2. 南京信息工程大学雷丁学院, 南京 210044;
3. 南京信息工程大学生态与应用气象学院/江苏省农业气象重点实验室, 南京 210044
2. Reading Academy, Nanjing University of Information Science and Technology, Nanjing 210044, China;
3. Jiangsu Key Laboratory of Agricultural Meteorology, School of Ecology and Applied Meteorology, Nanjing University of Information Science and Technology, Nanjing 210044, China
土壤是农业生产的根本,对粮食生产起到至关重要的作用[1]。土壤又是一个多方位、动态且复杂的生态系统,当土壤处于健康状态时可提供多种生态服务,主要体现在保障农业生产、提供栖息地、维持健康环境等方面[2]。集约化种植使得土壤退化严重,出现了不同程度的酸化、肥力降低和土壤生物多样性降低的现象,耕地质量正在逐渐走低,情况不容乐观[3]。因此,摸清土壤状况,采取相应的措施防止土壤退化,培育健康土壤势在必行,准确可靠的土壤健康评价可对土壤退化进行早期预警。Gutierrez等[4]指出,由于不恰当的农业管理措施以及气候影响,造成欧洲60%~70%的土壤处于不健康的状态,欧盟已出台相关提案,旨在21世纪中期构建一套土壤监测体系以监测土壤健康。
选择适宜的指标是土壤健康评价工作的关键步骤,虽然将全部指标纳入评价体系可最大限度地对土壤健康状况进行精准评价,但是此举会增加大量评价成本。最小数据集是一种常用的土壤健康评价方法,崔梦婷等[5]构建了包含土壤有机质、全氮、速效钾、酸性磷酸酶、脱氢酶、过氧化氢酶和含水率的最小数据集,用于评价巢湖某湿地公园土壤健康。陈正发等[6]基于土壤管理评估框架(SMAF)对云南坡耕地耕层土壤开展了土壤健康评价,构建了包括pH、田面坡度、总孔隙度、全氮、抗剪强度在内的最小数据集。解雪峰等[7]构建了包含黏粒比例、盐分、有机质、全钾和容重这5个指标的最小数据集,然后运用优劣解距离法(TOPSIS)模型计算土壤健康指数,对滨海滩涂围垦区的土壤进行评价。以上研究结果表明,基于最小数据集的土壤健康评价具有较强的跨区域适用性。然而,传统的理化指标对不同农业管理措施带来的土壤健康影响的反映较为片面,且响应较为滞后[8],然而,生物指标受多种理化性质影响,并可迅速对土壤健康变化做出反应[9]。因此,生物指标为越来越多的研究人员所重视。吴霞等[10]通过文献计量学研究方法对土壤健康相关文献进行分析,指出以生物指标为主导的土壤健康评价工作是现如今土壤健康研究的热点。随着研究的深入与微生物组学技术的发展,将微生物指标更合理地纳入土壤健康评价体系的研究迎来了新契机。
国内外学者进行了大量的研究以发掘微生物群落信息与土壤功能之间的联系,使得微生物群落信息与土壤健康之间的联系愈发紧密,利用微生物群落指标评价土壤健康成为当前研究热点。Zheng等[11]通过高通量测序技术,将扩增子测序与定量PCR技术结合,通过微生物群落指标研究了不同轮作体系对土壤健康的影响,结果表明,复杂的轮作体系相较于单一轮作体系,微生物群落丰富度更高,而且较高的群落丰富度对土壤养分循环与土壤健康带来积极影响。来自土壤健康评价领域权威机构康奈尔大学的学者Wilhelm等[12]通过16S rDNA基因测序技术结合支持向量机与随机森林模型评估了北美农田的土壤健康,结果表明,基于16S rDNA基因测序技术结合机器学习可较好地预测土壤健康指数。Hermans等[13]通过16S rRNA基因测序确定了新西兰3 000多样点的土壤细菌群落组成,并通过细菌群落组成预测土壤健康指数,其准确率区间为50%~95%。Jia等[14]选取了17个与土壤特性相关的功能基因,经过多元回归与模型自动选择分析表明,土壤微生物功能基因解释了84.5%的玉米产量变异,并筛选出与碳、氮、磷元素循环相关性强的功能基因GH31、cbbL、B-amoA、chiA、phoC和phoD,该研究将微生物功能基因与土壤健康联系起来,指出在未来的土壤健康评估和管理中,微生物功能基因有望成为一个重要的工具。
江苏省是我国种植水稻和小麦的重要省份之一,每年稻麦轮作的面积均在200万hm2以上,年产量约占全国总产量的9%。江苏省典型稻麦轮作区域经长期实施水旱轮作制度并配合科学培肥管理,培育出广泛分布的肥沃水稻土资源。此类土壤通过长期水旱交替耕作的熟化作用,形成了适宜多种作物生长的良好理化性状,通常兼具适宜水稻与小麦生长的特性,且能实现稳产高产目标,成为该区域稻麦轮作体系可持续发展的重要土壤基础。本研究基于江苏南部稻麦轮作区野外定位试验,使用主成分分析法构建了适用于目标区域的土壤健康评价最小数据集,并对目标区域的典型稻麦轮作农田进行了土壤健康评价,同时将土壤健康指数与微生物群落指标相结合,使用随机森林模型筛选与土壤健康指数关联度高的微生物群落指标,以期为构建基于微生物群落指标的土壤健康评价体系提供参考和理论依据。
