年的5月。本研究基于化肥施用量与有机物料类型设置6个处理,分别为施用全量化肥氮磷钾(NPK)、全量化肥氮磷钾配施秸秆(NPKS)、全量化肥氮磷钾配施生物质炭(NPKB)、减量60%的NPK(60%NPK)、减量60%的NPK配施秸秆(60%NPKS)、减量60%的NPK配施生物质炭(60%NPKB),每处理设置4组重复,试验采用完全随机区组设计[20],每个小区面积为28 m2(4 m× 7 m)。本试验针对化肥与有机物料采用了集中一次性施用的方式。在每季作物移栽前,将化肥和有机物料按照试验设计剂量一次性撒施于种植区域。撒施后,通过精细的耕作措施,使化肥和有机物料与土壤充分融合,形成均匀的养分层。
1.3 样品采集与测定本研究于2019年5月即油菜的收获期采集土壤样品。采样过程中,遵循随机原则,在各处理小区中选择未受压实、远离植物根系干扰的代表性区域。每个小区设5个采样点,使用军工铲采集尺寸为10 cm × 10 cm × 15 cm的土体。采集时,轻剥变形表层,保留相对完整的结构层,并将样品置于预先编号的保鲜盒中密封保存。样品在运输过程中最大程度保持土壤结构的完整性及其原始理化状态。
为尽可能减少湿筛过程对土壤线虫及微生物群落的干扰,本研究采用干筛法对土壤团聚体进行分级。首先称取约2 kg土样,自然风干2~4 h,直至其含水量接近最大持水量的40%。随后,剔除可见的大型植物残体与砾石,沿自然裂隙轻轻掰开土块,并通过8 mm孔径筛网预处理后混匀。处理后的样品依次置于直径为20 cm、孔径分别为2 mm、1 mm与0.25 mm的三层套筛上,进行干筛操作。筛分过程中每次持续5 min,共重复3轮。最终,根据土样在各筛层的分布,分别获得粒径为大于2 mm、2~1 mm、1~0.25 mm及小于0.25 mm的不同等级土壤团聚体组分[19]。一份样品的团聚体分级控制时间为30 min以内,以保证土壤样品的新鲜。在完成对土壤团聚体的筛分操作后,将得到的各级团聚体样品均匀地分成两份,一份用于分离线虫,一份风干后测定土壤理化指标。
土壤理化性质的测定参照《土壤农化分析》[21]中所列标准步骤,采用常规方法进行分析。土壤含水量采用烘干法测定;土壤pH通过电位法使用pH计测定;可溶性有机碳(DOC)通过重铬酸钾氧化消煮法进行测定;铵态氮(NH4+-N)和硝态氮(NO3⁻-N)采用1 mol·L–¹ KCl溶液浸提后,通过流动分析仪(SEAL-AA3,德国)进行检测;土壤有机碳(SOC)与全氮(TN)则通过同位素比质谱仪(SerCon Integre 2,英国)联合测定。
土壤线虫的提取采用改良的浅盘分离结合蔗糖密度离心连续提取法[22]。分离结束后,线虫悬液静置至少1 h,随后使用胶头滴管沿离心管壁慢慢移除上层清液,以减少干扰。计数工作在体视显微镜(Motic SMZ-168,厦门)下进行,结合土壤含水量将结果换算为每100 g干物质量团聚体土壤中的线虫个体数。在线虫分类鉴定方面,随机挑取150~200条线虫个体置于载玻片上,如总量不足,则全部转移。经盖玻片封片后,在光学显微镜(Olympus BX50,日本)下进行属水平的形态学鉴定。鉴定依据参考de Nematoden van Nederland[23]和《中国土壤动物检索图鉴》[24]中的分类检索表。
1.4 数据分析与处理 1.4.1 土壤团聚体平均重量直径计算将经过分离处理后得到的各个粒级大小的团聚体,置于设定温度为40℃的烘箱中干燥至恒重,随后使用电子天平对干燥后的各粒级团聚体准确称重。为定量评价土壤团聚体的稳定性,本研究采用平均重量直径(Mean weight diameter,MWD)作为指标。其计算公式如下:
| $ \mathrm{MWD}=\sum\nolimits_{i=1}^n\left(X_i W_i\right) $ | (1) |
式中,Xi表示第i粒径级团聚体的平均直径,mm;Wi为该粒径级团聚体所占的质量百分比,%。MWD越大,表示土壤结构中稳定性较高的较大团聚体所占比例越高,反映出更强的团聚体稳定性。
1.4.2 线虫生态指数计算富集指数(Enrichment index,EI)可评估土壤线虫对土壤肥力状况的响应状况,计算公式具体如下:
