2. 河北农业大学农学院, 河北保定 071001;
3. 河北省农林科学院棉花研究所, 石家庄 050051
2. College of Agronomy, Hebei Agricultural University, Baoding, Hebei 071001, China;
3. Cotton Research Institute, Hebei Academy of Agriculture and Forestry Sciences, Shijiazhuang 050051, China
土壤盐碱化备受全球关注。因盐碱土中钠(Na+)含量高,钾(K+)、钙(Ca2+)、镁(Mg2+)溶解度低,土壤易于吸收Na+,致使土壤物理结构受到破坏,作物出现生理干旱,严重时甚至出现耕地抛荒[1]。我国是世界上土壤盐碱化问题较为严重的国家之一,河北省低平原区是由古黄河、海河冲积形成,土壤存在盐渍化[2]。同时,该区淡水资源匮乏,但浅层地下微咸水分布广泛,是旱季保证作物产量的重要灌溉水源,而长期采用微咸水灌溉使土壤存在盐碱障碍,此外也存在部分因地下水位高导致的盐碱土壤。土壤盐碱化已成为阻碍该区耕地产能提升的关键因素。
盐碱土壤改良研究经过多年的发展,向盐碱土中添加有机物料的物理改良措施不但可有效抑制耕层土壤盐分,还能提升地力,且成本低、效率高,是目前盐碱土改良领域的研究热点。前人大量研究[3-4]表明施用有机肥可提高土壤孔隙度,同时降低土壤容重,从而大幅改善土壤质量,提高作物产量。如羊粪具有疏松多孔的结构,施入土壤后能够有效抑制土壤可溶性盐离子向上移动,抑制土壤返盐[5-6]。赵宇等[7]在黑龙江省中度盐碱草地研究发现,添加2.50 kg·m–2鲜羊粪能够显著降低土壤电导率。再者,以植物为原料,经炭化、干馏后形成的一种含酸、醛、酮、醇等有机物的酸性土壤改良剂木醋液,因能有效改良土壤理化性质、降低土壤pH、增加有机质含量,被广泛应用[8],但木醋液对植物生长有促进或抑制的双重效果,浓度太高或太低均不利于植物生长,仅在浓度合适时,才能促进植物生长[9],且木醋液的最佳用量会因植物种类、栽培方式、施肥方式、土壤条件等因素的不同而存在差异[10-11]。此外,周红娟等[12]研究发现,在施用鸡粪的基础上配施木醋液,滨海盐碱土土壤养分含量显著提高。可见,科学合理施用有机物料和木醋液对盐碱土壤改良及促进作物产能提升具有正调控效应。
综上,前人对有机肥及木醋液改良盐碱土壤理化性质和提高植物耐盐能力方面已有部分研究,但羊粪配施木醋液对河北低平原区内陆盐碱障碍粮田改良及作物产能提升效果尚缺乏系统报道,因此,开展该区盐碱障碍粮田羊粪配施不同用量木醋液对土壤养分、冬小麦抗氧化特性、养分吸收利用和产量影响的研究,可为丰富土壤盐碱障碍消减和沃土增产理论提供参考。
1 材料与方法 1.1 试验地概况本试验于2022年10月—2024年6月在河北省衡水市故城县北堤口村盐碱障碍土壤改良试验田进行。试验地为北温带亚湿润大陆性季风气候,年均温12.9–1,年均降水量485 mm,全年无霜期190 d左右,年日照时间2 608.5 h,年日照率59%,供试土壤属于盐化潮土。试验前0~20 cm耕层土壤理化性质:pH7.65、电导率(EC)899 μS·cm–1、有机质15.37 g·kg-1、硝态氮16.45 mg·kg–1、有效磷17.47 mg·kg–1、速效钾110.43 mg·kg–1。
1.2 试验设计本试验采用完全随机设计,共设5个处理:常规施肥(CK)、羊粪27 t·hm–2(T0)、羊粪27 t·hm–2+木醋液270 kg·hm–2(T1)、羊粪27 t·hm–2+木醋液540 kg·hm–2(T2)、羊粪27 t·hm–2+木醋液810 kg·hm–2(T3),每个处理3次重复,随机排列,各小区面积106 m2(10 m×10.6 m),外围设置保护行。供试的已发酵羊粪来自当地养殖农场,其干基有机质含量445 g·kg–1,全氮12 g·kg–1、全磷5 g·kg–1、全钾17 g·kg–1,含水量200 g·kg–1,施用量以干基计算。供试木醋液以梨木和苹果木为原料,pH2.97,其中有机化合物中含有机酸323 g·kg–1(其中乙酸253 g·kg–1)、酚类及衍生物337 g·kg–1、酮类106 g·kg–1,有机碳含量31.14 g·kg–1,密度是1.05 g·cm–3。冬小麦季基施羊粪和化肥均匀撒施后进行旋耕,旋耕深度18 cm,冬小麦试验品种为衡4399,行距为15 cm,播种量为300 kg·hm–2;基施的化学肥料为尿素、磷酸二铵和硫酸钾,追施的氮肥为尿素,各处理基施化肥用量相同,分别施纯N、P2O5和K2O 150 kg·hm–2、150 kg·hm–2和75 kg·hm–2,春季起身期灌水时各处理追施纯氮75 kg·hm–2;木醋液稀释20倍后在冬小麦首次灌水前,均匀洒施在离地面3~5 cm处的植株行间。所有处理统一灌起身水和孕穗水,每次灌溉量为675 m3·hm–2,灌溉水为含盐量1.4 g·L–1的地上河水,各处理的田间管理相同。试验田种植模式为夏玉米-冬小麦,各处理的上茬夏玉米施肥和田间管理均一致,夏玉米季肥料为专用复混肥,采用种肥同播的方式一次底施,化学N、P2O5、K2O施用量分别为225 kg·hm–2、60 kg·hm–2、60 kg·hm–2。