1 材料与方法 1.1 试验区概况试验区位于江苏省溧阳市国家空间基础设施南京真实性检验站(31°30′12″N,119°12′40″E)。试验区地形为丘陵,夏冬季历时长,冬冷夏热;春秋季短,春温多变,秋高气爽。全年无霜期224 d,年平均气温15.4 ℃,年降水量1 149.7 mm,雨日133 d,平均风速3.0 m·s–1,日照2 103.7 h。土壤类型为普通潜育水耕人为土,土壤基本理化性质见表 1。
|
|
表 1 试验前土壤(0~20 cm)理化性质(n=24) Table 1 Physical and chemical properties of soil(0-20 cm)before the experiment(n=24) |
本研究基于2022年开始的秸秆还田野外定位试验,试验处理包括:(1)CK,不施加氮肥+秸秆不还田;(2)CS,不施加氮肥+秸秆还田;(3)NPK,施加氮肥+秸秆不还田;(4)NS,施加氮肥+秸秆还田;(5)NHS,施加氮肥+秸秆双倍还田;(6)NBC,施加氮肥+秸秆炭化还田。各小区之间用田垄隔开,以防各小区之间相互干扰。试验采用随机区组设计,每个处理4次重复,每个小区130 m2(10 m × 13 m)。肥料用量参考当地推荐用量,小麦季氮肥(尿素)用量为250 kg·hm–2(以N计,下同),磷肥(钙镁磷肥)为100 kg·hm–2(以P2O5计,下同),钾肥(氯化钾)为100 kg·hm–2(以K2O计,下同)。其中磷肥和钾肥作为基肥施入,追肥均用尿素,基追肥质量比为5.5︰4.5。水稻季氮肥(尿素)用量为360 kg·hm–2,磷肥(钙镁磷肥)为75 kg·hm–2,钾肥(氯化钾)为120 kg·hm–2。其中磷肥和钾肥作为基肥施入,追肥均用尿素,基肥、分蘖肥、穗肥质量比为4︰4︰2。
2023年11月水稻成熟期采集土壤样品共24个,采样深度为0~20 cm。各试验田块采用梅花形布点法采集土壤,然后用四分法取部分样品装入自封袋中,最后用内置冰袋的保温箱保存运送。容重样品采用环刀法取样。从试验田中采集的样本带回实验室后,首先进行样品的分装,将一部分样品置于–80 ℃超低温冰箱中,用于微生物群落指标的测定;另一部分置于–4 ℃的冰箱中用于微生物生物量碳以及酶活性的测定;剩余土壤风干、磨碎过筛,用于测定土壤理化性质。
1.3 指标测定方法土壤理化性质的测定参照《土壤农化分析》[15]:含水率(WC)用重量法测定,pH采用电位法测定,土壤有机碳(SOC)用重铬酸钾氧化—外加热法测定,全磷(TP)采用碱熔法—钼锑抗比色法测定,有效磷(AP)采用碳酸氢钠浸提—钼锑抗比色法测定,全氮(TN)采用半微量凯氏定氮—蒸馏法测定,硝态氮(NO3–-N)与铵态氮(NH4+-N)采用氯化钾浸提—分光光度法测定,速效钾(AK)采用乙酸铵浸提—火焰光度计法测定。β-葡萄糖苷酶(β-G)采用对硝基酚比色法测定,转化酶(SUC)采用3,5-二硝基水杨酸比色法测定,脲酶(URE)采用苯酚钠-次氯酸钠比色法测定,蛋白酶(PRO)采用茚三酮比色法测定,酸性磷酸酶(ACP)采用对硝基苯磷酸二钠(PNPP)法[16]测定;微生物生物量碳(MBC)采用氯仿熏蒸提取—总有机碳分析仪(TOC)测定。各样品使用OMEGA土壤试剂盒(Omega Bio-Tek,Norcross,GA,美国)提取DNA,使用16S rRNA基因V3~V4区对细菌和18S ITS1区对真菌进行分类。并在Illumina NovaSeq平台进行测序。DNA提取、PCR扩增和测序由南京派森诺基因科技有限公司进行。所有原始测序数据已上传至国家基因库生命大数据平台(CNGBdb),存取号为CNP0007789。
1.4 土壤健康评价方法采用主成分分析法对全量指标集进行降维,选择特征值大于1的主成分,保留每个主成分中载荷值大于0.5的指标,再结合综合载荷值(Norm),剔除每组最高Norm值10%以外的指标,最后对指标进行相关性分析,若两指标相关性大于0.6,保留Norm值大的指标[17-18]。Norm值计算公式:
| $ \operatorname{Norm}_{i k}=\sqrt{ } \sum\limits_l^k\left(u_{i k}^2 \times \lambda_k\right) $ | (1) |
式中,Normik表示第i个指标在特征值不小于1的前k个主成分上的综合载荷值;uik表示第i个指标在第k个主成分上的载荷值;λk表示第k个主成分的特征值。
对指标进行归一化,采用隶属函数符合升型S函数的指标在一定范围内与土壤健康呈正相关,即越多越好。本研究中的该类型指标为有机碳、微生物生物量碳、全磷、有效磷、全氮、硝态氮、铵态氮、速效钾、转化酶、脲酶、酸性磷酸酶、β-葡萄糖苷酶、蛋白酶等,其函数表达式为:
| $ f(x) = \left\{ \begin{gathered} \;\;\;\;\;\;\;\;\;\;0.1\;\;\;\;\;\;\;\;\;\;\;\;\;\;\;x \leqslant {x_1} \hfill \\ \frac{{0.9(x - {x_1})}}{{{x_2} - {x_1}}} + 0.1\;\;\;\;{x_1} < x < {x_2} \hfill \\ \;\;\;\;\;\;\;\;\;\;\;1\;\;\;\;\;\;\;\;\;\;\;\;\;\;\;\;{x_1} \geqslant {x_2} \hfill \\ \end{gathered} \right.\;\;\;\; $ | (2) |