| $\mathrm{EI}=100 \times(e \div(e+b))$ | (2) |
式中,e代表食物网中的富集成分,其具体计算公式为
结构指数(Structure index,SI)用来评估土壤食物网连通性和食物链长度,具体计算公式如下:
| $ \mathrm{SI}=100 \times(s \div(s+b)) $ | (3) |
其中,s为结构成分,s=(1.8×∑c-p3+3.2×∑c-p4+5×∑c-p5)÷100),c-p3~ c-p5分别代表每100 g干土中所有c-p值为3~5的食细菌、食真菌和捕杂食线虫的数量。通过对s和b的计算,再代入式(3),得到SI,进而对土壤食物网的相关特性进行定量分析和评估。
1.4.3 数据处理本研究中,数据的处理与统计分析主要依托Excel 2019、SPSS 20.0及R软件(版本3.5.1)等。首先使用Excel 2019对原始数据进行整理与预处理,随后在SPSS 20.0中应用柯尔莫戈洛夫-斯米诺夫检验(Kolmogorov-Smirnov)和列文检验(Levene),分别用于检测数据的正态分布性及方差齐性。为评估化肥减施、有机物料添加、团聚体粒径及其交互作用对各响应变量的影响,采用多因素方差分析方法进行统计检验。同时,用单因素方差分析不同粒径下不同处理的影响,结果以均值±标准误表示,用邓肯(Duncan)法检验差异显著性(P < 0.05)。
2 结果 2.1 减施化肥配施有机物料对土壤团聚体分级的影响无论化肥减施与否,添加秸秆增加了大于1 mm团聚体粒径的占比,减少了小于1 mm团聚体粒径的占比。与不施有机物料的对照相比,施用秸秆对团聚体粒径增大的效果大于施用生物质炭(P < 0.05)。在全量化肥条件下,与不施有机物料的对照相比,施用秸秆显著增加了22.7%的团聚体平均重量直径;与生物质炭相比,施用秸秆增加了13.5%的团聚体平均重量直径。在减量施肥下,与不添加有机物料相比,施用秸秆增加了13.4%的团聚体平均重量直径;与生物质炭相比,施用秸秆增加了15.9%的团聚体平均重量直径。在四种团聚体粒径中,1~0.25 mm的团聚体粒径占比最大。总体而言,减量化肥配施秸秆条件下,团聚体的平均重量直径最大(表 3)。方差分析结果显示,有机物料对不同粒径土壤团聚体的占比和平均重量直径(MWD)均有显著影响(P < 0.001)(表 3)。
|
|
表 3 减施化肥配施不同有机物料对土壤团聚体分布的影响 Table 3 The effect of reduced chemical fertilizers with different organic amendments on aggregate size proportions |
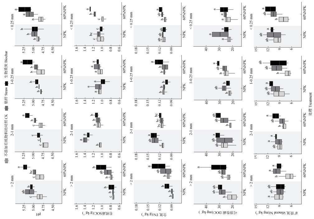
在全量化肥处理下,与不添加有机物料相比,添加秸秆和生物质炭均显著提高了大于2 mm团聚体的pH。而在减施化肥下,与不添加有机物料的对照相比,添加秸秆和生物质炭显著提高了大于2 mm、2~1 mm和小于0.25 mm团聚体的pH。同时,在大于0.25 mm粒径上,与秸秆相比,减施化肥配施生物质炭处理下pH更高(P < 0.05)(图 1)。在有机碳方面,添加两种有机物料,在全量化肥下显著增加了大于1 mm团聚体有机碳含量,在减施化肥下显著增加了小于0.25 mm团聚体上有机碳含量。并且在小于0.25 mm团聚体下与添加秸秆相比,添加生物质炭时该团聚体上有机碳含量更高。就全氮含量而言,与不添加有机物料相比,添加生物质炭,在全量化肥下显著增加了2~1 mm团聚体全氮含量,在减施化肥下显著增加了大于2 mm和1~0.25 mm以及小于0.25 mm团聚体全氮含量(P < 0.05)(图 1)。对于1~0.25 mm粒径团聚体,仅在减量化肥下,添加生物质炭增加了可溶性碳含量(P < 0.05)(图 1)。此外,在减量化肥下,与未添加有机物料的对照相比,添加生物质炭提高了大于2 mm、2~1 mm、小于0.25 mm团聚体矿质氮含量(P < 0.05)(图 1)。
