随着集约化养殖业的快速发展,畜禽粪便有机肥料的农田施用已成为农业面源污染的重要来源之一[1]。其中,粪源雌激素如雌二醇(E2)、雌三醇(E3)、双酚A(BPA)等作为一类典型的环境内分泌干扰物,因其高生物活性、持久性及低剂量效应,受到广泛关注[2]。这类物质可通过土壤-植物系统迁移转化,干扰生态系统功能,威胁土壤微生物活性、植物生长及地下水安全,甚至通过食物链累积对人类生殖健康产生潜在危害[3]。研究表明,E2等天然雌激素在ng·L–1级别即可引起鱼类性别畸变[4],而BPA等人工合成雌激素因其广泛工业应用,已成为全球性污染物[5]。因此,明确不同土壤类型中粪源雌激素的赋存特征及生态风险,是农业环境安全管理亟待解决的科学问题。
土壤作为雌激素迁移转化的核心介质,其理化性质(如有机质含量、pH、阳离子交换量、养分组成等)显著影响污染物的吸附-解吸、降解及生物有效性。例如,黑土因富含有机质可能增强雌激素的吸附固定[6],而红壤中的高铁铝氧化物含量或通过配位作用影响其结合形态[7];黄棕壤和棕壤的过渡性特征则可能导致雌激素环境行为的复杂性差异[8]。然而,现有研究多聚焦于单一土壤类型或总浓度分析,对不同类型土壤中雌激素的形态分异及驱动机制缺乏系统性解析。此外,雌激素的环境风险不仅取决于总浓度,更与其赋存形态密切相关。有机溶剂提取态可能表征生物可利用性较高的可提取态,水溶态则易随渗滤液迁移扩散,而腐殖酸结合态和胡敏素结合态可能影响其长期残留与缓释效应[9]。形态分异研究的缺失,导致现有风险分析模型难以准确预测雌激素的生态毒性阈值,制约了污染管控策略的制定。
近年来,针对粪源雌激素的研究已从单一介质检测转向多界面迁移机制探索[10],但多数工作仍局限于实验室模拟或短期监测,缺乏对实际农田土壤中多形态雌激素的长期动态追踪。此外,现有生态风险分析多采用固定效应阈值,忽略了土壤类型差异对污染物生物有效性的调控作用。例如,黑土中腐殖酸结合态占比高可能降低雌激素的生物有效性[11],而雌激素在红壤中以可提取态为主则可能加剧地下水污染风险[12]。因此,结合土壤类型与形态特征构建差异化风险分析模型,是提升预测精度的关键突破点。
基于此,本研究以我国典型农业区黄棕壤、棕壤、黑土及红壤为对象,系统探究粪源雌激素(E2、E3、BPA)在4种典型农业土壤中的赋存形态(有机溶剂提取态、水溶态、腐殖酸结合态、胡敏素结合态)及其动态变化规律,解析土壤理化性质与雌激素形态分异的关系,并基于形态特异性毒性数据建立生态风险分析框架。研究结果旨在揭示土壤类型对雌激素环境行为的调控效应,明确形态分异在风险评价中的权重,为制定区域差异化污染防控策略提供科学依据,同时推动农田雌激素污染研究从“总量控制”向“形态精准管控”方式转变。
1 材料与方法 1.1 供试材料4种土壤样品采自中国不同区域的农用地,采用五点取样法采集0~20 cm表层土。采集后的土壤自然风干,过20目筛后备用。土壤基本理化性质如表 1所示。
|
|
表 1 供试土壤的基本理化参数 Table 1 Physicochemical parameters of the test soils |
供试牛粪肥购自云南恒农肥业有限公司,其粪肥的基本理化性质如表 2所示。
|
|
表 2 供试牛粪肥(烘干基)的基本理化性质 Table 2 Physicochemical properties of the test cattle manure fertilizer |
每个棕色广口瓶装100 g混合样,混合样中土:肥质量比=10︰1,每种土样设置3个重复。搅拌均匀后,保持30%田间持水量,置于人工气候室中培养0~90 d。采样时间为0、15、30、60 d。
1.3 测定方法土壤pH采用电位法测定,有机质采用重铬酸钾容量法测定,土壤全氮采用半微量凯氏法测定,土壤全磷采用氢氧化钠熔融—钼锑抗比色法测定,土壤全钾采用ICP-MS测定,阳离子交换量采用三氯化六氨合钴浸提—分光光度法测定,土壤机械组成采用激光粒度分析仪测定,以上实验方法具体步骤参考《土壤农化分析》[13]。
