2. 内蒙古工业大学矿业学院, 呼和浩特 010051;
3. 西安理工大学水利水电学院, 西安 710048
2. School of Mining, Inner Mongolia University of Technology, Huhehaote 010051, China;
3. College of Water Resources and Hydropower Engineering, Xi'an University of Technology, Xi'an 710048, China
土壤盐碱化会对农业生产和生态环境造成诸多不利影响,例如降低土壤肥力,抑制植物生长,破坏土壤结构,影响生物多样性等。盐碱地主要分布在我国的北方和西北地区,尤其是在干旱、半干旱的区域,主要特征是碱性较强、含盐量较高。化学改良法是改善盐碱土的一种有效手段,化学改良通常使用化学改良剂来改变土壤的母质,主要基于离子交换原理,通过在土壤中进行酸碱中和反应等,使土壤中的离子与改良剂的离子进行置换。当土壤的理化特性达到理想状态后,进行淋洗消解。与物理改良和生物改良相比,化学改良措施由于改良剂的短时反应,具有见效快、配方灵活多变、材料选择余地大、针对性强等优点[1]。土壤盐渍化治理中化学改良剂的应用需兼顾生态效益与改良效能,生物质材料因其可持续性优势备受关注。
生物炭具有高孔隙率、大比表面积、高吸附能力、优异的阳离子交换能力和稳定性高等特性[2],在土壤改良、作物增产、环境保护等方面均发挥着积极的作用。生物炭对盐碱土影响主要在于增大土壤孔隙度、降低容重,促使土壤持水能力增加,加速盐分淋洗,生物炭自身携带的无机物成分(如K+、Ca2+、Mg2+)与盐碱土中的Na+发生置换作用,使得盐碱土中的Na+含量及其比例降低,而这种置换作用抑制了土壤胶体的分散,使得土壤结构发生变化[3]。有研究表明,施用生物炭能提高0~20 cm土层蓄水能力,减少水分的深层渗漏[4],降低土壤pH、提高土壤微生物群落功能多样性和酶活性[5]。生物炭与盐碱土间的pH差异也是影响土壤pH变化的关键因素,生物炭pH过高也会导致土壤pH增高[6],较低pH的生物炭也会使得土壤pH显著降低[7]。
生化黄腐酸是利用微生物发酵形成的,其提取液中含有多种营养成分对植物生长具有调节和营养作用[8]。生化黄腐酸对盐碱土的影响主要在于改善土壤结构、增加土壤渗透性,自身丰富的官能团具有较强的阴离子吸附能力可以提高土壤的阳离子交换容量,可有效减少土壤中可溶性Na+和K+[3],从而达到降低盐碱土中Na+浓度的目的。有研究表明,适量添加生化黄腐酸可增加土壤中水稳性团聚体数量[9],改善土壤水盐分布状况且显著改善土壤交换性盐基离子组成[10]。杨宇等[11]研究表明施用一定量的生化黄腐酸不仅对土壤具有较明显的改碱效果,而且可以明显改善盐碱土壤的结构和降低含盐量。目前,关于生物炭和生化黄腐酸的研究主要集中于改善土壤养分有效性和提升作物抗逆性方面,且大多只研究单一生物炭或生化黄腐酸施用,缺少二者联合对盐碱土土壤特性影响的相关研究。
本研究以内蒙古鄂尔多斯沿黄灌区打盐碱土为对象,通过一维垂直土柱入渗试验,探讨添加不同生物质材料对土壤入渗和盐分淋洗特征的影响,拟合入渗模型参数并分析其变化;同时研究土壤八大盐分离子分布特征,揭示添加生物质材料对盐碱土的改良作用效果,为盐碱土改良提供依据和方法支撑。
1 材料与方法 1.1 供试材料试验所用土壤取自内蒙古自治区鄂尔多斯沿黄灌区的0~20 cm表层土壤,土壤类型为黏粉壤土,土壤黏粒、粉粒、砂粒占比分别为45.34%、53.14%、1.52%。土壤容重1.45 g·cm–3,含盐量6.39 g·kg–1,pH8.72。通过土壤基础理化判断土壤属于硝酸盐-硫酸盐型盐碱土,土样风干研磨后过2 mm筛备用。供试生物炭pH为8.86;供试生化黄腐酸质量分数高于90%,pH为5.20。两种生物质材料及土壤初始可溶性离子浓度如表 1所示。
|
|
表 1 土壤及生物质材料初始可溶性离子浓度 Table 1 The initial ion concentration of soil and biomass materials (cmol·kg–1) |
试验于2023年4月至6月在西安理工大学旱区水工程生态环境全国重点实验室进行,设置4种处理:对照CK、添加8‰生物炭(B)、添加8‰生化黄腐酸(BF)、添加4‰生物炭+4‰生化黄腐酸的组合(BBF),每组处理重复3次。
入渗装置为有机玻璃材料制成的土柱,内径8 cm、高度50 cm。供水装置为马氏瓶,内径8 cm、厚度0.5 cm、高度50 cm。试验用水为超纯水。试验开始前,按照设定比例将处理好的土样与不同的生物质材料均匀混合,每个土柱装填45 cm高的土壤,并每5 cm进行分层装填(每层土壤与生物质材料完全混合,且按等体积装置)。每层土壤通过土锤压实至预定高度,并在层间刮毛。为避免入渗水流对土壤表面造成冲击破坏,装填完毕后在土壤表面覆盖滤纸,水头高度控制在2~3 cm左右。土壤入渗过程数据记录采取先密后疏的方法,入渗深度达到30 cm后停止入渗过程,在土柱0、5、10、15、20、25、30 cm处取样测定相关指标。