|
注:图上不同小写字母说明处理间差异显著,P < 0.05。下同。 Note: Different lowercase letters in the same column indicate significant differences between treatments, P < 0.05. The same below. 图 1 减施化肥配施有机物料下不同粒径土壤团聚体的土壤理化性质 Fig. 1 Soil physicochemical properties of different size aggregates under different organic amendments and fertilizer reduction |
方差分析表明,有机物料对不同团聚体水平上的土壤理化性质均产生了显著影响,而化肥减施对土壤pH、矿质氮(铵态氮与硝态氮之和)产生显著影响,团聚体粒径对土壤酸碱度、有机碳、全氮、矿质氮产生显著影响(表 4)。具体而言,化肥减施、不同有机物料添加和团聚体粒径大小均对土壤pH和土壤矿质氮含量产生显著影响(P < 0.05),且化肥减施与有机物料之间存在显著交互作用(P < 0.05)(表 4)。
|
|
表 4 有机物料、化肥减施及团聚体粒径对土壤理化性质影响的方差分析 Table 4 Analysis of ANOVA of the effect of organic amendment, reduced chemical fertilizers, and aggregate size on soil physicochemical properties |
对所有样品中的线虫进行鉴定,共鉴定21 068条线虫,隶属于46个属。分类群而言,食细菌线虫包括15个属,食真菌线虫6个属,植食性线虫13个属,捕杂食性线虫12个属。其中,食细菌线虫中的真头叶属(Eucephalobus)、食真菌线虫中的真滑刃属(Aphelenchus)、植物寄生线虫中的半穿刺属(Rotylenchulus)、捕杂食线虫中的中矛属(Mesodorylaimus)是主要的线虫属(图 2)。在植食线虫中,半穿刺属所占比例为84.3%。
|
图 2 不同土壤团聚体粒径下线虫属的相对丰度 Fig. 2 The relative abundance of nematode genera under different soil aggregate sizes |
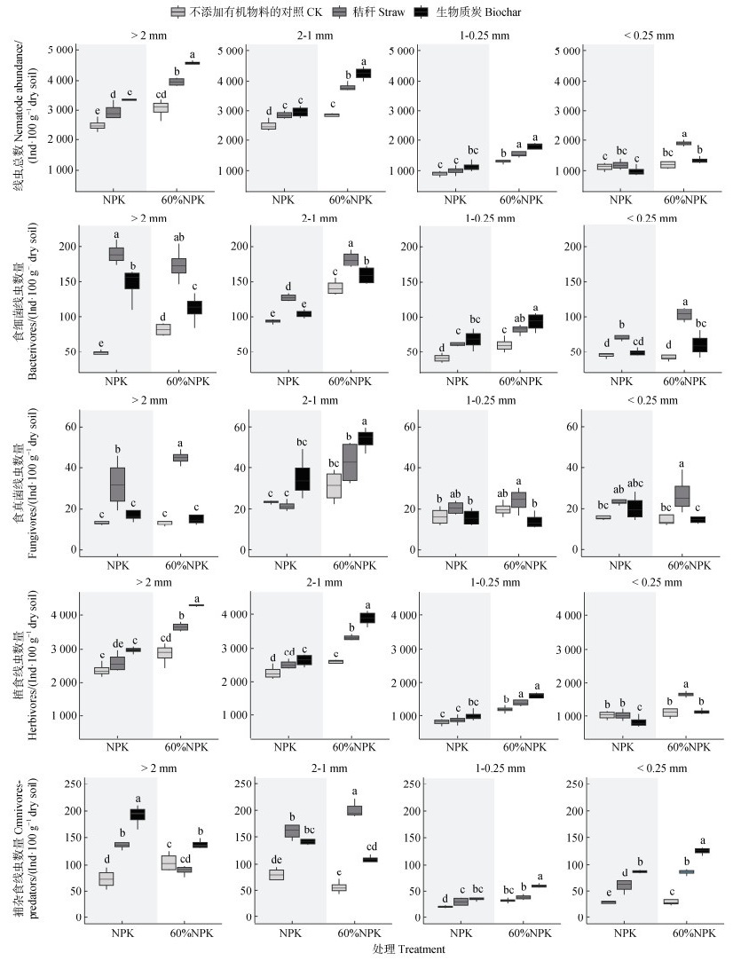
无论是否化肥减施,有机物料的投入均显著提高了各粒径土壤团聚体中的线虫数量(P < 0.05)(图 3)。相比于全量化肥,减量化肥下线虫总数的增加效果更明显。在减量化肥下,在2~1 mm和大于2 mm的团聚体中,添加生物质炭的线虫总数高于秸秆,分别增加了11.2%、13.5%,而在小于0.25 mm的团聚体下,呈现相反的趋势,相比秸秆,添加生物质炭的线虫总数减少了29.5%。从团聚体尺度上,在大于1 mm的团聚体粒径下线虫总数量显著高于小于1 mm的团聚体粒径线虫总数量。此外,方差分析表明,化肥减施、有机物料施用以及团聚体粒径均对土壤线虫总数产生了显著影响,且三者之间的任意双因素及三因素交互作用均达到显著水平(P < 0.001)(表 5)。
|
图 3 减施化肥配施有机物料对不同粒径团聚体线虫数量的影响 Fig. 3 The effects of organic amendment and fertilizer reduction on the number of nematodes of different size aggregates |
|
|
表 5 有机物料、化肥减施及团聚体粒径对线虫总数和各营养类群土壤线虫数量影响的方差分析 Table 5 Analysis of ANOVA of the effects of organic amendments, fertilizer reduction, and aggregate size on the total and trophic group nematode abundance |
