2. 国家环境保护土壤环境管理与污染控制重点实验室(生态环境部南京环境科学研究所), 南京 210042;
3. 水污染控制与资源绿色循环全国重点实验室(南京大学环境学院), 南京 210023;
4. 中国科学院大学, 北京 100049
2. Key Laboratory of Soil Environmental Management and Pollution Control, Nanjing Institute of Environmental Sciences, Ministry of Ecology and Environment, Nanjing 210042, China;
3. State Key Laboratory of Water Pollution Control and Green Resource Recycling, School of the Environment, Nanjing University, Nanjing 210023, China;
4. University of Chinese Academy of Sciences, Beijing 100049, China
土壤作为地球表层重要的生命支撑系统,其生态安全与健康直接关系到生物多样性维持、生态系统服务功能发挥以及人类生存环境的可持续性[1]。2014年发布的《全国土壤污染状况调查公报》显示,全国土壤环境状况总体不容乐观,且土壤污染以重金属为主。截至2020年,全国土壤环境风险得到基本管控,受污染耕地安全利用率达到90%左右,污染地块安全利用率达到93%以上[2]。然而,部分重点地区土壤重金属污染问题依然突出,严重威胁农产品和土壤生态安全。土壤安全阈值是土壤环境质量标准的科学定值与基础[3]。科学地开展土壤重金属生态安全阈值研究,是精准识别污染风险、有效实施风险管控、切实保障土壤生态功能的核心基础,对于深入推进我国生态文明建设、筑牢国家生态安全屏障具有重大现实意义[4]。
土壤生态安全阈值是指在特定土地利用方式和保护水平下,土壤中某一种或某一类化学污染物不会对土壤生态系统关键受体(如陆生植物、土壤无脊椎动物等)和土壤微生物及其主导的生态过程(如土壤呼吸作用、土壤硝化作用等)产生不良影响的理论临界浓度[5]。国际上,多个国家建立了相应的土壤生态环境质量基准或筛选值体系。例如,美国环保署自2003年起逐步建立了针对多种金属和有机污染物的土壤生态筛选值(Eco-SSLs),区分保护植物、土壤无脊椎动物、鸟类和哺乳动物等不同生态受体[6]。英国环境署制定的土壤筛选值,旨在保护生态系统的结构与功能,基于实验室物种毒性数据推导出保障种群安全的浓度限值[7]。加拿大的土壤质量指导值综合考虑人体健康和生态安全,其生态保护部分重点关注植物、土壤无脊椎动物、微生物及食物链传递,最终取值兼顾土壤接触、摄入及地下水保护途径[8]。上述国家的实践为我国构建本土化阈值体系提供了重要参考。
我国对土壤环境基准与标准的研究起步于国家“七五”计划,在土壤环境容量和背景值调查项目中,首次采用生态环境效应法初步探索了基于作物效应、微生物效应和环境效应的重金属土壤临界含量(阈值),为1995年我国首部《土壤环境质量标准》(GB 15618-1995)的制定奠定了基础。近年来,相关研究持续深入,“十三五”期间国家重点研发计划项目“农田系统重金属迁移转化和安全阈值研究”进一步聚焦农田土壤,初步建立了安全阈值研究方法框架。在法规、标准层面,我国2018年同步出台了两项关键性土壤污染风险管控标准:《土壤环境质量建设用地土壤污染风险管控标准(试行)》(GB 36600-2018)以人体健康保护为核心目标,针对居住、公共设施等建设用地类型,建立了污染风险筛查与分级管控阈值体系;《土壤环境质量农用地土壤污染风险管控标准(试行)》(GB 15618-2018)聚焦农产品质量安全,同时兼顾农作物生长与土壤生态保护需求,明确了农用地土壤污染的风险筛选值与管制值。然而,现行标准在保护不同土地利用方式下土壤生态受体和生态过程方面仍存在不足[4]。
针对土壤中铜(Cu)、锌(Zn)、铅(Pb)、镉(Cd)等典型重金属的生态毒性效应,已有大量研究积累了丰富的毒理学数据,为推导基于土壤生态安全的重金属阈值奠定了重要基础。现有研究涵盖的生态受体广泛:陆生植物包括番茄、黄瓜、白菜、空心菜、生菜、芹菜等蔬菜作物,大麦、小麦、玉米、水稻等粮食作物,以及蓖麻、空心莲子草等代表性草本植物,主要观测根伸长抑制、生物量下降及产量损失等毒性终点[9-20];陆生无脊椎动物如蚯蚓、线虫、跳虫等,重点关注繁殖抑制和死亡率等终点[21-26];土壤生态过程则涉及生物发光量、硝化速率、脱氢酶活性及磷酸酶活性等关键功能指标[10,27-30]。在获取上述毒性数据后,物种敏感性分布法(Species sensitivity distribution,SSD)已成为推导土壤生态安全阈值的主流方法。其核心原理在于量化生态系统中不同生物受体对污染物(如重金属)敏感性的差异分布。该方法将特定污染物的毒性阈值,如10%效应浓度(EC10)等,视为符合特定概率分布的变量,通过拟合有限物种的生物测试数据构建分布曲线,进而推算出危害浓度(Hazardous concentration,HCx),即能够保护(100-x)%物种相对安全的污染物浓度水平。基于此方法,已有研究初步推导了土壤中铜、锌、镉等重金属的生态安全阈值[31-33]。
然而,阈值的准确推导仍面临显著挑战:首先,土壤理化性质,如pH、有机质(OM)含量、阳离子交换量(CEC)等,通过调控重金属的生物有效性,对毒性阈值产生关键影响[5]。因此,在构建SSD模型前,需对原始毒性数据进行土壤性质归一化处理。其次,为控制变量并避免复合污染干扰,多数毒性试验采用外源添加重金属的方式进行,这可能引入两方面偏差:(1)外源添加物的初始毒性效应通常高于真实污染场地中经历老化的重金属;(2)伴随重金属阳离子引入的氯离子、硫酸根等阴离子,可能通过盐效应干扰植物的毒性响应。为更真实地反映田间实际风险,有必要利用重金属老化模型和淋洗模型对实验数据进行校准[27]。
本研究旨在系统收集并筛选土壤中Cu、Zn、Pb、Cd的生态毒理学数据,通过归一化模型消除土壤性质差异,并应用老化和淋洗模型校准外源添加引入的偏差。基于校正后的高质量数据集,采用SSD方法推导不同土地利用方式(农用地和自然保护地、公园用地、居住用地、商业服务用地和工矿用地)下基于生态安全的土壤Cu、Zn、Pb、Cd阈值。研究成果将为我国未来土壤环境质量标准的科学修订、区域生态环境精准评估及污染场地风险管控提供关键科学依据。