1.3 指标测定方法土壤容重通过环刀法测定,入渗结束后分层取样。土壤孔隙度由土壤容重计算,计算式为:
| $ {P}_{1}(\%)=(1-a\times b)\times 100 $ | (1) |
式中,
土壤含水率通过烘干法测定。每个土柱沿入渗深度每隔5 cm采集7个样品,称重后烘干至恒重,再计算含水率。土壤pH用PHSJ-5T型pH计测定,风干土样按1∶2.5土水比例浸提8h后测量。土壤含盐量用电导法测定,风干土样按1∶5土水比例浸提8 h后,用DDS-307型电导率仪测量,再转换为含盐量。采用原子吸收光谱法测定土壤中水溶性K+、Ca2+、Na+、Mg2+[12],采用滴定法测定SO42–、Cl–、HCO3–[13]。
1.4 入渗模型Kostiakov入渗模型:
| $ I = K{t^n} $ | (2) |
式中,I为累积入渗量,cm;K为经验系数,cm·min–1;t为入渗时间,min;n为经验指数。
Philip入渗模型:
| $ I = S{t^{0.5}} + At $ | (3) |
式(3)可简化为:
| $ I = S{t^{{\text{0}}{\text{.5}}}} $ | (4) |
式中,I为累积入渗量,cm;t为入渗时间,min;S为吸渗率,cm·min–0.5;A为稳定入渗率,cm·min–1。
1.5 数据处理试验数据取3次重复的平均值进行分析。数据处理、模型拟合、统计分析和制图分别使用Office 2021、Origin 2021和SPSS 25。采用LSD法进行显著性检验,显著性水平设为P<0.05。
2 结果 2.1 施加生物质材料对土壤容重和孔隙度的影响土壤容重和孔隙度是土壤物理性质的重要指标,不同生物质材料对土壤容重和孔隙度的影响如图 1所示。由图可知,加入不同生物质材料后土壤容重呈现CK>BF>BBF>B。与CK相比,B、BF、BBF处理容重分别减小1.69%、0.91%、1.39%,较CK显著降低(P<0.05),B、BF、BBF处理之间差异不显著(P>0.05)。加入不同生物质材料后土壤孔隙度呈现B>BBF>BF>CK。与CK相比,B、BF、BBF处理土壤孔隙度分别增大4.49%、0.71%、2.26%,其中B处理较CK、BF、BBF孔隙度增大差异显著(P<0.05),CK、BF、BBF处理之间差异不显著(P>0.05)。
|
注:CK、B、BF、BBF分别代表对照组、8‰生物炭、8‰生化黄腐酸、4‰生物炭+4‰生化黄腐酸;小写字母不同表示处理间差异显著(P<0.05);误差线为标准误差。下同。 Note: CK, B, BF, and BBF represent the control group, 8‰ biochar, 8‰ biochemical fulvic acid, and 4‰ biochar + 4‰ biochemical fulvic acid, respectively. Different lowercase letters indicate significant differences between treatments (P < 0.05), The error bars represent standard errors. The same below. 图 1 不同处理土壤容重(a)和孔隙度(b)变化特征 Fig. 1 Variation characteristics of soil bulk density (a) and porosity (b) under different treatments |
由图 2a可知,入渗前期生物炭和生化黄腐酸作用短时间内难以发挥,各处理间差异不明显,曲线重合度较高,随着湿润锋深度的增加各处理之间产生显著差异(P<0.05)。同一入渗时间下,B、BF、BBF的湿润锋深度与CK相比均明显减小,其中BF处理湿润锋深度最小。入渗历时600 min时,与CK相比,B、BF、BBF处理的累积水分入渗量分别减少6.90%、12.50%、7.48%,湿润锋运移深度分别减少9.40%、22.62%、16.31%;入渗历时3 600 min时,CK处理入渗结束,B、BF、BBF处理的累积入渗量与CK相比分别减少5.50%、15.40%、10.38%,湿润锋深度分别减少6.51%、19.82%、13.45%,四个处理差异显著(P<0.05)。可见生物炭和生化黄腐酸的施加均使得盐碱土累积入渗量减少,且湿润锋运移深度亦减小,其中生化黄腐酸作用效果更为明显。
|
图 2 不同处理土壤累积入渗量(a)和湿润锋深度(b)变化特征 Fig. 2 Variation characteristics of soil cumulative infiltration (a) and wetting front depth (b) under different treatments |