有机溶剂提取态雌激素[14]:1.00 g冻干土壤样品加入20 mL乙酸乙酯提取。超声振荡30 min后,混合物以4000 r·min–1离心20 min。将上清液转移至干净的顶空瓶中,提取过程重复一次。合并两次提取液,氮吹至干,1 mL甲醇重新溶解后用超纯水稀释至20 mL。采用C18柱固相萃取。10 mL甲醇和10 mL乙酸乙酯的1︰1(v/v)混合液洗脱,氮吹至干。最后,用2 mL甲醇重新溶解,通过0.22 μm有机相滤膜过滤。
水溶态雌激素[9]:在提取完有机溶剂提取态的土壤样品中加入20 mL的去离子水,涡旋30 s后超声振荡30 min,2000 r·min–1离心10 min,收集上清液转移至干净的顶空瓶中,重复提取1次,合并2次提取液。采用C18柱固相萃取。洗脱步骤同上。
腐殖酸结合态雌激素[15]:提取完水溶态的土壤样品自然风干后加入10 mL 2.0 mol·L–1的氢氧化钠溶液,100℃水浴2 h,冷却,2000 r·min–1离心10 min收集上清液转移至干净的顶空瓶中,提取液加入等量的乙酸乙酯涡旋30 s,超声30 min,分液漏斗分液,乙酸乙酯提取液转移至干净的顶空瓶中,氢氧化钠重新倒回土壤样品中,重复提取1次。合并2次乙酸乙酯提取液,氮吹至干,用1 mL甲醇重新溶解后用超纯水稀释至20 mL。采用C18柱固相萃取,洗脱步骤同上。
胡敏素结合态雌激素[15]:提取完富里酸结合态的土壤样品中加入2.8 mL甲醇和0.2 mL 2 mol·L–1氢氧化钠溶液,90℃水浴1 h,冷却,2000 r·min–1离心10 min收集上清液转移至干净的顶空瓶中,氮吹至干,1 mL甲醇重新溶解后用超纯水稀释至20 mL。采用C18柱固相萃取。洗脱步骤同上。
采用高效液相色谱(HPLC)测定雌激素浓度,条件如下[14]:使用Inertsil ODS - SP - C18反相色谱柱(120 mm×4.6 mm,5 μm)。流动相由乙腈和水按40︰60(v/v)比例混合组成。进样量为20 μL,流速为1 mL·min–1,柱温40℃,荧光检测器的激发波长为280 nm,发射波长为310 nm。
1.4 数据分析采用Origin2021进行数据分析和图表绘制。使用SPSS 27进行单因素方差分析和皮尔逊相关性分析。
通过使用EEQ方法对牲畜粪肥中的雌激素和双酚A所带来的风险进行了量化,在该方法中,雌激素/双酚A的浓度通过式(1)转换为雌二醇当量[16]。
| $ {{\text{EEQ}}_{17\beta - E2}} = \sum\limits_i {{C_i} \times {\text{RPF}_i}} $ | (1) |
式中,EEQ(以µg·kg–1计)为雌二醇等效浓度Ci(µg·kg–1),而RPFi是相对效力因子,该因子是衡量不同物质激活雌激素受体(ER)能力的指标,以生物活性最强的天然雌激素17β-E2为基准(设定为1)。不同物质的RPFi差异主要由分子结构与雌激素受体的结合能力决定,其值分别为:17β-E2 = 1、E3 = 0.033和BPA = 0.00011。
采用转化率表示土壤中可提取态雌激素向结合态雌激素的转化量,通过式(2)表示:
| $ 转化率=\frac{某天结合态雌激素含量-初始结合态雌激素含量}{初始可提取态雌激素含量}\times 100\% $ | (2) |
采用风险熵(RQ)方法来评估基于粪便的肥料在陆地生态系统中的潜在生态毒性威胁[17]。根据标准环境风险等级标准,潜在生态风险分为高风险(RQ > 1)、中等风险(0.1 < RQ≤1)、低风险(0.01 < RQ≤0.1)和可忽略风险(RQ≤0.01),通过式(3)表示。其中ECsoil指的是土壤中可提取态雌激素的浓度,PNECsoil值代表了不同雌激素在土壤环境中,预计不会对生态系统产生可观察到的有害效应的浓度水平。E2极低的PNECsoil直接反映了其极高的固有毒性。E3的雌激素活性和生态毒性远低于E2,需要更高的浓度才能在生物体内产生可测量的有害效应,这是导致其PNECsoil值高的根本原因。BPA是一种合成的环境雌激素,其雌激素活性介于E2和E3之间,但生态毒性仍高于E3(E3=711 μg·kg–1,E2=0.99 μg·kg–1,BPA=5.61 μg·kg–1)。
