2. 自治区教育厅普通高等学校现代农业工程重点实验室, 新疆阿拉尔 843300;
3. 南疆特色农林产物利用与装备兵团重点实验室, 新疆阿拉尔 843300
2. Modern Agricultural Engineering Key Laboratory at Universities of Education Department of Xinjiang Uygur Autonomous Region, Alar 843300, China;
3. Xinjiang Production and Construction Corps (XPCC) Key Laboratory of Utilization and Equipment of Special Agricultural and Forestry Products in Southern Xinjiang, Alar 843300, China
自20世纪50年代以来,地膜覆盖技术因其在提升土壤温度、保持水分、提高水肥利用效率及抑制杂草生长等方面的显著优势,已成为全球干旱与半干旱地区农业生产的核心措施[1-2]。中国作为地膜使用量最大的国家,其覆盖面积与应用范围持续扩大[3-4],从经济作物延伸至粮食作物领域[5-6]。然而,长期覆膜导致农田地膜残留问题日益严峻,残留率达24%左右,以<25 cm2的聚乙烯碎片为主[7],这些残留物经物理降解逐渐转化为微塑料(Microplastics,MPs,粒径 < 5 mm),成为土壤微塑料污染的重要来源,并随覆膜年限增加呈现累积效应[8]。
微塑料在土壤中的累积量显著上升,其环境行为与生态效应已成为环境科学与土壤学交叉领域的研究热点。已有研究表明,微塑料可通过改变土壤团聚体结构、孔隙分布及水分运移特性等途径显著影响土壤物理性质[9-11]。例如,纳米级微塑料易堵塞土壤微孔隙,而大粒径纤维类微塑料则会增加土壤的可腐蚀性,降低土壤稳定性[12]。然而,当前研究多聚焦于单一粒径或微塑料含量水平的独立效应,对粒径与含量的交互作用机制仍缺乏系统性认知。值得注意的是,不同粒径微塑料因比表面积和迁移能力的差异,可能在土壤中形成异质分布;而微塑料含量梯度变化可能通过叠加效应或阈值效应进一步调节其物理影响。揭示这种交互效应不仅有助于完善微塑料环境行为的理论框架,还可为精准评估农田微塑料污染风险、制定基于粒径分级的污染管控策略提供科学依据,为土壤微塑料污染的生态风险预测与可持续治理提供新视角。
现有研究进一步揭示了微塑料对土壤理化性质的复杂作用机制[13]。一方面,微塑料颗粒因其热容量和热传导率低于土壤矿物颗粒,可改变土壤温度响应机制,其与地膜残留的正相关性表明其对土壤温度分布具有潜在调控作用[14];另一方面,微塑料通过改变孔隙结构和水分保持能力干扰土壤水分平衡和水分传递过程[15-16]。例如,聚酯纤维显著提高土壤蒸发率,而聚酰胺微球和聚乙烯碎片对蒸发的影响较弱[17]。此外,残留微塑料的积累可削弱土壤保水能力,且大尺寸碎片(5~10 mm)可能加剧深层土壤水分蒸发,减弱土壤保水能力,加重干旱风险[18-19]。这些发现表明,微塑料对土壤理化性质的扰动具有多维度特征,但其粒径与含量交互作用下的动态规律仍需深入解析。
基于上述背景,本研究通过模拟农田微塑料残留条件,系统探究不同粒径与微塑料含量梯度的聚乙烯微塑料(PE-MPs)对土壤温度、容重、孔隙度及持水能力等关键参数的定量影响,旨在揭示粒径与含量的交互效应及其生态学意义。研究结果可为农田微塑料污染的风险评估、治理技术开发及农业可持续发展提供理论支撑。
1 材料与方法 1.1 供试材料依据 < 100 μm、100~300 μm、300~1 000 μm、1 000~3 000 μm四个粒径范围,选择48、150、550、1 700 μm的微塑料颗粒为供试材料。微塑料颗粒购自东莞飞弘塑化经营部(中国广东),密度0.91 g·cm–3,呈椭球状,样品如图 1所示。经激光粒度分析仪分析,粒径误差均不超过10%。
|
图 1 试验过程中使用的聚乙烯微塑料 Fig. 1 Polyethylene microplastics used in the test |
供试土壤于2023年4月采自新疆生产建设兵团第一师阿拉尔市七团,土壤类型为棕漠土,按照土壤质地分类为砂质土,其中砂粒、粉粒和黏粒的含量分别为78.1%、18.5%和5.4%。采样深度70~90 cm,采用五点取样法进行取样,去除土壤中的大块杂质后保存在保鲜箱中带回实验室。土壤从田间取回后进行自然风干,待土壤完全干燥后然后通过2 mm筛网,形成样品CK待用。对土壤的物理性质进行检测,测得土壤容重、比重、孔隙度分别为1.35 g·cm–3、2.11 g·cm–3、35.97%。