1.3 样品采集与测定土壤容重、总孔隙度和养分的测定:在冬小麦成熟期(2023年6月12日,2024年6月4日)于各小区采用S型采样方法,随机在行间选取3个样点,用土钻分别取0~20、20~40 cm土层土壤样品,每层3钻混合为1个重复装入封口袋混匀,每个处理3次重复,–20 ℃保存于冰箱中。硝态氮、有效磷、速效钾和有机质含量分别用KCl浸提—紫外分光光度法、NaHCO3浸提—钼锑抗分光光度法、NH4OAC浸提—火焰光度计法、重铬酸钾氧化外加热法测定;用pH计测定土壤pH,水土质量比2.5︰1;采用电导率仪测定土壤电导率(EC),浸提时水土质量比为5︰1;用环刀法测定土壤容重[13]。
旗叶生理指标的测定:冬小麦灌浆前、中、后期(2023年5月6日、5月22日、6月3日,2024年4月29日、5月16日、5月29日)于各小区随机采集10~15片小麦旗叶,擦净叶片用锡纸包裹,迅速置于液氮中,–80 ℃冷藏,用于后续测定生理指标。分别用蒽酮比色法、考马斯亮蓝G-250蛋白染色法、茚三酮显色法测定可溶性糖、可溶性蛋白、游离氨基酸含量。超氧化物歧化酶(SOD)活性、过氧化物酶(POD)活性和超氧阴离子自由基(
叶片气孔性状的测定:于冬小麦灌浆中期(2024年5月16日)采用指甲油印迹法测定叶片气孔性状[16]。用蔡司光学显微镜在40倍物镜下(放大倍数为400倍)观察气孔并拍摄图片,使用Image J软件进行测量,测定气孔两侧保卫细胞的横轴长度,即气孔长度(SL);垂直于保卫细胞的最宽值,即气孔宽度(SW);气孔器的边缘长度,即气孔周长(SP);气孔孔径的最宽处,即气孔开度(SOS);气孔面积(SA)=πab,其中a=1/2SL,b=1/2SW。
植株全量养分含量测定:冬小麦成熟期于各小区随机取30株小麦,80 ℃烘干后,分器官称干物质量,粉碎后分别用凯氏定氮法、钼锑抗吸光光度法和火焰光度法测定各器官的氮、磷、钾含量[17]。
产量测定:冬小麦成熟期于各小区长势均匀处随机选取30个麦穗,进行穗粒数统计;选取1 m双行小麦,调查有效穗数,折合单位面积穗数;风干后脱粒,测定千粒重;收获1 m2的小麦植株进行测产。
1.4 数据处理采用Excel 2021、DPS 9.01(数据处理系统)对数据进行统计分析,采用最小显著差异法(LSD)对处理间差异进行显著性检验(P < 0.05),使用Excel 2021绘图,使用Origin 2021进行相关性分析。图表中数据为平均值±标准差。
2 结果 2.1 盐碱障碍粮田土壤容重和总孔隙度对羊粪配施木醋液的响应在2023年和2024年,羊粪配施木醋液各处理的土壤容重较CK显著降低(图 1a),土壤总孔隙度较CK显著提高(图 1b),其中,在2024年,不同木醋液用量间表现为T3处理的土壤容重较T0显著降低12.46%,T3处理土壤孔隙度较T0显著提高11.52%,但T1~T3间土壤容重和孔隙度无显著差异。上述两年结果表明,羊粪配施270~810 kg·hm–2木醋液对土壤容重和土壤通透性均有一定程度正向调控。
|
注:CK,常规施肥;T0,羊粪27 t·hm–2;T1,羊粪27 t·hm–2 + 木醋液270 kg·hm–2;T2,羊粪27 t·hm–2 + 木醋液540 kg·hm–2;T3,羊粪27 t·hm–2 + 木醋液810 kg·hm–2。不同小写字母代表相同年份各处理间差异显著(P < 0.05)。下同。 Note: CK, conventional fertilization; T0, sheep manure at 27 t·hm–2; T1, sheep manure at 27 t·hm–2 + wood vinegar at 270 kg·hm–2; T2, sheep manure at 27 t·hm–2 + wood vinegar at 540 kg·hm–2; T3, sheep manure at 27 t·hm–2 + wood vinegar at 810 kg·hm–2. Different lowercase letters indicate significant differences(P < 0.05)among treatments in the same year. The same below. 图 1 羊粪配施木醋液处理对盐碱障碍粮田土壤容重(a)和总孔隙度(b)的影响 Fig. 1 The effects of sheep manure combined with wood vinegar on soil bulk density(a)and total porosity(b)in saline-alkali barrier grain field |