团聚体尺度上,在大于1 mm的团聚体粒径下食细菌线虫、食真菌线虫、植食线虫、捕杂食线虫数量整体高于小于1 mm的团聚体粒径中(P < 0.05)(图 3)。与全量施肥相比,减量施肥总体上增加了食细菌线虫的数量。但无论化肥减施与否,在大于2 mm、2~1 mm、小于0.25 mm团聚体中,添加秸秆的线虫数量高于添加生物质炭(P < 0.05)(图 3)。在减量化肥下,与秸秆相比,添加生物质炭降低了大于2 mm粒径、1~0.25 mm粒径和小于0.25 mm粒径中的食真菌线虫数量(P < 0.05)(图 3)。而在2~1 mm粒径团聚体中,添加生物质炭处理食真菌线虫数量高于添加秸秆处理(P < 0.05)(图 3)。无论化肥施用量是否减少,相较于添加秸秆处理,添加生物质炭的处理方式下,植食线虫的数量均呈现更高水平。此外,在1~0.25 mm粒径的团聚体中,仅在减量化肥的条件下,添加有机物料增加了植食线虫的数量。在全量化肥下,在小于0.25 mm粒径的团聚体中,添加生物质炭减少了植食线虫的数量。就捕杂食线虫而言,无论化肥减施与否,添加有机物料均显著增加各粒径团聚体中捕杂食线虫的数量(P < 0.05)(图 3),在2~1 mm粒径的团聚体中,添加生物质炭处理下捕杂食线虫数量低于添加秸秆处理;而在其他三个粒径的团聚体中,生物质炭处理则表现出相对更高的线虫数量。方差分析表明,化肥减施、有机物料、团聚体显著影响食细菌线虫、植食线虫、捕杂食线虫数量,并且三者之间的任意双因素及三因素交互作用均达到显著水平(P < 0.01)(表 5)。而对于食真菌线虫而言,三种因素均显著影响其数量,但仅在有机物料和团聚体之间存在交互作用。
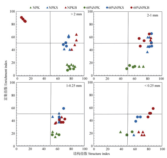
如图 4所示,在大于2 mm团聚体粒径下,线虫群落区系位于第一象限、第二象限和第四象限中,在2~1 mm和1~0.25 mm团聚体粒径下,各个处理位于第一象限和第四象限,在小于0.25 mm团聚体粒径下,各个处理位于第一象限、第三象限和第四象限中。总体而言,减量化肥配施生物质炭处理(60%NPKB)下,线虫的群落变化较大。
|
图 4 减施化肥配施有机物料下不同粒径团聚体的线虫群落区系 Fig. 4 Nematode community compartments with different size aggregates under different organic amendments and fertilizer reduction |
基于随机森林模型的分析结果显示,不同粒径的土壤团聚体中,线虫群落结构的主要驱动因子存在差异(图 5)。在大于2 mm和2~1 mm粒径的团聚体中,含水量和有机碳是影响线虫群落结构的关键因子,其中,大于2 mm粒径的团聚体线虫群落结构变化的关键因子还包括全氮,2~1 mm粒径团聚体线虫群落结构变化的关键因子还包括酸碱度。在1~0.25 mm粒径团聚体中,影响线虫群落结构变化的主要因子为土壤pH和可溶性有机碳。而小于0.25 mm粒径团聚体中,土壤有机碳含量和碳氮比则是驱动线虫群落分布差异的关键因素。
|
注:SWC,土壤含水量。 Note: SWC, soil water content. 图 5 不同粒径团聚体中线虫群落结构与土壤理化性质的随机森林模型分析 Fig. 5 Random forest modeling of nematode community structure and soil physical and chemical properties in different size aggregates |
