2. 西北农林科技大学资源环境学院, 陕西杨凌 712100;
3. 中国科学院水利部水土保持研究所, 陕西杨凌 712100
2. College of Resources and Environment, Northwest A&F University, Yangling, Shaanxi 712100, China;
3. Institute of Soil and Water Conservation, CAS & MWR, Yangling, Shaanxi 712100, China
塿土作为黄土高原地区重要的农业土壤,在区域粮食生产和生态安全中扮演着重要角色。然而,受自然因素(如风蚀、水蚀)和人类活动(如过度耕作、施肥不当)的双重影响,该区域土壤结构退化问题日益凸显,表现出土壤有机碳含量低、养分贫瘠、孔隙结构差等特征,进而造成土壤结构力学稳定性降低[1-3]。土壤结构力学稳定性作为评价土壤健康的核心指标之一,严重影响着土壤的耕作性能、水分保持、养分循环以及作物生长[4]。稳定的土壤结构能够抵抗外力作用,维持良好的孔隙结构和通气透水性,为作物根系生长和微生物活动提供适宜的环境[5]。因此,探究提升土壤结构力学稳定性的有效途径,对于改善土壤质量和提高农业生产具有重要意义。
生物质炭作为一种新型土壤改良剂,因其独特的物理化学性质和环境友好特性,在提升土壤结构力学稳定性方面展现出显著潜力。魏永霞等[6]研究表明,生物质炭具有比表面积大和表面电荷丰富的特征,连续施加适量的生物质炭(50 t·hm-2)可增强土壤颗粒间的黏结力,提升土壤的抗剪强度。吴媛媛等[7]研究表明,生物质炭的施入通过改变土壤颗粒组成和土壤黏结性,进而降低土壤的可蚀性。此外,生物质炭通过吸附有机分子和微生物代谢产物,可为土壤颗粒提供“胶结物质”,并通过促进微生物活性和有机碳积累,进一步改善土壤结构的力学稳定性[8]。因此,生物质炭在提升土壤结构力学稳定性方面具有广阔的应用前景。
目前,在土壤结构力学稳定性的研究中,主要利用固结仪、三轴仪和直剪仪等仪器定量表征土壤压缩-回弹特性和抗剪强度,但这些方法具有一定的局限性,例如,三轴仪主要测定土体在特定条件下的短期强度和瞬时变形,难以全面反映土壤在外力作用下的动态变化过程[9]。近年来,流变学逐渐应用于土壤学领域,其可通过测定储能模量、损耗模量和剪切应变等参数,动态地反映土壤的抗剪强度和黏弹性,从而评估土壤在外力作用下的变形和恢复能力[10]。因此,采用流变学方法研究土壤结构力学稳定性,不仅可以弥补传统方法的不足,还可以为深入理解土壤力学行为提供新的视角和数据支撑。
因此,本研究假设:生物质炭的添加通过改善土壤理化性质,进而提高土壤结构力学稳定性。基于此,本研究以黄土高原地区典型农业土壤(塿土)为研究对象,通过田间定位试验与流变学试验相结合的方式,以不同生物质炭添加量(0%、1%、3%、5%、10%)的土壤为研究对象,测定各处理土壤的基本理化性质,并采用振幅扫描模式测定土壤在不同含水率(30%、37.5%、45%、60%)条件下的抗剪强度及黏弹性参数。研究结果将揭示生物质炭提升土壤结构力学稳定性的内在机制,从而为区域土壤结构改良与保护提供理论支撑,为生物质炭在农业中的推广应用提供科学依据。
1 材料与方法 1.1 供试材料小麦秸秆生物质炭购自郑州金邦环保科技有限公司,该材料是在限氧条件下经过高温(500 ℃)热裂解所得。小麦秸秆生物质炭的理化性质如表 1所示。
|
|
表 1 小麦秸秆生物质炭的理化性质 Table 1 The physicochemical properties of wheat straw biochar |
研究区位于陕西省杨陵区西北农林科技大学试验田(34°27′N,108°08′E),年均日照2196 h,年均气温11~13 ℃,年降雨量500~700 mm。土壤类型为塿土,依据联合国粮农组织(FAO)土壤分类体系,该土壤属于旱耕人为土。
田间试验布设于2020年12月,按照生物质炭与土壤质量比为0%、1%、3%、5%、10%的比例将生物质炭与表层土壤(0~20 cm)充分混匀,分别标记为CK、B1、B3、B5、B10,试验小区采用完全随机区组设计,每种处理重复3次,共15个样地,每个样地的面积为2.25 m2(1.5 m×1.5 m)。