式中,x1为指标阈值的最小值,x2为指标阈值的最大值,下同。
符合降型S函数的指标在一定范围内与土壤健康呈负相关,指标数值越小对土壤健康的正向贡献率越高,即越少越好,降型S函数的表达式为:
| $ f(x) = \left\{ \begin{gathered} \;\;\;\;\;\;\;\;\;\;1\;\;\;\;\;\;\;\;\;\;\;\;\;\;\;\;\;\;x \leqslant {x_1} \hfill \\ \frac{{0.9(x - {x_2})}}{{{x_2} - {x_1}}} + 0.1\;\;\;\;{x_1} < x < {x_2} \hfill \\ \;\;\;\;\;\;\;\;\;0.1\;\;\;\;\;\;\;\;\;\;\;\;\;\;\;\;{x_1} \geqslant {x_2} \hfill \\ \end{gathered} \right.\;\;\;\; $ | (3) |
符合抛物线型函数的指标在某中间范围内对土壤健康起到正向作用,指标过高或者过低均会对土壤健康造成不利影响,即适量就好,本研究中的容重、pH、含水率均属于此类指标,抛物线型函数表达式为:
| $ f(x)=\left\{\begin{array}{cc} \frac{0.9\left(x_4-x\right)}{x_4-x_3}+0.1 & x_3 \leqslant x<x_4 \\ 1.0 & x_2<x<x_3 \\ \frac{0.9\left(x-x_1\right)}{x_2-x_1}+0.1 & x_1 \leqslant x \leqslant x_2 \\ 0.1 & x \leqslant x_1 ; x \geqslant x_2 \end{array}\right. $ | (4) |
式中,x3为指标适宜范围的下临界点,x4为指标适宜范围的上临界点。
指标权重采用公因子方差法计算,公因子方差表示某一变量被提取出的信息对主成分的解释程度,各指标权重为该指标的公因子方差所占最小数据集中所有指标公因子方差和的比重[19]:
| $ {W_i} = \frac{{{C_i}}}{C} $ | (5) |
式中,Wi是第i个指标的权重,Ci为第i个指标由主成分分析法提取出的公因子方差,C是最小数据集中所有指标的公因子方差总和。
对以上各项评价指标的隶属度与权重加权求和,计算出土壤健康指数(SHI)[19]:
| $ {\text{SHI}} = \sum\limits_{i = 1}^n {{W_i} \times f({x_i})} $ | (6) |
以基于主成分分析的土壤健康指数作为因变量,所选取的微生物群落指标作为自变量,通过随机森林模型计算微生物群落指标的均方误差增加百分比(Increase in MSE(%))。特征重要性的计算通过R软件中random forest包完成,并利用rfPermute包进行显著性的计算并标记。
1.6 数据处理试验数据通过Excel 2019进行初步整理,采用SPSS 26对数据进行描述性统计分析、主成分分析与显著性分析,其中显著性检验采用单因素方差分析及最小显著性差异法(LSD)检验。柱状图、箱线图、条形图与相关性热图均由Origin 2022软件绘制。
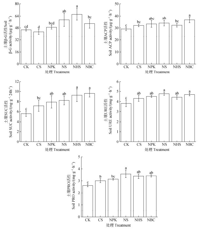
2 结果与讨论 2.1 不同处理对土壤性质的影响不同处理对土壤理化性质的影响如表 2所示,酶活性如图 1所示。结果表明,氮肥施加可显著提高土壤有机碳、全氮、硝态氮、铵态氮含量,提高土壤脲酶活性。秸秆还田可提高土壤保水能力,提高土壤有机碳、全氮、微生物生物量碳含量,以及土壤蛋白酶活性。双倍秸秆还田(NHS)较单倍秸秆还田(NS)显著提高土壤微生物生物量碳含量。秸秆炭化还田可增加土壤有效磷含量,但微生物生物量碳含量略有降低。
|
|
表 2 不同处理对水稻季土壤理化性质的影响 Table 2 Effect of different treatments on the physicochemical properties of soils in the rice season |
|
注:β-G:β-葡萄糖苷酶;SUC:转化酶;URE:脲酶;PRO:蛋白酶;ACP:酸性磷酸酶。不同小写字母表示不同处理间差异显著(P < 0.05)。下同。 Note: β-G: β-Glucosidase; SUC: Sucrase; URE: Urease; PRO: Protease; ACP: Acid phosphatase. Different lowercase letters indicate significant differences among different treatments(P < 0.05). The same below. 图 1 不同处理对土壤酶活性的影响 Fig. 1 Effects of different treatments on soil enzyme activities |