无论化肥减施与否,秸秆的添加均显著增加了大团聚体的占比和平均重量直径(MWD)(表 3),表明有机物料的施用促进了土壤团聚体的形成并增强了其稳定性,尤其是促进了大团聚体的形成[25-27]。有机物料作为土壤生物的食物和栖息资源,能够通过促进土壤生物分泌物的产生,增强土壤黏合剂的作用,从而有效提升土壤团聚体的稳定性,减缓土壤退化过程[28]。因此,有机物料添加是改善土壤结构、增强土壤稳定性的重要管理措施。尤其在长期农业生产实践中,在恢复或促进土壤健康方面发挥至关重要的作用。值得注意的是,本研究发现,与对照和生物质炭相比,秸秆对大团聚体形成的促进效果更为显著(表 3),这与刘婷慧等[29]的研究结果一致。这可能是因为秸秆在土壤中分解的过程中为微生物代谢提供了养分,进而促进了微生物活性。微生物的活跃分解作用不仅有助于有机质的转化,也促进了土壤颗粒的结合,从而促进了大团聚体的形成。因此,秸秆在改善土壤团聚体结构方面具有更为明显的优势。
3.2 减施化肥配施有机物料在团聚体尺度对土壤理化性质的影响已有大量研究表明,化肥减施和添加有机物料均有助于改善土壤养分状况[30-31]。本研究的结果也呈现出相同的趋势(图 1)。总体而言,除矿质氮外,减量施肥处理对土壤理化性质的改善效果优于全量施肥处理;但无论化肥减施与否,添加有机物料均能改善土壤理化性质,特别是在土壤酸碱度方面,其中生物质炭相较于秸秆对pH的调节作用更为显著(图 1)。该发现表明,在酸性较强的土壤中,施用生物质炭能有效提高土壤pH,从而缓解土壤酸化问题,该结果与先前的研究[32]一致。值得注意的是,在小于0.25 mm的团聚体中,减量施肥下,施用生物质炭显著增加了土壤有机碳的含量(图 1)。该现象可能与生物质炭中高碳氮比(图 1)有关,其在微小团聚体中能够提供更多的有机碳,促进有机碳的积累。因此,具有高碳氮比的生物质炭相比于秸秆,在较小粒径团聚体中能够更有效地促进土壤有机碳的积累。
3.3 减施化肥配施有机物料在团聚体尺度对线虫群落的影响土壤的物理结构和养分分布是影响线虫群落分布的重要因素。化肥减施与有机物料施用通过增加土壤养分供应并调节微环境,显著影响了土壤线虫的数量和群落结构[33]。本研究发现,减量施肥处理下线虫总数高于全量施肥处理(图 3)。此外,无论化肥减施与否,除微团聚体(< 0.25 mm)外,添加有机物料均能显著增加土壤线虫数量(图 3),说明有机物料的施用不仅提高了土壤的养分含量,还优化了土壤结构和通气性,从而改善线虫的生境,促进其生长繁殖[34]。土壤团聚体结构是土壤结构的基本组成单位,有机物料添加能够通过改善团聚体稳定性,进而影响线虫的栖息环境[35]。本研究发现,以1 mm为明显分界点,线虫总数随着团聚体粒径的增加而增加(图 3),表明大团聚体为线虫提供了更有利的生存条件。作为典型的水膜生物,线虫的生存受到土壤含水量的显著制约。在大团聚体中,较高的孔隙度和更充足的水分及养分供给,为线虫提供了更广阔的栖息空间和更多的养分资源,进而促进了线虫数量的增加[25]。此外,在大于1 mm的团聚体中,施用生物质炭的促进效果优于秸秆(图 3)。这可能是由于在大于0.25 mm的团聚体中,酸碱度和含水量是制约线虫变化的关键因素(图 5),而高碳氮比的有机物料如生物质炭对酸性土壤有更好的改善效果,因此提高了线虫的数量。
化肥减施与否均对不同功能类群的线虫产生影响。在本研究中,植食线虫与线虫总数呈现出相同的趋势(图 3),主要是因为植食线虫是优势类群,占线虫总数的80 %以上。此外,研究发现,无论化肥减施与否,与添加生物质炭相比,添加秸秆显著增加了食细菌线虫的数量(除1~0.25 mm粒径团聚体外,图 3)。该现象可能与秸秆相对较低的碳氮比有关,低碳氮比的有机物料更容易被微生物分解,更有利于细菌的快速繁殖,从而增加了食细菌线虫的数量[36]。除了2~1 mm团聚体粒径外,食真菌线虫与食细菌线虫呈现出相同趋势(图 3)。这可能是由于在2~1 mm的中等大小团聚体中,秸秆分解可能更倾向于促进细菌而非真菌的生长,从而减少了食真菌线虫的食物来源[37]。在本研究中,除2~1 mm粒径的团聚体外,无论化肥减施与否,施用生物质炭显著增加了捕杂食线虫的数量(图 3)。主要原因是生物质炭富含氮源,通常会促进捕食性的增长,从而增强土壤食物网的复杂性和稳定性[38]。而在减量化肥的2~1 mm团聚体粒径下,秸秆添加增加了捕杂食线虫的数量(图 3),主要是因为秸秆添加增加了土壤中2~1 mm团聚体粒径的占比(表 3),为捕杂食线虫生长和繁殖提供了更大的活动和资源空间。
