2. 云南农业大学机电工程学院, 昆明 650201;
3. 云南农业大学资源与环境学院, 昆明 650201
2. College of Mechanical and Electrical Engineering, Yunnan Agricultural University, Kunming 650201, China;
3. College of Resources and Environment, Yunnan Agricultural University, Kunming 650201, China
云南省坡耕地面积为472.55万hm2,占耕地面积的69.79%,平均坡度为15.62°,主要土壤类型为红壤、赤红壤和紫色土[1]。坡耕地水土流失严重,是生态退化的敏感区域。前人研究表明,植被根系固土能力在水土保持中的作用显著[2-3],植物根系通过其加筋效应,增加土壤颗粒与根表面之间的摩擦力、土粒之间的黏聚力来增大土壤抗剪强度以发挥固土抗蚀效应,其值越大,土壤抵抗径流剪切破坏能力越强,从而减缓土壤侵蚀的发生[4-5]。
土体抗剪强度的测定方法主要有原位剪切试验[6]、直剪试验[7]、三轴压缩试验[8]和无侧限压缩试验[9]。前人用不同方法研究了根系特征与抗剪强度的关系。Comino和Druetta [10]通过原位剪切试验得出草本植物根系在破坏面的根面积比、根系抗拉强度与土体抗剪强度均呈正相关关系;Hu等[11]对灌木根系重塑土进行三轴压缩实验,认为根土复合体的黏聚力显著高于不含根土体(以下简称素土);刘秀萍等[8]用三轴压缩试验验证了林木根系能显著增强土体抗剪强度,且根系直径、分布方式影响土体抗剪强度;无侧限压缩试验是反映加筋土力学特性的重要试验方法[12],由于试样侧面不受限制,其破坏面发生在土体的最薄弱面[13]。该试验相当于围压σ3=0时的三轴压缩试验[14],三轴压缩试验需要使土样在不同围压下压缩破坏得出库伦曲线,而多数一年生草本植物根系,如玉米和大豆根系主要分布于0~20 cm浅层土体[15-17],该范围土体所受围压很小,可以忽略不计[18],因此无侧限压缩试验更适用于研究浅层土体的抗剪强度,但相对前述三种方法,将它运用于根系固土的研究较少。该试验同样以Mohr-Coulomb理论为依据,将土体摩擦强度包含在了黏聚力中,最终抗剪强度全部以黏聚力c的形式表现,抗剪强度增量Δτ近似于黏聚力增量Δc[19]。因此,从无侧限压缩试验得出的Δc可以有效反应浅层土体内根系的固土能力。
如前述,现有根系固土研究多集中于林木、灌木和草本植物,对坡耕地上农作物根系固土效应的研究鲜有报道。而云南省滇中地区坡耕地面积占总耕地面积的61.14%,其中坡度为8°~15°的坡耕地在总坡耕地面积中占比最大,约为37.97%,土壤类型以红壤为主[1],因水土流失严重而影响其持续利用,亟待研究植被在坡耕地空间上的合理配置对于改善水土流失、维持可持续农业生产的积极效应[20]。而省内坡耕地利用中的89.4%为农作物种植,夏季以玉米、大豆等为主[21-22]。因此,本文利用无侧限压缩试验,以裸地为对照,测定了坡耕地玉米和大豆原状含根土的抗剪强度增量,用根系分析系统测定了土体内根系的分布和构型特征,研究水土流失区主要农作物根土复合体强度与根系特征参数间的关系,分析农作物根系增强土体强度的机理和不同类型的根系对土体应力应变特性的影响,以期为农作物根系固土能力的测算提供依据,为合理布局农作物种植,防治坡耕地水土流失提供参考。
1 材料与方法 1.1 研究区概况研究区位于云南省滇中地区昆明市盘龙区松华坝水源保护区内的大摆村,属典型高原山地坡耕地区域,海拔2 234m,年平均气温15℃~16℃,年降水量900~1 100 mm,且主要集中在6—9月,属亚热带季风气候区。夏季主要种植玉米和大豆,两种农作物均以单一种植为主,仅有少量间作;试验小区中心地理坐标为25°2′28.8″N,102°58′39.7″E,平均坡度为10°,土壤类型为山原红壤(质地为粉质黏土),因夏季降雨集中,水土流失严重,无植被覆盖区易形成侵蚀沟,在此进行农作物根系固土研究具有一定代表性。研究区位置示意见图 1。
|
注:红点气球所示区域为研究小区。 Note: The area shown by the red balloon is the experimental plot. 图 1 研究区位置图 Fig. 1 Location map of the study area |
经测定,试验地土壤的机械组成和基本理化性质见表 1,其中土壤颗粒粒径范围的划分按照SL237-1999《土工试验规程》[23]中《土的工程分类》执行。
|
|
表 1 供试土壤的基本特征 Table 1 Basic physical and chemical properties of the tested soil |
本次试验于2019年开展,数据显示2019年松华坝降雨量1 030 mm,平均气温15.8℃,该年度降雨量、平均气温与多年平均值接近,具有一定代表性。供试作物选用玉米(Zea mays L.)和大豆(Glycine max L.)两种云南山地主要农作物,玉米为一年生禾本科作物,须根系;大豆为一年生豆科作物,直根系;参考Yen[24]于1973年提出的根系结构类型分类方法,该分类为揭示不同根系结构对土壤加固作用提供了很好的基础[25-26],玉米根系为M型:无主根,须根发达,根系分支多而密,呈团网状分布;大豆根系为R型:有主根,侧根在各个方向均匀分布,其中倾斜根系较发达。种植品种为当地农户广泛种植的优质品种:玉米为云瑞88,大豆为滇杂7号。课题组前期的研究结果表明两种作物根系均集中分布于0~20 cm深的耕作层,其中0~10 cm的根系生物量占比最高[16]。2019年5月上旬播种,2019年9月下旬采收。