在2023年,0~20 cm土层中,土壤EC表现为T1、T2、T3均较CK显著降低,T0~T3处理间无显著性差异(表 1);硝态氮含量表现为T2、T3较CK、T0和T1显著提高,增幅为9.15%~20.79%,T2和T3间无显著性差异;有效磷含量表现为T2、T3较CK、T0显著提高,T2较T1显著提高了8.67%;速效钾含量表现为增施羊粪及配施木醋液处理均较CK显著提高,T2处理速效钾含量分别较T0、T1显著提高12.22%、10.90%;各处理间有机质含量均无显著差异。在20~40 cm土层,仅T2处理有效磷含量与CK呈显著性差异。在2024年,0~20 cm土层中,EC表现为T2较CK显著降低了13.16%;有机质含量表现为羊粪配施木醋液处理均较CK显著提高;硝态氮含量表现为T2、T3较CK、T0显著提高,增幅为8.92%~15.14%,T1、T2、T3间无显著性差异;有效磷含量表现为T2分别较CK、T0显著提高;速效钾含量表现为T2显著高于CK。在20~40 cm土层,有效磷含量表现为T2较CK、T0、T1显著提高,增幅为12.36%~15.63%。两个生长季各处理间pH变化较小,同时20~40 cm土层中,除有效磷含量外,其他指标各处理间无显著性差异,因此数据不在表中列出。可见,0~20 cm土层中,羊粪配施中量木醋液(T2)较CK的EC显著降低,增加了速效氮磷钾含量,且20~40 cm土层中有效磷含量显著提高。
|
|
表 1 羊粪配施木醋液处理对盐碱障碍粮田土壤化学性质和养分的影响 Table 1 The effects of sheep manure combined with wood vinegar on chemical properties and nutrients of soil in saline-alkali barrier grain field |
在2023年,可溶性糖含量在各灌浆时期T0、T1、T2和T3处理均较CK显著提高,其中T2增幅最大,此外,T2较T0、T1也显著提高(图 2a)。可溶性蛋白含量在灌浆前、中期T0~T3较CK显著提高,增幅分别为12.34%~24.90%、13.42%~29.87%,不同木醋液用量间表现为T2较T0、T1显著提高;灌浆后期T2较CK显著提高了17.75%(图 2b)。游离氨基酸含量灌浆前期T0~T3分别较CK显著提高了10.74%、11.65%、20.86%和13.44%,T2分别较T0、T1显著提高了9.13%、8.25%,灌浆中、后期T2分别较CK显著提高了17.09%、17.95%(图 2c)。SOD活性在灌浆各时期T0~T3较CK显著提高,不同木醋液用量间表现为T2较T0、T1显著提高(图 2d)。叶片POD活性灌浆前、中期增施羊粪及羊粪配施木醋液处理均显著高于CK,木醋液不同用量间表现为T2较T0、T1显著提高,增幅为8.40%~10.87%、8.34%~13.30%;灌浆后期T2、T3较CK显著提高了24.22%、17.77%(图 2e)。叶片超氧阴离子自由基灌浆期间各处理总体表现出与SOD相反的趋势(图 2f)。各指标T2和T3处理间差异较小,均未达到显著水平。2024年植株碳氮代谢和抗氧化能力表现的趋势与2023年基本相似。此外,2024年灌浆中期对旗叶进行DAB和NBT染色,进一步证实各处理间抗氧化能力(图 3),结果表明,CK和T0处理叶片染色较深,T2染色最浅。综上,羊粪配施中量木醋液(T2)显著提高了小麦碳氮代谢和抗氧化能力。
|
注:不同小写字母表示相同年份和生育期不同处理间差异显著(P < 0.05)。 Note: Different lowercase letters indicate significant differences among treatments in the same year and growth stage(P < 0.05). 图 2 羊粪配施木醋液对冬小麦叶片碳氮代谢和抗氧化能力的影响 Fig. 2 The effects of sheep manure combined with wood vinegar on carbon and nitrogen metabolism and antioxidant capacity of winter wheat leaves |
|