1 材料与方法 1.1 毒性数据收集与筛选本研究的毒性数据主要来源包括文献数据库,如Web of Science(http://www.isiknowledge.com)、中国知网(http://www.cnki.net)、万方数据库(http://www.wanfangdata.com.cn)等,以及美国环保署的ECOTOX生态毒理数据库(https://cfpub.epa.gov/ecotox)和欧洲化学品管理局(ECHA)的国际统一化学品信息数据库(IUCLID)(https://iuclid6.echa.europa.eu)等。
从文献或数据库中获取毒性数据需对收集的毒性数据进行筛选和处理,优先考虑可能影响生态受体个体或种群特性的慢性毒性指标或亚致死毒性指标,需要包含以下重要土壤生态受体和生态功能指标:(1)陆生植物:包括农作物、景观植物和需保护的野生植物等,选择生物量、产量、根伸长等指标;(2)土壤无脊椎动物:包括蚯蚓、跳虫、螨虫、线虫等,选择繁殖率、种群数量和生长率等指标;(3)土壤微生物和微生物主导的土壤生态过程:包括土壤呼吸作用、土壤硝化作用等。
有效毒性数据的筛选遵循以下原则:生态毒性数据应遵照《化学品蚯蚓急性毒性试验》(GB/T 21809-2008)、《化学农药环境安全评价试验准则》(GB/T 31270-2014)等或经济合作与发展组织(Organization for Economic Cooperation and Development,OECD)或国际标准化组织(International Organization for Standardization,ISO)规定的生态毒性实验标准方法获得;文献应记录开展毒性实验的条件,必须包含以下参数:土壤pH、有机质(碳)(OM/OC)、CEC、黏粒(CL)含量和老化时间等;应能确定测试生物的毒性终点,并可根据剂量-效应关系估算毒性效应数据ECx,如EC10;选择污染物外源添加的室内生态毒性实验,避免存在非关注污染物的显著干扰。毒性效应数据的选择应遵循同一物种有不同毒性终点的,选择最敏感毒性终点的毒性参数;同一物种的不同品种有多个EC10时,取其几何平均值。
1.2 数据归一化处理 1.2.1 老化和淋洗归一化为减少人工试验与田间实际污染的差异,还需对文献中基于不同重金属老化时间而获取的相关毒性数据归一化至360 d。归一化方法从文献中获取。
(1)Cu[27]:土壤中Cu的老化因子(AF)预测方程为:
| $ {\text{AF}} = 100 - \frac{{89.8}}{{{{10}^{(7.7 - {\text{pH}}) + 1}}}} \times \frac{1}{{{t^t}}} - 4.92 \times \ln (t) $ | (1) |
式中,t为老化时间,d。
土壤中Cu的淋洗因子(LF)取值为:
| $ \mathrm{pH}<7: \mathrm{LF}=0.169 \;\mathrm{pH}-0.014 \;\mathrm{CEC}+0.012\; \mathrm{CL}+0.056 $ | (2) |
| $ \begin{gathered} \mathrm{pH} \;7 \sim 8.5: \mathrm{LF}=1.087 \;\mathrm{pH}+0.041 \;\mathrm{CEC}+0.003 \\ \mathrm{CL}-0.734\;6 \end{gathered} $ | (3) |
| $ \begin{gathered} \mathrm{pH}>8.5: \mathrm{LF}=6.917 \;\mathrm{pH}+0.263\;9 \;\mathrm{CEC}-0.056 \;\mathrm{CL}- \\ 60.307 \end{gathered} $ | (4) |
式中,CEC为阳离子交换容量,cmolŸkg−1;CL为土壤黏粒质量百分含量,%。
(2)Zn[34]:土壤中Zn的AF预测方程为:
| $ \begin{gathered} {\text{AF}} = 6 - \frac{{32.9}}{{{{10}^{(6.52 - {\text{pH}}) + 1}}}} + \exp (0.00023 \times t) \times \hfill \\ \;\;\;\;\;\;\;{\text{erfc}}\sqrt {0.00023 \times t} \times 100 - 0.889 \times {\text{OM}} \hfill \\ \end{gathered} $ | (5) |
式中,OM为土壤有机质,gŸkg−1。
土壤中Zn的LF取值为:
| $ \mathrm{pH} \leqslant 6.5: \mathrm{LF}=1.36 $ | (6) |
| $ \mathrm{pH}\; 6.5 \sim 7.5: \mathrm{LF}=1.51 $ | (7) |
| $ \mathrm{pH}>7.5: \mathrm{LF}=1.71 $ | (8) |
(3)Pb[35]:土壤中Pb的AF预测方程为:
| $ \mathrm{AF}=0.944 \;\mathrm{lg} \;\mathrm{OC}+2.483\; \mathrm{lg} \;\mathrm{CEC}-0.241 $ | (9) |
(4)Cd[31]:土壤中Cd的AF预测方程为:
| $ \begin{aligned} \lg (\mathrm{AF})=0.324 \lg \;\mathrm{pH} & +0.049 \lg \;\mathrm{CEC}+0.11 \;\mathrm{OC} \\ & -0.0012 \end{aligned} $ | (10) |
式中,OC为土壤有机碳,gŸkg−1。
1.2.2 土壤性质归一化在SSD法拟合不同生态受体或生态过程的毒性效应参数(优先选用EC10)分布曲线之前,本研究首先利用逐步回归法建立了EC10与关键土壤性质(pH、OC、CEC、CL之间的定量归一化方程。土壤pH范围参照《土壤环境质量农用地土壤污染风险管控标准(试行)》(GB 15618-2018)划分为四个梯度:强酸性(pH ≤ 5.5)、酸性(5.5 < pH ≤ 6.5)、中性(6.5 < pH ≤ 7.5)和碱性(pH > 7.5)。在进行归一化计算时,针对每个pH梯度,分别设定代表值:pH=5.0、6.0、7.0、8.0;同时,CEC、OC含量和CL质量百分含量均采用统一固定值,分别设定为20 cmolŸkg−1、20 gŸkg−1和25%。