1.3 试验设计和样本采集试验设3个处理:裸地对照、玉米单作、大豆单作,每个处理3次重复,共9个小区,随机区组排列,各小区规格均为4 m×10 m,坡度为10°。试验小区设置详见图 2所示。
|
注:CK为裸地对照;MM为玉米单作(行距80 cm,株距25 cm);SS为大豆单作(行距40 cm、株距25 cm);顺坡种植,各小区规格均为4 m×10 m,坡度为10°。 Note: CK represents the treatment of bare land MM represents the treatment of mono-maize(row spacing is 80 cm, plant spacing is 25 cm); SS represents the treatment of mono- soybean(row spacing is 40 cm, plant spacing is 25 cm).Planting along the slope, the size of each plot is 4 m×10 m and the slope is 10°. 图 2 试验小区设置 Fig. 2 Layout of experimental plots |
按照当地农户常规经验种植模式确定行株距和每穴株数。采用等行距种植模式,玉米行距80 cm,株距25 cm;大豆行距40 cm,株距25 cm;后期间苗,玉米每穴留1株,大豆每穴留5株。
课题组前期研究发现两种作物根系均在成熟期达到最大生物量[15],在该阶段进行根系固土效应研究有一定代表性,因此在作物成熟期(2019年9月24日,晴天无雨),按照S型取样法,每个小区选取5株植株,切去植株地上部分后取根土复合体,共计45个样本。用专业取土器自地表沿植株中心向下取样(土样为圆柱体,d=70 mm,h=150 mm),取土深度为0~150 mm。取土器刃口锋利,可在取土过程中切断周围根系。其内部先涂一层凡士林以润滑接触面,减少取土过程对土体的扰动;土样取出后,其底部裸露根系用锋利刀片迅速切断,用保鲜膜和泡沫纸包裹土样,装入内径72.5 mm的PVC管,做好防震处理后带回实验室冷藏。
1.4 试验方法和测定项目 1.4.1 无侧限压缩试验方法试样制备:用切土器将原状含根土小心切削至要求尺寸:d=61.8 mm,h=125 mm,截面积3 000 mm2,体积375cm3;上下垫滤纸和透水石之后放入内壁涂凡士林的饱和器。切削余土,用烘干法测定样本含水率。
试样饱和:土样放入真空饱和缸饱和10 h以上;饱和后用精度为1/1000的电子天平称重并计算饱和密度、饱和度,试样饱和度大于95%才可进行抗压试验。
采用深圳WANCE试验设备有限公司生产的ETM104B型微机控制电子万能试验机进行试验,试验机选配的载荷传感器最大量程为2KN,试验力示值相对误差为±0.5%,试验力分辨力1/500 000FS,横梁位移示值相对误差为±0.5%,位移分辨力为0.027 μm,电脑自动采集数据。试验过程按照SL237-1999《土工试验规程》进行[23]。将试验机换上压缩试验装置,仅试样两端受压,满足试验要求;试验过程中等速率压缩,等同于应变控制,规范要求应变速率为每分钟1%~3%,故压缩速率取为2 mm·min–1,试验在8~10 min内完成。当出现压力峰值时,继续进行3%~5%应变后停止试验;当无峰值时,试验应进行到应变达20%为止。对应变达到20%仍未破坏的试样,抗剪强度值取应变为15%对应的值。试验完成后,取余土用烘干法测定饱和含水率。试样抗剪强度τ即为黏聚力c,计算公式[23]如下:
| $ c = \tau = \frac{1}{2}{q_{\text{u}}} $ | (1) |
式中,c为土体黏聚力,kPa;
| $ {q_{\text{u}}} = \frac{{{F_{\max }}}}{A} \times 1000 $ | (2) |
式中,
含根土与素土黏聚力的差值即为黏聚力增量Δc,kPa。
1.4.2 根系特征参数分析和计算无侧限压缩实验结束后,将破坏的土柱放入0.05 mm细筛洗出根系,擦净水分,用精度为1/10 000的电子天平测量鲜重后,将根系样本放置在高透扫描盘中,用EPSON 12000XL扫描仪(光学分辨率2 400×4 800 dpi)在600dpi下进行灰度扫描,用WinRHIZO(Pro.2019)根系分析系统(Regent Instruments,Canada)分析根系长度、平均直径、表面积、体积、根尖数、根分支数、交叉数。将扫描后的根系用烘干法在65 ℃条件下烘干至恒重,称量获得根系生物量。用式(3)~式(6)[27-28]计算根系分布特征值。
| $ {\text{RLD = }}\frac{{{\text{LEN}}}}{{{{\text{V}}_{\text{s}}}}} $ | (3) |
| $ {\text{RSAD = }}\frac{{SA}}{{{{\text{V}}_{\text{s}}}}} $ | (4) |
| $ {\text{RVD = }}\frac{{{{\text{V}}_{\text{r}}}}}{{{{\text{V}}_{\text{s}}}}} $ | (5) |
| $ {\text{RWD = }}\frac{{{W_{\text{d}}}}}{{{{\text{V}}_{\text{s}}}}} $ | (6) |