图 3 各处理下二氨基联苯胺(a)和氮蓝四唑(b)的组织化学染色 Fig. 3 Histochemical staining of diaminobenzidine(DAB, a)and nitrotetrazolium blue chloride(NBT, b)under each treatment |
羊粪配施不同用量木醋液对冬小麦旗叶气孔形态特征的影响如图 4和表 2所示。由表 2可知,气孔长度表现为T2分别较CK、T0、T1显著提高8.25%、6.19%、5.83%;气孔宽度表现为T2、T3较CK、T0显著提高,增幅为5.49%~5.54%;气孔开度表现为T1、T2、T3较CK显著提高,增幅为17.69%~21.23%;气孔周长表现为T2、T3较CK显著提高,此外,T2分别较T0、T1显著提高6.05%和5.23%;气孔面积与气孔周长表现出相似规律。T2和T3间气孔性状差异较小未达显著性水平。以上结果表明,与CK相比,T2提高冬小麦的气孔长度、气孔宽度、气孔开度、气孔周长和面积的效果优于其他处理。可见,羊粪配施540 kg·hm–2木醋液增强了冬小麦与外界大气环境的交换能力,促进二氧化碳吸收同化效率,最终有利于光合产物的累积。
|
图 4 羊粪配施不同用量木醋液下的小麦旗叶气孔图像 Fig. 4 Image of stomata in flag leaves of wheat under sheep manure combined with different amounts of wood vinegar |
|
|
表 2 羊粪配施木醋液对冬小麦旗叶气孔的影响 Table 2 The effects of sheep manure combined with wood vinegar on stomata in flag leaves of winter wheat |
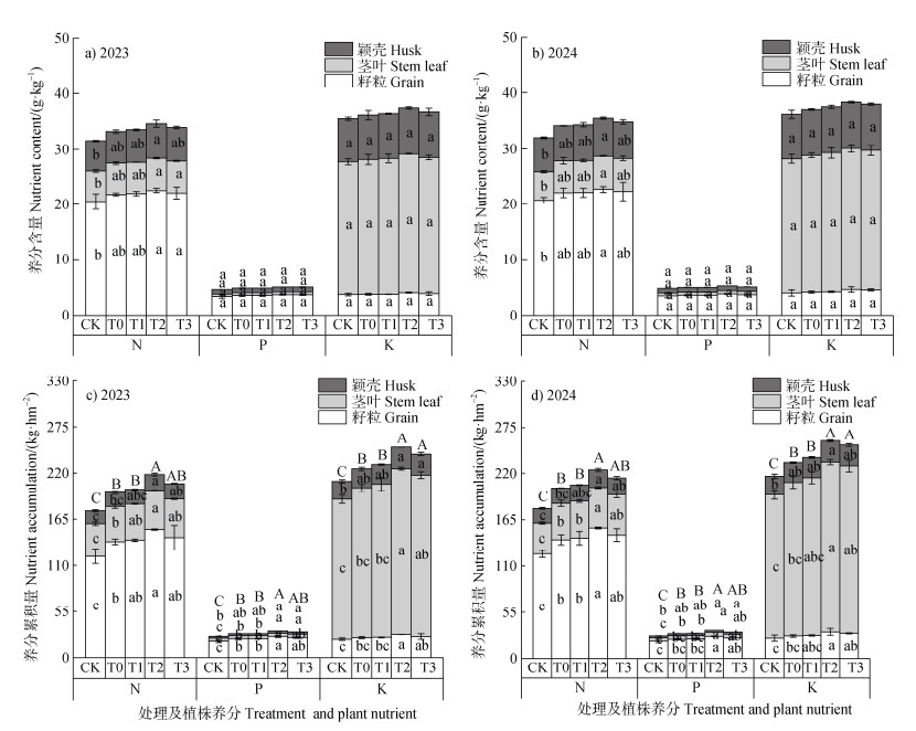
2023年,T2、T3籽粒氮含量分别较CK显著提高9.82%、7.57%,T2颖壳氮含量较CK显著提高了13.73%,而其他处理各器官氮、磷、钾含量无显著差异(图 5a)。与CK相比,除T0、T1的籽粒钾累积量和颖壳氮、磷、钾累积量无显著差异外,其他处理各器官氮、磷、钾累积量均较CK显著提高(图 5c)。2024年,T2籽粒、茎叶和颖壳的氮含量分别较CK显著提高了9.43%、16.62%、10.86%(图 5b);T2处理籽粒氮、磷、钾累积量均较CK、T0显著提高,T3籽粒氮、磷、钾累积量较CK显著提高了17.91%、16.37%、24.01%;CK、T0处理茎叶氮、磷、钾累积量及T1茎叶磷钾累积量均较T2处理显著降低;CK处理颖壳氮、磷、钾累积量及T0颖壳氮累积量均较T2显著降低(图 5d)。两个生长季,羊粪配施木醋液处理下冬小麦氮、磷、钾总累积量(颖壳、茎叶和籽粒养分累积量的总和)均较CK显著提高,T2处理下冬小麦氮、磷、钾总累积量均较T0、T1显著提高,而T2和T3处理下冬小麦各器官养分含量、累积量以及总累积量差异较小,未达显著性水平。以上结果表明,羊粪与木醋液配施能提高冬小麦对营养物质的吸收和积累能力,其中羊粪配施中量木醋液(T2)优于其他处理。
|
注:不同小写字母代表同一部位养分含量或累积量在各处理间差异显著(P < 0.05)。不同大写字母代表各处理间的养分总累积量(颖壳、茎叶和籽粒养分累积量的总和)差异显著(P < 0.05)。 Note: Different lowercase letters indicate significant differences(P < 0.05)in nutrient content or accumulation at the same part among treatments. Different capital letters indicate significant differences(P < 0.05)in the total nutrient accumulation(sum of nutrient accumulation in husk, stem leaf, and grain)among treatments. 图 5 羊粪配施木醋液对冬小麦各器官养分含量(a、b)和养分累积量(c、d)的影响 Fig. 5 The effects of sheep manure combined with wood vinegar on nutrient contents(a, b)and nutrient accumulation(c, d)in various organs of winter wheat |