1.3 土壤样品的采集与测定两年后采集土壤样品。在每个小区按照五点法采集表层样品(0~20 cm),并将相同处理的土壤样品均匀混合,共计5个土壤样品(CK、B1、B3、B5、B10)。土壤样品风干后,去除杂质(植物根、石头和碎屑),研磨后过2 mm筛后装袋备用。
土壤样品基本理化性质采用常规土壤分析方法测定[11]。土壤pH采用电极法测定,土水比为1:2.5;有机碳采用K2Cr2O7加热法测定;碳酸钙采用气量法测定;表面电荷数量和比表面积采用联合测定法测定[12]。每组试验重复3次。
1.4 振幅扫描原理振幅扫描测试通过施加正弦波规律的应变,测量样品的应力响应,以评估材料的黏弹性(图 1)。在测试过程中,样品反馈的正弦波应力曲线与输入应变曲线之间存在相位角(δ)。理想流体的δ为90°,理想固体的δ为0°,而具有黏弹性的样品的δ为0°~90°[13]。
|
注:γA:剪切应变的振幅;τA:剪切应力的振幅。 Note: γA: the amplitude of shear strain; τA: the amplitude of shear stress. 图 1 剪切应变和剪切应力随时间的变化示意图[13] Fig. 1 Schematic diagram of changes in shear strain and shear stress over time |
振幅扫描中,储能模量(G',Pa)(式(1))表示样品的弹性分量,即可暂时储存的能量,撤除外部应力后可以完全恢复变形。损耗模量(G",Pa)(式(2))表示样品的黏性分量,即由摩擦、热量等形式损耗的能量,这部分能量不可恢复。
| $ {G^{'}} = \frac{\tau }{\gamma } \times \cos \delta $ | (1) |
| $ {G^{''}} = \frac{\tau }{\gamma } \times \sin \delta $ | (2) |
通过绘制G'、G"随剪切应变变化的曲线(图 2),可以确定材料的线性黏弹区(Linear Viscoelastic Range,LVR)(G'偏差小于5%)。在LVR范围内,样品内部结构变形完全可逆。线性黏弹区的剪切应变(γLVR,%)和剪切应力(τLVR,Pa)分别表示样品在小应变下的弹性和强度特性。而当应变超过LVR范围后,样品的内部结构会发生不可逆破坏,表现为G'和G"减小。损耗因子(tan δ)是G"和G'的比值,用于衡量样品变形中能量损失的比例,表征弹性与黏性行为的平衡关系:当G' > G"(tan δ < 1)时,样品以弹性行为为主;当G'=G"(tan δ=1)时,弹性和黏性分量相等,此时样品结构完全被破坏并开始流动,这一关键点称为屈服点(Yield Point,YP);当G' < G"(tan δ > 1)时,样品以黏性行为为主。屈服点的剪切应变(γYP,%)表征样品在结构完全破坏时的形变程度;屈服点剪切应力(τYP,Pa)和储能模量(G'YP,Pa)表征样品在完全破坏时的强度。在屈服点之后,样品结构的不可逆破坏导致内部摩擦和能量耗散占主导地位,样品逐渐表现出明显的流动特性[14]。
|
图 2 振幅扫描试验结果示意图[14] Fig. 2 Schematic diagram of amplitude sweep test results |
流变试验采用奥地利安东帕公司生产的MCR 302流变仪(图 3a)。MCR系列流变仪具有多种测量模式,可控制应变或应力,进行旋转测试、振幅扫描模式等一系列流变试验。测试过程中用十字板转子(型号为ST22-4V-40,图 3b)进行剪切,转子沿转轴方向的长度为40 mm,直径为22 mm,盛放土壤浆体的外筒(图 3c)直径为28.92 mm。试验时,通过循环水浴系统将温度控制在25℃。
|
图 3 试验设备:a)流变仪;b)十字板转子;c)外筒 Fig. 3 Test equipment: a) Rheometer; b) Vane rotor; c) Cup |