式中,RLD为土柱内根系的根长密度cm·cm–3,表征单位体积土体所含根系长度;RSAD,根表面积密度cm2·cm–3,表征单位体积土体所含根系表面积;RVD,根体积密度cm3·cm–3,表征单位体积土体所含根系体积;RWD,根重密度mg·cm–3,表征单位体积土体所含根系生物量;LEN为土柱内根系总长度,cm;Vs为土柱体积,cm3;SA为土柱内总根表面积,cm2;Vr为土柱内根系总体积,cm3;Wd为土柱内根系生物量,mg。
1.5 数据处理与统计分析采用Excel 2016处理测定数据并对土体内根系分布特征参数与黏聚力进行回归分析;采用SPSS 23.0软件进行单因素ANOVA方差分析来检验各处理间数据的差异显著性,对各径级根系特征参数、根系构型性状与黏聚力之间进行Pearson相关性分析;使用Origin2018软件作应力应变曲线图。
2 结果 2.1 根系对土体黏聚力的增强作用由表 2可知,素土与含根土之间的自然含水率达极显著差异(P < 0.01),干密度、饱和含水率、饱和密度和孔隙比差异显著(P < 0.05);素土自然含水率、饱和含水率、孔隙比均显著低于含根土,但干密度和饱和密度相对较大;但玉米、大豆试样之间上述参数无显著差异,说明根系的存在增大了土壤中毛管孔隙含量,进而改善了土壤的结构及水分状况。素土在充分饱和后具备一定的强度,黏聚力均值为12.07 kPa,但含根土黏聚力明显大于素土。两种含根土中,玉米试样的黏聚力又显著高于大豆,说明农作物根系能有效增强土体的黏聚力。相对素土,玉米试样黏聚力的增长率为117.65%,大豆试样黏聚力的增长率则为71.91%,说明不同农作物根系类型对土体黏聚力的增强效果不同。
|
|
表 2 试样自然含水率、干密度、饱和密度、饱和含水率及黏聚力 Table 2 Water content, dry density, saturation density, saturated water content and cohesion of samples |
试样中根系特征参数见表 3。两种农作物根长密度RLD、根表面积密度RSAD、根体积密度RVD、根系鲜重RFW均表现为玉米 > 大豆。其中,玉米的RLD是大豆的1.10倍,RSAD是大豆的1.32倍,RVD达到大豆的1.67倍,这是因为平均直径为玉米 > 大豆,分别为0.63 mm和0.51mm,所以在根长相同的情况下,玉米根表面积和根体积均大于大豆。而反应土体内根系生物量大小的根重密度RWD则是大豆 > 玉米,说明两种根系纤维组成和密度不同。玉米试样的黏聚力增量Δc高于大豆试样36.90%。
|
|
表 3 不同农作物根系特征与黏聚力增量 Table 3 Root characteristics of crops and cohesion increment of samples |
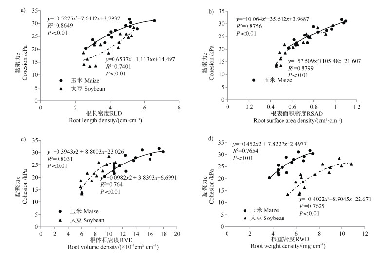
为分析黏聚力与根系特征参数之间的相关关系,分别对RLD、RSAD、RVD、RWD与c进行回归分析,回归方程和决定系数见图 3。两种农作物根系的RLD与黏聚力c均呈极显著二次函数关系(P < 0.01)(图 3a)。随着RLD的增加,c值也随之增加。玉米根系随RLD的增加,c增长速度有放缓趋势;而大豆根系c随着RLD的增长,速率由缓变快,且RLD相同时,玉米试样的c值高于大豆,说明不同根系类型对黏聚力增强效应不同。图 3b中,黏聚力c均随RSAD增长呈极显著二次函数关系(P < 0.01);值得注意的是,两种含根土的黏聚力c与RSAD的回归曲线有部分重合,这说明RSAD直观反映了根系表面与土体接触的紧密程度,RSAD越大,根系与土壤颗粒之间的摩擦作用面越大,当土体受力变形时,根系与土壤颗粒间的摩擦阻力也越大,越能发挥根系的加筋作用;因此,对于农作物根系而言,即使根系类型不同,土体黏聚力c不但随着根表面积密度的增大而增大,且其增长规律趋于一致。
|
图 3 根系特征参数与黏聚力的回归分析 Fig. 3 Regression analysis between cohesion and characteristic parameters of roots |
由于根体积与根长、根表面积有密切的函数关系,因此两种根系的RVD与c也呈极显著二次函数关系(P < 0.01)(图 3c),可见RVD与RLD和RSAD三者与c的变化关系是一致的。同理,如图 3d所示,因为RWD与RVD、RLD显著相关,故两种作物根系RWD与c均呈极显著二次函数关系(P < 0.01),但在RWD值相同时,大豆试样对应的c值总体上小于玉米试样,这是因为RWD反应的是烘干生物量而非鲜重。以上分析中,玉米和大豆RSAD与黏聚力c的相关系数r均高于其他根系特征参数。
2.3 根系直径和构型对根土复合体黏聚力的影响由图 4可以看出,破坏后试样内部的根系中,0 < D≤1mm的细根占玉米总根长的82.39%,大豆则是79.09%;在总表面积中的占比同样分别为44.69%、53.72%;随着根径直径的增加,两种作物D > 0.5 mm以上各径级的根系在长度上均急剧减少,但表面积、体积占比均显著高于长度占比;根系表面积中,2 < D≤3 mm、3 < D≤4 mm玉米根系的占比高于大豆,说明这一径级的根系是玉米多于大豆;但大豆主根直径一般均大于4 mm,该径级根系对大豆根系总表面积和总体积的贡献较大,且显著高于玉米同径级根系。以上分析说明,玉米试样中主要分布着0 < D≤2 mm的多级侧根和根毛、2 < D≤5 mm直径范围的次生根,且根毛发达;大豆试样内主要分布着D > 4mm的主根和0 < D≤2 mm的侧根和根毛,一株大豆仅有一根短而粗的主根,侧根和根毛细而长,但根毛不发达。两种作物根系特征符合前文中根系结构类型分类和特征描述。