1.3 拟合函数的选取利用shinyssdtools(version:0.1.1;https://bcgov-env.shinyapps.io/ssdtools/)拟合毒性数据,选用包括布尔Ⅲ型分布(Burr Ⅲ)、对数正态分布(Log-Normal)、对数逻辑分布(Log-Logistic)、韦布尔分布(Weibull)及伽玛分布(Gamma)在内的5种拟合函数分别对归一化至不同土壤条件下的EC10进行拟合,并利用安德森-达令检验(Anderson-Darling,AD)、柯尔莫哥洛夫-斯米尔诺夫检验(Kolmogorov-Smirnov,KS)、赤池信息量准则(AIC)、贝叶斯信息准则(BIC)和校正的赤池信息准则(AICc)进行拟合优度评价,选择拟合度较好的一个或多个分布函数,确定各个优选分布函数的权重,最终建立基于优选分布函数加权平均后的分布模型,以减少数据依偏于某一分布函数的不确定性[36]。
1.4 无效应浓度值推导本研究依据1.3中加权平均后的分布模型,计算不同生态保护水平下的HCx。其中,不同用地类型设置了相应的生态保护水平目标以及可接受的危害浓度阈值:对生态保护要求最高的农用地和自然保护地设定了95%的生态物种和生态过程得到保护的目标水平,对应的危害浓度阈值为非常严格的HC5;公园用地的保护目标为保护80%的生态物种和生态过程,其允许的危害浓度阈值为HC20;对于居住用地,保护水平设定为保护60%的生态物种和生态过程,对应的危害浓度阈值为HC40;而生态保护要求相对较低的商业服务用地和工矿用地,其保护目标为维持50%的生态物种和生态过程,相应的危害浓度阈值为HC50。
2 结果 2.1 土壤重金属生态毒性数据本研究通过系统收集与筛选,最终获得Cu、Zn、Pb、Cd四种重金属的有效生态毒性数据分别为118条、123条、61条和100条。所获取的数据均涵盖了关键土壤理化性质,包括pH、CL、OM和CEC,其范围如下:四种重金属对应的pH范围依次为4.4~8.9(Cu)、4.1~8.9(Zn)、3.9~8.9(Pb)和4.3~8.8(Cd);CL质量百分含量范围依次为3.9%~66%(Cu)、10%~66%(Zn)、2.0%~66%(Pb)和6.7%~62%(Cd),变异较大;OM范围依次为1.0~14.9 gŸkg−1(Cu)、0.03~7.4 gŸkg−1(Zn)、0.22~14 gŸkg−1(Pb)和0.56~8.1 gŸkg−1(Cd);CEC范围依次为3.2~66 cmolŸkg−1(Cu)、5.9~35.5 cmolŸkg−1(Zn)、2.9~42 cmolŸkg−1(Pb)和5.6~32.5 cmolŸkg−1(Cd)。数据集覆盖了29种陆生植物(包括番茄、黄瓜、辣椒、茄子、白菜、黑麦草、芥菜、生菜等)、4种陆生无脊椎动物(蚯蚓、跳虫、线蚓、线虫)以及10项土壤微生物主导的生态过程参数(磷酸酶活性、生物硝化速率、脲酶活性、蔗糖酶活性、过氧化氢酶活性等)。可见,本研究收集的生态毒性数据不仅涵盖了较广范围的土壤性质,同时包含了多种敏感受体,表明该数据集适用于外推基于生态安全的重金属阈值。
分析结果显示,不同重金属及其作用对象(物种类型)间的毒性阈值(EC10)存在显著差异。以Cd为例,其对番茄、小白菜、空心菜根伸长的抑制效应EC10最小值可低于1 mgŸkg−1;而Zn和Pb的最小EC10则普遍在数百mgŸkg−1量级。进一步以Cu的毒性为例:小白菜根伸长的EC10范围为13~75 mgŸkg−1,而大麦根伸长则为31~444 mgŸkg−1。这种显著的种间差异在陆生植物、陆生无脊椎动物及土壤微生物生态过程之间同样普遍存在。
鉴于上述物种敏感性差异显著,若直接进行土壤性质归一化,该差异可能导致单一归一化模型难以有效建立。为最大限度降低此影响并提升模型的可靠性,本研究在归一化过程中参照类似研究采取了分类处理策略[10,35]:将陆生植物依据分类学特征,按照茄科、禾本科、及其他科分组;陆生无脊椎动物和土壤生态过程则分别独立进行归一化建模(表 1)。
|
|
表 1 土壤中铜、锌、铅、镉的生态毒性数据归一化方程 Table 1 Normalization of ecotoxicity data for copper, zinc, lead and cadmium in soils |
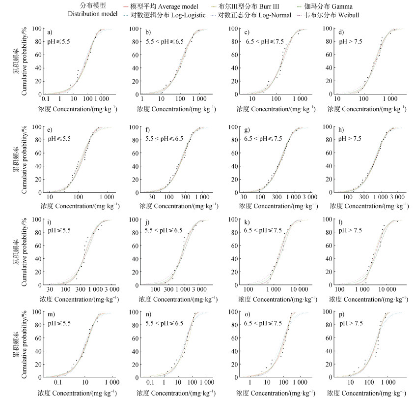
基于SSD模型拟合归一化至不同土壤条件下的EC10,建立了不同土壤pH条件下Cu、Zn、Pb、Cd的生态毒性物种敏感性分布曲线(图 1)。图中显示的不同颜色线条代表通过对应分布模型均能够成功拟合毒性参数的分布,并通过AD和KS检验(P > 0.05),且AIC和BIC检验结果接近,并确定各个优选分布函数的权重,建立基于优选分布函数加权平均后的分布模型,以减少数据依偏于某一分布函数的不确定性[36]。此外,随pH升高,各重金属物种敏感分布曲线逐渐右移,代表Cu、Zn、Pb、Cd四种阳离子型重金属的毒性阈值逐渐升高,即碱性土壤中毒性小于酸性土壤。
|
图 1 不同pH土壤中铜(a~d)、锌(e~h)、铅(i~l)、镉(m~p)的物种敏感度分布(SSD)曲线 Fig. 1 Species sensitivity distribution(SSD)curves based on the Cu(a-d), Zn(e-h), Pb(i-l), and Cd(m-p)toxicity thresholds at different soil pH |
如表 2所示,不同土地利用方式下基于生态安全的土壤Cu、Zn、Pb、Cd阈值存在显著差异。需要指出的是,本研究收集的毒性数据均基于外源添加重金属的实验获得,因此,最终推导的生态安全阈值是在计算得到的HCx值基础上,叠加全国土壤重金属背景含量中位数(Cu:20.7 mgŸkg−1,Zn:68.0 mgŸkg−1,Pb:23.5 mgŸkg−1,Cd:0.079 mgŸkg−1)得到的。分析结果表明,四种重金属生态毒性大小依次为:Cd > > Cu > Zn > Pb。土地利用方式所体现的生态保护水平严格程度是阈值设定的关键依据,导致阈值呈现清晰的梯度分布:农用地和自然保护地要求最为严格,其阈值最低;公园用地和居住用地次之;商业服务用地和工矿用地因生态保护要求相对宽松,其阈值最高。同时,土壤pH对阈值具有显著的调控作用,碱性土壤中四种重金属的阈值均显著高于中性、酸性和强酸性土壤。以Cd为例,在中性土壤条件下,商业服务用地和工矿用地的Cd阈值(80 mgŸkg−1)高达农用地和自然保护地(6.2 mgŸkg−1)的近13倍;而在生态保护要求最严格的农用地和自然保护地内部,碱性土壤中的Cd阈值(18 mgŸkg−1)更是强酸性土壤(0.45 mgŸkg−1)的40倍。
|
|