为进一步分析验证施用不同生物质材料土壤水分运移过程的变化特征,运用Kostiakov模型和Philip模型对土壤的入渗过程进行拟合,结果见表 2。各处理R2均大于0.97,说明两模型可以较好地模拟施用不同生物质材料条件下土壤的水分运移规律。
|
|
表 2 不同处理下土壤入渗模型参数变化特征 Table 2 Variation characteristics of soil infiltration model parameters under different treatments |
Kostiakov入渗模型经验系数K能反映土壤入渗能力,表示土壤入渗开始后第一个单位时间内单位面积上的平均入渗速率或第一个单位时段末单位面积上的累积入渗量[14],经验指数n反映土壤的入渗能力的衰减速度[15]。施加不同生物质材料条件下的经验系数均小于CK处理的经验系数,且各处理间差异显著(P<0.05),其中BF处理经验系数最小,由此可知经验系数越大入渗速率越大。经验系数的变化特征与累积入渗量和湿润锋深度变化特征相对应,因此生物炭和生化黄腐酸的加入均使得土壤入渗速率减小。
Philip模型吸渗率S表示土壤依靠毛管力的作用吸收或释放液体的能力[16],各处理吸渗率S表现为CK>B>BBF>BF,B、BF、BBF处理较CK分别降低12.78%、35.99%、29.12%。稳定入渗率A是指入渗达到相对稳定时的土壤水力传导度,表现为CK<B<BBF<BF,B、BF、BBF处理较CK分别增加25.09%、58.55%、48.73%,其中BF处理稳定入渗率最大,且各处理间差异显著(P<0.05)。可能是由于生物炭和生化黄腐酸加入土壤后改变了土壤水稳性团聚体结构,而水稳定性团聚体稳定性与土壤稳渗率呈正相关关系[17]。
2.3 施加生物质材料对土壤水盐运移及pH的影响施加不同生物质材料条件下,土柱不同深度土壤体积含水率如图 3a所示。由图可知,随着土层深度的增加,土壤体积含水率呈现减小趋势。0~15 cm内B、BF、BBF土壤平均体积含水率与CK相比分别增加7.38%、17.21%、12.30%,各处理之间差异显著(P<0.05)。土层持水效率是指一定深度内土壤体积含水率相对于对照组的增加百分比[10],表 3为不同生物质材料施加量下不同土层深度的土壤持水效率,由表可知同一入渗深度下土壤持水效率表现出BF>BBF>B的变化规律,其中同一入渗深度下BF处理土壤持水效率最大。
|
图 3 不同处理下土壤体积含水率(a)、含盐量(b)及pH(c)变化特征 Fig. 3 Variation characteristics of soil volumetric water content (a), soil salt content (b), and pH (c) under different treatments |
|
|
表 3 不同处理不同土层深度的土壤持水效率变化特征 Table 3 Variation characteristics of soil water retention efficiency under different treatments and at different soil depths |
图 3b为入渗结束后施加不同生物质材料对不同深度土壤含盐量的影响。由图可知,土壤在入渗过程中盐分会随水分向下迁移,并在土壤下层累积。在0~15 cm之间,各处理随入渗深度增加土壤含盐量逐渐增大,但差异不显著(P>0.05),15 cm处B、BF、BBF处理土壤含盐量较CK分别增大3.27%、12.88%、6.54%;20~30 cm之间,各处理随入渗深度增加土壤含盐量逐渐增大,且差异显著(P<0.05),30 cm处B、BF、BBF处理土壤含盐量较CK分别增大18.08%、57.19%、34.56%,其中BF处理对土壤含盐量影响效果最显著。
将B、BF、BBF处理与CK处理土壤含盐量的差值除以CK处理土壤含盐量后,所得比值若为正,称之为相对积盐率;比值若为负,称之为相对脱盐率。表 4是不同生物质材料添加量下0~15 cm的土壤相对脱盐率,由表可知,0~15 cm之间盐分均有向下层淋洗,但是相比于CK处理,B、BF、BBF处理0~15 cm平均土壤脱盐率降低11.64%、31.27%、21.74%,其中BF处理土壤脱盐率较CK降低最显著(P<0.05),在15 cm处土壤脱盐率降低最显著(P<0.05),为56.30%。
|
|
表 4 不同处理0~15 cm的土壤相对脱盐率变化特征 Table 4 Variation characteristics of soil relative desalination rate changes in 0~15 cm soil under different treatments |