|
图 4 不同径级占根系总长度、总表面积、总体积比例 Fig. 4 Ratio of different diameter levels to the total length, total surface area and total volume of the root system |
表 4中分析结果表明,两种根土复合体的黏聚力c均与D≤1mm的RLD、RSAD呈极显著正相关(P < 0.01),大豆D≤1mm根系的RVD也与c呈极显著相关(P < 0.01);两种根系D > 4mm的RSAD、RVD与c呈显著或极显著相关;两种作物的中间径级根系(1 < D≤4mm)与c的相关关系又有所不同,尤其是2 < D≤3mm的玉米根系对土体黏聚力有一定贡献,但这一径级的大豆根系与黏聚力呈负相关关系,说明作物根系类型不同,其不同径级根系对土体黏聚力的影响会有差异。总体而言,玉米和大豆根系中D≤1mm的细根对于提高土体黏聚力起着至关重要的作用。
|
|
表 4 不同径级根系特征、根构型性状与黏聚力的Pearson相关性分析 Table 4 Pearson correlation analysis between unconfined compressive strength of root-soil complex and root characteristics |
根尖数、根分支数、交叉数这3个根构型性状均与黏聚力c显著或极显著相关;分析显示这3个参数均会随着根长的增加而增加;玉米平均根尖数为8 281个,高于大豆4.82%;玉米平均交叉数为2 062个,高于大豆3.05%;但玉米根分支数均值高达22 291个,大豆均值为15 236个,玉米相对大豆的增幅高达45.44%,3个性状中,玉米根分支数与大豆呈极显著差异(P < 0.01),根尖数和交叉数之间无显著差异。这一点很好的解释了前文分析中玉米试样的黏聚力增量Δc高于大豆试样36.90%,结合图 3分析结果,说明细根占比较高、根分支数较多和须根发达的根系在土体中穿插和交织程度的越高,各径级根系尤其是细根在土体内的分布越均匀,越能表现出对土壤颗粒的黏结和串联拉结作用,对土体黏聚力的增强效应越明显。
2.4 根系结构类型对根土复合体应力应变关系和变形特性的影响为探明两种不同根系结构类型对含根土应力应变关系和强度特性的影响,本文选取了2个不同RWD水平下大豆和玉米根土复合体的应力应变曲线和弹性模量进行分析(图 5)。由图 5a可以看出,素土与根土复合体在轴向应力作用下直至破坏的应力-应变曲线总体呈应变软化型。当轴向应变在3%以内时(素土为2%以内),土体的应力应变关系呈线性上升;当轴向应力达到峰值后,应力随应变增加均有不同程度的下降,总体呈现3个变化阶段:快速衰减阶段、减速衰减阶段和稳定阶段。但由于根系类型不同,两种含根土破坏时的峰值应力、应力应变关系曲线走势、变形特性又有所不同。
|
注:RLS表示素土,S1、S2分别表示RWD为5.19、7.64 mg·cm–3的大豆根土复合体,M1、M2分别表示RWD为5.27、7.22 mg·cm–3的玉米根土复合体。 Note: RLS stands for rootless soil, S1 and S2 stand for soybean root-soil composite with RWD 5.19 and 7.64 mg·cm–3, M1 and M2 stand for corn root-soil composite with RWD 5.27and7.22 mg·cm–3, respectively. 图 5 不同土体的应力-应变关系曲线、弹性模量和破坏形态 Fig. 5 Stress-strain relationship curve, elastic modulus and failure forms of different samples |
曲线RLS表示素土的应力应变关系,S1、M1分别表示大豆和玉米在根系生物量较少时试样的应力应变关系,S1对应RWD为5.19 mg·cm–3、M1的RWD为5.27 mg·cm–3,3个处理均在应变为2%~3%之间达到峰值,其中素土更早达到峰值;此时玉米σmax1是大豆的1.75倍、素土的1.93倍。当应变在3%~5%之间时应力进入快速衰减阶段,说明峰值应力之后,荷载继续增加使试样产生较大的裂隙,土体承载力快速下降。之后应力衰减速率放缓,超过10%之后则相对较为平稳。土体内根系生物量较大时(S2的RWD为7.64 mg·cm–3,M2的RWD为7.22 mg·cm–3),含根土试样的轴向应力均在应变为5%~7%之间达到峰值(大豆σmax2=51.25kPa,玉米σmax2=63.35kPa),相比RWD较小时有所延后,说明随着根系生物量的增加,土体在外荷载作用下抵抗变形的能力有所增强;之后进入应力衰减阶段,此时大豆试样与RWD较小时衰减规律一致,但玉米试样则未出现应力的快速衰减,而是直接进入稳定阶段,表现出弱应变硬化特征,说明此时玉米含根土有一定的残余强度。图 5b所示弹性模量E与土体强度变化规律一致:RWD较小时,玉米根系相对大豆而言对土体强度和变形特性的影响都较大,M1的E值是S1的3.07倍,M2的E值是S2的1.82倍,说明RWD相近时,须根系玉米对土体力学特性的影响大于直根系大豆;但总体上,根土复合体的E值高于素土,说明根系的存在改变了土体的力学特性,使土体在外荷载作用时抵抗变形的能力增强,从而提高了强度。