| $ {\text{RQ}} = \frac{{{\text{E}}{{\text{C}}_{{\text{soil}}}}}}{{{\text{PNE}}{{\text{C}}_{{\text{soil}}}}}} $ | (3) |
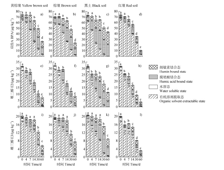
根据雌激素在土壤中的结合特性及生物有效性,本研究将其形态划分为可提取态雌激素(包含有机溶剂提取态和水溶态)和结合态雌激素(腐殖酸结合态与胡敏素结合态)[9,18]。如图 1所示,各类型土壤中BPA总含量均呈现时间依赖性的下降趋势。在老化初期(0~7d),BPA的赋存形态变化占主导地位,生物降解作用尚未显著显现。黑土体系表现出独特的转化特征:其结合态占比在第14 d达到峰值(33.92 μg·kg–1),随后逐渐转化为更稳定的胡敏素结合态,最终在60 d时结合态总量达99.46%;值得注意的是,黑土中BPA总量仅减少41.22%。相比之下,红壤在60 d时BPA总量降低85.87%,其结合态占比(腐殖酸结合态37.18%,胡敏素结合态25.21%)显著低于黑土。黄棕壤与棕壤的BPA残留量分别为35.53%和33.93%,且以结合态形式为主。
|
图 1 粪肥施用土壤中雌激素的赋存形态变化 Fig. 1 Changes of estrogen occurrence patterns in soil amended with manure fertilizers |
E2的总量随时间呈下降趋势,60 d时黑土、黄棕壤、棕壤和红壤的可提取态E2转化率分别为32.08%、17.50%、19.86%和6.61%。E3在老化前期(0~14 d)呈现特殊动态——除红壤外,其余三种土壤中E3总量保持稳定;红壤中E3可提取态转化率仅为6.38%,而总量下降幅度最大。
4种土壤中可提取态雌激素含量均随时间呈现下降趋势(图 2)。水溶态雌激素的含量显著低于有机溶剂提取态雌激素的含量。不同土壤中雌激素的减少程度也存在显著差异:黑土中BPA、E2和E3的减少速率高于其他3类土壤。相反,红壤中可提取态雌激素含量的减少相对较慢。黄棕壤与棕壤的可提取态雌激素减少趋势呈现高度相似性。值得注意的是,所有土壤体系中E2的减少速率均高于E3。
|
(有机溶剂提取态雌激素:a)BPA;b)E2;c)E3;水溶态雌激素:d)BPA;e)E2;f)E3)BPA:双酚A;E2:雌二醇;E3:雌三醇:organic solvent extractable state estrogen(a)BPA;b)E2;c)E3;water soluble state estrogen:d)BPA;e)E2;f)E3)BPA:Bisphenol A;E2:Estradiol;E3:Estriol 图 2 粪肥施用土壤中可提取态雌激素含量变化 Fig. 2 The changes of extractable estrogen contents in soils amended with manure fertilizers |
相关性分析表明(图 3),pH与4种土壤的可提取态雌激素含量呈极显著负相关(P < 0.01),有机质含量与四种土壤的可提取态雌激素含量呈极显著正相关(P < 0.01)。阳离子交换量(CEC)仅与红壤的可提取态雌激素含量呈显著正相关(P < 0.05),全氮(TN)与棕壤和红壤的可提取态雌激素含量呈正相关,全磷(TP)与黄棕壤和黑土的可提取态雌激素含量呈正相关(P < 0.05)。
|