表 2 不同土地利用方式下基于生态安全的土壤Cu、Zn、Pb、Cd阈值 Table 2 Soil ecological safety threshold values of Cu, Zn, Pb, Cd under different land use types/(mgŸkg−1) |
本研究系统构建了涵盖Cu、Zn、Pb、Cd四种重金属的生态毒性数据库及对应归一化方程。在推导阈值过程中,系统整合老化-淋洗-土壤性质归一化模型,其中老化模型量化了外源添加重金属与真实污染土壤间的生物有效性差异,显著降低毒性高估偏差[27];淋洗模型则消除了添加过程中伴随阴离子(氯离子、硝酸根离子、硫酸根离子等)对生物受体的协同干扰效应[34],较之传统单一校正方法,该耦合模型体系可同步克服重金属外源添加效应与土壤基质效应干扰,提升阈值推导的环境适用性。
通过表 1所示归一化方程可知,土壤性质对不同重金属的生态毒性具有显著的调控作用。对于Cu,EC10与土壤pH、CEC和CL呈显著正相关,表明土壤pH升高、CEC增大或CL增加均有助于降低Cu的生物有效性及其生态毒性。这主要归因于阳离子型重金属(如Cu2+)在中性至碱性条件下吸附和水解、沉淀趋势增强,以及在高CEC和高CL的土壤中更易被土壤胶体吸附固定[63]。对于Zn,pH和OM是其生态毒性的主要控制因子。Zn在进入中性及碱性土壤后,容易形成碳酸盐和氢氧化物沉淀,从而降低其有效性[64]。土壤有机质具有较强的吸附Zn的能力,其通过减少Zn的非特异性吸附降低其吸附能[65]。而对于Pb与Cd,与Cu类似,一般情况下土壤pH升高,Pb与Cd的有效性降低,OM和CL的增加均有助于二者在土壤中的吸附固定,从而降低其生态毒性[66]。
3.2 国内外基于生态安全的土壤Cu、Zn、Pb、Cd阈值的比较本研究建立的基于土地利用方式与土壤pH分区的Cu、Zn、Pb、Cd生态安全阈值体系(表 2)与欧美国家现行标准(表 3)存在显著差异。该差异主要源于推导方法、生态受体选择、保护水平及土壤属性的纳入。
|
|
表 3 不同国家基于生态安全的土壤Cu、Zn、Pb、Cd阈值 Table 3 Comparison of soil ecological safety threshold values of Cu, Zn, Pb, Cd with different countries |
美国环保署采用几何平均法推导生态筛选值(Eco-SSLs),其保护植物和无脊椎动物的Cu阈值(70~80 mgŸkg−1)与本研究农用地和自然保护地、公园用地的中性土壤阈值(50和95 mgŸkg−1)量级相近[6];荷兰住房、空间规划和环境部及英国环境署虽同样采用SSD法,但其单一阈值未考虑土壤pH分级,如荷兰Cd生态安全阈值为12 mgŸkg−1,显著高于本研究农用地强酸性土壤阈值(0.45 mgŸkg−1)[67]。加拿大环境部长理事会的土壤质量指导值虽划分4类用地,但忽略土壤pH影响。以Cd为例,其工业用地阈值为22 mgŸkg−1,低于本研究工矿用地中性土壤阈值80 mgŸkg−1,且无法反映土壤酸碱性对阈值的影响特征[8]。
英国采用HC5推导的Pb阈值35.6 mgŸkg−1甚至严于本研究自然保护地强酸性土壤阈值147 mgŸkg−1,可能源于其对敏感物种的高保护要求[7];而美国针对鸟类/哺乳动物设置了极低的生态阈值分别为11和56 mgŸkg−1,可能与本研究未纳入更高等级生物的生态毒理学数据有关[6]。
我国在逐步建立基于土壤生态安全的阈值确立方法,但统一的制定方法尚未形成。如中华人民共和国生态环境部2018年发布《生态安全土壤环境基准制定技术指南(征求意见稿)》。2023年,中华环保联合会发布了《建设用地土壤生态安全环境基准制定技术指南》,建立了特定土地利用方式下基于生态安全的土壤阈值确立方法。此外,国内学者也围绕Cu、Zn、Pb、Cd开展了生态安全阈值研究。通过数据收集、毒理试验、SSD外推和田间验证等手段,建立了基于农用地土壤Cu、Zn、Pb和Cd的生态安全阈值[31,33]。此外,也有针对不同土地利用方式建立基于土壤生态安全的Cu和Cd的研究,同时还推导了基于乙二胺四乙酸(EDTA)提取态含量的Cd生态安全阈值[68]。然而同样由于数据源、数据量以及归一化方式的差异,相关结果有一定偏差,但基本处于同一量级。
3.3 研究局限与展望由于现阶段基于非农业土壤、非农业植物(如景观植物)、高等级生物(鸟类和哺乳动物)生态毒理研究较为缺乏,导致相关数据量较小,本研究收集获取的数据大多来自农田土壤中农作物的生态毒理,因此,外推至其他土地利用方式的生态安全阈值时需在未来研究基础上加以完善和验证。
实际土壤环境中,重金属污染常以Cd-Pb、Cu-Zn、Cd-As等复合形式存在。多种重金属可通过离子电荷竞争或共沉淀等方式改变土壤吸附能力与生物有效性,并可能直接影响生物受体的毒性响应。同时,土壤性质、重金属种类及其浓度比例均能影响重金属复合污染的联合毒性效应,进而改变目标单一重金属的生态阈值[69]。复合污染联合毒性效应评价主要采用“自下而上”(基于化合物)和“自上而下”(基于基质)两种方法:前者利用单污染物毒性数据和加和模型进行预测性评估,应用广泛且效率高,但需结合具体污染土壤进行模型校正;后者直接测试复合污染物整体效应进行回顾性分析,污染区域特异性强,但难以识别关键污染物,可结合多元分析降低复杂性并识别驱动因子[70]。后续研究可在本文数据基础上,结合多金属交互作用的实验数据进行修正,以完善阈值体系并提升其实际应用价值。
4 结论本研究通过系统收集与筛选,分别获取Cu、Zn、Pb、Cd的生态毒理学数据118条、123条、61条与100条,在老化-淋洗效应与土壤性质归一化基础上,建立了包含土壤pH、黏粒含量、有机质和阳离子交换量关键性质的毒性阈值预测模型;进一步应用物种敏感性分布法,采用基于最优分布函数加权平均的拟合模型,以降低对单一分布函数的依赖及不确定性,据此推导出农用地与自然保护地、公园用地、居住用地、商业服务用地与工矿用地等不同土地利用方式下,按pH ≤ 5.5、5.5 < pH ≤ 6.5、6.5 < pH ≤ 7.5及pH > 7.5分级设置的上述重金属生态安全阈值。
| [1] |
Wu T L, Liu C, Zhou D M, et al. Environmental soil science: Retrospect and prospect (In Chinese)[J]. Acta Pedologica Sinica, 2023, 60(5): 1324-1338. DOI:10.11766/trxb202309160381 [吴同亮, 刘存, 周东美, 等. 环境土壤学——回顾与展望[J]. 土壤学报, 2023, 60(5): 1324-1338.]