在使用十字板转子时,测试的土壤粒度范围有限[15],因此在样品制备过程中,将不同生物质炭施用量的土壤过0.5 mm筛。根据塿土的液限(30%)[16],本试验分别设置塿土液限的1倍、1.25倍、1.5倍、2倍进行水土混合配比,加入蒸馏水制备成含水率为30%、37.5%、45%、60%的浆体。
本研究采用振幅扫描模式进行流变试验,振幅扫描测试中剪切应变γ范围为0.0001%~100%,频率固定为0.5 Hz,测试温度为25℃,测量数据点为30个。每个样品至少重复3次。测定不同生物质炭含量下,不同含水率土壤样品的抗剪强度参数(线性黏弹区终点应力、屈服点应力、线性黏弹区终点储能模量、屈服点储能模量)和黏弹性参数(线性黏弹区终点应变、屈服点应变、损耗因子)。土壤的结构力学稳定性可通过其抗剪强度特性和黏弹性特性进行表征。抗剪强度特性反映了土体抵抗外力的能力,直接决定了其在外力作用下的抗破坏性能;而黏弹性特性与土壤行为的弹性和黏性部分相关[17]。
1.6 统计分析利用SPSS 26软件进行统计分析,采用单因素方差分析(ANOVA)方法分析不同生物质炭添加处理之间土壤基本理化性质的差异。
2 结果 2.1 添加不同生物质炭后土壤理化性质的变化表 2为不同生物质炭添加处理下土壤的基本理化性质。生物质炭添加显著降低了土壤的pH和CaCO3含量(P < 0.05)。随着生物质炭施入量的增加,土壤pH和CaCO3含量呈降低趋势,与B1处理相比,生物质炭添加比例为10%时,pH降低了0.25个单位,CaCO3含量降低了20.10%。同时,生物质炭添加显著提高了土壤有机碳含量、比表面积和表面电荷数量。随着生物质炭施入量的增加,土壤有机碳含量较CK增加了190.2%~1081%,比表面积增加了26.06%~91.06%,表面电荷增加了23.32%~42.68%。
|
|
表 2 不同小麦秸秆生物质炭添加量下土壤的基本理化性质 Table 2 Changes of basic physical and chemical properties of soil under different application amounts of wheat straw biochar |
储能模量、剪切应力与剪切应变的关系如图 4所示。在扰动初期,土壤样品存在储能模量平台区,即线性黏弹区,当含水率为30%时,模量平台区较为明显。在此阶段,土壤样品表现为固体弹性特征。随着含水率的增加,土壤储能模量平台区逐渐缩短。随着剪切应变的增加,不同含水率样品的储能模量经历平台区后逐渐减小,表现出应变变稀的特点。此外,含水率影响着土壤样品储能模量的大小,由图 4可知,随着含水率的增加,土壤的储能模量减小,例如,当含水率为30%时,土壤初始储能模量可超过105 Pa,当含水率增加至60%时,土壤初始储能模量仅为103 Pa左右。随着生物质炭施入量的增加,土壤的储能模量增加。B10处理下的储能模量明显高于CK处理。
|
注:阴影区域表示每个数据点周围的误差带,表示与测量值相关的不确定度范围。 Note: The shaded areas indicate the error bands around each data point, representing the range of uncertainty associated with the measured values. 图 4 不同含水率下不同生物质炭添加量的土壤的储能模量与剪切应力(a、b、c、d分别为含水率30%、37.5%、45%、60%的土壤) Fig. 4 Storage modulus and shear stress of soil with different biochar application amounts under different water content((a, b, c, and d represent moisture contents of 30%, 37.5%, 45%, and 60%, respectively) |