由图 3c可知,施加不同生物质材料后土壤pH均低于土壤初始pH,在入渗深度0~15 cm之间,B、BF、BBF处理土壤pH随着入渗深度的增加而增加,在15 cm处出现拐点;而CK处理土壤pH随着入渗深度的增加而增加,在20 cm处出现拐点。与CK相比,B、BF、BBF处理0~15 cm土壤平均pH分别增大2.51%、1.53%、2.02%;而20~30 cm土壤平均pH分别减小0.95%、1.99%、1.71%。
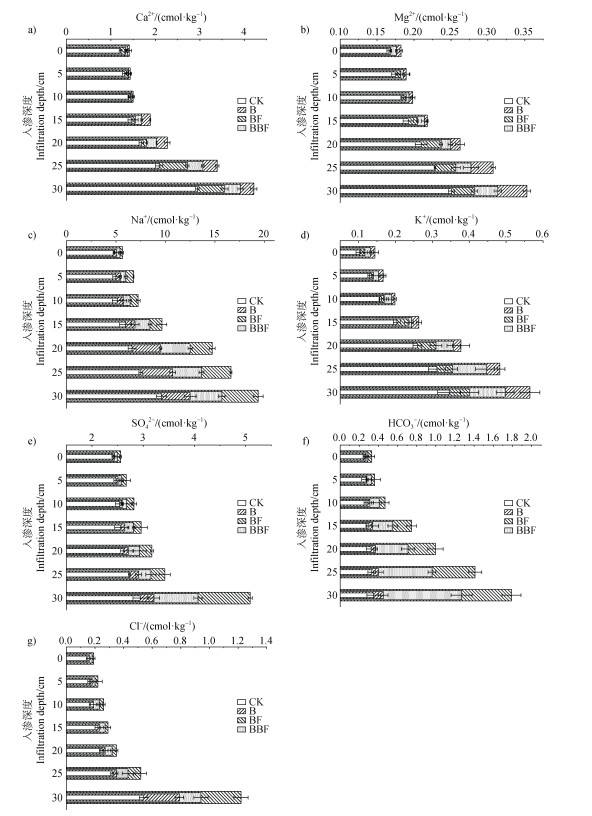
2.4 施加生物质材料对土壤盐分离子的影响水溶性阳离子是影响土壤pH的重要因子,水溶性K+、Ca2+、Na+、Mg2+等盐基离子对于缓冲土壤pH与维持土壤肥力非常重要[18],也是评价土壤质量的重要指标,SO42–、Cl–、HCO3–是盐碱地产生碱胁迫的主要离子[19]。不同生物质材料施量下土壤盐分离子浓度变化特征见图 4,由图可知,施加生物炭和生化黄腐酸后,由于其自身均含有K+、Ca2+、Na+、Mg2+,提高了土壤的盐分阳离子浓度,尤其是水溶性Na+。土壤盐分阳离子浓度随着入渗深度的增加而增大,与CK相比,15 cm处B、BF、BBF处理K+浓度分别增加29.37%、6.44%、16.15%,Ca2+浓度分别增加29.18%、15.11%、19.42%,Na+浓度分别增加15.90%、61.14%、41.15%,Mg2+浓度分别增加13.48%、6.40%、11.45%;30 cm处B、BF、BBF处理K+浓度分别增加43.05%、20.72%、32.93%,Ca2+浓度分别增加63.33%、15.86%、44.05%,Na+浓度分别增加30.21%、101.90%、63.73%,Mg2+浓度分别增加40.77%、12.41%、24.97%,各处理间差异性显著(P<0.05)。土壤阴离子浓度随着入渗深度增加而增大,在入渗深度为30 cm时,与CK相比,B、BF、BBF处理SO42–浓度分别增加9.18%、73.13%、38.44%,Cl–浓度分别增加了46.30%、125.9%、74.07%,HCO3–浓度分别增加28.57%、411.43%、262.86%,各处理之间差异显著(P<0.05),土壤中未检测出CO32–。
|
图 4 不同处理不同深度土壤盐分离子浓度变化特征 Fig. 4 Variation characteristics of soil salt ion concentration at different depths under different treatments |
施加不同生物质材料下土壤不同指标间Pearson相关分析见图 5。土壤含盐量与七种盐分离子呈极显著正相关关系(P<0.001),说明在盐碱土中,盐分阳离子和阴离子的浓度直接影响整体土壤的盐分含量,导致土壤盐渍化加剧。尤其与Cl–的相关系数最高,这与Li等[20]的研究结果一致,由此可见在改良盐碱土中,控制土壤主要盐分离子浓度在相应阈值以下,对于减轻其对土壤结构和植物生长的不利影响至关重要。土壤含盐量与含水率呈极显著负相关关系(P<0.001),说明水分能够溶解和携带盐分向下层土壤迁移,从而减少表层土壤的盐分含量[21],而含水率与七种盐分离子浓度呈负相关关系(P<0.05),与pH呈显著负相关关系(P<0.01),这也说明盐分离子能够随水向下迁移,导致下层土壤中盐分离子浓度增大,当土壤含水率增加时,水分降低土壤中的碱性离子浓度(如Na+和HCO[22]),从而降低土壤的pH[22]。土壤各盐分离子之间均呈显著正相关关系(P<0.01),这可能与土壤结构和离子交换过程有关,在高盐分环境中,Na+往往会占据土壤颗粒表面的交换位点,导致其他阳离子如K+、Ca2+、Mg2+等也被吸附或释放出来,形成一种动态平衡[23]。
|
注:SSC为土壤含盐量,VWC为土壤体积含水率,*、**、***分别表示0.05、0.01、0.001水平显著相关。 Note: SSC, Soil salt content. VWC, Volumetric water content. *, **, and *** indicate significant correlations at 0.05, 0.01, and 0.001 level. 图 5 不同生物质材料下土壤各指标间相关性 Fig. 5 Correlation analysis of soil indicators under different biomass materials |
施加生物炭和生化黄腐酸均能使得盐碱土土壤容重减小、孔隙度增大,其中生物炭较生化黄腐酸作用效果更加明显。这可能是由于生物炭的结构疏松多孔,自身容重小于土壤容重[24];而生化黄腐酸作为一种有机物质,可以改善土壤结构,增加土壤团聚体的稳定性、土壤的孔隙度和通气性,减小土壤的密实度,从而降低土壤的容重。研究表明[25-26],生物炭可使盐碱土容重降低9%~25.62%,孔隙度显著提升,而黄腐酸能增加沙壤盐碱土中大团聚体含量以扩大孔隙。邓旭[27]和郭亚茹[28]通过土柱入渗和土培试验验证了二者的改良效果,孙运朋等[29]通过大田试验研究表明适量的生物炭(30 t·hm–2)和少量的黄腐酸(1.5 t·hm–2)配施同样能减小重度砂壤盐碱土容重,这与本研究结果一致。综上所述,8‰生物炭、8‰生化黄腐酸以及4‰生物炭与4‰生化黄腐酸混合均可使得盐碱土容重减小、孔隙度增大,其中8‰生物炭对于盐碱土容重和孔隙度改善效果最佳。