* P < 0.05,**P < 0.01,***P < 0.001. 注:OM:有机质;CEC:阳离子交换量;TN:全氮;TP:全磷;TK:全钾;BPA:双酚A;E2:雌二醇;E3:雌三醇。Note:OM:Organic matter;CEC:Cation exchange capacity;TN:Total nitrogen;TP:Total phosphorus;TK:Total potassium;BPA:Bisphenol A;E2:Estradiol;E3:Estriol. 图 3 可提取态雌激素与土壤理化参数的相关性 Fig. 3 Correlation between extractable estrogens and soil physical and chemical parameters |
基于60 d老化实验的生态风险分析(图 4)显示,不同土壤中可提取态雌激素的生态风险存在显著差异:残留可提取态E3在所有土壤中的RQ值均小于0.01,处于可忽略风险水平;BPA在红壤(RQ=0.73)、黄棕壤(RQ=0.64)和棕壤(RQ=0.50)中为中风险,黑土为低风险(RQ=0.041);E2在红壤(RQ=1.78)和棕壤(RQ=1.01)中为高风险,黄棕壤为中风险(RQ=0.83),黑土为低风险(RQ=0.086)。红壤中可提取态总17β-E2的当量浓度达1.86 μg·kg–1,显著高于黑土(0.10 μg·kg–1)、黄棕壤(0.87 μg·kg–1)和棕壤(1.02 μg·kg–1)。结合态雌激素数据表明:施用粪肥60 d后黑土中32.05%可提取态E2、35.51%可提取态E3及52.16%可提取态BPA会转化为结合态,其结合态总17β-E2当量浓度为11.35 μg·kg–1,分别为黄棕壤(6.46 μg·kg–1)、棕壤(6.67 μg·kg–1)和红壤(3.12 μg·kg–1)的1.75倍、1.70倍和3.64倍。
|
注:(a)风险熵;(b)可提取态雌激素转化率;(c)总17β-E2当量浓度(E表示可提取态雌激素,C表示结合态雌激素,YBS:黄棕壤;BRS:棕壤;BS:黑土;RS:红壤)。Note:(a)Risk quotient;(b)Extractable state estrogen conversion;(c)Total 17β-E2 equivalent concentration(E for extractable state estrogen,C for bound state estrogen;YBS:Yellow brown soil;BRS:Brown soil;BS:Black soil;RS:Red soil) 图 4 牛粪肥施加60 d后土壤中雌激素的生态风险分析 Fig. 4 Ecological risk analysis of estrogen in soil amended with cattle manure fertilizer after 60 days |
雌激素分子中占主导地位的甾体骨架赋予其显著的疏水性,使其更易通过疏水作用与土壤有机质(尤其是腐殖酸)结合[9],因此可提取态雌激素中有机溶剂提取态雌激素含量始终高于水溶态雌激素,而且有机质含量较高的土壤结合的雌激素含量更高。黑土因高有机质含量促进腐殖酸和胡敏素结合态雌激素形成,60 d时3种雌激素结合态占比均达92%以上,表明结合态是其在黑土中的主要赋存形态;红壤则相反,3种可提取态雌激素的低转化率反映生物降解主导可提取态的消除,雌激素在红壤中以可提取态为主要赋存形态;黄棕壤与棕壤中雌激素的赋存特征相似,BPA在短期(0~14 d)以形态转化为主,长期(30~60 d)则能体现生物降解的作用,最终BPA主要以结合态的形式存在于黄棕壤和棕壤中。E2和E3的生物有效性高于BPA,因此其可提取态含量降低较BPA更明显,E2在生物降解过程中可能通过微生物作用部分转化为E3,这种转化路径可能延缓E3的去除进程,导致其在降解初期出现短暂积累现象[19]。E2和E3在黄棕壤和棕壤中短期以可提取态为主要赋存形态,长期以结合态为主要赋存形态。综上,粪肥施用土壤中雌激素的赋存特征因土壤类型不同而存在差异,黑土较高的有机质含量增强了雌激素与腐殖质的结合能力,导致可提取态雌激素大量转化为结合态雌激素[20];其次,其丰富的营养元素为微生物活动提供了有利条件,促进了雌激素的生物降解过程。相反,红壤中较低的有机质含量和酸性环境可能通过以下途径抑制结合态的形成:酸性条件削弱雌激素与矿物表面的结合强度,促进已吸附雌激素的解吸[21];Fe3+、Al3+等阳离子与雌激素竞争吸附位点[7]。黄棕壤与棕壤因理化性质相近,其雌激素的赋存特征也呈现高度相似性。