土壤样品在不同含水率下剪切应力随剪切应变的变化如图 4所示。随着剪切应变的增加,剪切应力出现局部最大值,称为剪切应力最大值。最大剪切应力表示土壤样品所能承载的最大抗剪强度。当剪切应变在0~10%范围内,土壤样品出现剪切应力最大值,此阶段是土壤储能模量在外部扰动下急剧下降的阶段,表明此时土壤样品内部结构开始发生破坏。随着含水率的增加,各处理下土壤样品的剪切应力明显减小。具体而言,当含水率从30%增加至60%时,土壤样品的最大剪切应力约为2000 Pa、500 Pa、100 Pa、10 Pa。在相同含水率下,随着生物质炭施用量的增加,土壤的剪切应力明显增加。
不同生物质炭添加后土壤抗剪强度参数随含水率的变化如图 5所示。从图 5a可以看出,随着含水率的增加,线性黏弹区应力呈减小趋势,以含水率37.5%为转折点,当含水率大于37.5%时,土壤抗剪强度几乎为零。当含水率小于37.5%时,不同生物质炭添加量下的土壤抗剪强度依次为:B5 > CK > B10 > B1 > B3,即添加5%的生物质炭时,土壤可达到最大的抗剪强度。
|
图 5 不同含水率下不同生物质炭添加量的土壤抗剪强度参数 Fig. 5 Soil shear strength parameters of different biochar application amounts under different water content |
图 5b中可看出,随着含水率的增加,线性黏弹区终点的储能模量呈现降低趋势。当含水率为30%时,不同生物质炭添加量下的土壤线性黏弹区储能模量依次为:B10 > B1 > CK > B5 > B3。然而,随着含水率的进一步增加,特别是超过37.5%时,施用生物质炭处理的线性黏弹区储能模量显著高于CK,且随着生物质炭施用量的增加,储能模量呈现出增加的趋势。当含水率为60%时,各处理组线性黏弹区的储能模量差异减小。
图 5c表明不同处理下土壤屈服点的剪切应力变化趋势。屈服点应力反映了土壤样品完全破坏时的抗剪强度,随着含水率的增加,屈服点应力先骤然减小后趋于稳定,含水率37.5%是较为明显的屈服点应力变化转折点。当含水率 < 37.5%时,B10处理下的屈服点应力最大,其次依次为B1、B5、B3、CK处理。
图 5d所示,随着含水率的增加,屈服点的储能模量呈减小趋势,以37.5%为临界点,当含水率大于37.5%时,土壤抵抗破坏储存弹性能量的能力接近0 Pa,即土壤发生破坏。当含水率小于37.5%时,不同生物质炭添加量下的土壤抵抗破坏储能模量的能力依次为:B10和B1 > CK > B5和B3。
2.3 添加不同生物质炭后土壤黏弹性的变化不同生物质炭添加后土壤黏弹性随含水率的变化如图 6所示。线性黏弹区应变反映了土壤在可逆变形过程中产生的相对变形。与CK相比,B10、B5可增加土壤样品线性黏弹性区的应变,B1、B3土壤样品线性黏弹性区的应变较低,随着含水率的增加,线性黏弹性区应变呈减小趋势;生物质炭添加后土壤线性黏弹性区的剪切应变在含水率为37.5%时趋近于零,未表现出弹性,且不同生物质炭添加量下土壤线性黏弹性区应变大小关系表现为:B10 > B5 > CK > B1~B3。
|
图 6 不同含水率下不同生物质炭添加量的土壤黏弹性参数 Fig. 6 Soil viscoelastic parameters of different biochar application amounts under different water content |
屈服点应变反映土壤从固相变为液相时的相对变形。从整体看,B10的屈服点应变普遍高于其他处理,其次是B5,而B1和B3的应变较低。B10屈服点应变在含水率较低时较高,随着含水率的增加,屈服点应变逐渐减小。相反,B5屈服点应变随着含水率的增加,屈服点应变逐渐增加,在含水率为60%时,B5 > B10。而B1和B3的屈服点应变在整个含水率范围内相对较低,且变化不大。
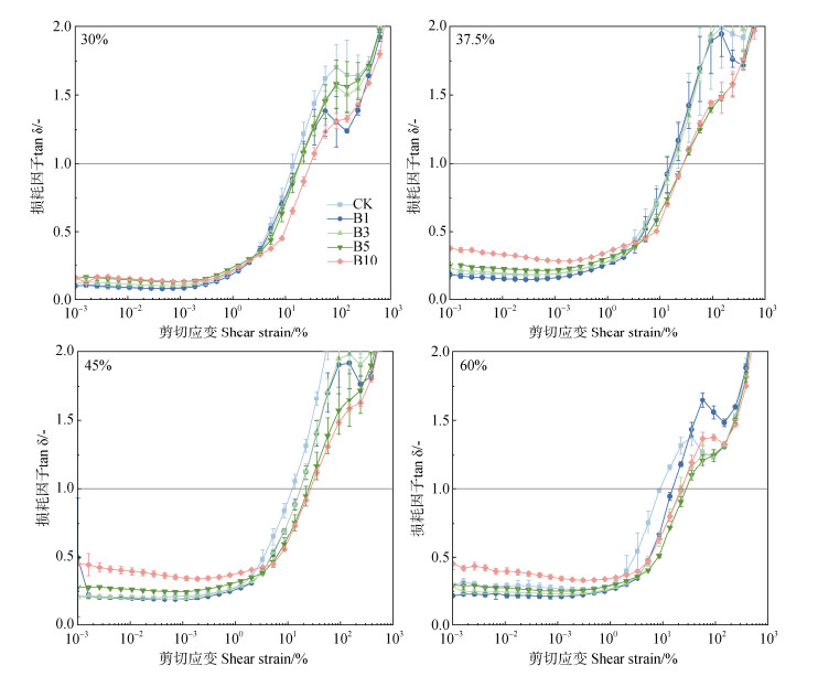
图 7展示了土壤样品在不同小麦秸秆生物质炭添加量和不同含水率条件下,损耗因子随剪切应变变化趋势。由图可知,随着剪切应变的增加,损耗因子呈现出逐渐增加的趋势。生物质炭的添加对土壤的损耗因子有较大的影响。在剪切应变较小的范围内,与CK相比,生物质炭的添加量越大,损耗因子的值也越大。然而,在剪切应变为0~10%的区间内,出现了一种相反的趋势,即生物质炭添加量越大,损耗因子的值越小。