( 0) |
| [2] |
Ministry of Ecology and Environment of the People's Republic of China. Brief report on national ecological and environmental quality 2020[R]. Beijing, 2021.[中华人民共和国生态环境部. 生态环境部发布2020年全国生态环境质量简况[R]. 北京, 2021.]
( 0) |
| [3] |
Ge F, Xu K K, Liu A P, et al. Progress of the research on soil environmental criteria in other countries and its enlightenment to China (In Chinese)[J]. Acta Pedologica Sinica, 2021, 58(2): 331-343. DOI:10.11766/trxb201911180614 [葛峰, 徐坷坷, 刘爱萍, 等. 国外土壤环境基准研究进展及对中国的启示[J]. 土壤学报, 2021, 58(2): 331-343.]
( 0) |
| [4] |
Ma J, Luo Y M, Hu Q, et al. Fifty years of research on soil environment criteria and standard in China: Development process and future prospect (In Chinese)[J]. Research of Environmental Sciences, 2025. DOI:10.13198/j.issn.1001-6929.2025.06.03 [马瑾, 骆永明, 胡清, 等. 中国土壤环境基准与标准研究五十年: 发展历程与未来展望[J]. 环境科学研究, 2025.]
( 0) |
| [5] |
Shi W Y, Wang X D, Bian J L, et al. Construction of ecological safety threshold prediction model for metal elements in soils (In Chinese)[J]. China Environmental Science, 2025, 45(1): 253-264. [史婉阳, 王学东, 卞建林, 等. 土壤中金属元素生态安全阈值预测模型的构建[J]. 中国环境科学, 2025, 45(1): 253-264.]
( 0) |
| [6] |
United States Environmental Protection Agency. Guidance for developing ecological soil screening levels[R]. Washington DC, 2005.
( 0) |
| [7] |
United Kingdom Environment Agency. Soil screening values for use in UK ecological risk assessment[R]. Warrington, 2004.
( 0) |
| [8] |
Canadian Council of Ministers of the Environment. A protocol for the derivation of environmental and human health soil quality guidelines[R]. Winnipeg, 2006.
( 0) |
| [9] |
Li B. The phytotoxicity of added copper and nickel to soils and predictive models[D]. Beijing: Chinese Academy of Agricultural Sciences, 2010.[李波. 外源重金属铜、镍的植物毒害及预测模型研究[D]. 北京: 中国农业科学院, 2010.]
( 0) |
| [10] |
Zhao S W, Qin L Y, Wang L F, et al. Ecological risk thresholds for Zn in Chinese soils[J]. Science of the Total Environment, 2022, 833: 155182. DOI:10.1016/j.scitotenv.2022.155182
( 0) |
| [11] |
Cao Q, Hu Q H, Khan S, et al. Wheat phytotoxicity from arsenic and cadmium separately and together in solution culture and in a calcareous soil[J]. Journal of Hazardous Materials, 2007, 148(1/2): 377-382.
( 0) |
| [12] |
Li B, Ma Y B, Liu J F, e al. Major soil factors controlling copper toxicity to tomato in a wide range of Chinese soils and the predictable models (In Chinese)[J]. Acta Pedologica Sinica, 2010, 47(4): 665-673. DOI:10.11766/trxb200809040411 [李波, 马义兵, 刘继芳, 等. 西红柿铜毒害的土壤主控因子和预测模型研究[J]. 土壤学报, 2010, 47(4): 665-673.]
( 0) |
| [13] |
Zhang J X, Na M L, Xu M G. Inhibition and toxicity of Cu, Zn, Pb on root elongation of vegetable in contaminated soil (In Chinese)[J]. Journal of Agro-Environment Science, 2007, 26(3): 945-949. [张建新, 纳明亮, 徐明岗. 土壤Cu Zn Pb污染对蔬菜根伸长的抑制及毒性效应[J]. 农业环境科学学报, 2007, 26(3): 945-949.]
( 0) |
| [14] |
Xu M G, Na M L, Zhang J X, et al. Inhibition effects of Cu, Zn and Pb on vegetable root elongation in contaminated red soil (In Chinese)[J]. China Environmental Science, 2008, 28(2): 153-157. [徐明岗, 纳明亮, 张建新, 等. 红壤中Cu、Zn、Pb污染对蔬菜根伸长的抑制效应[J]. 中国环境科学, 2008, 28(2): 153-157.]
( 0) |
| [15] |
Li H Y, Chen S Y, Wang H. Study on the fates of Cu and Zn in soil-plant system as well as their critical contents (In Chinese)[J]. Rural Eco-Environment, 1994, 10(2): 22-24. [李惠英, 陈素英, 王豁. 铜、锌对土壤—植物系统的生态效应及临界含量[J]. 农村生态环境, 1994, 10(2): 22-24.]