生物炭的加入可以有效减缓土壤入渗速率,并且使得同一入渗深度下土壤累积入渗量明显增大。可能是因为生物炭在制备过程中极易形成微孔结构,使生物炭具有一定的极性,拥有良好的亲水性,从而增强生物炭对土壤水分的吸持能力[30],导致入渗速率减慢且同一入渗深度下累积入渗量增大。王娟等[31]通过土柱入渗试验研究表明向砂质壤土中施用生物炭可以增加土壤入渗时间,且生物炭施量与入渗时间呈正相关关系。相比于生物炭,生化黄腐酸对于减缓土壤入渗速率效果更加明显,可能由于生化黄腐酸的加入带来一部分可溶性溶质增加了土壤黏性,并且水的黏滞性也增加,从而使得毛管吸力对水的吸渗作用减小,导致水分在入渗过程中速率减缓。此外,生化黄腐酸具有较少的长链烃基、苯环等疏水基以及丰富的吸水基团,能够降低水的表面张力的作用[32],增强土壤保水能力。孙燕等[33]通过土柱入渗试验研究同样表明向土壤中施加生化黄腐酸可减小同一入渗时间下的累积水分入渗量和湿润锋运移深度,从而减缓了土壤水分入渗速率。土壤入渗速率减缓,上层土壤含水量增大有利于植物根系吸收利用更多水分,促进作物生长,对改良盐碱地具有重要意义。
生物炭和生化黄腐酸的施加使得上层土壤保水性增强,减缓了水分入渗增大了上层土壤的体积含水量和持水效率。张慧琦等[34]通过研究表明2%以上的生物炭施用量均可增加土壤的饱和含水量。孙燕等[35]通过向轻度盐碱土中施加不同用量的生化黄腐酸同样发现土壤剖面平均体积含水率与CK相比均有所增加,这也与本研究结果一致。B处理使0~15 cm土层pH较CK升高,可能源于生物炭携带的盐离子降低了交换性H+和Al3+含量。BF处理黄腐酸溶解CaCO3释放HCO3–导致pH升高,但其弱酸性特性(pH=5.20)使表层pH增幅低于B处理。在20~30 cm土层,B、BF、BBF处理pH均较CK降低,推测入渗过渡期黄腐酸酸性(5.20)与生物炭碱性(8.23)相互作用导致pH下降,其中BF处理降幅最大(P<0.05)。整个入渗过程中BF处理的土壤pH始终低于B和BBF处理,且较初始值降幅最显著,表明黄腐酸对盐碱土pH改良更具优势。综上所述,生物炭和生化黄腐酸自身携带的盐分会使得上层土壤盐分淋洗效率降低,因此在选择生物炭和生化黄腐酸改良盐碱地时应充分考虑作物根系层长度。
下层土壤阳离子浓度增大主要原因可能是由于生化黄腐酸中含有大量的Na+[33],使得BF处理土壤Na+浓度相比于B处理显著增大(P<0.05),并且Na+会使得土壤上层的部分K+、Ca2+、Mg2+置换出来随水分向下迁移。生物炭中本身同样含有K+、Ca2+、Na+、Mg2+等,因此生物炭的施加必然会使得土壤中的K+、Ca2+、Na+、Mg2+浓度增大,从而导致离子随水分向下迁移,使得土壤下层离子浓度增大。生物炭和生化黄腐酸本身在生产过程中可能会含有SO42–、Cl–、HCO3–等盐分阴离子[36-37],因此两种生物质材料的施加均会使得土壤中的离子浓度增加,尤其是Cl–受土壤的吸附作用小,很容易随水流失[38],从而使得离子随水分向下运移,下层土壤盐分阴离子浓度增大。此外,生化黄腐酸中本身含有的HCO3–一部分会水解释放OH–,生化黄腐酸中的羧基、酚羟基等功能性基团能够与HCO3–形成稳定的络合物会参与离子交换,从而减少HCO3–的流失,而另一部分HCO3–留在土壤中,导致BF和BBF处理的HCO3–浓度显著高于B处理(P<0.05),这也是加入生化黄腐酸后上层土壤pH增大的原因。综上所述,在选择生物炭和生化黄腐酸时改良盐碱地时,要充分考虑其自身携带的盐分离子,做到“因地制宜”。
4 结论生物炭的施加减小盐碱土土壤容重、增大土壤孔隙度效果优于生化黄腐酸;生化黄腐酸的施加提高盐碱土耕作层保水性、减小上层土壤pH效果优于生物炭,但生化黄腐酸中大量盐分离子会导致土壤盐分增加,长期施用会加剧土壤的次生盐渍化。整体而言,生物炭和生化黄腐酸的施加均使得土壤pH和含盐量高于CK处理,因此在盐碱地治理过程中对于生物质材料的选取至关重要,在选择生物质材料时应充分考虑材料的理化特性。建议选取Na+含量较低的生物质材料,或者在使用此类生物质材料改良盐碱土前先进行除盐处理,以对盐碱土降盐降碱效果起到积极作用。
| [1] |
Li D D, Shen H, Tian J C, et al. Review of saline-alkali land improvement (In Chinese)[J]. Modern Agricultural Science and Technology, 2023(24): 153-159. [李丹丹, 沈晖, 田军仓, 等. 盐碱地改良综述[J]. 现代农业科技, 2023(24): 153-159.]