|
图 7 不同含水率下不同生物质炭添加量的损耗因子 Fig. 7 Loss factor under different water content levels with various biochar application rates |
抗剪强度作为衡量土壤结构稳定性的重要指标,直接影响土壤的耕作性能和抗机械扰动能力。本研究表明,随着生物质炭含量的增加,土壤在线性黏弹区终点处和屈服点的储能模量和剪切应力均呈增加趋势,特别是在10%添加量的条件下达到最大值(图 4),表明生物质炭能够有效增强土壤的抗剪强度,这与Awe等[18]研究结果一致。这与生物质炭自身的理化特性有关[19-21]。一方面,生物质炭可以填充土壤颗粒间的孔隙,增强颗粒的机械嵌合作用,从而提高土壤颗粒间的摩擦力和结构稳定性[11]。同时,生物质炭的高比表面积和多孔结构有助于增加土壤颗粒间的摩擦和交错效应[22-24]。在应力作用下,这种摩擦效应减小了颗粒间的相对位移,提高了土壤的抗剪强度[20]。另一方面,生物质炭的多孔结构及高比表面积特性可为土壤提供更多的结合位点,增强土壤在线性黏弹区的响应能力,使土壤在弹性变形范围内表现出更强的抗破坏能力[25]。
土壤有机碳也是影响土壤抗剪强度的关键因素。本研究表明,土壤有机碳含量随生物质炭施用量的增加而增加,相应地,土壤抗剪强度呈现出增加的趋势(表 2)。这主要是因为有机碳在土壤中具有胶结作用,有助于稳定土壤团聚体的形成,从而增强土壤的抗剪强度[25]。这与Markgraf等[24]的研究结果基本一致,他们发现有机碳含量较高的土壤在破碎前具有较高的剪切应力。此外,有机碳含量的增加亦可增加土壤表面电荷的数量。通常,土壤颗粒表面带有负电荷,带负电荷的土壤颗粒在阳离子作用下发生颗粒间的凝聚,进而促进土壤团聚体的形成,最终提高土壤的结构力学稳定性[26]。因此,施用生物质炭可有效提高土壤的抗剪强度。
3.2 生物质炭添加对土壤黏弹性的影响线性黏弹区终点和屈服点的应变共同反映了土壤在不同应力水平下的变形特性和结构稳定性。在线性黏弹区终点,土壤表现出较强的弹性响应,结构仍能维持完整性,而屈服点则标志着土壤结构完全被破坏。本研究发现,当生物质炭添加量超过5%时,随着生物质炭添加量的增加,土壤在线性黏弹区终点处的剪切应变和屈服点剪切应变均呈增加趋势(图 7),这与Alves等[27]研究一致,表明生物质炭提高了土壤的抗变形能力。当生物质炭添加量超过5%时,土壤的表面电荷数量显著增加(表 2),这增加了土壤颗粒间的相互作用,导致土壤在弹性变形阶段能够承受更大的应变[28]。此外,本研究发现生物质炭添加促进了土壤有机碳积累(表 2),有机碳中的链状分子能够与土壤颗粒有效结合,增强土壤凝聚力,有效抵抗外界应力,从而提高弹性[29]。然而,随着含水率的增加,土壤的黏弹性呈现下降趋势,这与zhou等[10]的研究一致,主要原因是水分增加导致土壤颗粒间的间隙增大,减小了颗粒间的黏附力,使土壤更加分散[30]。因此,高生物质炭添加量不仅提升了土壤的线性黏弹区应变,还能延缓土壤结构破坏的进程,从而显著增强土壤在各种应力条件下的抗变形能力。
损耗因子反映了土壤在不同剪切应变下的能量耗散特性。在小剪切应变区,各处理的损耗因子变化较小,此时处于线性黏弹区,土壤以弹性行为为主;而在高剪切应变区,损耗因子迅速增加,此时储能模量和损耗模量减小,这反映了颗粒间滑移和能量耗散的增强[31]。生物质炭的加入显著降低了高应变区的损耗因子值,这表明其通过增强颗粒间的连接性和力学耦合,提高了土壤的黏弹性,从而减少了能量损失。值得注意的是,水分的调控作用在损耗因子中表现得更加明显,较高含水率下的润滑效应导致颗粒滑移更易发生。
4 结论(1)生物质炭添加显著降低了土壤的pH和碳酸钙含量,提高了土壤有机碳含量、比表面积和表面电荷数量。与CK相比,随着生物质炭添加量的增加,土壤有机碳含量增加了190.2%~1081%,比表面积增加了26.06~91.06%,表面电荷增加了23.32~42.68%。(2)随着生物质炭添加量的增加,土壤的储能模量和剪切应力呈增加趋势。当生物质炭添加量为10%时,可达到最大的线性黏弹区储能模量、屈服点的储能模量和剪切应力;当添加5%的生物质炭时,土壤可达到最大的线性黏弹区剪切应力。随着含水率增加,土壤的储能模量和剪切应力呈减小趋势,以37.5%含水率为转折点,当含水率高于37.5%时,土壤抗剪强度几乎为零。(3)与CK相比,5%和10%生物质炭添加量可增加土壤线性黏弹区和屈服点处的剪切应变。随着含水率增加,线性黏弹区和屈服点剪切应变呈减小趋势,在含水率为37.5%时趋近于零。