土壤健康评级指标主成分分析结果如表 3所示,在对全量数据集进行主成分分析以后,共有5个特征值大于1的主成分,且方差百分比均大于5%,提取出的5个主成分累计方差贡献率达到了84.09%,表明5个主成分可较大程度上解释土壤健康情况。在主成分1中,SUC、TN、pH的载荷均超过0.5,分在第一组里;在主成分2中,PRO、URE、MBC、BD与TP的载荷超过0.5,划分至第二组里;在主成分3中,AP、WC的载荷超过0.5,划分至第三组里;主成分4中包含ACP;主成分5中包含NO3–-N。此外,AK在主成分1与主成分2中载荷值均大于0.5,因其在主成分1中载荷值较大,故将其划分至第一组中,同理,将β-G与NO4+-N划分至第一组,SOC划分至第五组。
|
|
表 3 不同处理下最小数据集指标隶属度及土壤健康状况 Table 3 Membership degree of the minimum data set index and soil health index under different treatments |
在每组中选取最高Norm值前10%范围内的指标,第一组中最高Norm值为SUC(1.897),前10%范围为1.707~1.897,因此第一组中保留SUC、TN与AK;第二组中最高Norm值为URE(1.734),前10%范围为1.561~1.734,因此第二组保留URE与PRO;第三组中最高Norm值为AP(1.395),前10%范围为1.256~1.395,因此第三组中的AP与WC保留;第四组中仅有ACP,故保留;第五组中最高Norm值为SOC(1.564),前10%范围为1.408~1.564,因此第五组中的SOC保留。
为进一步减少冗余,对仍保留的指标进行相关性分析。第一组中SUC与TN相关系数为0.81,呈极显著相关(P < 0.001),保留Norm值较大的SUC;第二组中的URE与PRO的相关系数为0.7,呈显著性相关(P < 0.05),且URE的Norm值(1.734)大于PRO的Norm值(1.651),因此第二组保留URE。同理,第三组中保留Norm值较大的AP;第五组保留Norm值较大的SOC。经过主成分分析结合Norm值以及相关系数分析,最终确定土壤健康评价最小数据集为:SUC、SOC、AK、AP、URE。根据李鑫等[20]对最小数据集指标使用频率的总结,本研究通过主成分分析结合Norm值构建的最小数据集中的SOC、AP、AK等指标选取频率均大于60%,URE与SUC分列微生物指标的第三、四位,表明本研究构建的最小数据集具有较好的代表性。
根据主成分分析法提取各指标公因子方差,提取出的所有指标其公因子方差均在0.8以上,其中SOC为0.941,URE为0.897,AP为0.875,SUC为0.863,AK为0.829,根据各指标占总公因子方差的比重,计算出土壤健康评价最小数据集各指标所占权重。根据第二次土壤普查分级标准[21]及前人[17]研究确定指标的转折点和隶属度函数公式,对最小数据集指标进行赋值,使其转化为0~1的无量纲数值,最终结合各指标权重,对最小数据集内指标进行加权求和运算,计算出土壤健康指数,结果如表 3所示。可见,在土壤健康综合评价中,土壤健康指数最高的是NS与NBC处理,其次是NHS处理,CK处理的土壤健康指数最低,其中NBC、NHS与NS的健康等级为较健康,NPK与CS为亚健康,CK为较不健康。秸秆还田可改善土壤健康状况,提升土壤健康指数,NS与NHS处理相较于NPK处理土壤健康指数分别提高了19.85%与14.45%,CS的土壤健康指数相较于CK提升了16.49%。氮肥的施加也一定程度上改善了土壤健康状况,NPK相较于CK,NS相较于CS土壤健康指数分别提升了37.37%和47.12%,且秸秆炭化还田与直接还田无明显差异。本研究发现,秸秆还田与氮肥施加均可提高土壤健康指数,这与Liu等[22]与Wang等[23]研究一致,秸秆还田后通过改善土壤物理结构,增强微生物活性,从而加快秸秆腐解,增加土壤养分,从物理、化学与生物三条渠道提高土壤健康指数;而氮肥施加减轻了微生物与作物对氮的竞争,提高微生物活性,增强养分循环强度,从而提高土壤健康状况。在本研究中,秸秆炭化还田对土壤健康是一个持续积极的作用。前人研究表明,秸秆炭化还田对产量提升效果很小甚至产生不利影响[24-25],但生物质炭更多地作为一种生物改良剂,因其拥有多孔结构与大量的表面官能团,能够改善微生物群落结构,从而影响土壤健康[26-27],对土壤健康状况起到正向作用。此外,秸秆炭化还田的土壤各指标整体变化幅度较小,说明秸秆炭化还田增强了土壤的抗逆性,可有效减弱某些人为因素或非人为因素对土壤健康造成的影响[28]。秸秆过量还田相对于常量还田降低了土壤健康指数,并非最佳选择,研究表明,过量秸秆还田会导致过量的碳还田,造成土壤碳和其他养分失衡[29],降低土壤pH[30],影响土壤微生物群落,从而降低作物产量,对土壤健康造成负面影响。