( 0) |
| [2] |
Awasthi M K. Engineered biochar: A multifunctional material for energy and environment[J]. Environmental Pollution, 2022, 298: 118831. DOI:10.1016/j.envpol.2022.118831
( 0) |
| [3] |
Yang C. Research progress of biochar in environmental protection (In Chinese)[J]. Energy Conservation & Environmental Protection, 2023(12): 32-36. [杨晨. 生物炭在环境保护中的研究进展[J]. 节能与环保, 2023(12): 32-36.]
( 0) |
| [4] |
Wang S B, Gao P L, Xiang L K, et al. Amending saline-alkali soils with biochar or fluvial sand to improve bioavailable nitrogen and yield of summer maize (In Chinese)[J]. Journal of Irrigation and Drainage, 2021, 40(9): 17-23. [王世斌, 高佩玲, 相龙康, 等. 生物炭、河沙对盐碱土水盐、氮素及玉米产量的影响[J]. 灌溉排水学报, 2021, 40(9): 17-23.]
( 0) |
| [5] |
Ye X D, Zhou X. Effects of biochar on soil microbial activity and growth of Platycodon grandiflorus in saline-alkali soil (In Chinese)[J]. Molecular Plant Breeding, 2023, 21(13): 4495-4501. [叶小东, 周欣. 生物炭对盐碱地土壤微生物活性和桔梗生长的影响[J]. 分子植物育种, 2023, 21(13): 4495-4501.]
( 0) |
| [6] |
Liu S N, Meng J, Jiang L L, et al. Rice husk biochar impacts soil phosphorous availability, phosphatase activities and bacterial community characteristics in three different soil types[J]. Applied Soil Ecology, 2017, 116: 12-22. DOI:10.1016/j.apsoil.2017.03.020
( 0) |
| [7] |
Sun H J, Lu H Y, Chu L, et al. Biochar applied with appropriate rates can reduce N leaching, keep N retention and not increase NH3 volatilization in a coastal saline soil[J]. Science of the Total Environment, 2017, 575: 820-825. DOI:10.1016/j.scitotenv.2016.09.137
( 0) |
| [8] |
Yang X L, Zhu J T, Zhang J W. Study on extraction of BcFA and its physical and chemical characters (In Chinese)[J]. Journal of Jilin Agricultural University, 2003, 25(1): 18—20, 23. [杨晓玲, 朱京涛, 张建文. 生化黄腐酸的提取及其理化性质的研究[J]. 吉林农业大学学报, 2003, 25(1): 18—20, 23.]
( 0) |
| [9] |
Wu J H, Li Y C, Shao F F, et al. Effects of biochemical fulvic acid on physical properties and water movement characteristics (In Chinese)[J]. Journal of Soil and Water Conservation, 2021, 35(4): 159—164, 171. [吴军虎, 李玉晨, 邵凡凡, 等. 生化黄腐酸对土壤物理性质及水分运动特性的影响[J]. 水土保持学报, 2021, 35(4): 159—164, 171.]
( 0) |
| [10] |
Sun Y, Wang C H, Wang Q J, et al. Effects of biochemical fulvic acid application on water and salt transport characteristics and basic ion composition of saline-alkaline soil (In Chinese)[J]. Journal of Soil and Water Conservation, 2022, 36(4): 228-235. [孙燕, 王春宏, 王全九, 等. 生化黄腐酸对盐碱土水盐运移特征及盐基离子组成的影响[J]. 水土保持学报, 2022, 36(4): 228-235.]
( 0) |
| [11] |
Yang Y, Jin Q, Lu G Z, et al. Effect of biochemical fulvic acid soil modifier on physical and chemical property of saline soil in garden (In Chinese)[J]. Northern Horticulture, 2010(5): 45-46. [杨宇, 金强, 卢国政, 等. 生化黄腐酸土壤改良剂对菜田盐碱土壤理化性质的影响[J]. 北方园艺, 2010(5): 45-46.]