| [1] |
Zhou Y C, Shao M A, Wei X R, et al. Response of soil qrganic carbon pool to vegetation restoration and its influencing factors in Loess Plateau (In Chinese)[J]. Research of Soil and Water Conservation, 2024, 31(6): 395-405. [周也琛, 邵明安, 魏孝荣, 等. 黄土高原土壤有机碳库对植被恢复的响应及其影响因素研究进展[J]. 水土保持研究, 2024, 31(6): 395-405.]
( 0) |
| [2] |
Yang Y, Liu L X, Tong Y P, et al. Advances and driving factors in soil organic carbon storage during vegetation restoration in the Loess Plateau, China (In Chinese)[J]. Journal of Earth Environment, 2023, 14(6): 649-662. [杨阳, 刘良旭, 童永平, 等. 黄土高原植被恢复过程中土壤碳储量及影响因素研究进展[J]. 地球环境学报, 2023, 14(6): 649-662.]
( 0) |
| [3] |
Xu C, Su C C, Chen Y P, et al. Structure and functional heterogeneity of soil microbial communities in different farmland types on the Loess Plateau (In Chinese)[J]. Journal of Earth Environment, 2023, 15(4): 653-664. [徐晨, 苏翠翠, 陈怡平, 等. 黄土高原不同耕地类型土壤微生物群落结构与功能异质性[J]. 地球环境学报, 2023, 15(4): 653-664.]
( 0) |
| [4] |
Bronick C J, Lal R. Soil structure and management: A review[J]. Geoderma, 2005, 124(1/2): 3-22.
( 0) |
| [5] |
Ball B C, Bingham I, Rees R M, et al. The role of crop rotations in determining soil structure and crop growth conditions[J]. Canadian Journal of Soil Science, 2005, 85(5): 557-577. DOI:10.4141/S04-078
( 0) |
| [6] |
Wei Y X, Zhu T Y, Liu H. Effects of successive application of biochar on soil improvement and maize yield of black soil region (In Chinese)[J]. Transactions of the Chinese Society for Agricultural Machinery, 2022, 53(1): 291-301. [魏永霞, 朱畑豫, 刘慧. 连年施加生物炭对黑土区土壤改良与玉米产量的影响[J]. 农业机械学报, 2022, 53(1): 291-301.]