在土体破坏形态方面(图 5c),素土在外力作用下产生很多纵向或45°斜向裂隙,应力达峰值之后裂隙迅速发展,局部土块坍塌导致承载力急剧下降;大豆试样的裂隙从试样上端开始出现,且多为竖向裂隙,与大豆主根方向一致,并快速发展导致承载力衰减;玉米试样则是RWD越大,土体在轴向应力作用下裂隙发展越慢,较多为45°左右的斜向裂隙,且土体横向变形较小。说明农作物根系结构类型不同,对土体在破坏时裂隙发展的约束能力不同,不同径级根系在土体中均匀分布且分支发达的团网状须根系作物,固土效应更加显著。
3 讨论 3.1 根系对土体黏聚力的影响为测定农作物根系是否能提高含根土抗剪强度,且不改变土壤的物理性质和使研究结果具有可比性,本文中所有试样全是同一批次在大田获取的原状土。本研究以无侧限压缩试验所得的土体抗剪强度全部以土体黏聚力的形式来体现。结果发现相对于素土,两种作物根系均能显著提高根土复合体的黏聚力c,这与Burylo等[2]对草本植物根系的研究结论一致。Osman和Barakbah [27]、郑子成等[29]研究发现土壤抗剪强度随土壤容重的增加而增加,随含水率的增加而降低。本研究中素土饱和容重大于含根土,饱和含水率小于含根土,含根土试样之间上述参数无差异。也就是含根土在容重小、含水率大的前提下依然表现出较高的强度,说明其相对素土的强度增量是因为根系的存在引起的,表明农作物根系在自然条件下若遇降雨达到了饱和含水率状态,确实相对裸地能发挥一定的固土效应,减缓水土流失;而含根土之间的强度差异则是由于根系特征不同而导致的,本研究中玉米根系的增强效应高于大豆,说明根系类型不同,对土体抗剪强度的增强效应不同。
3.2 根系增强根土复合体黏聚力的作用机理刘定辉和李勇[30]多位学者在土壤抗侵蚀研究中发现,根长密度和根表面积密度能很好地解释根系的固土机理,可作为表征土壤抗剪强度的重要参数。本研究发现,玉米、大豆根土复合体的黏聚力都随着根长密度、根表面积密度的增大而增大。而玉米含根土的黏聚力增量Δc高于大豆36.90%,其中一个原因是玉米的RLD和RSAD均大于大豆,这两个参数越大,根系在土体中延伸、穿插、交织和接触的程度越大,土壤颗粒之间的摩擦力越大[28,30];根系分泌物的有机胶结作用也能增强土壤颗粒间的结合强度[31],根系对土壤颗粒的黏结和串联拉结作用越显著,越能发挥其加筋效应,进而增大土体黏聚力。
除此之外,两种作物的根体积密度、根重密度与土体黏聚力的增长都显著相关(P < 0.01),这主要是因为玉米和大豆根系的平均直径都 < 1mm,而根表面积、根体积、根系生物量都与根长有密切的函数关系。分析中大豆的根重密度RWD大于玉米,这是因为RWD仅反映根系烘干生物量的密度,未考虑不同作物根系的含水率不同所造成的差别。经测定,供试玉米根系含水率为87.98%,密度约1.23g·cm–3;大豆根系含水率为78.07%,密度约1.44g·cm–3,且有文献表明大豆根系的纤维素、木质素含量均高于玉米根系[32-33],但根系发挥固土效应时是处于自然含水率状态,因此在分析不同作物根系的固土效应时,还应考虑根系鲜重的影响。
不同径级的根系在土体中发挥固土效应的机理不同。李建兴等[28]研究发现草本植物细根(D≤2mm)和中等直径(2 < D≤5mm)根系与土体抗剪强度显著相关,粗根(D > 5mm)与抗剪强度无相关性。本研究中,两种主要农作物的细根(D≤1mm)的RLD和RSAD与黏聚力极显著相关(P<0.01=,大豆根系中D > 4mm粗根的RSAD、RVD与黏聚力也有显著相关性(P < 0.05),其他径级根系与黏聚力的相关性不显著。Tsige等[34]研究发现,植物根系通过传递剪切应力来增强土体的抗剪强度,也就是说土体在外力作用下发生剪切破坏时,内部的剪应力会调动根系的抗拉强度来增大土壤强度,而Burylo等[2]、Fan和Tsai [6]多位学者研究发现根系抗拉强度随着根径的增大而减小,细根能提供较大的抗拉强度,这就很好地解释了本研究中D≤1mm的细根对增强黏聚力的贡献较大的原因。
根系构型性状在固土机理分析中也尤为重要。嵇晓雷和杨平[35]、Wang等[25]研究认为,植物根系分支越多,根系越复杂,对稳定土体的贡献越大。本研究分析了根尖数、根分支数和交叉数与黏聚力的相关性,发现两种作物的3个性状均与黏聚力密切相关;须根系玉米的根分支数高于直根系大豆45.44%,根系构型相对大豆较复杂,根系在土体的穿插、缠绕程度也越大,也使其对土体黏聚力的增强效应大于大豆。
综上,农作物根系增强土体黏聚力的作用机理可以理解为通过根系,尤其是D≤1mm的细根,在土体中延伸、穿插和交织,有效增大了根系与土壤颗粒之间的黏结作用和摩擦阻力,且由于根系具备一定抗拉强度[36],在土体趋于破坏时能发挥出较强的串联拉结作用和加筋效应,最终增大土体的黏聚力。所以细根较多、侧根发达、分支数多的农作物是夏季坡耕地利用中固土护坡的首要选择。