4 结论化肥减施、有机物料的添加以及团聚体的粒径大小均对红壤中线虫数量及其群落结构产生显著影响。总体而言,随着土壤团聚体粒径的增加,土壤线虫数量普遍增加。无论化肥减施与否,与秸秆添加相比,生物质炭降低了土壤大团聚体尺度(> 2 mm)上的线虫总数量。在2~1 mm粒径团聚体中,相对于添加秸秆的处理,添加生物质炭降低了食细菌线虫和捕食杂食线虫的数量,增加了食真菌线虫的数量。随机森林模型分析表明,土壤含水量是驱动大于1 mm粒径团聚体上线虫群落变化的关键因素,而在大于2mm粒径团聚体和小于0.25mm粒径团聚体上,有机碳则是主要的驱动因子。本研究通过深入揭示土壤线虫群落变化的趋势和驱动因子,有助于深化对土壤生态系统动态过程的理解。此外,在当前倡导绿色农业可持续发展的背景下,本研究为减少化肥投入、优化农业管理措施提供了科学依据,并为土壤健康监测、养分管理及提高作物产量提供有力支持。
| [1] |
Mourtzinis S, Mitchell P, Esker P, et al. Field-level yield benefits and risk effects of intensive soybean management across the US[J]. Field Crops Research, 2023, 301: 109012. DOI:10.1016/j.fcr.2023.109012
( 0) |
| [2] |
Bai S S, Tan J F, Zhang Z Y, et al. Phosphorus speciation and colloidal phosphorus responses to short-term cessation of fertilization in a lime concretion black soil[J]. Pedosphere, 2023, 33(6): 948-959. DOI:10.1016/j.pedsph.2023.01.004
( 0) |
| [3] |
Zhang F S, Chen X P, Vitousek P. An experiment for the world[J]. Nature, 2013, 497: 33-35. DOI:10.1038/497033a
( 0) |
| [4] |
Zhang L Q, Zhao Z H, Jiang B L, et al. Effects of long-term application of nitrogen fertilizer on soil acidification and biological properties in China: A meta-analysis[J]. Microorganisms, 2024, 12(8): 1683. DOI:10.3390/microorganisms12081683
( 0) |
| [5] |
Li Z K, Shen Y, Zhang W Y, et al. Effects of long-term straw returning on rice yield and soil properties and bacterial community in a rice-wheat rotation system[J]. Field Crops Research, 2023, 291: 108800. DOI:10.1016/j.fcr.2022.108800
( 0) |
| [6] |
Gwenzi W, Chaukura N, Mukome F N D, et al. Biochar production and applications in sub-Saharan Africa: Opportunities, constraints, risks and uncertainties[J]. Journal of Environmental Management, 2015, 150: 250-261.