1.2 试验设计暴露实验对粒径(A)、微塑料含量(B)、土壤深度(C)三个因素采用响应面法Box-Behnken设计如表 1,试验次数为32次。共设置四个粒径水平:48、150、550、1 700 μm;四个微塑料含量水平:0.1%、0.25%、0.5%、1%;三个土壤深度:5、15、25 cm。
|
|
表 1 土柱试验设计表 Table 1 Design table for soil column experiment |
将不同粒径的聚乙烯微塑料按不同质量比与干燥试验土壤混合(对照组不添加任何微塑料),100 r·min–1低速搅拌10 min以防止微塑料在搅拌过程中碎化。喷洒蒸馏水调节混合物含水率至20%(LSD-HWB型水分测定仪校准),于25 ℃恒温培养箱中预培养1周,激活土壤微生物活性。预培养结束后,将混合物含水率调节至25%,填入ZLB300型旋转式挤压造粒机,将土壤-微塑料混合物压制成直径2.5 mm团聚体,以此模拟自然团聚体形成过程,且能够实现孔隙分布的均一化,有助于精准评估微塑料对土壤物理性质的定量影响。将新制备的团聚体置于25 ℃恒温箱中保存48 h,避免团聚体因快速失水导致开裂。
试验单元为透明干净的玻璃圆柱,直径20 cm,高度40 cm,土柱侧面每隔5 cm高度开孔放置传感器,侧面底部有出水口防止积水。土柱填装前使用凡士林涂抹内壁避免壁流效应。将混合物按1.35 g·cm–3的容重装填土柱,0~10、10~20、20~30 cm土层之间使用棉质滤网隔开。培育过程使用马氏瓶对试验土柱进行滴灌,称重法监测土壤水分含量变化,使其土壤相对含水量约为20%,试验装置如图 2所示。
|
注:1马氏瓶;2流量控制阀门;3滴灌管;4地膜;5温湿度传感器;6微塑料。 Note: 1. Marshallows bottle; 2. Flow control valves; 3. Drip irrigation pipes; 4. Mulch; 5. Temperature and humidity sensor; 6. Microplastics. 图 2 试验土柱原理图 Fig. 2 Schematic diagram of the experimental soil column |
土柱培育60 d后进行24 h温度监测,监测间隔为1 s。将土壤温度传感器(量程0.1 ℃,PT100,杭州贵中科技有限公司)放置在土柱土表下5、15、25 cm的中心位置,将温度信息通过数据采集卡(USB7411,北京中泰联创科技有限公司)导入计算机存储,监测当天不对试验土柱进行任何操作。
由于试验土柱的土壤采用恒湿试验模式,且不同土壤深度存在差异处理,样品土壤干燥失水速率测量存在困难,故使用制备的试验土壤进行测量。将50 g干燥土壤样品装填入直径5 cm高度5 cm质量已知的圆柱形铝盒中,使用移液管向铝盒中加入10 mL蒸馏水,摇晃均匀后将铝盒内土壤轻压至统一刻度处。使用卤素水分测定仪以85 ℃加热土壤样品,加热过程中对铝盒及样品称重并记录数据,试验结束后计算土壤样品的干燥失水曲线。
1.4 土壤容重与孔隙度试验180 d后,使用标准容积100 cm3的环刀采集试验土柱土壤进行容重比重测量,并计算土壤孔隙度。采样深度为表层(0~10 cm)、中层(10~20 cm)和底层(20~30 cm)。取样后称量湿土重,随后105 ℃烘干24 h。冷却后,称量干土重计算土壤容重(BD):
| $ BD = \frac{{{M_{{\text{dry}}}}}}{{{V_{{\text{soil}}}}}} $ | (1) |
式中,BD为土壤容重(g·cm–3);Mdry为干燥土壤的质量(g);Vsoil为环刀的体积(cm3)。
土壤比重(SG)测定采用比重瓶法。称量50 mL比重瓶满水重量,将比重瓶中的水倒出1/3,称取10 g烘干后土样填入比重瓶内,加入蒸馏水至比重瓶刻度线。将比重瓶置于热水浴排除空气,冷却至室温后称重,计算比重。根据测得的土壤容比重,计算土壤孔隙度(n):
| $ n = \left( {1 - \frac{{{\text{BD}}}}{{{\text{SG}}}}} \right) \times 100\% $ | (2) |
用干筛法测定土壤机械稳定性团聚体,使用0.2、2、5 mm标准筛进行筛分。称取100 g风干后的混合土样置于套筛顶部,用8411型电动振筛机1 400 r·min–1振荡4 min,获取各孔径筛分后的土壤重量。根据以下公式计算土壤的平均重量直径(MWD)与几何平均直径(GMD):