3.3 根系类型对根土复合体应力应变特性的影响为进一步探讨不同根系类型对土体破坏时的固持效应,分析了根系性状与土体应力应变特性之间的关系。Fan和Tsai [6]、Tsige等[34]在根系固土的研究中,认为根系相当于分布于土体中的弹塑性纤维加筋材料,因此能增强土体强度。Yilmaz[37]在纤维改良黏土的研究中发现,随着纤维含量的增加,土体应力-应变关系曲线和土体破坏形态均有所不同;Gao等[9]、周超云等[38]研究表明,纤维在土体内均匀且呈随机无序分布状态时能形成一个交错搭接的纤维网,增强了对土壤颗粒的约束作用,对土体强度的增强效应显著增大。本研究中,随着根系生物量的增加,玉米含根土应力应变曲线由软化型向弱硬化型转变,而大豆没有出现这一变化特征。这是因为玉米须根各径级根系在土体内的分布相对大豆较为均匀,分支数较多且呈无序分布状态,随着RWD的增加,玉米根系形成的团状纤维网增多变密,能对土体产生环箍效应,约束侧向变形和裂隙扩展,使土体在达到峰值应力之后强度不会迅速衰减,仍有一定的残余应力。而大豆根系在不同径级向两个极端分化,主根较粗且分布在土体中心,RWD的增加由D > 4mm以上主根贡献较大,有的主根直径甚至 > 8 mm,随着外荷载增加,主根周围的土体裂隙发展较快,且多与主根走向趋于一致,为竖向裂隙,此时细根对周围土体的约束能力有限,导致土体强度快速衰减。因此不同农作物根系中,各径级的根系在土体中分布越均匀、分支数较多且呈无序分布状态的根系类型,更能在土体中均匀传递应力,阻止土体裂缝迅速扩展,从而增加了土体受力时的稳定性,如本研究中,须根系的玉米更能有效改善土体的强度特性。
4 结论农作物根系可以增强土体的抗剪强度;但不同根系类型对土体强度的增强效应不同,玉米、大豆根土复合体相对素土的黏聚力增量Δc分别为14.21kPa和10.38kPa,须根系玉米对黏聚力的增强效应高于直根系大豆。不同径级的根系在土体中发挥固土效应的机理不同,玉米和大豆根系中D≤1mm的细根对于提高黏聚力c值的贡献最大,其根长和表面积越大,细根在土体中的穿插交织量越大,对土壤颗粒的黏聚串联和拉结作用越显著。根系构型特征显著影响土体的力学特性,玉米根系分支数高于大豆45.44%,且各径级根系分布较均匀,在土体中形成了交错搭接的团状纤维网,受力时更能有效增强土体强度、改善土体的变形特性并约束裂隙扩展。综上,不同农作物中,细根较多、各径级根系分布相对均匀、分支多而密的须根系作物对表层土体的固持能力更强,因此,可利用须根系农作物在空间上的合理配置来减缓水土流失,维持坡耕地可持续利用。
| [1] |
An T X, Zhou F, Wu Z Z, et al. Effect of crop intercropping on soil and water conservation in arable sloping land (In Chinese)[J]. Research of Soil and Water Conservation, 2019, 35(2): 256-265. DOI:10.11975/j.issn.1002-6819.2019.15.032 [陈正发, 史东梅, 何伟, 等. 1980—2015年云南坡耕地资源时空分布及演变特征分析[J]. 农业工程学报, 2019, 35(15): 256-265.]
( 0) |
| [2] |
Burylo M, Hudek C, Rey F. Soil reinforcement by the roots of six dominant species on eroded mountainous marly slopes(Southern Alps, France)[J]. Catena, 2011, 84(1/2): 70-78.
( 0) |
| [3] |
Xiong Y M, Xia H P, LI Z A, et al. Effects and mechanisms of plant roots on slope reinforcement and soil erosion resistance: A research review (In Chinese)[J]. Chinese Journal of Applied Ecology, 2007, 18(4): 895-904. DOI:10.3321/j.issn:1001-9332.2007.04.032 [熊燕梅, 夏汉平, 李志安, 等. 植物根系固坡抗蚀的效应与机理研究进展[J]. 应用生态学报, 2007, 18(4): 895-904.]
( 0) |
| [4] |
Wang Y Q, Wang Y J, Zhang H J, et al. Impacts of soil structure on shear-resistantance of soil under different land uses in Jinyun Mountain of Chongqing City (In Chinese)[J]. Transactions of the Chinese Society of Agricultural Engineering, 2006, 22(3): 40-45. DOI:10.3321/j.issn:1002-6819.2006.03.010 [王云琦, 王玉杰, 张洪江, 等. 重庆缙云山不同土地利用类型土壤结构对土壤抗剪性能的影响[J]. 农业工程学报, 2006, 22(3): 40-45.]
( 0) |
| [5] |
Feng S Y, Wang J G, Wen H, et al. Soil shear strength of collapsing erosion area in south Jiangxi of China relative to position of the soil and its influencing factors (In Chinese)[J]. Acta Pedologica Sinica, 2020, 57(1): 71-83. [冯舒悦, 王军光, 文慧, 等. 赣南崩岗侵蚀区不同部位土壤抗剪强度及影响因素研究[J]. 土壤学报, 2020, 57(1): 71-83.]