( 0) |
| [16] |
Chen Y Z. Study on the toxic effects of soil zinc on crops and the toxicity thresholds of Zn for the soil[D]. Fuzhou: Fujian Agriculture and Forestry University, 2011.[陈玉真. 土壤锌对植物的毒害效应及临界值研究[D]. 福州: 福建农林大学, 2011.]
( 0) |
| [17] |
Wei W. Zinc phytotoxicity as affected by soil properties and development of a predictive model[D]. Yangling, Shaanxi: Northwest A & F University, 2012.[魏威. 土壤外源锌的植物毒害主控因子和预测模型研究[D]. 陕西杨凌: 西北农林科技大学, 2012.]
( 0) |
| [18] |
Song W E, Chen S B. The toxicity thresholds (ECx) of cadmium (Cd) to rice cultivars as determined by root-elongation tests in soils and lts predicted models (In Chinese)[J]. Scientia Agricultura Sinica, 2014, 47(17): 3434-3443. [宋文恩, 陈世宝. 基于水稻根伸长的不同土壤中镉(Cd)毒性阈值(ECx)及预测模型[J]. 中国农业科学, 2014, 47(17): 3434-3443.]
( 0) |
| [19] |
Wang Z X, Chen H P, Li M, et al. Toxicity thresholds of cadmium to barley and perennial ryegrass as determined by root-elongation and growth tests in soils (In Chinese)[J]. Soils, 2019, 51(6): 1151-1159. [王子萱, 陈宏坪, 李明, 等. 不同土壤中镉对大麦和多年生黑麦草毒性阈值的研究[J]. 土壤, 2019, 51(6): 1151-1159.]
( 0) |
| [20] |
He M M, Xu M. Du Y L, et al. Toxic effects of cadmium on maize seedlings and rhizosphere microbes in fluvo-aquic soils of Beijing (In Chinese)[J]. Asian Journal of Ecotoxicology, 2013, 8(3): 404-412. [贺萌萌, 徐猛, 杜艳丽, 等. 镉在北京褐潮土中对玉米幼苗及其根际微生物的毒性效应[J]. 生态毒理学报, 2013, 8(3): 404-412.]
( 0) |
| [21] |
Lanno R P, Oorts K, Smolders E, et al. Effects of soil properties on the toxicity and bioaccumulation of lead in soil invertebrates[J]. Environmental Toxicology and Chemistry, 2019, 38(7): 1486-1494. DOI:10.1002/etc.4433
( 0) |
| [22] |
Lock K, Janssen C R. Modeling zinc toxicity for terrestrial invertebrates[J]. Environmental Toxicology and Chemistry, 2001, 20(9): 1901-1908. DOI:10.1002/etc.5620200907
( 0) |
| [23] |
Duan X W, Xu M, Zhou Y Y, et al. Effects of soil properties on copper toxicity to earthworm Eisenia fetida in 15 Chinese soils[J]. Chemosphere, 2016, 145: 185-192. DOI:10.1016/j.chemosphere.2015.11.099
( 0) |
| [24] |
United States Environmental Protection Agency. ECOTOX Knowledgebase [Z/OL]. https://cfpub.epa.gov/ecotox/.
( 0) |
| [25] |
Romero-Freire A, Lofts S, Martín Peinado F J, et al. Effects of aging and soil properties on zinc oxide nanoparticle availability and its ecotoxicological effects to the earthworm Eisenia andrei[J]. Environmental Toxicology and Chemistry, 2017, 36(1): 137-146.
( 0) |
| [26] |
Wang W R, Lin X L, Zhao L, et al. Toxicity threshold and prediction model for zinc in soil-dwelling springtails in Chinese soils (In Chinese)[J]. Journal of Agro-Environment Science, 2021, 40(4): 766-773. [王巍然, 林祥龙, 赵龙, 等. 我国20种典型土壤中锌对白符跳虫的毒性阈值及其预测模型[J]. 农业环境科学学报, 2021, 40(4): 766-773.]
( 0) |
| [27] |
Wang X Q, Wei D P, Ma Y B, et al. Derivation of soil ecological criteria for copper in Chinese soils[J]. PLoS One, 2015, 10(7): e0133941. DOI:10.1371/journal.pone.0133941
( 0) |
| [28] |
Chen S B, Lin L, Wei W, et al. Comparative study of Zn-toxicity thresholds in 16 Chinese soils as determined by different bioassay endpoints and its predicted models (In Chinese)[J]. China Environmental Science, 2013, 33(5): 922-930. [陈世宝, 林蕾, 魏威, 等. 基于不同测试终点的土壤锌毒性阈值及预测模型[J]. 中国环境科学, 2013, 33(5): 922-930.]
( 0) |
| [29] |
Hou Q Q. Effects of soil contaminants from Cd and Zn on soilenzyme activities and plant ryegrass recovery[D]. Xi'an: Chang'an University, 2018.[侯琪琪. Cd、Zn土壤污染物对土壤酶活性及修复植物黑麦草的影响研究[D]. 西安: 长安大学, 2018.]
( 0) |
| [30] |
Ge F F. The study about phytoremediation and effects of heavy metal pollution on the activity of soil enzyme[D]. Kaifeng, Henan: Henan Normal University, 2018.[葛芳芳. 重金属污染对土壤酶活性影响及植物修复的研究[D]. 河南开封: 河南师范大学, 2018.]
( 0) |
| [31] |
Yu L, Chen S B, Wang J, et al. Environmental risk thresholds and prediction models of Cd in Chinese agricultural soils[J]. Science of the Total Environment, 2024, 906: 167773. DOI:10.1016/j.scitotenv.2023.167773
( 0) |
| [32] |
Huang X H, Li X Z, Wang G Q, et al. Study of soil environmental criteria of copper for protection of terrestrial ecosystem (In Chinese)[J]. China Environmental Science, 2022, 42(10): 4720-4730. [黄兴华, 李勖之, 王国庆, 等. 保护陆生生态的土壤铜环境基准研究[J]. 中国环境科学, 2022, 42(10): 4720-4730.]
( 0) |
| [33] |
Li X Z, Sun L, Du J Y, et al. Soil ecological safety thresholds for zinc in agricultural land (In Chinese)[J]. Acta Scientiae Circumstantiae, 2022, 42(7): 408-420. [李勖之, 孙丽, 杜俊洋, 等. 农用地土壤重金属锌的生态安全阈值研究[J]. 环境科学学报, 2022, 42(7): 408-420.]