在2023年和2024年,穗数表现为羊粪配施木醋液处理均较CK显著提高,两年间T2较T0分别显著提高了5.66%、7.89%,T2较T1显著提高了5.06%、5.39%,T2和T3间均无显著性差异(表 3);各处理间穗粒数和千粒重差异较小,未达显著性水平;产量表现为羊粪配施木醋液处理均较CK显著提高,T2较T0显著提高了6.89%、10.16%,T2较T1显著提高了5.93%、6.05%,T2和T3间无显著差异。以上结果表明,羊粪配施中量木醋液(T2)主要通过正向调控单位面积穗数实现小麦增产。
|
|
表 3 羊粪配施木醋液处理下盐碱障碍粮田冬小麦的产量 Table 3 The yield of winter wheat in saline-alkali barrier grain fields treated with sheep manure combined with wood vinegar |
木醋液用量与土壤总孔隙度、土壤速效氮磷钾含量呈极显著正相关,与土壤容重呈极显著负相关,与pH呈显著负相关(图 6a);木醋液用量与可溶性蛋白含量呈极显著正相关,与SOD、POD呈显著正相关,与超氧阴离子自由基呈极显著负相关(图 6b)。上述相关分析表明,该试验条件下增施的木醋液,通过正向调控土壤硝态氮、有效磷、速效钾含量及冬小麦SOD、POD活性,进而降低超氧阴离子自由基的产生,为增加冬小麦抗盐能力提供了物质基础。
|
注:WVA,木醋液用量;BD,土壤容重;TP,土壤总孔隙度;SP,可溶性蛋白;SS,可溶性糖;FAA,游离氨基酸;SOD,超氧化物歧化酶;POD,过氧化物酶; |
在施用羊粪基础上,为了进一步明确配施木醋液的最佳用量,选择一元二次方程进行模拟,小麦产量随木醋液用量增加,表现出先上升后下降的趋势,两个生长季趋势一致(图 7)。在两个生长季,羊粪分别配施535.46、551.03 kg·hm–2木醋液时,小麦产量最高,模拟结果均与配施540 kg·hm–2木醋液接近。
|
图 7 木醋液用量与冬小麦产量关系 Fig. 7 Relationship between application rate of wood vinegar and yield of winter wheat |
盐碱土中因含大量盐碱离子,导致电导率升高,土质恶化[18],而有机肥能降低土壤容重,改善土壤孔隙特性,木醋液呈酸性且含有机物质,施入盐碱土后,会产生降盐作用。Lashari等[19]发现,生物质炭—鸡粪复合肥配施木醋液显著降低了0~20 cm土壤盐度、pH、土壤容重,显著提高了有效磷含量;Qiao等[20]发现,在施用羊粪、玉米秸秆等有机物料堆肥后,土壤中的全氮、全磷以及速效钾含量均显著提升,EC显著下降;也有研究表明,施用羊粪显著提高了0~20 cm土壤孔隙度和土壤有机质含量[21-22]。本研究结果与上述研究部分一致,0~20 cm土层中,与CK相比,T2的土壤容重、EC显著降低,土壤总孔隙度、速效钾含量显著提高(图 1,表 1),与CK、T0相比,T2的硝态氮、有效磷含量显著提高,2024年T2土壤有机质含量较CK显著提高(表 1)。本研究结果表明羊粪配施木醋液可通过协同机制提升土壤养分的有效性,一方面,木醋液中含有的低分子有机酸和酚类化合物能促进铵态氮(NH4+)向硝态氮(NO3–)的转化过程;同时,其有机酸组分通过络合固定态金属离子的螯合作用,有效促进土壤中难溶性磷、钾的释放,并显著提高有效磷和速效钾含量[23]。另一方面,羊粪与木醋液协同作用可显著增加土壤有效养分浓度,从而提升氮、磷、钾的有效性,前人的研究结果[12]也证明了这一点。而各处理间pH差异较小(表 1),这与前人研究结果不一致,这可能与试验年限、土壤缓冲能力及试验材料投入量存在一定差异有关。
植物体内的抗氧化物酶类及碳氮代谢相关物质是衡量抗逆性的重要指标。Ma等[10]发现,施用木醋液降低了盐胁迫下油菜的氧化应激水平和膜脂过氧化程度,同时提高了抗氧化酶活性;也有研究[24]表明,盐碱土施入羊粪增加了红心火龙果的总可溶性糖和氨基酸含量。本研究结果与上述研究结论相似,与CK、T0、T1相比,T2的可溶性糖含量和SOD活性在灌浆前、中、后期显著提高,可溶性蛋白含量和POD活性在灌浆前、中期显著提高,游离氨基酸含量在灌浆前期显著提高,T2的超氧阴离子自由基在三个时期较T0、T1显著降低(图 2)。本研究表明,T2减轻了盐碱胁迫对冬小麦产生的渗透胁迫及离子毒害,显著提高了其抗氧化酶活性,延缓了灌浆中后期叶片衰老(图 3)。
气孔承担着与外界进行气体交换的关键任务,逆境时,植物会改变气孔开度来适应环境,而施加外源物质可调节气孔特征。Zhang等[25]发现,干旱条件下,褪黑素可显著提高小麦气孔保卫细胞长度、气孔孔径长度;张欢玲等[26]发现,在高温强光胁迫下,小麦叶片受到刺激关闭气孔,而外源水杨酸能够诱导气孔张开。本研究结果与上述研究相似,T2的气孔长度和宽度较CK、T0显著提高,T2的气孔周长和气孔面积较T0、T1显著提高,T1、T2、T3的气孔开度较CK显著提高(表 2)。该结论表明羊粪配施适宜木醋液用量可显著提高盐碱障碍粮田冬小麦叶片气孔与外界环境的交换能力。