| $ {\text{MWD}} = \mathop \sum \limits_{i = 1}^n {x_i}{w_i} $ | (3) |
| $ {\text{GMD}} = \exp \left[ {{\raise0.7ex\hbox{${\left( {\mathop \sum \nolimits_{i = 1}^\eta {w_i}ln{x_i}} \right)}$} \!\mathord{\left/ {\vphantom {{\left( {\mathop \sum \nolimits_{i = 1}^\eta {w_i}ln{x_i}} \right)} {\left( {\mathop \sum \nolimits_{i = 1}^n {w_i}} \right)}}}\right.} \!\lower0.7ex\hbox{${\left( {\mathop \sum \nolimits_{i = 1}^n {w_i}} \right)}$}}} \right] $ | (4) |
式中,wi为土壤不同粒级团聚体的重量(g);xi为土壤粒级的平均直径(mm)。
1.6 数据处理采用SPSS Statistics 27软件对实验数据进行系统统计分析。基于构建的三因素实验设计,重点探究微塑料粒径、含量及其交互效应对不同土壤深度的土壤关键物理性质(包括温度动态、水分蒸发动力学及结构特性)的影响。数据分析主要采用方差分析法(ANOVA),用于检验不同处理组间差异的显著性。通过Minitab 21软件对土壤结构特性进行回归拟合分析(设定显著性水平Alpha=0.25)。通过Origin 2022绘制相关性热图,直观展示了微塑料分布特征与各土壤物理性质之间的协同影响关系,并在图中各参数交叉处明确标注了其显著性水平(P值)。
2 结果与讨论 2.1 微塑料对土壤温度日动态的影响时间动态上,处理组呈昼夜双相响应特征(图 3):00∶00-11∶00时段降温速率较对照明显减缓28%~43%,且粒径/含量与降温速率呈负相关,11∶00后热累积效应显现,18∶00时1 700 μm-1%处理达峰值,较对照高0.7 ℃。空间分布上,土壤增温效应呈现垂直梯度衰减特征,5 cm土层增温最显著(最高达0.97 ℃),至25 cm土层温度减少0.67~0.93 ℃,这与光热通量随深度衰减及深层土壤环境稳定性有关。微塑料的粒径与含量对热传导具有协同调控作用,5 cm土层中1 700 μm-1%处理较48 μm-0.1%处理温度提升超0.75 ℃,其作用机制源于大粒径颗粒增加土壤表面粗糙度而削弱土壤-大气热交换,同时微塑料促使孔隙度提升形成隔热层,降低热导率致使温度升高。
|
注:a)5 cm土层温度日动态分析;b)15 cm土层温度日动态分析;c)25 cm土层温度日动态分析。 Note: a) Diurnal dynamic analysis of 5 cm soil temperature; b) Diurnal dynamic analysis of soil temperature in 15 cm layer; c) Diurnal dynamic analysis of soil temperature in 25 cm soil. 图 3 土壤温度日动态分析 Fig. 3 Diurnal dynamic analysis of soil temperature |
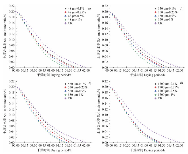
相较于CK组,PE-MPs处理显著加速土壤失水,且失水速率与微塑料含量呈正相关(图 4)。在相同土壤条件与微塑料含量下,微塑料粒径越小,土壤失水速率越快。在同粒径下,含量每增加0.15%蒸发通量提升8%~12%,这源于微塑料形成非连续孔隙结构(含量≥0.25%时大孔隙比例增加27%)。粒径效应在低含量(0.1%~0.25%)时尤为显著,1 700 μm-0.1%处理失水速率达48 μm-0.1%处理的1.2倍,大粒径颗粒(≥550 μm)通过形成毫米级裂隙建立快速蒸发通道,而小颗粒(≤150 μm)因降低有效孔隙直径并增大接触角抑制毛细作用,阻碍水分向蒸发面的移动,导致小粒径下不同微塑料含量之间土壤干燥失水速率差别较为明显[20]。但当微塑料含量达1%时,不同粒径处理间失水速率差异消失,可能是微塑料含量过高使得粒径对土壤结构和孔隙率影响达到饱和,掩盖了粒径差异影响。
|