( 0) |
| [7] |
Hossain M Z, Bahar M M, Sarkar B, et al. Biochar and its importance on nutrient dynamics in soil and plant[J]. Biochar, 2020, 2(4): 379-420. DOI:10.1007/s42773-020-00065-z
( 0) |
| [8] |
Zhu Z, Zhang Y, Tao W, et al. The biological effects of biochar on soil's physical and chemical characteristics: A review[J]. Sustainability, 2025, 17(5): 2214. DOI:10.3390/su17052214
( 0) |
| [9] |
Cui Z L, Zhang H Y, Chen X P, et al. Pursuing sustainable productivity with millions of smallholder farmers[J]. Nature, 2018, 555(7696): 363-366. DOI:10.1038/nature25785
( 0) |
| [10] |
Coleman D, Fu S L, Hendrix P, et al. Soil foodwebs in agroecosystems: Impacts of herbivory and tillage management[J]. European Journal of Soil Biology, 2002, 38(1): 21-28. DOI:10.1016/S1164-5563(01)01118-9
( 0) |
| [11] |
Chen X Y, Xue W F, Xue J R, et al. Contribution of bacterivorous nematodes to soil resistance and resilience under copper or heat stress[J]. Soil Ecology Letters, 2020, 2(3): 220-229. DOI:10.1007/s42832-020-0045-3
( 0) |
| [12] |
Wardle D A, Yeates G W. The dual importance of competition and predation as regulatory forces in terrestrial ecosystems: Evidence from decomposer food-webs[J]. Oecologia, 1993, 93(2): 303-306. DOI:10.1007/BF00317685
( 0) |
| [13] |
Du Preez G, Daneel M, De Goede R, et al. Nematode-based indices in soil ecology: Application, utility, and future directions[J]. Soil Biology & Biochemistry, 2022, 169: 108640.
( 0) |
| [14] |
Chen Y F, Xia X G, Hu C, et al. Effects of long-term straw incorporation on nematode community composition and metabolic footprint in a rice–wheat cropping system[J]. Journal of Integrative Agriculture, 2021, 20(8): 2265-2276. DOI:10.1016/S2095-3119(20)63435-9
( 0) |
| [15] |
Cheng L Z, Zhu B J, Cheng Y H, et al. Effects of combined application of biochar and chemical fertilizer on community characteristics of red soil nematodes (In Chinese)[J]. Acta Pedologica Sinica, 2025, 62(3): 836-846. DOI:10.11766/trxb202311120469 [程刘竹, 朱柏菁, 成艳红, 等. 生物质炭与化肥减量配施对红壤线虫群落特征的影响[J]. 土壤学报, 2025, 62(3): 836-846.]
( 0) |
| [16] |
Tisdall J M. Possible role of soil microorganisms in aggregation in soils[J]. Plant and Soil, 1994, 159(1): 115-121. DOI:10.1007/BF00000100
( 0) |
| [17] |
Mikha M M, Rice C W. Tillage and manure effects on soil and aggregate-associated carbon and nitrogen[J]. Soil Science Society of America Journal, 2004, 68(3): 809-816.
( 0) |
| [18] |
He S Q, Jia H, Zheng Z C, et al. Responses of soil nematode community within soil aggregates to tea plantation age[J]. Environmental Science and Pollution Research, 2022, 29(56): 85114-85127. DOI:10.1007/s11356-022-21806-6
( 0) |
| [19] |
Jiang Y J, Sun B, Jin C, et al. Soil aggregate stratification of nematodes and microbial communities affects the metabolic quotient in an acid soil[J]. Soil Biology & Biochemistry, 2013, 60: 1-9.
( 0) |
| [20] |
Ren Z H. Effects of organic material types on nematode communities in different aggregates of red soil in dryland farmland[D]. Nanjing: Nanjing Agricultural University, 2021.[任竹红. 有机物料类型对旱地农田红壤不同团聚体中线虫群落的影响[D]. 南京: 南京农业大学, 2021.]
( 0) |
| [21] |
Bao S D
. Soil and agricultural chemistry analysis (In Chinese). 3rd ed[M]. Beijing: China Agriculture Press, 2000. [鲍士旦
. 土壤农化分析[M]. 3版. 北京: 中国农业出版社, 2000.]
( 0) |
| [22] |
Liu M Q, Chen X Y, Qin J T, et al. A sequential extraction procedure reveals that water management affects soil nematode communities in paddy fields[J]. Applied Soil Ecology, 2008, 40(2): 250-259. DOI:10.1016/j.apsoil.2008.05.001
( 0) |
| [23] |
Bongers T
. De nematoden van Nederland . 2nd ed[M]. Utrecht: Royal Dutch Natural History Society, 1994.
( 0) |
| [24] |
Yin W Y
. Pictorical keys to soil animals of China (In Chinese). Beijing: Science Press, 1998. [尹文英
. 中国土壤动物检索图鉴[M]. 北京: 科学出版社, 1998.]