有机物料富含有机质和多种营养元素,具有培肥改土、促进植株养分吸收的作用。Dubey等[21]研究表明,施用羊粪显著增加了芥菜氮、磷、钾含量。张玉凤等[27]研究表明,与喷施叶面肥相比,喷施木醋液显著提高了小麦籽粒氮、磷、钾含量。本研究结果与上述研究基本相似,在两个生长季,T2的籽粒和颖壳氮含量较CK显著提高,T2的籽粒和茎叶氮、磷、钾累积量较CK、T0显著提高,T2的氮磷钾总累积量较CK、T0、T1显著提高(图 5)。上述结果表明,羊粪配施540 kg·hm-2木醋液,提高了冬小麦对营养元素的吸收利用,为减轻植株受盐胁迫伤害提供了充足的氮、磷、钾养分。
Sun等[28]研究表明,腐植酸、尿素配施木醋液,使盐碱地小麦增产44.3%。常青等[29]盆栽试验表明,灌施稀释倍数小于10倍的木醋液,会对茄子产生毒害作用,稀释50倍~200倍时,能够促进茄子生长,若进一步增大稀释倍数,促进效果就不再显著;Zhao等[30]发现,生物质炭配施1 200 kg·hm–2木醋液显著提高了苏打盐碱地水稻百粒重。在本试验条件下,穗粒数和千粒重处理间均无显著差异(表 3),与CK相比,羊粪配施木醋液处理的冬小麦穗数和产量均显著提高,其中T2提升幅度优于其他处理,但T2和T3的穗数和产量差异不明显(表 3),该结果表明羊粪配施540 kg·hm–2木醋液通过正向调控单位面积穗数提高产量。这可能是适量木醋液中有机酸、酚类、酮类等物质含量及其占比在促进作物生长、增加植株抗逆能力、改善土壤环境等方面具有复合调节效应[11]。这与Lashari等[19]发现生物质炭鸡粪堆肥与木醋液配施提高小麦千粒重,实现增产的结果不同,且木醋液最佳用量与本研究也存在差异,可能与不同有机物料的叠加效应、试验的生态环境、盆栽与大田试验可调控因素、肥料种类及品种特性等因素有关。
4 结论两年试验表明,在施用27 t·hm–2羊粪的基础上配施540 kg·hm–2木醋液,显著降低了0~20 cm土层土壤容重、EC,显著增加了土壤速效养分含量,冬小麦体内碳氮代谢及抗氧化酶活性明显提高,减少了膜脂过氧化损伤,促进了冬小麦对营养物质的吸收积累,通过增加单位面积穗数实现小麦增产,两年木醋液最佳用量模拟范围为535.46~551.03 kg·hm–2。该结果可为羊粪配施木醋液对河北低平原盐碱土壤改良和提高冬小麦生产力提供理论依据和技术参考,但本研究仅是两年的试验结果,连续多年羊粪配施木醋液对该区盐碱土壤障碍消减及冬小麦生长带来何种影响,仍需进一步研究。
| [1] |
Yang J S, Yao R J, Wang X P, et al. Prevent soil salinization and enhance soil productivity (In Chinese)[J]. Science, 2021, 73(6): 30-34. [杨劲松, 姚荣江, 王相平, 等. 防止土壤盐渍化, 提高土壤生产力[J]. 科学, 2021, 73(6): 30-34.]
( 0) |
| [2] |
Guo K, Feng X H, Wu J W, et al. Research progress on mechanism and technology of integrated regulating on soil water, salt and fertility under fertile plough layers construction in saline-alkali soils (In Chinese)[J]. Acta Pedologica Sinica, 2024, 61(1): 29-38. DOI:10.11766/trxb202207180394 [郭凯, 封晓辉, 伍靖伟, 等. 盐碱地肥沃耕层构建水肥盐综合调控机理与技术研究进展[J]. 土壤学报, 2024, 61(1): 29-38.]
( 0) |
| [3] |
Li Y, Tian X Y, Wang Z L, et al. Effects of substitution of partial chemical fertilizers with organic fertilizers on soil improvement and wheat yield in coastal saline and alkaline land (In Chinese)[J]. Soils, 2019, 51(6): 1173-1182. [李玉, 田宪艺, 王振林, 等. 有机肥替代部分化肥对滨海盐碱地土壤改良和小麦产量的影响[J]. 土壤, 2019, 51(6): 1173-1182.]