( 0) |
| [7] |
Wu Y Y, Yang M Y, Zhang F B, et al. Effect of biochar application on erodibility of plow layer soil on loess slopes (In Chinese)[J]. Acta Pedologica Sinica, 2016, 53(1): 81-92. DOI:10.11766/trxb201504170027 [吴媛媛, 杨明义, 张风宝, 等. 添加生物炭对黄绵土耕层土壤可蚀性的影响[J]. 土壤学报, 2016, 53(1): 81-92.]
( 0) |
| [8] |
Tan C L, Liu Y, Huang X G, et al. Effect of biochar on soil microbial metabolic activities (In Chinese)[J]. Chinese Journal of Eco-Agriculture, 2022, 30(3): 333-342. [谭春玲, 刘洋, 黄雪刚, 等. 生物炭对土壤微生物代谢活动的影响[J]. 中国生态农业学报, 2022, 30(3): 333-342.]
( 0) |
| [9] |
Gao X Y, Zhang Q M, Wu B, et al. Experimental study on dynamic performances of soil under high strain rates (In Chinese)[J]. Transactions of Beijing Institute of Technology, 2014, 34(6): 551-555. [高兴勇, 张庆明, 吴碧, 等. 土壤动态冲击压缩性能实验研究[J]. 北京理工大学学报, 2014, 34(6): 551-555.]
( 0) |
| [10] |
Zhou L, Li J W, Xu C Y, et al. Effects of Pisha sandstone additions on microstructural stability of sandy soil in Mu Us Sandy Land, China[J]. Soil and Tillage Research, 2025, 248: 106437. DOI:10.1016/j.still.2024.106437
( 0) |
| [11] |
Bao S D. Soil and agricultural chemistry analysis (In Chinese). 3rd ed[M]. Beijing: China Agriculture Press, 2000. [鲍士旦. 土壤农化分析[M]. 3版. 北京: 中国农业出版社, 2000.]
( 0) |
| [12] |
Li H, Hou J, Liu X M, et al. Combined determination of specific surface area and surface charge properties of charged particles from a single experiment[J]. Soil Science Society of America Journal, 2011, 75(6): 2128-2135. DOI:10.2136/sssaj2010.0301
( 0) |
| [13] |
Wang J X, Hu F N, Xu C Y, et al. Effects of soil bulk density and water content on the mechanical stability of soil structure using rheological method (In Chinese)[J]. Transactions of the Chinese Society of Agricultural Engineering, 2021, 37(19): 147-155. [王金晓, 胡斐南, 许晨阳, 等. 基于流变学法研究容重和含水率对土壤结构力学稳定性的影响[J]. 农业工程学报, 2021, 37(19): 147-155.]
( 0) |
| [14] |
Zhou L, Hu F N, Xu C Y, et al. Study of the rheological behavior of pisha sandstone slurry based on dynamic oscillatory shear (In Chinese)[J]. Journal of Soil and Water Conservation, 2024, 38(3): 45-53. [周琳, 胡斐南, 许晨阳, 等. 基于动态振荡剪切的砒砂岩浆体流变行为研究[J]. 水土保持学报, 2024, 38(3): 45-53.]
( 0) |
| [15] |
Nguyen V B Q, Kang H S, Kim Y T. Effect of clay fraction and water content on rheological properties of sand–clay mixtures[J]. Environmental Earth Sciences, 2018, 77(16): 576. DOI:10.1007/s12665-018-7748-0
( 0) |
| [16] |
Hong B. Research on water, air and heat conduction characteristics and its heat-moisture transfer of loess[D]. Xi'an: Changan University, 2020.[洪勃. 黄土水气热传导特性及其热湿运移规律试验研究[D]. 西安: 长安大学, 2020.]
( 0) |
| [17] |
Holthusen D, Pértile P, Reichert J M, et al. Viscoelasticity and shear resistance at the microscale of naturally structured and homogenized subtropical soils under undefined and defined normal stress conditions[J]. Soil and Tillage Research, 2019, 191: 282-293. DOI:10.1016/j.still.2019.04.014
( 0) |
| [18] |
Awe G O, Reichert J M, Holthusen D, et al. Characterization of microstructural stability of biochar-amended Planosol under conventional tillage for irrigated lowland rice ecosystem[J]. Soil and Tillage Research, 2021, 212: 105051. DOI:10.1016/j.still.2021.105051
( 0) |
| [19] |
Qi W L, Yang Y, Xu Y, et al. Synergistic effects of unmodified tea leaves and tea biochar application on remediation of Cr-contaminated soil[J]. Toxics, 2024, 12(12): 888. DOI:10.3390/toxics12120888
( 0) |
| [20] |
Konduri A, Bharti V S, Kumar S, et al. Paddy straw biochar amended sediment enhances pond productivity, growth and physiological profile of Penaeus vannamei cultured in inland saline nursery ponds[J]. Environmental Science and Pollution Research, 2024, 31(52): 61711-61729. DOI:10.1007/s11356-024-35342-y
( 0) |
| [21] |
Uwingabire S, Chamshama S A O, Nduwamungu J, et al. French bean production as influenced by biochar and biochar blended manure application in two agro-ecological zones of Rwanda[J]. Agronomy, 2024, 14(9): 2020. DOI:10.3390/agronomy14092020
( 0) |
| [22] |
Li M Y. Hydro-mechanical properties of biochar-clay mixture[D]. Shanghai: Shanghai University, 2021.[李明玉. 生物炭-黏土混合土的水-力特性[D]. 上海: 上海大学, 2021.]