2.3 不同处理对土壤微生物群落的影响本研究中不同处理对土壤细菌门水平物种组成相对丰度的影响见图 2a,排名前10的菌门分别为变形菌门(Proteobacteria)、绿弯菌门(Chloroflexi)、酸杆菌门(Acidobacteriota)、芽单孢菌门(Gemmatimonadota)、黏球菌门(Myxococcota)、放线菌门(Actinobacteriota)、硝化螺旋菌(Nitrospirota)、NC10(Methylomirabilota)、脱硫杆菌门(Desulfobacterota)、疣微菌门(Verrucomicrobiota)。不同处理对土壤真菌门水平物种组成相对丰度的影响见图 2b,其中优势菌门为子囊菌门(Ascomycota)、担子菌门(Basidiomycota)、被孢霉门(Mortierellomycota)和罗兹菌门(Rozellomycota)。
|
图 2 不同处理对土壤细菌(a)和真菌(b)门水平物种相对丰度的影响 Fig. 2 Effect of different treatments on the relative abundance of bacterial community(a)and fungal community(b)at the phylum level |
不同处理对真菌群落α多样性指数的影响相较于细菌群落更加显著(图 3)。氮肥施加降低了真菌群落的多样性与丰富度,与CK相比,NPK处理的真菌Chao1指数显著降低了67.79%(P < 0.05)。秸秆还田可改善氮肥施加带来的群落多样性降低问题,与NPK相比,NS处理显著提高26.32%(P < 0.05)。与NS相比,NBC处理的真菌Chao1指数显著升高了167.53%,香农(Shannon)指数显著提高了59.16%,均匀度(Pielou_e)指数提高了27.29%。这与王萍等[31]的研究结果相似。在细菌群落中,尽管单独施用氮肥亦会降低其多样性,但秸秆还田并未出现如真菌群落中的抑制效应,反而有助于维持其多样性水平。此外,在施加氮肥的背景下,秸秆还田对真菌与细菌群落的影响呈现不同趋势,具体表现为:真菌多样性降低,而细菌多样性并未发生显著变化,该差异可能与试验周期较短、秸秆未能充分分解,从而干扰微生物代谢过程有关[32]。
|
图 3 不同处理对土壤细菌(a)和真菌(b)群落多样性指数的影响 Fig. 3 Effect of different treatments on alpha diversity indices of bacterial community(a)and fungal community(b) |
根据PICRUSt 2对土壤微生物功能在京都基因与基因组百科全书数据库(KEGG)通路第四层级上的预测结果,不同施肥与秸秆管理措施对土壤碳、氮、磷、硫循环相关功能基因相对丰度的影响如图 4所示。在碳循环方面,与固碳相关的基因如rbcL(编码RuBisCO)和acsB(编码乙酰辅酶A合成酶)在单施氮肥(NPK)处理下受到影响,该表现在acsB基因中更为显著,同时秸秆还田(NS)则能够提高acsB丰度,双倍秸秆还田能够提高rbcL丰度,说明秸秆输入有助于增强微生物固碳潜力。半纤维素降解基因endo相对丰度在秸秆还田处理中普遍上升,秸秆炭化还田(NBC)对endo丰度具有一定抑制效应,但并不显著。氮循环相关基因对不同管理措施响应明显,硝化作用关键基因amoA在秸秆还田和炭化还田配施氮肥处理中均显著降低,而反硝化相关基因nosZ(氧化亚氮还原酶)在NBC处理中丰度最高,提示生物质炭可能有助于减弱硝化作用并促进N2O还原。秸秆炭化还田(NBC)相较于单施氮肥(NPK)显著提高了同化硝酸盐还原酶基因nasA丰度,表明其在促进氮同化过程中的潜在作用。在磷循环方面,秸秆炭化处理(NBC)显著提高了有机磷矿化相关基因appA和磷调控基因phoB的丰度,表明生物质炭输入可能增强土壤磷活化和调控能力。硫循环相关基因中,氮肥显著抑制了硫还原基因aprA,但双倍秸秆还田(NHS)与秸秆炭化还田(NBC)可缓解氮肥施加带来的抑制效果;秸秆还田配施氮肥还提高了硫氧化基因soxA的相对丰度,秸秆炭化还田(NBC)相较于单施氮肥(NPK)提高了同化硫酸盐还原基因cysN的丰度,说明秸秆还田可促进硫的氧化与同化过程,优化硫养分循环。
|
注:相同基因的图柱上不同小写字母表示不同处理间差异显著(P < 0.05)。 Note: Different lowercase letters on the columns of the same gene indicate significant differences among different treatments(P < 0.05). 图 4 不同处理对土壤养分循环功能基因相对丰度的影响 Fig. 4 Effect of different treatments on the relative abundance of functional genes related to soil nutrient cycling |
综上所述,不同施肥与秸秆还田方式显著调控了土壤微生物在碳固定、有机质降解、硝化/反硝化、磷活化及硫转化等多个方面的功能潜力。总体而言,秸秆还田,尤其是秸秆炭化还田,在促进氮素同化、减少温室气体排放以及增强磷、硫活化方面表现出积极效应,而单施氮肥则在一定程度上抑制了土壤碳、硫循环相关微生物功能。