注:a)48 μm处理下土壤干燥失水动力学曲线;b)150 μm土壤干燥失水动力学曲线;c)550 μm土壤干燥失水动力学曲线;d)1 700 μm土壤干燥失水动力学曲线。 Note: a) Dynamic curves of soil drying and water loss under 48 μm treatment; b) Dynamic curves of soil drying and water loss under 150 μm treatment; c) Dynamic curves of soil drying and water loss under 550 μm treatment; d) Dynamic curves of soil drying and water loss under 1 700 μm treatment. 图 4 不同粒径处理下土壤干燥失水动力学曲线 Fig. 4 Dynamic curves of soil drying and water loss under different particle size treatments |
如图 5所示,经90 d培育后各处理容重增幅均低于CK(Δ=0.27 g·cm–3,P < 0.05),这归因于微塑料的低密度特性,通过改变三相组成降低整体容重[21]。具体而言,土壤容重与微塑料粒径及含量呈负相关,5 cm土层中1 700 μm-0.5%处理容重最低(1.20 g·cm–3,较CK降低18.4%),其原因为大粒径微塑料的空间占位效应形成毫米级孔隙(>300 μm);而粒径减小至48 μm且含量提升至1%时,容重回升至1.32 g·cm–3,因小粒径颗粒嵌入基质堵塞微孔隙(<50 μm)。垂直分布上,容重随土层加深显著增加(CK表层1.44 g·cm–3 vs底层1.52 g·cm–3,P < 0.01),主要受自然压实及黏粒淋溶沉积驱动,但处理组的垂直梯度差较CK减少32%~45%,表明其可缓冲土壤沉降[18]。
|
图 5 培育结束后不同微塑料处理下的土壤容重分布 Fig. 5 Bulk density distribution of soil under different microplastic treatments after incubation |
对土壤容重试验数据的回归拟合采用前进法,获得土壤容重对微塑料粒径、微塑料含量和土层深度的响应模型:
| $ \begin{array}{c} \text {土壤容重}=1.40285-0.000073 \times \mathrm{A} \text {-} \\ 0.0018 \times \mathrm{B}+0.004042 \times \mathrm{C}-0.000095 \times \mathrm{A} \times \mathrm{B} \end{array}$ | (5) |
式中,A为微塑料粒径(μm);B为微塑料含量(%);C为所在土壤深度(cm)。
回归模型中选择的四个变量微塑料粒径、含量、土层深度以及两因子交互项微塑料粒径×含量,对土壤容重的变化解释力和预测力极为显著,F值分别为906.45、99.08、167.20和59.51,对应的P值均小于0.001。模型R2为0.977 5。总体而言,微塑料粒径增加和微塑料含量提高,均会导致土壤容重降低。
2.4 微塑料对土壤总孔隙度的影响通过图 6可以揭示PE-MPs对土壤孔隙结构的重塑作用。相较于对照组(5 cm土层总孔隙度43.85%),所有处理组孔隙度均显著提升(P < 0.05),其调控机制呈现多尺度特征。具体而言,土壤总孔隙度与微塑料粒径呈正相关,1 700 μm处理组孔隙度达55.62%~59.41%,较48 μm处理组提升10.3%~23.4%,主要源于大粒径颗粒通过体积效应占据更多土壤孔隙空间[22]。同时,孔隙度随微塑料含量的增长而增大,48 μm-1%处理组孔隙度(48.18%)较0.1%处理(45.08%)提升7.0%,其因高含量颗粒堆积形成非连续孔隙网络及微塑料-土壤界面接触死角减少水分填充[23]。此外,孔隙度随土层加深而衰减,主要受深层土壤压实增强影响。
|
图 6 培育结束后不同微塑料处理下的土壤总孔隙度分布 Fig. 6 Distribution of total soil porosity under different microplastics treatments after incubation |