( 0) |
| [25] |
Jiang Y J, Liu M Q, Zhang J B, et al. Nematode grazing promotes bacterial community dynamics in soil at the aggregate level[J]. The ISME Journal, 2017, 11(12): 2705-2717. DOI:10.1038/ismej.2017.120
( 0) |
| [26] |
Tian S Y, Zhu B J, Yin R, et al. Organic fertilization promotes crop productivity through changes in soil aggregation[J]. Soil Biology & Biochemistry, 2022, 165: 108533.
( 0) |
| [27] |
Zhang X K, Wu X, Zhang S X, et al. Organic amendment effects on aggregate-associated organic C, microbial biomass C and glomalin in agricultural soils[J]. Catena, 2014, 123: 188-194. DOI:10.1016/j.catena.2014.08.011
( 0) |
| [28] |
Ma S H, Cao Y D, Lu J W, et al. Response of soil aggregation and associated organic carbon to organic amendment and its controls: A global meta-analysis[J]. Catena, 2024, 237: 107774. DOI:10.1016/j.catena.2023.107774
( 0) |
| [29] |
Liu T H, Fan W, Yan J Y, et al. Effect of returning organic matter from corn straw to the field on carbon and nitrogen distribution of black soil aggregates (In Chinese)[J]. Maize Science, 2024, 32(6): 104-110. [刘婷慧, 范围, 闫金垚, 等. 玉米秸秆源有机物料还田对黑土团聚体碳氮分布的影响[J]. 玉米科学, 2024, 32(6): 104-110.]
( 0) |
| [30] |
Lin Z, Rui Z P, Liu M L, et al. Pyrolyzed biowastes deactivated potentially toxic metals and eliminated antibiotic resistant genes for healthy vegetable production[J]. Journal of Cleaner Production, 2020, 276: 124208. DOI:10.1016/j.jclepro.2020.124208
( 0) |
| [31] |
Sun N T, Wang X Y, Zhou H, et al. Effects of kind and incorporation depth of biochars on water movement and nitrogen and phosphorus loss in purple soil (In Chinese)[J]. Acta Pedologica Sinica, 2022, 59(3): 722-732. DOI:10.11766/trxb202008130360 [孙宁婷, 王小燕, 周豪, 等. 生物质炭种类与混施深度对紫色土水分运移和氮磷流失的影响[J]. 土壤学报, 2022, 59(3): 722-732.]
( 0) |
| [32] |
Yang C D, Liu J J, Lu S G. Study on electrochemical characteristics of biochar in upgrading acidic soil (In Chinese)[J]. Acta Pedologica Sinica, 2023, 60(3): 815-823. DOI:10.11766/trxb202106070300 [杨彩迪, 刘静静, 卢升高. 生物质炭改良酸性土壤的电化学特性研究[J]. 土壤学报, 2023, 60(3): 815-823.]
( 0) |
| [33] |
Wang S Q, Li T X, Zheng Z C. Response of soil aggregate-associated microbial and nematode communities to tea plantation age[J]. Catena, 2018, 171: 475-484. DOI:10.1016/j.catena.2018.07.041
( 0) |
| [34] |
Liu C Z, Han X Z, Lu X C, et al. Response of soil enzymatic activity to pore structure under inversion tillage with organic materials incorporation in a Haplic Chernozem[J]. Journal of Environmental Management, 2024, 370: 122421. DOI:10.1016/j.jenvman.2024.122421
( 0) |
| [35] |
Biederman L A, Boutton T W, Whisenant S G. Nematode community development early in ecological restoration: The role of organic amendments[J]. Soil Biology & Biochemistry, 2008, 40(9): 2366-2374.
( 0) |
| [36] |
Jiang Y J, Li S Z, Barnes A D, et al. Unraveling the importance of top-down predation on bacterial diversity at the soil aggregate level[J]. Geoderma, 2023, 439: 116658. DOI:10.1016/j.geoderma.2023.116658
( 0) |
| [37] |
Bai N L, Zhang H L, Li S X, et al. Long-term effects of straw and straw-derived biochar on soil aggregation and fungal community in a rice–wheat rotation system[J]. PeerJ, 2019, 6: e6171. DOI:10.7717/peerj.6171
( 0) |
| [38] |
Zhu B J, Wan B B, Liu T, et al. Biochar enhances multifunctionality by increasing the uniformity of energy flow through a soil nematode food web[J]. Soil Biology & Biochemistry, 2023, 183: 109056.
( 0) |
2026, Vol. 63



0)