3.2 土壤化学性质对粪肥施用土壤中可提取态雌激素的影响本研究聚焦粪肥施用土壤中可提取态雌激素的归趋过程,因其具有高环境迁移性与生物有效性:易通过淋溶等途径进入水体或被动植物直接吸收,成为生态风险的直接载体。土壤中雌激素的含量变化受土壤化学性质影响:pH的普遍负相关性表明,酸性环境可能通过抑制微生物活性与增强阳离子竞争效应促进可提取态雌激素的积累;可提取态雌激素与有机质含量的正相关性则源于其双重作用:一方面疏水作用促进可提取态雌激素转化为结合态,另一方面,其形成的有机-矿物复合体可能降低雌激素的生物有效性[22]。CEC的影响具有土壤特异性,仅在红壤中与雌激素呈显著正相关,红壤中的黏土矿物(高岭石、赤铁矿)和铁铝氧化物主导吸附[7],其吸附机制不同于有机质主导的体系,导致红壤对雌激素的结合能力相对较弱。在低有机质土壤中,TN与可提取态雌激素含量呈正相关。这可能是由于土壤中的无机氮组分(NH4+等)与雌激素竞争吸附位点[23],同时抑制了微生物对雌激素的降解效率[24]。TP与雌激素的正相关关系,也可能源于其与雌激素之间类似的竞争吸附机制;TK与4类土壤中可提取态雌激素均呈正相关,潜在说明K+通过增加土壤溶液离子强度,压缩双电层并促进胶体聚集,从而降低有效吸附面积,提升可提取态雌激素含量[25]。综上所述,粪肥施用土壤中可提取态雌激素受土壤化学性质影响产生差异化,其中土壤pH与有机质是普遍性主导因子,而CEC与营养元素的作用呈现土壤类型特异性,主要归因于不同土壤中主导吸附组分的差异(如红壤以矿物为主)以及营养元素通过竞争吸附、抑制降解或改变胶体行为等途径对雌激素有效性的间接作用。这些复杂的相互作用共同决定了雌激素在粪肥施用土壤中的环境行为与潜在风险。
3.3 粪肥施用土壤的生态风险差异粪肥施用土壤的生态风险体现出明显的土壤类型差异。棕壤和黄棕壤因其土壤化学性质相似而导致生态风险类似,RQ贡献以E2为主,BPA次之,E3的贡献值极低。RQ与17β-E2当量浓度分析表明,4种土壤中红壤因最高的可提取态17β-E2当量浓度(1.86 μg·kg–1)及E2的高风险等级(RQ=1.78),具有最高的即时生态风险。然而,传统风险分析可能低估结合态污染物的长期威胁。黑土中结合态雌激素的总17β-E2当量浓度高达11.35 μg·kg–1(为黄棕壤的1.75倍,棕壤的1.70倍,红壤的3.64倍)。尽管结合态雌激素当前的生物有效性较低,但通过以下环境过程可能恢复其活性:降雨淋溶引发的pH波动[26]、黏土矿物风化导致的吸附特性改变[27]、有机质降解对结合结构的破坏[28]。这种“延时释放”效应使黑土体系潜藏更高的长期生态风险。
4 结论本研究揭示了粪肥施用的4种典型农田土壤中雌激素的赋存形态和生态风险差异。以黑土为代表的高有机质土壤通过结合态固定延缓污染物释放,但长期累积潜藏缓释风险;以红壤为代表的低有机质酸性土壤因可提取态比例升高加剧即时生态威胁;以黄棕壤和棕壤为代表的土壤则呈现降解与吸附的平衡机制。研究表明,传统以总浓度为核心的风险分析需转向整合形态特异性和土壤异质性的动态模型,尤其需关注结合态污染物的“延时释放”效应与环境的交互作用。本研究可为构建差异化管控框架提供理论依据,推动农田雌激素治理从粗放式总量控制向精准化形态调控转型,以协同保障生态安全与农业可持续发展。
| [1] |
Jin E G, Cui H W, Chen J, et al. Research progress on the status and abatement techniques of natural estrogen in manure and sewage from livestock farm (In Chinese)[J]. Acta Ecologae Animalis Domastici, 2022, 43(8): 1-7. [金尔光, 崔华威, 陈洁, 等. 畜禽养殖场粪污中天然雌激素现状及其消减技术研究进展[J]. 家畜生态学报, 2022, 43(8): 1-7.]