( 0) |
| [23] |
Sun Y D, Wang X T, Wu Q, et al. Use of rice straw nano-biochar to slow down water infiltration and reduce nitrogen leaching in a clayey soil[J]. Science of the Total Environment, 2024, 948: 174956. DOI:10.1016/j.scitotenv.2024.174956
( 0) |
| [24] |
Markgraf W, Watts C W, Whalley W R, et al. Influence of organic matter on rheological properties of soil[J]. Applied Clay Science, 2012, 64: 25-33. DOI:10.1016/j.clay.2011.04.009
( 0) |
| [25] |
Chen H, Ma W M, Wang C T, et al. Effects of shrub-encroached grassland on the stability of soil aggregates and cementing materials in alpine grassland of Qinghai-Tibet Plateau (In Chinese)[J]. Acta Pedologica Sinica, 2023, 60(1): 151-163. DOI:10.11766/trxb202107290253 [陈红, 马文明, 王长庭, 等. 高寒草地灌丛化对土壤团聚体稳定性及其胶结物质的影响[J]. 土壤学报, 2023, 60(1): 151-163.]
( 0) |
| [26] |
Ao H, Chen C, Zhou H. Effect and mechanism of food waste compost on the stability of paddy soil aggregates (In Chinese)[J]. Acta Pedologica Sinica, 2025, 62(3): 716-728. DOI:10.11766/trxb202402240077 [敖晖, 陈冲, 周虎. 餐厨垃圾堆肥对水稻土团聚体稳定性的影响及机制[J]. 土壤学报, 2025, 62(3): 716-728.]
( 0) |
| [27] |
Alves A R, Holthusen D, Sarfaraz Q, et al. Short-term biochar effects on microstructure viscoelasticity, shear resistance, and resilience of a weathered soil[J]. Journal of Soil Science and Plant Nutrition, 2024, 24(2): 2138-2151. DOI:10.1007/s42729-024-01791-0
( 0) |
| [28] |
Holthusen D, Batistão A C, Reichert J M. Amplitude sweep tests to comprehensively characterize soil micromechanics: Brittle and elastic interparticle bonds and their interference with major soil aggregation factors organic matter and water content[J]. Rheologica Acta, 2020, 59(8): 545-563. DOI:10.1007/s00397-020-01219-3
( 0) |
| [29] |
Sun A B, An J, Yu N, et al. Effects of iron tailings combined with organic materials on compression and rebound characteristics of cinnamon soil (In Chinese)[J]. Soils, 2022, 54(6): 1300-1306. [孙奥博, 安晶, 虞娜, 等. 铁矿尾砂配施有机物料对褐土压缩及回弹特性的影响[J]. 土壤, 2022, 54(6): 1300-1306.]
( 0) |
| [30] |
Wang X Y, Zhou L, Meng J, et al. Rheological evaluation of soil mechanical stability during vegetation restoration (In Chinese)[J]. Journal of Soil and Water Conservation, 2024, 38(5): 175-183. [王新宇, 周琳, 孟静, 等. 基于流变学法探究植被恢复下土壤力学稳定性[J]. 水土保持学报, 2024, 38(5): 175-183.]
( 0) |
| [31] |
Jeong S W, Urgeles R, Bahk J J, et al. Rheological characteristics of marine sediments from the Ulleung Basin, East Sea to estimate the mobility of submarine landslides[J]. Marine Geophysical Research, 2022, 43(2): 16. DOI:10.1007/s11001-022-09473-1
( 0) |
2026, Vol. 63



0)