( 0) |
| [12] |
Lü L L. Determination of water-soluble potassium, calcium, sodium and magnesium in soil by atomic absorption spectrometry (In Chinese)[J]. Xinjiang Nonferrous Metals, 2020, 43(1): 60-61. [吕丽丽. 原子吸收法测定土壤中的水溶性钾钙钠镁[J]. 新疆有色金属, 2020, 43(1): 60-61.]
( 0) |
| [13] |
Wang X T, Li M X, Liu S Y. Soil agrochemical analysis method (In Chinese). Shijiazhuang: Hebei People's Publishing House, 1980. [王希通, 李梦醒, 刘淑英. 土壤农化分析方法[M]. 石家庄: 河北人民出版社, 1980.]
( 0) |
| [14] |
Li Z, Wu P T, Feng H, et al. Simulated experiment on effect of soil bulk density on soil infiltration capacity (In Chinese)[J]. Transactions of the Chinese Society of Agricultural Engineering, 2009, 25(6): 40-45. [李卓, 吴普特, 冯浩, 等. 容重对土壤水分入渗能力影响模拟试验[J]. 农业工程学报, 2009, 25(6): 40-45.]
( 0) |
| [15] |
Shi W J, Liang J P, Tao W H, et al. γ-PGA additive decreasing soil water infiltration and improving water holding capacity (In Chinese)[J]. Transactions of the Chinese Society of Agricultural Engineering, 2015, 31(23): 94-100. [史文娟, 梁嘉平, 陶汪海, 等. 添加γ-聚谷氨酸减少土壤水分深层渗漏提高持水能力[J]. 农业工程学报, 2015, 31(23): 94-100.]
( 0) |
| [16] |
Fu Q P, Wang Q J, Fan J. Comparison among permeability methods of disc infiltrometer (In Chinese)[J]. Transactions of the Chinese Society for Agricultural Machinery, 2009, 40(9): 56-62. [付秋萍, 王全九, 樊军. 盘式吸渗仪吸渗率计算方法比较[J]. 农业机械学报, 2009, 40(9): 56-62.]
( 0) |
| [17] |
Guo C H. Study of soil steady infiltration ratio between Fenhe south inner ring bridge and south intermediate ring bridge (In Chinese)[J]. Journal of Taiyuan University of Technology, 2008, 39(2): 171-173. [郭彩华. 汾河南内环桥—南中环桥河道土壤稳定入渗率变化规律的试验研究[J]. 太原理工大学学报, 2008, 39(2): 171-173.]
( 0) |
| [18] |
Liu H J, Lin H L, Li H Y, et al. Effects of potassium phosphate on acidified tea garden soil pH and its approach of exchangeable cations (In Chinese)[J]. Southwest China Journal of Agricultural Sciences, 2023, 36(1): 118-127. [刘海娟, 林慧凌, 李昊宇, 等. 磷酸钾影响酸化茶园土壤pH及其交换性阳离子路径研究[J]. 西南农业学报, 2023, 36(1): 118-127.]
( 0) |
| [19] |
Yang S C, Pang H C, Wang C B, et al. Characterization of soil salinization based on canonical correspondence analysis method in Gansu Yellow River irrigation district of northwest China (In Chinese)[J]. Scientia Agricultura Sinica, 2014, 47(1): 100-110. [杨思存, 逄焕成, 王成宝, 等. 基于典范对应分析的甘肃引黄灌区土壤盐渍化特征研究[J]. 中国农业科学, 2014, 47(1): 100-110.]
( 0) |
| [20] |
Li S, Lu L, Gao Y, et al. An analysis on the characteristics and influence factors of soil salinity in the wasteland of the Kashgar River Basin[J]. Sustainability, 2022, 14(6): 3500. DOI:10.3390/su14063500
( 0) |
| [21] |
Chen X, Liu L, Yang Q Y, et al. Optimizing biochar application rates to improve soil properties and crop growth in saline–alkali soil[J]. Sustainability, 2024, 16(6): 2523. DOI:10.3390/su16062523
( 0) |
| [22] |
Xie W P, Yang J S, Gao S, et al. The effect and influence mechanism of soil salinity on phosphorus availability in coastal salt-affected soils[J]. Water, 2022, 14(18): 2804. DOI:10.3390/w14182804
( 0) |
| [23] |
Huang Y F, Zhang Z J. Ion exchange selectivity (Mg2+, Ca2+ and K+) in hydrated Na-montmorillonite: Insights from molecular dynamic simulations[J]. Molecular Simulation, 2023, 49(2): 223-232. DOI:10.1080/08927022.2022.2152062
( 0) |
| [24] |
Xu D Q. Preparation biochar of corn stover and structural characteristics analysis (In Chinese)[J]. Guihaia, 2018, 38(9): 1125-1135. [许冬倩. 玉米秸秆生物炭制备及结构特性分析[J]. 广西植物, 2018, 38(9): 1125-1135.]
( 0) |
| [25] |
Han G M. Effect of biochar on soil physicochemical property and microbial diversity in different soil types[D]. Shenyang: Shenyang Agricultural University, 2013.[韩光明. 生物炭对不同类型土壤理化性质和微生物多样性的影响[D]. 沈阳: 沈阳农业大学, 2013.]