( 0) |
| [2] |
Chen J Q, Dai S Y, Zhang D, et al. Animal manure derived-estrogens in farmland soil-crop ecosystems: Pollution characteristics, transport regularities, and toxicological risks (In Chinese)[J]. Environmental Chemistry, 2024, 43(7): 2214-2223. [陈健琴, 代思媛, 张碟, 等. 粪肥源雌激素在农田土壤-作物中污染特征、转运规律及毒理风险[J]. 环境化学, 2024, 43(7): 2214-2223.]
( 0) |
| [3] |
Adeel M, Zain M, Shakoor N, et al. Estrogens in plants and emerging risks to human health[J]. Environment International, 2023, 178: 107985. DOI:10.1016/j.envint.2023.107985
( 0) |
| [4] |
Li C, Li Y, Li X Y, et al. Veterinary antibiotics and estrogen hormones in manures from concentrated animal feedlots and their potential ecological risks[J]. Environmental Research, 2021, 198: 110463. DOI:10.1016/j.envres.2020.110463
( 0) |
| [5] |
Zhang H, Shi J H, Liu X W, et al. Occurrence and removal of free estrogens, conjugated estrogens, and bisphenol A in manure treatment facilities in East China[J]. Water Research, 2014, 58: 248-257. DOI:10.1016/j.watres.2014.03.074
( 0) |
| [6] |
Tang L, Yan J Y, Zhou X, et al. Dissolved organic matter influences the indigenous bacterial community and polycyclic aromatic hydrocarbons biodegradation in soils[J]. Science of the Total Environment, 2024, 924: 171662. DOI:10.1016/j.scitotenv.2024.171662
( 0) |
| [7] |
Kang T, Zhou C H, Wei Z Q, et al. Regional distribution characteristics and influencing factors of soil cation exchange capacity in Jiangxi (In Chinese)[J]. Chinese Agricultural Science Bulletin, 2021, 37(14): 66-71. [康婷, 周春火, 魏宗强, 等. 江西省土壤阳离子交换量区域分布特征及其影响因素[J]. 中国农学通报, 2021, 37(14): 66-71.]