( 0) |
| [6] |
Fan C C, Tsai M H. Spatial distribution of plant root forces in root-permeated soils subject to shear[J]. Soil and Tillage Research, 2016, 156: 1-15. DOI:10.1016/j.still.2015.09.016
( 0) |
| [7] |
Mickovski S B, Stokes A, van Beek R, et al. Simulation of direct shear tests on rooted and non-rooted soil using finite element analysis[J]. Ecological Engineering, 2011, 37(10): 1523-1532. DOI:10.1016/j.ecoleng.2011.06.001
( 0) |
| [8] |
Liu X P, Chen L H, Song W F. Study on the shear strength of forest root-loess composite (In Chinese)[J]. Journal of Beijing Forestry University, 2006, 28(5): 67-72. DOI:10.3321/j.issn:1000-1522.2006.05.011 [刘秀萍, 陈丽华, 宋维峰. 林木根系与黄土复合体的抗剪强度试验研究[J]. 北京林业大学学报, 2006, 28(5): 67-72.]
( 0) |
| [9] |
Gao L, Hu G H, Xu N, et al. Experimental study on unconfined compressive strength of basalt fiber reinforced clay soil[J]. Advances in Materials Science and Engineering, 2015, 2015: 1-8.
( 0) |
| [10] |
Comino E, Druetta A. The effect of Poaceae roots on the shear strength of soils in the Italian alpine environment[J]. Soil and Tillage Research, 2010, 106(2): 194-201. DOI:10.1016/j.still.2009.11.006
( 0) |
| [11] |
Hu X S, Brierley G, Zhu H L, et al. An exploratory analysis of vegetation strategies to reduce shallow landslide activity on loess hillslopes, Northeast Qinghai-Tibet Plateau, China[J]. Journal of Mountain Science, 2013, 10(4): 668-686. DOI:10.1007/s11629-013-2584-x
( 0) |
| [12] |
Wei J, Zhang X M, Ding S W, et al. Effects of reinforcement conditions of jute fiber on unconfined compressive strength of soil in collapsing hill (In Chinese)[J]. Journal of Soil and Water Conservation, 2015, 29(6): 59-63. [卫杰, 张晓明, 丁树文, 等. 黄麻纤维加筋条件对崩岗岩土无侧限抗压强度的影响[J]. 水土保持学报, 2015, 29(6): 59-63.]
( 0) |
| [13] |
石茜. 稻草加筋滨海盐渍土的强度与变形特性[D]. 兰州: 兰州大学, 2011. Shi Q. Strength and deformation characteristics of reinforced saline soil with rice straw[D]. Lanzhou: Lanzhou University, 2011. ( 0) |
| [14] |
Chen Z Y. Soil mechanics (In Chinese). Beijing: Tsinghua University Press, 1994. [陈仲颐. 土力学[M]. 北京: 清华大学出版社, 1994.]
( 0) |
| [15] |
Bai L S, Fan M P, Wang Z L, et al. Relationship between root characteristics and aggregate stability in the field with maize and soybean intercropping (In Chinese)[J]. Research of Soil and Water Conservation, 2019, 26(1): 124-129. [白录顺, 范茂攀, 王自林, 等. 间作模式下玉米/大豆的根系特征及其与团聚体稳定性的关系[J]. 水土保持研究, 2019, 26(1): 124-129.]
( 0) |
| [16] |
Bai W, Sun Z X, Zhang L Z, et al. Furrow loose and ridge compaction plough layer structure optimizing root morphology of spring maize and improving its water use efficiency (In Chinese)[J]. Transactions of the Chinese Society of Agricultural Engineering, 2019, 35(21): 88-97. DOI:10.11975/j.issn.1002-6819.2019.21.011 [白伟, 孙占祥, 张立祯, 等. 耕层土壤虚实结构优化春玉米根系形态提高水分利用效率[J]. 农业工程学报, 2019, 35(21): 88-97.]
( 0) |
| [17] |
Zhou H, Gong S, Zheng D F, et al. Root distribution characteristics of different soybean varieties in Heilongjiang Province and the relationship with yield (In Chinese)[J]. Soybean Science, 2020, 39(1): 52-61. [周行, 龚屾, 郑殿峰, 等. 黑龙江省不同大豆品种根系分布特征及与产量的关系[J]. 大豆科学, 2020, 39(1): 52-61.]
( 0) |
| [18] |
Rickli C, Graf F, Rickli C, et al. Effects of forests on shallow landslides−A case studies in Switzerland[J]. Forest Snow & Landscape Research, 2009, 82(1): 33-44.
( 0) |
| [19] |
Duan Q S, Zhao Y K, Yang S, et al. Effect of herb roots improving shear strength of unconfined compressed solum (In Chinese)[J]. Acta Pedologica Sinica, 2019, 56(3): 650-660. [段青松, 赵燚柯, 杨松, 等. 不同草本植物根系提高无侧限受压土体的抗剪强度[J]. 土壤学报, 2019, 56(3): 650-660.]
( 0) |
| [20] |
[安曈昕, 周锋, 吴珍珍, 等. 坡耕地间作作物群体水土保持耕作措施[J]. 水土保持研究, 2019, 26(2): 17-22.]
( 0) |
| [21] |
Chen X Q, Fan M P, Wang Z L, et al. Effect of different planting patterns on soil and water conservation of sloping cropland in central Yunnan (In Chinese)[J]. Journal of Soil and Water Conservation, 2015, 29(4): 48-52. [陈小强, 范茂攀, 王自林, 等. 不同种植模式对云南省中部坡耕地水土保持的影响[J]. 水土保持学报, 2015, 29(4): 48-52.]