( 0) |
| [4] |
Xie J, Shi X J, Zhang Y, et al. Improved nitrogen use efficiency, carbon sequestration and reduced environmental contamination under a gradient of manure application[J]. Soil and Tillage Research, 2022, 220: 105386. DOI:10.1016/j.still.2022.105386
( 0) |
| [5] |
Bashir R, Pastora C E. Spatial and seasonal variations of water and salt movement in the vadose zone at salt-impacted sites[J]. Water, 2018, 10(12): 1833. DOI:10.3390/w10121833
( 0) |
| [6] |
Zhang X, Wu Q F, Zhou Y, et al. Effects of organic amendments and their combination with biochar on the stability of aggregates in red soil (In Chinese)[J]. Acta Pedologica Sinica, 2025, 62(4): 1093-1102. DOI:10.11766/trxb202405180201 [张新, 邬奇峰, 周燕, 等. 有机物料单施及与生物质炭配施对红壤团聚体稳定性的影响[J]. 土壤学报, 2025, 62(4): 1093-1102.]
( 0) |
| [7] |
Zhao Y, Li S Y, Dong B W, et al. Effects of fresh sheep manure addition on the vegetation and soil characteristics of moderately saline-alkali degraded Leymus chinensis grassland (In Chinese)[J]. Chinese Journal of Grassland, 2023, 45(9): 57-65. [赵宇, 李思宇, 董博文, 等. 鲜羊粪添加对中度盐碱退化羊草草地植被及土壤特征的影响[J]. 中国草地学报, 2023, 45(9): 57-65.]
( 0) |
| [8] |
Kumar S, Rahman M, Bouket A C, et al. Unravelling the multifarious role of wood vinegar made from waste biomass in plant growth promotion, biotic stress tolerance, and sustainable agriculture[J]. Journal of Analytical and Applied Pyrolysis, 2025, 185: 106851. DOI:10.1016/j.jaap.2024.106851
( 0) |
| [9] |
Geng K, Mei D Q Z, Jiang M Y, et al. Effects of foliar spraying of wood vinegar on yield and quality of vegetables (In Chinese)[J]. Soil and Fertilizer Sciences in China, 2023(9): 160-168. [耿坤, 梅朵曲珍, 蒋梦圆, 等. 叶面喷施木醋液对蔬菜产量及品质的影响[J]. 中国土壤与肥料, 2023(9): 160-168.]
( 0) |
| [10] |
Ma J Y, Islam F, Ayyaz A, et al. Wood vinegar induces salinity tolerance by alleviating oxidative damages and protecting photosystem Ⅱ in rapeseed cultivars[J]. Industrial Crops and Products, 2022, 189: 115763. DOI:10.1016/j.indcrop.2022.115763
( 0) |
| [11] |
Zhu K M, Cheng T, Ma C K, et al. Effects of different application periods of wood vinegar on rapeseed growth and yield (In Chinese)[J]. Chinese Journal of Oil Crop Sciences, 2024, 46(2): 341-350. [朱坤淼, 程泰, 马晨坤, 等. 木醋液不同施用时期对油菜生长及产量的影响[J]. 中国油料作物学报, 2024, 46(2): 341-350.]
( 0) |
| [12] |
Zhou H J, Geng Y Q, Cong R C, et al. Effect of chicken manure co-applied with pyroligneous acid on chemical properties, enzyme activities of coastal solon-chak soils (In Chinese)[J]. Soil and Fertilizer Sciences in China, 2017(3): 157-162. [周红娟, 耿玉清, 丛日春, 等. 鸡粪与木醋液配施对滨海盐碱土化学性质和酶活性的影响[J]. 中国土壤与肥料, 2017(3): 157-162.]
( 0) |
| [13] |
Chen H N, Ma Y R, Gao Y M, et al. Response of soil metabolites, microorganisms, and Lycium barbarum yield under cover crop cultivation (In Chinese)[J]. Acta Pedologica Sinica, 2025, 62(5): 1571-1584. DOI:10.11766/trxb202410220409 [陈浩楠, 马丫然, 高亚苗, 等. 覆盖种植下土壤中代谢物-微生物及枸杞产量的响应[J]. 土壤学报, 2025, 62(5): 1571-1584.]
( 0) |
| [14] |
Wang L H, Shi J, Zhang H Z, et al. Physiological and transcriptome analyses reveal the effects of fertilization on the yield of winter wheat and on the photosynthetic performance of leaves during the flowering period[J]. Genes, 2024, 15(9): 1179. DOI:10.3390/genes15091179
( 0) |
| [15] |
Rather B A, Mir I R, Masood A, et al. Ethylene-nitrogen synergism induces tolerance to copper stress by modulating antioxidant system and nitrogen metabolism and improves photosynthetic capacity in mustard[J]. Environmental Science and Pollution Research, 2022, 29(32): 49029-49049. DOI:10.1007/s11356-022-19380-y
( 0) |
| [16] |
Yang N, Wan Q W, Li Y M, et al. Effects of exogenous spermidine on photosynthetic characteristics and gene expression of key enzymes under salt stress in tea plant (In Chinese)[J]. Acta Horticulturae Sinica, 2022, 49(2): 378-394. [杨妮, 万绮雯, 李逸民, 等. 外源亚精胺对盐胁迫下茶树光合特性及关键酶基因表达的影响[J]. 园艺学报, 2022, 49(2): 378-394.]