( 0) |
| [34] |
Wan Y N. Ecological thresholds for zinc in Chinese soils[D]. Beijing: Chinese Academy of Agricultural Sciences, 2020.[万亚男. 我国土壤中锌的生态阈值研究[D]. 北京: 中国农业科学院, 2020.]
( 0) |
| [35] |
Qin L Y, Sun X Y, Yu L, et al. Ecological risk threshold for Pb in Chinese soils[J]. Journal of Hazardous Materials, 2023, 444: 130418. DOI:10.1016/j.jhazmat.2022.130418
( 0) |
| [36] |
Fox D R, van Dam R A, Fisher R, et al. Recent developments in species sensitivity distribution modeling[J]. Environmental Toxicology and Chemistry, 2021, 40(2): 293-308.
( 0) |
| [37] |
Chen Y Z, Wang G. The toxic effects of soil zinc to cucumber seedlings and toxicity threshold values (In Chinese)[J]. Chinese Journal of Tropical Crops, 2012, 33(11): 1960-1965. [陈玉真, 王果. 土壤锌对黄瓜幼苗的毒害效应及临界值研究[J]. 热带作物学报, 2012, 33(11): 1960-1965.]
( 0) |
| [38] |
Wang X J, Wang H M, Wang F, et al. Effects of zinc on the fruits' quality of two eggplant varieties (In Chinese)[J]. Acta Ecologica Sinica, 2011, 31(20): 6125-6133. [王小晶, 王慧敏, 王菲, 等. 锌对两个品种茄子果实品质的效应[J]. 生态学报, 2011, 31(20): 6125-6133.]
( 0) |
| [39] |
Na M L, Xu M G, Zhang J X, et al. Inhibition effects of Cu, Zn and Pb on root elongation of tomato in three typical contaminated soils of China (In Chinese)[J]. Asian Journal of Ecotoxicology, 2008, 3(1): 81-86. [纳明亮, 徐明岗, 张建新, 等. 我国典型土壤上重金属污染对番茄根伸长的抑制毒性效应[J]. 生态毒理学报, 2008, 3(1): 81-86.]
( 0) |
| [40] |
Wang X N, Chen L H, Wang W H, et al. Ecotoxicological effect and soil environmental quality criteria of lead in the fluvo-aquic soil of Baoding (In Chinese)[J]. Environmental Chemistry, 2016, 35(6): 1219-1227. [王晓南, 陈丽红, 王婉华, 等. 保定潮土铅的生态毒性及其土壤环境质量基准推导[J]. 环境化学, 2016, 35(6): 1219-1227.]
( 0) |
| [41] |
Qu Y M. Study on the toxicity thresholds of cadmium on two vegetables under field conditions[D]. Fuzhou: Fujian Agriculture and Forestry University, 2014.[屈应明. 田间条件下镉对两种蔬菜的毒害临界值研究[D]. 福州: 福建农林大学, 2014.]
( 0) |
| [42] |
Song N N, Huang J S, Guo X Y, et al. Differences between laboratory and field tests for phytotoxicity of copper in soils using different assessment endpoints (In Chinese)[J]. Asian Journal of Ecotoxicology, 2014, 9(4): 689-698. [宋宁宁, 黄锦孙, 郭雪雁, 等. 土壤铜植物毒害的不同评价终点和室内外测定差别研究[J]. 生态毒理学报, 2014, 9(4): 689-698.]
( 0) |
| [43] |
Li B, Ma Y B, Mclaughlin M J, et al. Influences of soil properties and leaching on copper toxicity to barley root elongation[J]. Environmental Toxicology and Chemistry, 2010, 29(4): 835-842.
( 0) |
| [44] |
European Commission. Registration, evaluation, authorization and restriction of chemicals[Z/OL]. https://echa.europa.eu/information-on-chemicals.
( 0) |
| [45] |
Sun Q. Microbial ecological and crop effects and diagnostic index of copper pollution in grain-vegetable rotation ecosystems[D]. Hangzhou: Zhajiang University, 2008.[孙权. 粮—菜轮作系统铜污染的作物和土壤微生物生态效应及诊断指标[D]. 杭州: 浙江大学, 2008.]
( 0) |
| [46] |
Li N, Guo X Y, Chen S B, et al. Toxicity thresholds and predicted model of Pb added to soils with various properties and its leaching factors as determined by barley root-elongation test (In Chinese)[J]. Chinese Journal of Applied Ecology, 2015, 26(7): 2177-2182. [李宁, 郭雪雁, 陈世宝, 等. 基于大麦根伸长测定土壤Pb毒性阈值、淋洗因子及其预测模型[J]. 应用生态学报, 2015, 26(7): 2177-2182.]
( 0) |
| [47] |
Zhang Q. Preliminary toxicity study of exogenous Pb and Cd on barley and earthworms in main soils of Guizhou province[D]. Guiyang: Guizhou Normal University, 2016.[张强. 贵州省主要土壤外源Pb和Cd对大麦和蚯蚓毒性初步研究[D]. 贵阳: 贵州师范大学, 2016.]
( 0) |
| [48] |
Zhen L P, Du J Y, Zhang Y, et al. Toxic effects and prediction modeling of cadmium contamination on cabbage seeds in 18 soil types[C]. Proceedings of the Annual Conference of the Chinese Society for Environmental Science, 2017: 1898—1907.[郑丽萍, 杜俊洋, 张亚, 等. 18种土壤中镉对白菜种子的毒害效应及预测模型研究[C]. 中国环境科学学会学术年会论文集, 2017: 1898—1907.]
( 0) |
| [49] |
Jiang Y Y. Study on the toxicity thresholdof cadmium on Lpomoea aquatica[D]. Fuzhou: Fujian Agriculture and Forestry University, 2015.[姜玉英. 镉对空心菜的毒害临界值的研究[D]. 福州: 福建农林大学, 2015.]
( 0) |
| [50] |
Ding F H. Study on the toxie effects of soil arsenicand cadmium to the cropsand their threshold values[D]. Fuzhou: Fujian Agriculture and Forestry University, 2010.[丁枫华. 土壤中砷、镉对作物的毒害效应及其临界值研究[D]. 福州: 福建农林大学, 2010.]
( 0) |
| [51] |
Zhang X Q, Wu H X, Ma Y B, et al. Intrinsic soil property effects on Cd phytotoxicity to Ligustrum japonicum 'Howardii' expressed as different fractions of Cd in forest soils[J]. Ecotoxicology and Environmental Safety, 2020, 206: 110949. DOI:10.1016/j.ecoenv.2020.110949
( 0) |
| [52] |
Liu X, Liu S Q, Wang S A. The relationship between heavy metal forms and soil enzymatic activities in the main soils of Hebei province (In Chinese)[J]. Journal of Hebei Agricultural University, 2002, 25(1): 33—37, 60. [刘霞, 刘树庆, 王胜爱. 河北主要土壤中重金属镉、铅形态与土壤酶活性的关系[J]. 河北农业大学学报, 2002, 25(1): 33—37, 60.]