( 0) |
| [22] |
Chen Z F, Shi D M, He W, et al. Quality evaluation of slope farmland in Yunnan Province based on "element-demand-regulation" framework (In Chinese)[J]. Transactions of the Chinese Society of Agricultural Engineering, 2020, 36(12): 236-246. [陈正发, 史东梅, 何伟, 等. 基于"要素-需求-调控"的云南坡耕地质量评价[J]. 农业工程学报, 2020, 36(12): 236-246.]
( 0) |
| [23] |
Nanjing Hydraulic Research Institute. Industry Standard of the People's Republic of China: Geotechnical Test Regulation(SL237-1999) (In Chinese). Beijing: China Water Resources and Hydropower Press, 1999. [南京水利科学研究院. 中华人民共和国行业标准: 土工试验规程(SL237-1999)[M]. 北京: 中国水利水电出版社, 1999.]
( 0) |
| [24] |
Yen C P. The major patterns of root growth of the useful plants for soil conservation in Taiwan[J]. Journal of Chinese Soil and Water Conservation, 1973, 4(1): 65-85.
( 0) |
| [25] |
Wang X H, Ma C, Wang Y Q, et al. Effect of root architecture on rainfall threshold for slope stability: Variabilities in saturated hydraulic conductivity and strength of root-soil composite[J]. Landslides, 2020, 17(8): 1965-1977.
( 0) |
| [26] |
伍红燕. 模拟边坡条件下不同植物根构型及其单根抗拉特性研究[D]. 北京: 北京林业大学, 2020. Wu H Y. Characteristics of root architecture and single root tensile of different plants under simulated slope conditions[D]. Beijing: Beijing Forestry University, 2020. ( 0) |
| [27] |
Osman N, Barakbah S S. Parameters to predict slope stability—Soil water and root profiles[J]. Ecological Engineering, 2006, 28(1): 90-95.
( 0) |
| [28] |
Li J X, He B H, Chen Y, et al. Root distribution features of typical herb plants for slope protection and their effects on soil shear strength (In Chinese)[J]. Transactions of the Chinese Society of Agricultural Engineering, 2013, 29(10): 144-152. [李建兴, 何丙辉, 谌芸, 等. 不同护坡草本植物的根系分布特征及其对土壤抗剪强度的影响[J]. 农业工程学报, 2013, 29(10): 144-152.]
( 0) |
| [29] |
Zheng Z C, Zhang X Z, Li T X, et al. Change characteristics and influencing factors of soil shear strength during maize growing period (In Chinese)[J]. Transactions of the Chinese Society for Agricultural Machinery, 2014, 45(5): 125-130. [郑子成, 张锡洲, 李廷轩, 等. 玉米生长期土壤抗剪强度变化特征及其影响因素[J]. 农业机械学报, 2014, 45(5): 125-130.]
( 0) |
| [30] |
Liu D H, Li Y. Mechanism of plant roots improving resistance of soil to concentrated flow erosion (In Chinese)[J]. Journal of Soil Water Conservation, 2003, 17(3): 34-37. [刘定辉, 李勇. 植物根系提高土壤抗侵蚀性机理研究[J]. 水土保持学报, 2003, 17(3): 34-37.]
( 0) |
| [31] |
Czarnes S, Hallett P D, Bengough A G, et al. Root- and microbial-derived mucilages affect soil structure and water transport[J]. European Journal of Soil Science, 2000, 51(3): 435-443.
( 0) |
| [32] |
王红菊. 大豆和小麦根系对PAHs的吸持作用及其生物有效性[D]. 南京: 南京农业大学, 2017. Wang H J. Sorption of PAHs to soybean and wheat roots and the bioavailability of sorbed PAHs[D]. Nanjing: Nanjing Agricultural University, 2017. ( 0) |
| [33] |
马中浩. 南方红壤区玉米生育期坡地土壤抗侵蚀性特征[D]. 武汉: 华中农业大学, 2016. Ma Z H. The characteristic of anti-erosion characteristics on slope land of red soil during the growth of coin[D]. Wuhan: Huazhong Agricultural University, 2016. ( 0) |
| [34] |
Tsige D, Senadheera S, Talema A. Stability analysis of plant-root-reinforced shallow slopes along mountainous road corridors based on numerical modeling[J]. Geosciences, 2019, 10(1): 19.
( 0) |
| [35] |
Ji X L, Yang P. A root fractal dimension-based study on ecological slope stability (In Chinese)[J]. Chinese Journal of Underground Space and Engineering, 2014, 10(6): 1462-1468. [嵇晓雷, 杨平. 基于植被根系分形维数的生态边坡位移场研究[J]. 地下空间与工程学报, 2014, 10(6): 1462-1468.]
( 0) |
| [36] |
Zegeye A D, Langendoen E J, Tilahun S A, et al. Root reinforcement to soils provided by common Ethiopian highland plants for gully erosion control[J]. Ecohydrology, 2018, 11(6): e1940.
( 0) |
| [37] |
Yilmaz Y. Compaction and strength characteristics of fly ash and fiber amended clayey soil[J]. Engineering Geology, 2015, 188: 168-177.
( 0) |
| [38] |
Zhou C Y, Wang S J, Li X, et al. Shearing strength of sandy clayey purple soil reinforced with sodium silicate and glass fiber in combination (In Chinese)[J]. Acta Pedologica Sinica, 2019, 56(3): 592-601. [周超云, 汪时机, 李贤, 等. 水玻璃和玻璃纤维联合改良砂质黏性紫色土抗剪强度研究[J]. 土壤学报, 2019, 56(3): 592-601.]
( 0) |
2022, Vol. 59



0)