( 0) |
| [26] |
Oguntunde P G, Abiodun B J, Ajayi A E, et al. Effects of charcoal production on soil physical properties in Ghana[J]. Journal of Plant Nutrition and Soil Science, 2008, 171(4): 591-596. DOI:10.1002/jpln.200625185
( 0) |
| [27] |
Deng X. Effects of biochar on soil structure and microbial characteristics of soda-saline-alkali soil[D]. Yanji, Jilin: Yanbian University, 2022.[邓旭. 生物炭对苏打盐碱土土壤结构及微生物特性的影响[D]. 吉林延吉: 延边大学, 2022.]
( 0) |
| [28] |
Guo Y R. Study on the improvement mechanism of fulvic acid application rate on saline-alkali soil[D]. Shihezi, Xinjiang: Shihezi University, 2023.[郭亚茹. 黄腐酸施用量对盐碱土壤改良机制研究[D]. 新疆石河子: 石河子大学, 2023.]
( 0) |
| [29] |
Sun Y P, Yang J S, Yao R J, et al. Effects of biochar and fulvic acid application on soil properties in tidal flat reclamation region (In Chinese)[J]. Journal of Agricultural Science and Technology, 2019, 21(8): 115-121. [孙运朋, 杨劲松, 姚荣江, 等. 生物炭和黄腐酸对滨海滩涂盐碱地土壤性质的提升[J]. 中国农业科技导报, 2019, 21(8): 115-121.]
( 0) |
| [30] |
Li S L, Wang X, Wang S, et al. Effects of application patterns and amount of biochar on water infiltration and evaporation (In Chinese)[J]. Transactions of the Chinese Society of Agricultural Engineering, 2016, 32(14): 135-144. [李帅霖, 王霞, 王朔, 等. 生物炭施用方式及用量对土壤水分入渗与蒸发的影响[J]. 农业工程学报, 2016, 32(14): 135-144.]
( 0) |
| [31] |
Wang J, Chen A Q, Song W J, et al. Effect of biochar species and application amounts on soil water infiltration of newly reclaimed area (In Chinese)[J]. Transactions of the Chinese Society for Agricultural Machinery, 2022, 53(11): 388-394. [王娟, 陈安全, 宋文瑾, 等. 生物炭种类与施量对新复垦区土壤水分入渗过程的影响[J]. 农业机械学报, 2022, 53(11): 388-394.]
( 0) |
| [32] |
Tian Y L, Liu Y S, Zhang H B. Discussion of saline-alkali soil improvement technology and humic acid applied technology (In Chinese)[J]. Humic Acid, 2018(3): 42-46. [田一良, 刘艳升, 张海兵. 盐碱地改良与腐植酸应用技术探讨[J]. 腐植酸, 2018(3): 42-46.]
( 0) |
| [33] |
Sun Y, Wu J X, Qu Z, et al. Effects of biochemical fulvic acid on the water-salt transport characteristics of soda saline-alkali soil with different textures (In Chinese)[J]. Transactions of the Chinese Society of Agricultural Engineering, 2023, 39(22): 74-84. [孙燕, 吴建鑫, 曲植, 等. 生化黄腐酸对不同质地苏打盐碱土水盐运移特征的影响[J]. 农业工程学报, 2023, 39(22): 74-84.]
( 0) |
| [34] |
Zhang H Q, Li Z Z, Qin Y. Effects of corn straw-based biochar amount on pores and water holding capacity of sandy soil (In Chinese)[J]. Ecology and Environmental Sciences, 2022, 31(6): 1272-1277. [张慧琦, 李子忠, 秦艳. 玉米秸秆生物炭用量对砂土孔隙和持水性的影响[J]. 生态环境学报, 2022, 31(6): 1272-1277.]
( 0) |
| [35] |
Sun Y, Wang J, Wang Q J, et al. Effect of biochemical fulvic acid on water and salt transport characteristics in saline-alkali soil (In Chinese)[J]. Transactions of the Chinese Society for Agricultural Machinery, 2022, 53(1): 302-310. [孙燕, 王建, 王全九, 等. 生化黄腐酸对盐碱土水盐运移特征的影响[J]. 农业机械学报, 2022, 53(1): 302-310.]
( 0) |
| [36] |
Liu X, Dou S, Zheng S. Effects of corn straw and biochar returning to fields every other year on the structure of soil humic acid[J]. Sustainability, 2022, 14(23): 15946. DOI:10.3390/su142315946
( 0) |
| [37] |
Ming L, Dou S, Wang H, et al. Study of the humification process and humic acid-like structure characteristics of kitchen waste with the addition of biochar[J]. Agronomy, 2023, 13(2): 465. DOI:10.3390/agronomy13020465
( 0) |
| [38] |
Ji Y Q. Study on the movement and distribution of anions in greenhouse soil under different irrigations[D]. Taian, Shandong: Shandong Agricultural University, 2007.[纪艳青. 不同灌水方式下设施土壤无机阴离子的运移分布规律研究[D]. 山东泰安: 山东农业大学, 2007.]
( 0) |
2026, Vol. 63


0)