2.4 土壤健康评价微生物指标筛选对微生物群落物种组成、多样性及基于KEGG预测功能基因丰度等所有指标进行特征重要性计算并排序,选取了均方误差为正的指标,筛选结果如图 5所示。可以发现,将所有微生物群落指标通过随机森林模型进行特征重要性排序,其中均方误差较高且具有显著性的微生物群落指标为:rbcL、nosZ、uerC与soxA等功能基因丰度;多样性指数中有细菌群落Chao1指数与真菌群落Shannon指数;真菌物种组成指标有真菌被孢霉门(Mortierellomycota);细菌物种组成中的螺旋体门(Spirochaetota)与放线菌门(Actinobacteriota)。将筛选出的微生物群落指标,参照土壤健康评价方法,将其转化为0~1无量纲数值。各指标权重为其均方误差占筛选出的指标的总均方误差值的比重。各指标权重与指标隶属度如表 4所示。本研究中养分循环相关功能基因中筛选出了rbcL基因作为土壤健康评价微生物指标,这与Jia等[14]研究结果一致(cbbL与rbcL均为二磷酸核酮糖羧化酶的编码基因,功能相同,可互相替代使用),表明rbcL与土壤碳循环关联性较强,可用来表征土壤健康情况。被孢霉菌是一类腐生真菌,研究表明,接种被孢霉菌株(高山被孢霉(Mortierella alpina)和长孢被孢霉(Mortierella elongata))可显著提高土壤碳、氮、磷的含量以及碳、磷循环相关酶的活性[33],与多种土壤性质相关,可表征土壤健康状况。
|
注 Note: *: P≤0.05;**: P≤0.01。 图 5 微生物群落指标特征重要性 Fig. 5 Characteristic importance of microbial community indicators |
|
|
表 4 微生物群落指标隶属值及权重 Table 4 Affiliation values and weighting of microbial community indicators |
通过计算得到微生物群落指标隶属值与其权重,进行加权求和计算,得出基于随机森林的土壤健康指数(RF-SHI),并与前文基于主成分分析计算出的土壤健康指数(PCA-SHI)进行对比,结果如表 5所示。其中RF-SHI最高值为NBC的0.623,然后是NS的0.569,最低的是CK的0.367。可见,RF-SHI在数值上相较于PCA-SHI均出现不同程度降低,但整体排名变化不明显,仅NBC与NS的排名发生了变化,可以较好地反映土壤健康状况。在PCA-SHI中NBC与NS基本持平,但RF-SHI中NBC超过了NS。由此可见,应用本研究筛选出的微生物指标也可较好地评价土壤健康状况。
|
|
表 5 两种土壤健康评价方法结果对比 Table 5 Comparison of the results of two soil health assessment methods |
本研究以江苏南部稻麦轮作区土壤为研究对象,测定了物理、化学及生物指标,构建了符合研究区实际情况的土壤健康评价体系,并进行土壤健康评价。基于评价结果,通过随机森林模型计算微生物群落指标的特征重要性,筛选出与土壤健康关联度高的微生物群落指标,得到的主要结论如下:(1)基于主成分分析筛选出的水稻季土壤健康评价最小数据集及权重为有机碳(0.213)、速效钾(0.188)、有效磷(0.199)、脲酶(0.204)、转化酶(0.196)。水稻季土壤健康指数排名为:NS > NBC > NHS > NPK > CS > CK,其中NHS、NS、NBC的土壤健康状况为较健康,NPK、CS处理为亚健康,CK处理为较不健康。(2)利用随机森林模型进行微生物群落指标筛选,筛选出细菌门水平物种组成指标为:螺旋体门(Spirochaetota)、放线菌门(Actinobacteriota);真菌水平门水平物种组成指标仅有被孢霉门(Mortierellomycota);α多样性指数指标为细菌Chao1指数与真菌Shannon指数;群落功能指标为rbcL、nosZ、ureC与soxA。基于筛选出的微生物群落指标进行土壤健康评价,评价结果与基于主成分分析法基本一致,可以较好地反映土壤健康状况。
| [1] |
Su H, Yang Z H, Liu Z Y, et al. Applicability of soil health assessment dominated by biological indicators in facility agriculture[J]. Science of the Total Environment, 2024, 957: 177346. DOI:10.1016/j.scitotenv.2024.177346
( 0) |
| [2] |
Creamer R E, Barel J M, Bongiorno G, et al. The life of soils: Integrating the who and how of multifunctionality[J]. Soil Biology & Biochemistry, 2022, 166: 108561.