( 0) |
| [8] |
Dong W J. The adsorption/desorption properties and influencing factors of sulfadiazine in typical soils[D]. Chengdu: Southwest Jiaotong University, 2022.[董文菁. 磺胺嘧啶在典型土壤中吸附-解吸特征与影响因素研究[D]. 成都: 西南交通大学, 2022.]
( 0) |
| [9] |
Wu X. The speciation of organic contaminants in typical soil and its influencial factors[D]. Hangzhou: Zhejiang University, 2018.[吴翔. 典型土壤有机污染物赋存形态及影响因素[D]. 杭州: 浙江大学, 2018.]
( 0) |
| [10] |
Luan B W, Zhong Q, Zhou T, et al. Combined pollution characteristics and ecological risk assessment of organophosphate esters and phthalate esters in cropland (In Chinese)[J]. Journal of Ecology and Rural Environment, 2024, 40(11): 1416-1427. [栾博文, 钟琴, 周涛, 等. 农田土壤中有机磷酸酯和邻苯二甲酸酯的复合污染特征及风险评估[J]. 生态与农村环境学报, 2024, 40(11): 1416-1427.]
( 0) |
| [11] |
Luo S W, Ren L, Wu W J, et al. Impacts of earthworm casts on atrazine catabolism and bacterial community structure in laterite soil[J]. Journal of Hazardous Materials, 2022, 425: 127778. DOI:10.1016/j.jhazmat.2021.127778
( 0) |
| [12] |
Yang X J, He X X, Lin H, et al. Occurrence and distribution of natural and synthetic progestins, androgens, and estrogens in soils from agricultural production areas in China[J]. Science of the Total Environment, 2021, 751: 141766. DOI:10.1016/j.scitotenv.2020.141766
( 0) |
| [13] |
Bao S D. Soil and agricultural chemistry analysis (In Chinese). 3rd ed[M]. Beijing: China Agriculture Press, 2000. [鲍士旦. 土壤农化分析[M]. 3版. 北京: 中国农业出版社, 2000.]
( 0) |
| [14] |
Fu Y J, Ling W T, Dong C X, et al. Estrogens determination of livestock dung based on UE-SPE-HPLC/FLD (In Chinese)[J]. Chinese Journal of Applied Ecology, 2013, 24(11): 3280-3288. [付银杰, 凌婉婷, 董长勋, 等. 应用UE-SPE-HPLC/FLD法检测养殖业畜禽粪便中雌激素[J]. 应用生态学报, 2013, 24(11): 3280-3288.]
( 0) |
| [15] |
Gao Y Z, Zeng Y C, Shen Q, et al. Fractionation of polycyclic aromatic hydrocarbon residues in soils[J]. Journal of Hazardous Materials, 2009, 172(2/3): 897-903.
( 0) |
| [16] |
Odinga E S, Chen X W, Mbao E O, et al. Estrogens and xenoestrogen residues in manure-based fertilizers and their potential ecological risks[J]. Journal of Environmental Management, 2023, 344: 118609. DOI:10.1016/j.jenvman.2023.118609
( 0) |
| [17] |
Gudda F O, Ateia M, Waigi M G, et al. Ecological and human health risks of manure-borne steroid estrogens: A 20-year global synthesis study[J]. Journal of Environmental Management, 2022, 301: 113708. DOI:10.1016/j.jenvman.2021.113708
( 0) |
| [18] |
Wang C. The speciation of polycyclic aromatic hydrocarbons in typical soils and its influencial factors[D]. Hangzhou: Zhejiang University, 2015.[王晨. 典型土壤中多环芳烃的赋存形态及影响因素初探[D]. 杭州: 浙江大学, 2015.]