培育结束后对不同处理组的土壤机械稳定性团聚体质量分数进行测定,探究聚乙烯PE-MPs对土壤团聚体结构的调控规律:所有处理组相较于CK组均显著提升大粒径团聚体(> 0.2 mm)比例,这是由于大粒径微塑料(≥1 700 μm)通过表面吸附作用形成粒径更大的土壤-微塑料复合团聚体,使 > 0.2 mm团聚体比例达83.22%(较48 μm处理提升93%),MWD与GMD分别达3.70 mm和2.34 mm。微塑料含量的增加也会促进大粒径团聚体的形成,当含量从0.1%增至0.5%时,48 μm处理组 > 0.2 mm团聚体比例提升50%(33.18%增加至49.76%),表明微塑料通过物理缠结和界面黏附双重机制重构团聚体结构。团聚体稳定性随土层加深而降低,土层深度与MWD、GMD以及大于5 mm团聚体的留筛百分率呈负相关关系,与小于0.25 mm团聚体的留筛百分率呈正相关关系,与其他指标的未发现明显的相关关系。
对各处理组土壤团聚体指标的F值以及显著性进行分析,结果见表 2。在MWD、GMD以及大于5 mm和小于0.25 mm两个粒径级别的土壤团聚体上,微塑料粒径、微塑料含量及其交互作用具有较好的显著性。
|
|
表 2 试验因素及其交互作用对土壤团聚体分布影响及其显著性 Table 2 Effects and significance of experimental factors and their interactions on soil aggregates distribution |
图 7相关性热图揭示了微塑料介导的土壤物理性质协同演化机制。大团聚体比例与土壤平均粒径(MWD、GMD)呈极显著正相关(P < 0.001),而土壤容重与孔隙度间存在强负向耦合关系(P < 0.001)。微塑料通过双路径调控体系改变土壤结构:①直接路径:大粒径微塑料(≥550 μm)通过表面吸附作用提升 > 0.2 mm团聚体比例达83.22%,使MWD最高增至3.70 mm(较CK提升928%);②间接路径:团聚体重构降低容重(Δ=0.27 g·cm–3)并提升孔隙度(Δ=15.6%),进而降低热导率并优化蒸发通道影响土壤水热运移。由于土壤物性变化对土壤肥力、水气有影响,未来需结合多组学技术,解析微塑料-土壤-微生物互作网络及其对酶活性和根系的影响阈值。
|
注:*表示在0.05水平(双侧)上极显著相关;**表示在0.01水平(双侧)上极显著相关;***表示在0.001水平(双侧)上极显著相关。 Note: * indicates a highly significant correlation at the 0.05 level (two-tailed); ** indicates a highly significant correlation at the 0.01 level (two-tailed); *** indicates a highly significant correlation at the 0.001 level (two-tailed). 图 7 土壤不同指标的相关性热图 Fig. 7 Correlation analysis matrix of different soil indexes |
微塑料对土壤结构的影响并非单一因素作用的结果,而是粒径与含量协同效应的综合体现。大粒径(≥550 μm)与高含量(≥0.25%)处理通过形成复合团聚体(> 0.2 mm比例提升93%)、降低容重(Δ=0.27 g·cm–3)及增加孔隙度(Δ=15.6%),直接驱动土壤平均粒径(MWD最高3.70 mm)与热动力学特性的改变,并间接优化水分运移通道。这些物理性质的改变并非孤立存在,相关性分析进一步揭示了土壤物理参数之间存在着显著的相关性,它们相互影响、相互作用,共同构成了一个复杂的土壤物理系统。值得注意的是,微塑料污染存在显著阈值效应(粒径 > 550 μm、含量 > 0.25%),微塑料通过重构孔隙网络以及形成团聚体架桥结构,引发一系列潜在的生态风险。本研究为微塑料污染生态评估提供了关键参数体系,未来需结合多组学技术量化其对微生物功能与作物生理的级联效应,并建立基于孔隙分形模型的跨介质迁移预测框架。
| [1] |
Yan C R, Liu E K, Shu F, et al. Review of agricultural plastic mulching and its residual pollution and prevention measures in China (In Chinese)[J]. Journal of Agricultural Resources and Environment, 2014, 31(2): 95-102. [严昌荣, 刘恩科, 舒帆, 等. 我国地膜覆盖和残留污染特点与防控技术[J]. 农业资源与环境学报, 2014, 31(2): 95-102.]