( 0) |
| [53] |
Wu J, Tang Y, Li Z Z, et al. Tolerance of cordate houttuynia to lead and zinc (In Chinese)[J]. Journal of Basic Science and Engineering, 2011, 19(2): 179-187. [伍钧, 唐亚, 李铮铮, 等. 鱼腥草耐铅、锌毒性和修复能力的研究[J]. 应用基础与工程科学学报, 2011, 19(2): 179-187.]
( 0) |
| [54] |
Zhou J, Huang F, Wu Q, et al. Tolerance and cumulative effect of zinc pollution of three vegetables in central China[J]. Agricultural Science & Technology, 2010(8): 102-105.
( 0) |
| [55] |
Zhu B. Qing C L, Mu S S. Ecological effect of exotic Cd-Zn compound pollution on purple soil (In Chinese)[J]. Chinese Journal of Applied Ecology, 1997, 8(6): 639-644. [朱波, 青长乐, 牟树森. 紫色土Zn、Cd复合污染生态效应研究[J]. 应用生态学报, 1997, 8(6): 639-644.]
( 0) |
| [56] |
Romero-Freire A, Martin Peinado F J, van Gestel C A M. Effect of soil properties on the toxicity of Pb: Assessment of the appropriateness of guideline values[J]. Journal of Hazardous Materials, 2015, 289: 46-53. DOI:10.1016/j.jhazmat.2015.02.034
( 0) |
| [57] |
Hong C L, Jia Y B, Yang X E, et al. Assessing lead thresholds for phytotoxicity and potential dietary toxicity in selected vegetable crops[J]. Bulletin of Environmental Contamination and Toxicology, 2008, 80(4): 356-361. DOI:10.1007/s00128-008-9375-z
( 0) |
| [58] |
Liu H L, Wang Y J, Xuan L, et al. Effects of soil physico-chemical properties on chronic toxicity of cadmium to earthworm Eisenia fetida (In Chinese)[J]. Journal of Agro-Environment Science, 2016, 35(2): 225-233. [刘海龙, 王玉军, 宣亮, 等. 土壤基本理化性质对外源镉蚯蚓慢性毒性的影响[J]. 农业环境科学学报, 2016, 35(2): 225-233.]
( 0) |
| [59] |
Xuan L. Research of cadmium (Cd) ecological threshold based on springtail toxicity experiment[D]. Hefei: Anhui University, 2016.[宣亮. 基于跳虫毒性实验的镉(Cd)生态阈值研究[D]. 合肥: 安徽大学, 2016.]
( 0) |
| [60] |
Wang X, Dang X L, Zhao L, et al. Toxic effects of cadmium on Caenorhabditis elegans in soils (In Chinese)[J]. Journal of Agro-Environment Science, 2023, 42(4): 778-786. [王鑫, 党秀丽, 赵龙, 等. 镉对土壤秀丽隐杆线虫的毒性效应[J]. 农业环境科学学报, 2023, 42(4): 778-786.]
( 0) |
| [61] |
Li J, Huang Y Z, Hu Y, et al. Lead toxicity thresholds in 17 Chinese soils based on substrate-induced nitrification assay[J]. Journal of Environmental Sciences, 2016, 44: 131-140. DOI:10.1016/j.jes.2015.09.019
( 0) |
| [62] |
Smolders E, Oorts K, Peeters S, et al. Toxicity in lead salt spiked soils to plants, invertebrates and microbial processes: Unraveling effects of acidification, salt stress and ageing reactions[J]. Science of the Total Environment, 2015, 536: 223-231. DOI:10.1016/j.scitotenv.2015.07.067
( 0) |
| [63] |
Wang Y J, Jia D A, Sun R J, et al. Adsorption and cosorption of tetracycline and copper (Ⅱ) on montmorillonite as affected by solution pH[J]. Environmental Science & Technology, 2008, 42(9): 3254-3259.
( 0) |
| [64] |
Fan T T, Cui P X, Sun Q, et al. Combining path analysis and X-ray absorption spectroscopy to unravel the Zn sorption mechanism on soils[J]. Soil Science Society of America Journal, 2018, 82(4): 796-802. DOI:10.2136/sssaj2017.12.0436
( 0) |
| [65] |
Fan T T, Wang Y J, Li C B, et al. Effect of organic matter on sorption of Zn on soil: Elucidation by Wien effect measurements and EXAFS spectroscopy[J]. Environmental Science & Technology, 2016, 50(6): 2931-2937.
( 0) |
| [66] |
Hu X P, Qu C C, Shi H Z, et al. Mineral-organic interactions drive the aging and stabilization of exogenous Pb in soils[J]. Geoderma, 2023, 437: 116588. DOI:10.1016/j.geoderma.2023.116588
( 0) |
| [67] |
National Institute of Public Health and the Environment. Ecotoxicological serious risk concentrations for soil, sediment and (ground) water: Updated proposals for first series of compounds[R]. Bilthoven, 2001.
( 0) |
| [68] |
Ding C F, Zhou Z G, Wang Y R, et al. Environmental criteria for cadmium in soils based on ecological safety considerations in China (In Chinese)[J]. Earth Science Frontiers, 2024, 31(2): 130-136. [丁昌峰, 周志高, 王玉荣, 等. 基于生态安全的我国土壤镉环境基准研究[J]. 地学前缘, 2024, 31(2): 130-136.]
( 0) |
| [69] |
Cao W Q, Qin C, Zhang Y, et al. Adsorption and migration behaviors of heavy metals (As, Cd, and Cr) in single and binary systems in typical Chinese soils[J]. Science of the Total Environment, 2024, 950: 175253. DOI:10.1016/j.scitotenv.2024.175253
( 0) |
| [70] |
Jiang R, Li X Z, Wang M E, et al. Advances in ecotoxicological effect assessment of contaminants in soil (In Chinese)[J]. Acta Ecologica Sinica, 2023, 43(21): 9061-9070. [姜瑢, 李勖之, 王美娥, 等. 土壤污染生态毒性效应评价研究进展[J]. 生态学报, 2023, 43(21): 9061-9070.]
( 0) |
2026, Vol. 63



0)