( 0) |
| [19] |
Liang Z W, Wu J H, He D C, et al. Degradation characteristics and effect mechanisms of estrogens during aerobic composting of chicken manure based on the orthogonal test[J]. Journal of Environmental Management, 2024, 370: 122751. DOI:10.1016/j.jenvman.2024.122751
( 0) |
| [20] |
Pan S B, Zhang X Q, Xie Y, et al. Stabilizing effect and mechanism of potassium humate on cadmium in red soil (In Chinese)[J]. Journal of Hunan Agricultural University(Natural Sciences), 2025, 51(2): 60-67. [潘少兵, 张雪晴, 谢颖, 等. 腐殖酸钾对红壤镉的稳定作用与机制[J]. 湖南农业大学学报(自然科学版), 2025, 51(2): 60-67.]
( 0) |
| [21] |
Zhang J W, Chi H L, Wu S B, et al. Study on adsorption-desorption characteristics of polyphosphate in gray desert soil and latosol soil (In Chinese)[J]. Soil and Fertilizer Sciences in China, 2024(7): 101-107. [张静雯, 迟海龙, 吴胜彪, 等. 聚磷酸盐在灰漠土和砖红壤中吸附-解吸附特性研究[J]. 中国土壤与肥料, 2024(7): 101-107.]
( 0) |
| [22] |
Haider F U, Wang X K, Zulfiqar U, et al. Biochar application for remediation of organic toxic pollutants in contaminated soils: An update[J]. Ecotoxicology and Environmental Safety, 2022, 248: 114322. DOI:10.1016/j.ecoenv.2022.114322
( 0) |
| [23] |
Hou P F, Xue L X, Yuan W S, et al. Effect of deep fertilization with slow/controlled release fertilizer on N fate in clayey soil wheat field (In Chinese)[J]. Environmental Science, 2023, 44(1): 473-481. [侯朋福, 薛利祥, 袁文胜, 等. 缓控释肥深施对黏性土壤麦田氮素去向的影响[J]. 环境科学, 2023, 44(1): 473-481.]
( 0) |
| [24] |
Liu L, Yang J J, Wang J, et al. Increase in mineral- associated organic carbon does not offset the decrease in particulate organic carbon under long-term nitrogen enrichment in a steppe ecosystem[J]. Soil Biology and Biochemistry, 2025, 202: 109695. DOI:10.1016/j.soilbio.2024.109695
( 0) |
| [25] |
Han T F, Liu K L, Huang J, et al. Temporal and spatial characteristics of paddy soil potassium in China and its response to organic amendments: A systematic analysis[J]. Soil and Tillage Research, 2024, 235: 105894. DOI:10.1016/j.still.2023.105894
( 0) |
| [26] |
Ji D R, Qian J P, Zhang X, et al. Study on the release of heavy metals from soil by simulated rainfall leaching (In Chinese)[J]. Environmental Pollution & Control, 2024, 46(7): 927—932, 940. [纪东如, 钱建平, 张璇, 等. 模拟降雨淋洗对土壤重金属释放规律的研究[J]. 环境污染与防治, 2024, 46(7): 927—932, 940.]
( 0) |
| [27] |
Wang R, Yu J X, Li X J, et al. Adsorption behavior and mechanism of NH4+ on main minerals of weathered crust elution-deposited rare earth ore (In Chinese)[J]. Chemistry & Bioengineering, 2024, 41(3): 20—26, 33. [汪荣, 余军霞, 李小菊, 等. 风化壳淋积型稀土矿中主要矿物对NH4+的吸附行为和机理研究[J]. 化学与生物工程, 2024, 41(3): 20—26, 33.]
( 0) |
| [28] |
Yang J X, Fan Y C, Liao Z Q. Study on the degradation characteristics of organic matter in soil under different soil environments (In Chinese)[J]. Chemical Engineering Design Communications, 2023, 49(7): 193-195. [杨嘉欣, 樊钰纯, 廖梓桥. 土壤中有机质在不同土壤环境下降解特性研究[J]. 化工设计通讯, 2023, 49(7): 193-195.]
( 0) |
2026, Vol. 63



0)