( 0) |
| [2] |
Gao H H, Yan C R, Liu Q, et al. Effects of plastic mulching and plastic residue on agricultural production: A meta-analysis[J]. Science of the Total Environment, 2019, 651: 484-492. DOI:10.1016/j.scitotenv.2018.09.105
( 0) |
| [3] |
Li X Y, Leng X, Zhang J J, et al. Simulation and optimization of maize growth and nitrogen utilization under degradation film mulching in arid areas of North China (In Chinese)[J]. Transactions of the Chinese Society of Agricultural Engineering, 2020, 36(5): 113-121. [李仙岳, 冷旭, 张景俊, 等. 北方干旱区降解膜覆盖农田玉米生长和氮素利用模拟及优化[J]. 农业工程学报, 2020, 36(5): 113-121.]
( 0) |
| [4] |
Ministry of Agriculture and Rural Affairs of the People's Republic of China
. China agricultural statistical yearbook (In Chinese). Beijing: China Agriculture Press: 1982-2012. [中华人民共和国农业农村部
. 中国农业统计年鉴[M]. 北京: 中国农业出版社: 1982-2012.]
( 0) |
| [5] |
Chinese Society for Agricultural Plastic Application Technology
. New encyclopedia of plastic film covering cultivation techniques (In Chinese). Beijing: China Agriculture Press, 1998. [中国农用塑料应用技术学会
. 新编地膜覆盖栽培技术大全[M]. 北京: 中国农业出版社, 1998.]
( 0) |
| [6] |
Yang H D
. Plastic agricultural film and ecological environment protection (In Chinese). Beijing: Chemical Industry Press, 2000. [杨惠娣
. 塑料农膜与生态环境保护[M]. 北京: 化学工业出版社, 2000.]
( 0) |
| [7] |
Yan C R, Wang X J, He W Q, et al. The residue of plastic film in cotton fields in Shihezi, Xinjiang (In Chinese)[J]. Acta Ecologica Sinica, 2008, 28(7): 3470-3474. [严昌荣, 王序俭, 何文清, 等. 新疆石河子地区棉田土壤中地膜残留研究[J]. 生态学报, 2008, 28(7): 3470-3474.]
( 0) |
| [8] |
Li S T. Macro- and micro-plastic in soil after traditional and biodegradable film mulching[D]. Shenyang: Shenyang Agricultural University, 2022.[李诗彤. 传统和生物降解地膜在土壤中的(微)塑料残留[D]. 沈阳: 沈阳农业大学, 2022.]