( 0) |
| [3] |
Li K L, Wang C. Multiple soil quality assessment methods for evaluating effects of organic fertilization in wheat-maize rotation system[J]. European Journal of Agronomy, 2023, 150: 126929. DOI:10.1016/j.eja.2023.126929
( 0) |
| [4] |
Gutierrez S, Greve M H, Møller A B, et al. A systematic benchmarking framework for future assessments of soil health: An example from Denmark[J]. Journal of Environmental Management, 2024, 366: 121882. DOI:10.1016/j.jenvman.2024.121882
( 0) |
| [5] |
Cui M T, Liu X, Wu J L, et al. Assessment of soil quality based on revised minimum data set: A case study of Chaohu Lakeshore National Wetland Park, Hefei, Anhui Province (In Chinese)[J]. Earth and Environment, 2024, 52(1): 41-52. [崔梦婷, 刘璇, 吴继龙, 等. 基于修订的最小数据集的土壤质量评价—以安徽合肥巢湖湖滨国家湿地公园为例[J]. 地球与环境, 2024, 52(1): 41-52.]
( 0) |
| [6] |
Chen Z F, Shi D M, Jin H F, et al. Evaluation on cultivated-layer soil quality of sloping farmland in Yunnan based on soil management assessment framework(SMAF) (In Chinese)[J]. Transactions of the Chinese Society of Agricultural Engineering, 2019, 35(3): 256-267. [陈正发, 史东梅, 金慧芳, 等. 基于土壤管理评估框架的云南坡耕地耕层土壤质量评价[J]. 农业工程学报, 2019, 35(3): 256-267.]
( 0) |
| [7] |
Xie X F, Pu L J, Zhu M, et al. Assessment of soil quality in coastal tidal flat reclamation areas based on MDS-TOPSIS model (In Chinese)[J]. Environmental Science, 2019, 40(12): 5484-5492. [解雪峰, 濮励杰, 朱明, 等. 基于MDS与TOPSIS模型的滨海滩涂围垦区土壤质量评价[J]. 环境科学, 2019, 40(12): 5484-5492.]
( 0) |
| [8] |
Li X Z, Luo Y M, Hou D Y. The indicators, framework and procedures for soil health: A critical review (In Chinese)[J]. Acta Pedologica Sinica, 2022, 59(3): 617-624. DOI:10.11766/trxb202105240270 [李烜桢, 骆永明, 侯德义. 土壤健康评估指标、框架及程序研究进展[J]. 土壤学报, 2022, 59(3): 617-624.]
( 0) |
| [9] |
Lehmann J, Bossio D A, Kögel-Knabner I, et al. The concept and future prospects of soil health[J]. Nature Reviews Earth & Environment, 2020, 1(10): 544-553.
( 0) |
| [10] |
Wu X, Cai J J, Lei J Y, et al. Visual analysis of research progress in soil health assessment based on bibliometric (In Chinese)[J]. Soils, 2023, 55(3): 647-657. [吴霞, 蔡进军, 雷金银, 等. 基于文献计量的土壤健康评价研究进展可视化分析[J]. 土壤, 2023, 55(3): 647-657.]
( 0) |
| [11] |
Zheng B X, Zhu Y G, Sardans J, et al. QMEC: A tool for high-throughput quantitative assessment of microbial functional potential in C, N, P, and S biogeochemical cycling[J]. Science China Life Sciences, 2018, 61(12): 1451-1462. DOI:10.1007/s11427-018-9364-7
( 0) |
| [12] |
Wilhelm R C, van Es H M, Buckley D H. Predicting measures of soil health using the microbiome and supervised machine learning[J]. Soil Biology & Biochemistry, 2022, 164: 108472.
( 0) |
| [13] |
Hermans S M, Buckley H L, Case B S, et al. Using soil bacterial communities to predict physico-chemical variables and soil quality[J]. Microbiome, 2020, 8: 79. DOI:10.1186/s40168-020-00858-1
( 0) |
| [14] |
Jia J Y, de Goede R, Li Y Z, et al. Unlocking soil health: Are microbial functional genes effective indicators?[J]. Soil Biology & Biochemistry, 2025, 204: 109768.
( 0) |
| [15] |
Bao S D. Soil and agricultural chemistry analysis (In Chinese). 3rd ed[M]. Beijing: China Agriculture Press, 2000. [鲍士旦. 土壤农化分析[M]. 3版. 北京: 中国农业出版社, 2000.]
( 0) |
| [16] |
Guan S Y. Soil enzyme and its research method (In Chinese). Beijing: Agriculture Press, 1986. [关松荫. 土壤酶及其研究法[M]. 北京: 农业出版社, 1986.]
( 0) |
| [17] |
Liu X J, Qiao G Y, Guo F H, et al. Evaluation and obstacle analysis of cultivated horizon soil quality based on MDS in the dry farming areas of Huang-Huai-Hai Region (In Chinese)[J]. Transactions of the Chinese Society of Agricultural Engineering, 2023, 39(12): 104-113. [刘湘君, 乔冠宇, 郭丰浩, 等. 基于最小数据集的黄淮海旱作区耕层土壤质量评价及障碍分析[J]. 农业工程学报, 2023, 39(12): 104-113.]
( 0) |
| [18] |
Long L. Construction and spatial distribution characteristics of farmland soil quality index in typical black soil area[D]. Wuhan: Huazhong Agricultural University, 2023.[龙凌. 典型黑土区农田土壤质量指数构建与空间分布特性[D]. 武汉: 华中农业大学, 2023.]