( 0) |
| [17] |
Chang X J, He H, Cheng L Y, et al. Combined application of chemical and organic fertilizers: Effects on yield and soil nutrients in spring wheat under drip irrigation[J]. Agronomy, 2024, 14(4): 655. DOI:10.3390/agronomy14040655
( 0) |
| [18] |
He K, He G, Wang C P, et al. Biochar amendment ameliorates soil properties and promotes Miscanthus growth in a coastal saline-alkali soil[J]. Applied Soil Ecology, 2020, 155: 103674. DOI:10.1016/j.apsoil.2020.103674
( 0) |
| [19] |
Lashari M S, Liu Y M, Li L Q, et al. Effects of amendment of biochar-manure compost in conjunction with pyroligneous solution on soil quality and wheat yield of a salt-stressed cropland from Central China Great Plain[J]. Field Crops Research, 2013, 144: 113-118. DOI:10.1016/j.fcr.2012.11.015
( 0) |
| [20] |
Qiao Y L, Tie J Z, Wang X H, et al. Comprehensive evaluation on effect of planting and breeding waste composts on the yield, nutrient utilization, and soil environment of baby cabbage[J]. Journal of Environmental Management, 2023, 341: 117941. DOI:10.1016/j.jenvman.2023.117941
( 0) |
| [21] |
Dubey R K, Dubey P K, Abhilash P C. Sustainable soil amendments for improving the soil quality, yield and nutrient content of Brassica juncea(L.)grown in different agroecological zones of eastern Uttar Pradesh, India[J]. Soil and Tillage Research, 2019, 195: 104418. DOI:10.1016/j.still.2019.104418
( 0) |
| [22] |
Zhang W T, Xiong Y W, Li Y P, et al. Effects of organic amendment incorporation on maize(Zea mays L.)growth, yield and water-fertilizer productivity under arid conditions[J]. Agricultural Water Management, 2022, 269: 107663. DOI:10.1016/j.agwat.2022.107663
( 0) |
| [23] |
Zhou X Q, Shi A, Rensing C, et al. Wood vinegar facilitated growth and Cd/Zn phytoextraction of Sedum alfredii Hance by improving rhizosphere chemical properties and regulating bacterial community[J]. Environmental Pollution, 2022, 305: 119266. DOI:10.1016/j.envpol.2022.119266
( 0) |
| [24] |
Oliveira L M, Mendonça V, Moura E A, et al. Salt stress and organic fertilization on the growth and biochemical metabolism of Hylocereus costaricensis(red pitaya)seedlings[J]. Brazilian Journal of Biology, 2024, 84: e258476. DOI:10.1590/1519-6984.258476
( 0) |
| [25] |
Zhang Z H, Guo L, Sun H C, et al. Melatonin increases drought resistance through regulating the fine root and root hair morphology of wheat revealed with RhizoPot[J]. Agronomy, 2023, 13(7): 1881. DOI:10.3390/agronomy13071881
( 0) |
| [26] |
Zhang H L, Liu S C, Su X Y, et al. Effects of exogenous SA and DPI on the stomatal closure of wheat leaves under heat and high light stress during grain filling stage (In Chinese)[J]. Crops, 2014(3): 67-71. [张欢玲, 刘淑春, 苏小雨, 等. 外源SA和DPI对灌浆期高温强光下小麦叶片气孔开闭的影响[J]. 作物杂志, 2014(3): 67-71.]
( 0) |
| [27] |
Zhang Y F, Liu Z H, Tian S Z, et al. Effects of spraying wood vinegar and organic water-soluble fertilizer on wheat resistance to dry hot wind (In Chinese)[J]. Soil and Fertilizer Sciences in China, 2021(4): 234-240. [张玉凤, 刘兆辉, 田慎重, 等. 喷施木醋液与有机水溶肥协同对小麦抗干热风的影响[J]. 中国土壤与肥料, 2021(4): 234-240.]
( 0) |
| [28] |
Sun X M, Guo Y C, Zeng L S, et al. Combined urea humate and wood vinegar treatment enhances wheat–maize rotation system yields and nitrogen utilization efficiency through improving the quality of saline–alkali soils[J]. Journal of Soil Science and Plant Nutrition, 2021, 21(2): 1759-1770. DOI:10.1007/s42729-021-00477-1
( 0) |
| [29] |
Chang Q, Wang Y L, Yang Z P, et al. Effects of wood vinegar on soil pH, EC, and the photosynthetic characteristics of eggplant leaves and root development (In Chinese)[J]. Journal of Agricultural Resources and Environment, 2019, 36(3): 322-328. [常青, 王永亮, 杨治平, 等. 木醋液对土壤pH、EC与茄子叶片光合特性及根系发育的影响[J]. 农业资源与环境学报, 2019, 36(3): 322-328.]
( 0) |
| [30] |
Zhao W, Zhao H R, Sun X P, et al. Biochar and wood vinegar altered the composition of inorganic phosphorus bacteria community in saline-alkali soils and promoted the bioavailability of phosphorus[J]. Journal of Environmental Management, 2024, 370: 122501. DOI:10.1016/j.jenvman.2024.122501
( 0) |
2026, Vol. 63



0)