( 0) |
| [9] |
Jannesarahmadi S, Aminzadeh M, Raga R, et al. Effects of microplastics on evaporation dynamics in porous media[J]. Chemosphere, 2023, 311: 137023. DOI:10.1016/j.chemosphere.2022.137023
( 0) |
| [10] |
Wang Z C, Li X Y, Shi H B, et al. Estimating the water characteristic curve for soil containing residual plastic film based on an improved pore-size distribution[J]. Geoderma, 2020, 370: 114341. DOI:10.1016/j.geoderma.2020.114341
( 0) |
| [11] |
Shafea L, Yap J, Beriot N, et al. Microplastics in agroecosystems: A review of effects on soil biota and key soil functions[J]. Journal of Plant Nutrition and Soil Science, 2023, 186(1): 5-22. DOI:10.1002/jpln.202200136
( 0) |
| [12] |
Lehmann A, Leifheit E F, Gerdawischke M, et al. Microplastics have shape- and polymer-dependent effects on soil aggregation and organic matter loss–An experimental and meta-analytical approach[J]. Microplastics and Nanoplastics, 2021, 1: 7. DOI:10.1186/s43591-021-00007-x
( 0) |
| [13] |
Qiu Y F, Zhou S L, Zhang C C, et al. Soil microplastic characteristics and the effects on soil properties and biota: A systematic review and meta-analysis[J]. Environmental Pollution, 2022, 313: 120183. DOI:10.1016/j.envpol.2022.120183
( 0) |
| [14] |
Zhang G X. Effects of plastic film residues on soil physicochemical properties and maize productivity in dryland[D]. Yangling, Shaanxi: Northwest A&F University, 2023.[张贵鑫. 地膜残留对旱地玉米农田土壤理化性状及产量形成的影响[D]. 陕西杨凌: 西北农林科技大学, 2023.]
( 0) |
| [15] |
Wang Z C, Ni J X, Zhang B W, et al. Simulation study to determine the influence of polyvinyl chloride microplastics on the soil water characteristic curve (In Chinese)[J]. Journal of Agro-Environment Science, 2022, 41(5): 983-989. [王志超, 倪嘉轩, 张博文, 等. 聚氯乙烯微塑料对土壤水分特征曲线的影响及模拟研究[J]. 农业环境科学学报, 2022, 41(5): 983-989.]
( 0) |
| [16] |
Zhang B W. Effects of microplastics on soil moisture transport and mechanism exploration[D]. Baotou, Inner Mongolia: Inner Mongolia University of Science & Technology, 2023.[张博文. 微塑料对土壤水分运移的影响及机理探究[D]. 内蒙古包头: 内蒙古科技大学, 2023.]
( 0) |
| [17] |
de Souza Machado A A, Lau C W, Kloas W, et al. Microplastics can change soil properties and affect plant performance[J]. Environmental Science & Technology, 2019, 53(10): 6044-6052.
( 0) |
| [18] |
Wang Z C, Li X Y, Shi H B, et al. Water characteristic curve model for soil with residual plastic film (In Chinese)[J]. Transactions of the Chinese Society of Agricultural Engineering, 2016, 32(14): 103-109. [王志超, 李仙岳, 史海滨, 等. 含残膜土壤水分特征曲线模型构建[J]. 农业工程学报, 2016, 32(14): 103-109.]
( 0) |
| [19] |
Wan Y, Wu C X, Xue Q, et al. Effects of plastic contamination on water evaporation and desiccation cracking in soil[J]. Science of the Total Environment, 2019, 654: 576-582. DOI:10.1016/j.scitotenv.2018.11.123
( 0) |
| [20] |
Wang Z C, Li W L, Li W P, et al. Effects of microplastics on the water characteristic curve of soils with different textures[J]. Chemosphere, 2023, 317: 137762. DOI:10.1016/j.chemosphere.2023.137762
( 0) |
| [21] |
de Souza Machado A A, Lau C W, Till J, et al. Impacts of microplastics on the soil biophysical environment[J]. Environmental Science & Technology, 2018, 52(17): 9656-9665.
( 0) |
| [22] |
Xing X G, Yu M, Xia T J, et al. Interactions between water flow and microplastics in silt loam and loamy sand[J]. Soil Science Society of America Journal, 2021, 85(6): 1956-1962. DOI:10.1002/saj2.20337
( 0) |
| [23] |
Guo Z Q, Li P, Yang X M, et al. Soil texture is an important factor determining how microplastics affect soil hydraulic characteristics[J]. Environment International, 2022, 165: 107293. DOI:10.1016/j.envint.2022.107293
( 0) |
2026, Vol. 63



0)