( 0) |
| [19] |
Chen H R, Wang X Y, Xiang Y L, et al. Effects of different straw returning methods on soil quality and their evaluation (In Chinese)[J]. Acta Pedologica Sinica, 2025, 62(6): 1651-1664. DOI:10.11766/trxb202501150030 [陈绘融, 王小燕, 向依玲, 等. 不同秸秆还田方式对土壤质量的影响及其效应评价[J]. 土壤学报, 2025, 62(6): 1651-1664.]
( 0) |
| [20] |
Li X, Zhang W J, Wu L, et al. Advance in indicator screening and methodologies of soil quality evaluation (In Chinese)[J]. Scientia Agricultura Sinica, 2021, 54(14): 3043-3056. [李鑫, 张文菊, 邬磊, 等. 土壤质量评价指标体系的构建及评价方法[J]. 中国农业科学, 2021, 54(14): 3043-3056.]
( 0) |
| [21] |
National Soil Survey Office. China soil (In Chinese). Beijing: China Agriculture Press, 1998. [全国土壤普查办公室. 中国土壤[M]. 北京: 中国农业出版社, 1998.]
( 0) |
| [22] |
Liu C Z, Si B C, Zhao Y, et al. Drivers of soil quality and maize yield under long-term tillage and straw incorporation in Mollisols[J]. Soil and Tillage Research, 2025, 246: 106360. DOI:10.1016/j.still.2024.106360
( 0) |
| [23] |
Wang C L, Ma Y Q, He W H, et al. Soil quality and ecosystem multifunctionality after 13-year of organic and nitrogen fertilization[J]. Science of the Total Environment, 2024, 931: 172789. DOI:10.1016/j.scitotenv.2024.172789
( 0) |
| [24] |
Zhang X T, Feng X Y, Chai N, et al. Biochar effects on crop yield variability[J]. Field Crops Research, 2024, 316: 109518. DOI:10.1016/j.fcr.2024.109518
( 0) |
| [25] |
Gelardi D L, Lazicki P A, Rath D, et al. Three-year field trials with seven biochars reveal minor changes in soil chemical properties but no impact on crop yield[J]. Field Crops Research, 2025, 325: 109807. DOI:10.1016/j.fcr.2025.109807
( 0) |
| [26] |
Liu C, Tian J, Chen L, et al. Biochar boosted high oleic peanut production with enhanced root development and biological N fixation by diazotrophs in a sand-loamy Primisol[J]. Science of the Total Environment, 2024, 932: 173061. DOI:10.1016/j.scitotenv.2024.173061
( 0) |
| [27] |
Xu Z C, Zhou R, Xu G R. Global analysis on potential effects of biochar on crop yields and soil quality[J]. Soil Ecology Letters, 2025, 7: 240267. DOI:10.1007/s42832-024-0267-x
( 0) |
| [28] |
Chi W C, Nan Q, Liu Y X, et al. Stress resistance enhancing with biochar application and promotion on crop growth[J]. Biochar, 2024, 6: 43. DOI:10.1007/s42773-024-00336-z
( 0) |
| [29] |
Wang L, Wang E L, Chen G Q, et al. Optimizing straw return to enhance grain production and approach carbon neutrality in the intensive cropping systems[J]. Soil and Tillage Research, 2025, 248: 106447. DOI:10.1016/j.still.2025.106447
( 0) |
| [30] |
Liang F, Li B Z, Vogt R D, et al. Straw return exacerbates soil acidification in major Chinese croplands[J]. Resources, Conservation and Recycling, 2023, 198: 107176. DOI:10.1016/j.resconrec.2023.107176
( 0) |
| [31] |
Wang P, Dong J X, Xia L L, et al. Effects of straw carbon types on fungal community characteristics in soil aggregates (In Chinese)[J]. Acta Pedologica Sinica, 2024, 61(6): 1714-1728. DOI:10.11766/trxb202309250398 [王萍, 董建新, 夏龙龙, 等. 秸秆碳类型对土壤团聚体真菌群落特征的影响[J]. 土壤学报, 2024, 61(6): 1714-1728.]
( 0) |
| [32] |
Qiu C, Han X Z, Lu X C, et al. Effects of maize straw returning on functional diversity of microbial communities in black soil (In Chinese)[J]. Chinese Journal of Ecology, 2022, 41(2): 287-293. [邱琛, 韩晓增, 陆欣春, 等. 玉米秸秆还田对黑土微生物群落功能多样性的影响[J]. 生态学杂志, 2022, 41(2): 287-293.]
( 0) |
| [33] |
Ning Q, Chen L, Li F, et al. Effects of Mortierella on nutrient availability and straw decomposition in soil (In Chinese)[J]. Acta Pedologica Sinica, 2022, 59(1): 206-217. DOI:10.11766/trxb202006020213 [宁琪, 陈林, 李芳, 等. 被孢霉对土壤养分有效性和秸秆降解的影响[J]. 土壤学报, 2022, 59(1): 206-217.]
( 0) |
2026, Vol. 63



0)